Xiaojun Wang and Kiyoshi Taniguchi
Does better nutritional status contribute to faster economic growth? If it does, what are the magnitude and persistence of this effect? These two questions are the paramount issues of this project. If the answer to the first question is yes, and the effect is appreciable, food aid to low-income food-deficit countries (LIFDCs) and least developing countries (LDCs) will not only improve human welfare in those regions but will also enhance economic growth, so that these countries can eventually grow out of poverty.
Nutrition is the fundamental condition for human welfare. Recently, sufficient food and easy access to food have been considered basic human rights. Good nutrition represents an investment in human and social capital; the solid establishment of human capital is a key determinant of household and community well-being, which in turn forms a basis for development.
At the World Food Summit in Rome 1996, heads of state and regional representatives agreed to fight hunger. As the Summit resolution, all possible efforts to halve hunger by 2015 were adopted by the representatives of all states and regions. According to the Food and Agriculture Organization of the United Nations (FAO), the absolute number of undernourished in the worlds developing countries was 841 million (FAO, 1996: p. 45, Table 14). The summit underlined that fighting hunger is an important and imminent issue that is currently facing the world, and that there is an immediate necessity for international cooperation. At the same time, heads of state and regional representatives recognized that the cost of hunger - the presence of food insufficiency in a country - hurts the economic growth of that country. The fight against hunger is not only to establish food sufficiency in developing countries, but also to enhance future economic growth and development.
The World Food Summit was one of the continuing efforts to achieve recognition of the efficiency cost of hunger. The resolution to fight hunger has sent a clear, strong message to all countries that hunger is very costly in terms of lost economic growth. Despite recognition of its importance, researchers have not yet fully explored the interactive mechanism that links nutrition and economic growth. In classical growth theory, the importance of saving and investment to economic growth has been understood for a long time. The recent development of endogenous growth theory has led to well-focused educational curricula. If nutrition is viewed as an investment in human and social capital, there are strong grounds for its further investigation.
This paper is organized as follows. The first section reviews most of the important literature in the field. In particular, it discusses both theoretical and empirical works on how improved nutrition may increase growth, and vice versa. The literature discusses various mechanisms for how both short- and long-run benefits may derive from a labour force that has improved nutritional status. This leads to the theoretical work that is discussed later in the paper.
After a brief summary of data and stylized facts, the main theoretical work is developed. First, the way in which nutritional status is integrated into the growth model is introduced, followed by three theoretical models for analysing nutritions potential effect on growth. In particular, the discussion begins with a neoclassical exogenous growth model based on the Solow (1957) type. Nutritional status cannot have long-run effects because its steady-state growth rate is exogenously determined by the rate of technological progress. However, this does not prevent us from discussing the more rapid short-run converging dynamics generated by improved nutrition. In order to achieve long-run effects, we have to resort to endogenous growth models. First we lay out the simplest endogenous growth mode - the AK model. Although this model is capable of generating long-run growth from even a transitory improvement of nutritional status, it lacks short-run dynamics.[6] In order to achieve both long- and short-run effects, we reinterpret the Uzawa (1965) and Lucas (1988) human capital growth models with nutrition associations. The basic idea is that if a labour force with better nutrition can adopt technology more rapidly, the long-run steady-state growth rate will increase.
The empirical results are then analysed. The DES regression is divided into three time-period subgroups: five years, ten years (same as Arcand in FAO, 2001) and the full 39-year period (1961 to 1999). This allows us to discern the different impacts for different time horizons. We also compare subgroups of developing countries in order to understand the cross-sectional performance difference. Arcands (FAO, 2001) results are compared with those produced by procedures that are less likely to be infected by the potential accounting identity problem. Finally, we take the feedback effect of growth rate on nutritional status into account, and both the responsiveness and the persistence of the feedbacks are recovered. The last section summarizes the papers main conclusions and discusses the policy implications.
Differences in cross-country growth performance have intrigued an ocean of theoretical and empirical works in this field. Two of the most prominent schools of thoughts are exogenous growth theory and endogenous growth theory.
Solows (1956) seminal work spurred the "convergence" frenzy. The original work implies "unconditional" convergence, which states that, as all countries will come to a common steady state eventually, it must be the case that poorer countries will grow faster so that they can catch up with wealthier ones. However, although the earlier work of Baumol (1986) supports this hypothesis, its results were shown to be fragile by the De Long (1988) critique.
In order to take into account differences in steady states, economists started to focus on a homogenous sample, or to "augment" the conventional Solow model with variables that capture a countrys heterogeneity. Barro and Sala-i-Martin (1991) found evidence of convergence by industries among states in the United States, as well as among regions in seven European countries. Barro and Sala-i-Martin (1992) found evidence of unconditional convergence among states in the United States, and evidence of only conditional convergence among a larger cross-country sample. The conditions included initial school enrolment rates and government consumption shares of GDP. By applying measures of human capital, the population growth rate and the physical capital accumulation rate to the "augmented" Solow model, Mankiw, Romer and Weil (1992) found convergence for a panel of 98 countries from 1960 to 1985. Most regressions based on this "conditional" approach find general supporting evidence.
The endogenous models began with a broader definition of capital. In addition to physical capital, this type of model usually includes a new category called "human capital". As there is no decreasing return to scale for this broadly defined capital (increasing returns are sometimes assumed), the accumulation of capital in general does not stop at a certain level, contrary to what happens in an exogenous model. Thus, the growth rate is endogenously determined. In particular, more efficient human capital accumulation results in faster growth in the long run. Pioneering work in this field includes Romer (1986) and Lucas (1988).
For this purposes of this study, an exogenous model differs from an endogenous model in terms of whether or not nutritional status would have long-run effects on economic growth. If better nutrition is defined by improved physical labour productivity alone, there will be a parallel upward shift of the growth path - even if the economy grew faster in the short run, the long-run growth rate would remain unchanged. This is consistent with an exogenous growth model. However, analogous with the concept of endogenous models, is the view that a labour force with better nutrition can learn faster. If this is true, the diminishing returns that are identified under a narrow definition of capital may disappear. This would produce a growth effect on the balanced path and, as a result, the long-run economic growth rate would increase. This is discussed in a Lucas (1988) model style in the section Theory.
Several recent works deal with similar issues. Sachs and Warner (1997a) summarized the current literature and came up with a list of the variables that are most closely related to economic growth. Among other commonly known variables, their list emphasizes geographical and institutional indicators and human capital measures. In particular, Sachs and Warner (1997b) attributed the slow growth in sub-Saharan African countries to poor economic policies, especially a lack of openness to international markets. They also claimed that this explanation makes the usual African dummy variable redundant. Bils and Klenow (2000) used returns on education from the labour literature to evaluate the contribution of schooling to economic growth, and found that schooling explained approximately one-third of cross-country growth differences. Hanushek and Kimko (2000) found that direct measures of labour force qualifications (such as international mathematics and science test scores) were strongly related to economic growth. More specifically on the contributions of health and nutrition to economic growth, Arora (2001) investigated the influence of health on the growth paths of ten industrialized countries over the past 100 to 125 years. He found that improvements in health led growth rates to increase permanently by 30 to 40 percent. Zon and Muysken (2001) combined a health production sector and a human capital production sector with the Lucas (1988) endogenous growth model. They concluded that, as the steady-state growth rate of the populations average level of health rose linearly, health sector productivity is as important a determinant of growth as productivity from the human capital accumulation process itself. Sachs et al. (2001) emphasized the importance of disease control for economic development in developing countries. Moreover, these authors also recognized family planning and access to contraceptives as crucial accompaniments of investments in health. In general, our findings echo this specific notion.
Background
The main research that we are revisiting in this paper was conduced by Arcand (FAO, 2001). This author considers the impacts of two measures of nutritional status - the prevalence of food inadequacy (PFI) and the dietary energy supply (DES) - on the growth rate of real GDP per capita for 129 countries[7] during the period from the 1960s to the 1980s. Arcand reports that nutrition has statistically significant and quantitatively important effects on growth. He claims that inadequate nutrition is causing losses of 0.23 to 4.7 percentage points in the annual growth rates of per capita GDP worldwide, and losses of 0.16 to 4.0 percentage points in sub-Saharan Africa. These results are robust in a wide spectrum of econometric procedures,[8] as well as in the critique that nutritional status measurements are widely overestimated.[9] As a result, combating malnutrition is not only an urgent task for humanitarian reasons, but also imperative for economic development purposes.
Several critiques arise from Arcands results. First, there is the accounting identity problem.[10] Because the growth rate of per capita GDP is always equal to a weighted average of the growth rates of agricultural, industrial and other sectors GDP per capita, regression of the growth rate of per capita GDP on initial nutritional status is spurious given the high correlation between agricultural GDP per capita and the two measures of nutritional status (sufficient food and easy access to food).
Second, increasing DES and reducing PFI are treated as two separate issues in the fight against malnutrition, even though the Sixth World Food Survey (FAO, 1996) makes it clear that the two measures may be complementary. DES measures the daily energy (calorie) intake from food consumption, its unit is the kcal/day and it is recorded in terms of the national average. PFI is the fraction of the population whose daily energy intake is below a certain cut-off level. It is possible to increase DES without changing PFI; for example, when all the increased DES is distributed among the population that is above the PFI cut-off level. Vice versa, it is also possible to reduce PFI without changing DES; for example, when energy intake is simply transferred from those above the cut-off level to those below. In general, however, the expectation is that PFI decreases as DES increases. The aim of policy-makers should be to obtain the largest possible decrease of PFI for a given DES increase, or the largest possible increase of DES for a given PFI decrease. The relation between these two measures depends on how the energy intake is distributed across the population, as well as on the aid distribution system. Both of these systems are far from clear to external researchers, but we can extract useful empirical results from the data that they generate.
Third, we have to remember that econometrics does not have answers to all of our questions. In particular, econometric procedures can recover only statistical relations and do not provide more useful information on the actual causality between variables, let alone on the direction of that causality.[11] Although it makes sense that better nutrition enhances economic growth, we still need solid economic theories and models with which to formalize this relationship. Such theoretical models also provide guidance in the search for possible transmission mechanisms between nutrition and growth. In particular, nutritional status is far from exogenous, and economic growth has been widely documented to have a positive impact on nutritional status. For example, Easterly (1999) found that an increase of 1 percent in per capita GDP was associated with an increase of 538 kcal/day in DES. The evidence points to simultaneous determination, which leads to another related question: How responsive are these feedback effects?
Although in theory there is a clear distinction between long-run (i.e. steady-state) and short-run (i.e. converging dynamics) growth, little empirical work has acknowledged this distinction. This might be because of the observational equivalence problem. For example, when a country suddenly grows more rapidly, if the slope of the steady-state growth path becomes steeper, it indicates a growth effect. Otherwise, the suddenly rapid growth might be a short-run blast to push the country into a higher but parallel path; i.e. it is only a level effect. As described in Solow (2000), even transitory growth can last for a long time.[12] Theoretical models discussed later in the Theory section (p. 41) provide the rationale for both the level and the growth effects of nutritional status. Although we cannot identify what fraction of the growth increment is due to long-run effects and what fraction to short-run effects, it is still empirically very important to evaluate the impact of nutritional status on growth in various time frames. For example, in a neoclassical endogenous growth framework, given a constant annual rate of convergence, the growth rate starts high then monotonically decreases and asymptotes the long-run steady-state growth rate. We evaluate the magnitude of these impacts empirically in following sections of this paper.
Data and stylized facts
We used a richer data set than that used by Arcand (FAO, 2001). In particular, as well as the three observation points (1969-1971, 1979-1981 and 1990-1992)[13] reported in FAO (1996), we also used average daily per capita calorie intake in most countries from 1961 to 1999. This allowed us to estimate more elaborate models with improved efficiency.
We paired this data set with annual real GDP information from the World Bank data set (World Bank, 2001) to create the main panel dealt with in this paper.[14] The sample comprises 114 countries (27 developed and 87 developing), including 36 countries in sub-Saharan Africa, 21 in Latin America and the Caribbean, and five in South Asia.
Figure 1: Log GDP per capita and DES per capita (kcal/day)

Notes: 129 (countries) × 3 (decades) = 387 observations.
Reference line = target DES (2 770 kcal/day).
Figure 1a: Log GDP per capita and DES per
capita (kcal/day)
(with SSA and SA countries highlighted)

Notes: 129 (countries) × 3 (decades) = 387 observations.
Reference line = target DES (2 770 kcal/day).
Figure 1b: Log GDP per
capita and DES per capita (kcal/day)
(with LIFDCs highlighted)

Notes: 129 (countries) × 3 (decades) = 387 observations.
Reference line = target DES (2 770 kcal/day).
Figure 1c: Log GDP per capita and DES per
capita (kcal/day)
(with LDCs highlighted)

Notes: 129 (countries) × 3 (decades) = 387 observations.
Reference line = target DES (2 770 kcal/day).
There is no doubt that a countrys nutritional status is closely associated with its level of economic development. For the three-year periods 1969-1971, 1979-1981 and 1990-1992, the average DES for developed economies were 3 190, 3 280 and 3 350 kcal/day, respectively, while the counterpart figures for developing economies were 2 140, 2 330 and 2 520 kcal/day.[15] Figure 1 plots the log of real GDP per capita with DES: a dot indicates a developed economy and a plus sign indicates a developing economy. The positive correlation between the two variables is obvious.[16]
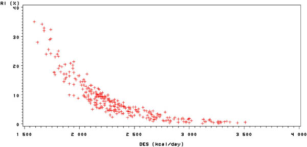
Figure 2 plots the growth rate of real GDP per capita with DES, and it seems that there is no clear correlation between them. This can be used as evidence against unconditional convergence if DES proves to be a good proxy for the initial level of real GDP per capita. Figure 3 is similar to Figure 1, but the relative inadequacy (RI) of the food supply in developing countries replaces DES on the horizontal axis. The negative correlation is once again obvious. Parallel to Figure 2, Figure 4 fails to detect any negative correlation between the growth rate of real GDP per capita and RI.
Although the average difference between developed and developing countries shrank from 1.49 to 1.33 during the two decades, certain groups within the developing countries saw the difference enlarging. In particular, sub-Saharan African economies have experienced an absolute decrease in average DES from 2 140 kcal/day in 1969-1971 to 2 040 kcal/day in 1990-1992, as a result their difference from developed economies increased from 1.49 to 1.64. Moreover, the two subgroups of developing economies that used to be at the bottom of the DES chart - East and Southeast Asian economies and South Asian economies - caught up and passed sub-Saharan African economies. Since the early 1990s, the average for sub-Saharan African economies has been at the bottom of the DES chart, even though there are great varieties within the region. South Asian economies come next from bottom.
We see a mirror image of this with RI. In sub-Saharan Africa, this indicator increased from 11 to 14 percent during the two decades, while East and Southeast Asia saw a dramatic decrease from 12 to 3 percent, and South Asia a decrease from 9 to 5 percent.[17]
Figure 2: Growth rate of GDP per capita and DBS per capita (kcal/day)

Notes: 129 (countries) × 3 (decades) = 387 observations.
Reference lines = horizontal: zero and mean growth rate
(0.013). vertical: target DES (2 770 kcal/day).
Figure 2a: Growth rate of GDP per capita and
DES per capita (kcal/day)
(with SSA and SA countries highlighted)

Notes: 129 (countries) × 3 (decades) = 387 observations.
Reference lines = horizontal: zero and mean growth rate
(0.013). vertical: target DES (2 770 kcal/day).
Figure 2b: Growth rate of GDP per capita and
DES per capita (kcal/day)
(with LIFDCs highlighted)

Notes: 129 (countries) × 3 (decades) = 387 observations.
Reference lines = horizontal: zero and mean growth rate
(0.013). vertical: target DES (2 770 kcal/day).
Figure 2c: Growth rate of GDP per capita and
DES per capita (kcal/day)
(with LDCs highlighted)

Notes: 129 (countries) × 3 (decades) = 387 observations.
Reference lines = horizontal: zero and mean growth rate
(0.012). vertical: target DES (2 770 kcal/day).
Figure 3: Log GDP per capita and relative inadequacy (%)

Notes: 129 (countries) × 3 (decades) = 387 observations.
Figure 3a: Log GDP per capita and relative
inadequacy (%)
(with SSA and SA countries highlighted)

Notes: 129 (countries) × 3 (decades) = 387 observations.
Figure 3b: Log GDP per capita and relative
inadequacy (%)
(with LIFDCs highlighted)

Notes: 129 (countries) × 3 (decades) = 387 observations.
Figure 3c: Log GDP per capita and relative
inadequacy (%)
(with LDCs highlighted)

Notes: 129 [countries) × 3 (decades) = 387 observations.
Figure 4: Growth rate of GDP per capita and relative inadequacy (%)

Notes: 129 (countries) × 3 (decades) = 387 observations.
Reference lines = zero and mean growth rate (0.013).
Figure 4a: Growth rate of GDP per capita and
relative inadequacy (%)
(with SSA and SA countries highlighted)

Notes: 129 (countries) × 3 (decades) = 387 observations.
Reference lines = zero and mean growth rate (0.013).
Figure 4b: Growth rate of GDP per capita and
relative inadequacy (%)
(with LIFDCs highlighted)

Notes: 129 (countries) × 3 (decades) = 387 observations.
Reference lines = zero and mean growth rate (0.013).
Figure 4c: Growth rate of GDP per capita and
relative inadequacy (%)
(with LDCs highlighted)

Notes: 129 (countries) × 3 (decades) = 387 observations.
Reference lines = zero and mean growth rate (0.013).
As explained previously, RI is very closely related to the dispersion of energy intake across the population, while DES measures only the average level. Put simply, it is possible for RI to improve or deteriorate while DES remains intact; for example, by changing only the nutritional distribution. Figure 5 gives an empirical observation of the relation between RI and DES. The convex decreasing pattern is striking: an increase in DES is usually associated with a decrease in RI, and the reduction of RI is larger when DES is smaller.[18] If this relationship reveals a social and statistic regularity that we can exploit, the improvement of average nutritional status in the poorest countries will generate a positive social effect way beyond its economic effect.[19] We describe this relationship more fully later in the paper.
Parallel to the categorization of countries into developed and developing economies, we show similar figures for sub-Saharan countries and South Asian countries (Figures 1a, 2a, 3a and 4a), for low-income food-deficit countries (LIFDC) (Figures 1b, 2b, 3b and 4b) and for least developed countries (LDC) (Figures 1c, 2c, 3c and 4c). These supplementary figures reiterate the fact that this group of countries suffers most from malnutrition.
If we want to use DES and RI together, the only data set available is the one in the Sixth World Food Survey (FAO, 1996). There are 129 countries in this sample, 98 developing and 31 developed. Each country has a complete observation of both DES and RI for the three three-year periods 1969-1971, 1979-1981 and 1990-1992. There should therefore be a total of 387 observations (294 for developing countries and 93 for developed countries). However, real GDP per capita data are missing for some countries for some periods. The missing data percentage is 13.4 percent for the whole sample: 11.8 percent for developed countries and 13.9 percent for developing countries.[20] Thus, developing countries are slightly under-represented. Since sub-Saharan African countries (39 countries) and South Asian countries (five countries) are of major interest, we separated them from the rest of the world. Sub-Saharan Africa has a missing data percentage of 13.7 percent, South Asia has no missing data, and the rest of the world has 14.1 percent missing. We conclude that sub-Saharan Africa is properly represented by the sample. We also used two other types of categorization: LIFDC (62 countries) and LDC (33 countries). LIFDCs have a missing data percentage of 12.4 percent (and the rest of the world has 14.4 percent), and LDCs have 24.2 percent (and the rest of the world has 9.7 percent). We conclude that LIFDCs are slightly over-represented while LDCs are grossly under-represented. We return to this point when discussing estimation results.
Figure 5: Relative inadequacy and DEB

Notes: 129 (countries) × 3 (decades) = 387 observations.
Figure 5a: Relative inadequacy and DES

Regression equation:
RI=306.0588-0.305422*DES+0.000103*DES^2-1.163E-8*DES^3
Notes: 129 (countries) × 3 (decades) = 387 observations.
Figure 6 depicts the transition of cross-sectional DES distribution for all countries during the total four-decade period.[21] The twin-peak structure is obvious, one peak for developing countries, and the other for developed countries. From the 1960s to the 1970s and, especially, in the 1980s, the difference between developing and developed countries shrank noticeably. But this trend was reversed in the 1990s when the distribution went back to its distinctive twin-peak structure. This indicates that the nutritional status of developing countries has worsened in recent years.
We wanted to use simple tools to address a fundamental question: Does higher DES cause faster growth, or should the direction of causality be reversed? Maybe the effects exist in both directions? Put another way, what do the data tell us about the dynamics of these two variables?
Figure 7 plots the simple correlation between log DES and the GDP growth rate with various time lags. The contemporaneous correlation is in the centre at horizontal mark zero. To the right is the correlation of lagged growth with current DES (i.e. of current growth with future DES). To the left is the correlation of lagged DES with growth (i.e. of current DES with future growth). The contemporaneous correlation is about 0.12, but the forward effect is drastically different from the backward effect. In order to describe the plot clearly, this figure can be interpreted as follows. If higher DES does cause faster growth, this effect is at its highest level during the same period as the increase in DES is at its highest level. This effect takes off quickly in two to three years. To give a quantitative example, if DES increases, once and for all, by one unit (in terms of standard deviation), in the same period GDP growth will increase by 0.12 units (in terms of standard deviation). But this effect will drop quickly to 0.08 the following year, and to 0.06 the year after that. The long-run effect seems to be about 0.06, but it takes much longer for the effect of economic growth on nutritional status to emerge. Following this procedure, we supposed that a higher growth rate does increase DES. If a one-unit increase in growth rate (permanently) increases the log of DES by 0.12 units in the same period, the next five-year log of DES will grow gradually, and then settle down at the long-run level of about 0.14 units.[22] The bottom line is that these are indeed long-run effects in both directions, and the effect of DES on growth shows up far more quickly than the effect of growth on DES does (although it also decays more quickly than the latter effect). On the contrary, economic growth seems to contribute to DES in a persistent way.
Figure 6: DES distribution by decade

Figure 7: Sample correlation of log DES and growth

Introducing nutritional status into the model
As well as DES and PFI, RI is a popular measure of nutritional status. Put simply, RI measures how far short of the average per capita energy requirement a malnourished population is. Population energy intake is assumed to follow a lognormal distribution in which f (M) denotes the density while M is the level of energy intake. We can then derive the following definitions for the three measures:
|
(1) |
|
|
(2) |
|
|
(3) |
|
Mc is the cut-off point below which an individual is defined as being undernourished. It is also referred to as the minimum per capita energy intake requirement. Ma is the average per capita energy intake requirement; and Mu is the average intake of the undernourished. That is:
|
(4) |
|
Put another way, DES measures the average energy intake of the population, PFI measures the prevalence of malnutrition, and RI measures the intensity or severity of malnutrition.[23]
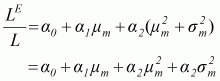
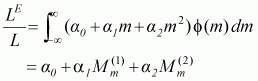
We postulate the effect of nutrition on labour input in the same way as Leibenstein (1957). That is, an undernourished population cannot provide sufficient effective labour input. Let LE be the measure of total effective labour in a country, and L the measure of physical labour. We can then define:
|
(5) |
|
where m is the natural logarithm of daily energy intake
M; and f(m) is the corresponding
normal density of the lognormal distribution of M. In particular, if the
original lognormal distribution has mean µM and variance
, the corresponding normal
distribution has mean
and
variance
.
e(m) is an effective labour supply function, and we define a
further quadratic functional form for e(m):
|
(6) |
e(m) = a0 + a1m + a2m2 |
e'(.)>0, e"(.)<0 " m |
Increased nutrition improves the effectiveness of the labour supply, but the marginal effect is diminishing. By substituting Equation 6 into Equation 5 and moving L to the left-hand side, we obtain:
|
(7) |
|
where
and
are the first and second
moments of variable m, respectively. According to the moment generating
function of normal distribution, Equation 7 can be written as:
|
(8) |
|
Equation 8 can be thought of as the average effectiveness per
labour unit. Because e'(.)>0 and e"(.)<0, a definition of
will have the following
property:
|
(9) |
|
|
(10) |
|
It should be obvious by now how DES, PFI and RI may affect the average effectiveness of the labour supply in the following ways:
DES is µM, which in turn is positively correlated with µm. As a result, higher DES increases the average effectiveness of the labour supply.
PFI is f(mc), where f(m) is the normal cumulative density function and
mc = lnMc. Given DES and
mc, only a decrease in
can
cause a decrease in PFI. Thus, a decrease in PFI will also increase the average
effectiveness of the labour supply.
RI is positively related to PFI and negatively related to DES, according to Equation 3. Thus, a decrease in RI will increase the average effectiveness of the labour supply.
Neoclassical exogenous growth model
In this section we use a simple neoclassical exogenous growth model to show how the average effectiveness of the labour supply, E, may affect the growth rate. In such a setting the long-run steady-state growth rate is determined by the exogenous rate of technological progress. As a result, higher E will not change the steady-state growth rate. However, E can still affect short-run growth by altering the gap between previous and new steady states. The standard result implies that the larger the gap, the more rapid the growth.
First we assume that output is produced according to a Cobb-Douglas function with constant returns to scale with respect to capital K and effective labour EL:
|
(11) |
|
where a Î (0,1); At and Lt are the technology and the labour force at time t, respectively; At is growing at a constant rate of g; and Lt is growing at a steady rate of n. That is:
|
(12) |
|
|
(13) |
|
where subscript zero denotes the initial time period, i.e. t = zero.
Suppose that a fixed fraction s of output is invested and the depreciation rate of capital is ä, then the dynamics of capital accumulation are given by:
|
(14) |
|
With straightforward algebraic manipulation we can easily obtain the following results on the steady-state balanced growth path:
|
(15) |
|
|
(16) |
|
Obviously, both
and
are growing at a constant
exogenous rate of
. Let
l be the rate of convergence,
then:
|
(17) |
|
Equation 15 indicates that an increase in E will parallel-shift the steady-state balanced growth path of capital per labour unit by the same proportion, while Equation 16 shows a more than proportional shift in the path of output per labour unit. Even with the constant convergence rate and the steady-state growth rate, the short-run growth effect can still be quite appreciable with common parameter values. For example, assume that g = 0.01, n = 0.01, d = 0.035, and a =1/3, the convergence rate ë is equal to 0.04, and the steady-state growth rate of output per labour unit is 0.015 (i.e. 1.5%). Given a one-off 10 percent increase in E, the growth rate of output per labour unit jumps temporarily to 1.9 percent, and then decreases to asymptote the steady-state rate of 1.5 percent over the long run. When there is a convergence rate of 0.04 (i.e. 4 percent), it takes about 18 years to close half of the initial gap (see footnote 7). As a result, the growth rate will stay above the steady-state level for an extended period of time, even with a modest increase in E.
Endogenous growth model
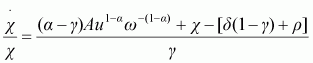
Although the neoclassical growth model is capable of generating higher short-run growth from better nutrition, it is more interesting to investigate whether the long-run growth performance can also be improved by even a one-off increase in E. For this purpose we introduce the endogenous growth model. We first use the simplest version, i.e. the AK model, to illustrate the general result, and then we move on to a more specific model of human capital accumulation. The first example of including undernourishment in a neoclassical or AK endogenous growth model is in Arcand (FAO, 2001), and the following two sections are based entirely on that work.
AK model
The AK model is the simplest endogenous growth model, and is sufficient to produce basic results. Without loss of generality, we assume that physical labour L = 1, that there is no population growth, and that the technology level is a constant A. As a result, total effective labour LE is equal to E, and the production function takes the form:
|
(18) |
|
and the dynamics of capital accumulation are given by:
|
(19) |
|
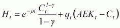
where Ct is consumption at time t, and we have assumed zero capital depreciation for simplicity. Additional assumptions are that the instantaneous utility function takes the constant relative risk aversion (CRRA) form, and that the infinitely lived representative consumer maximizes the following time-separable intertemporal utility function with exponential subjective discount rate ñ:
|
(20) |
|
The choice variable is Ct, the state variable is Kt, and the representative consumer maximizes Equation 20 subject to Equations 18 and 19. Next, we set up the present value Hamiltonian function:
|
(21) |
|
where qt is the co-state variable, which measures the shadow price of capital at time t. The following are the three optimality conditions:
|
(22) |
|
|
(23) |
|
|
(24) |
|
Using these conditions, we can derive the following result:
|
(25) |
|
Equations 18 and 19 obviously imply that both Yt and Kt are growing at the same rate as Ct on the balanced growth path. Equation 25 implies that even a one-off improvement in nutritional status will have a permanent effect on the long-run growth rate. However, although the AK model is convenient for generating the permanent effect from temporary changes in E, it lacks short-run dynamics. In this model, it is easy to prove that Ct will always be a constant proportion of Kt. Thus, if at some future time t E jumps up permanently, Ct will simply change from the old proportion to a new proportion of Kt instantaneously, and then move along the new faster growth path. This implies that the balanced growth paths of Ct, Kt and Yt will show kinks of the same degree at the time of t, but the ratios between them will remain constant. Since at least conditional convergence is a widely accepted fact, this is the major failure of the AK model.
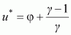
Human capital model
There is no doubt that better nutrition improves physical health.[24] Several researchers have found evidence that a healthier labour force can increase productivity. As observed by Grossman (1972), the positive contribution of good health to labour productivity is of particular importance to economic growth. Although it is understood that better educated people learn faster (see for example Lucas, 1988; and Barro, 1991), it can still be argued that being healthy is just as important to economic growth as being knowledgeable is. When resources are limited, it seems that knowledge and health substitute each other, but from the perspective of economic growth they act more as complements. In this section we introduce a nutrition index (as a proxy for the healthiness of the labour force) into the standard human capital accumulation framework and obtain a new interpretation from the model.
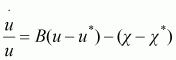
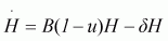
This two-sector endogenous growth model originates from Uzawa (1965), Lucas (1988), and Barro and Sala-i-Martin (1999) for the following description. There are two sectors in the economy. One sector uses both physical capital K and human capital H to produce output Y. This output can be used for consumption or physical capital investment. In this sector there is Cobb-Douglas production technology with constant return to scale with respect to K and H. Human capital is produced in the second sector only with a fraction 1 - u of total H, the rest of H is used in the first sector for regular output production. No physical capital is needed for human capital production. Both types of capital depreciate at the common rate of ä for simplicity. To summarize the model:
|
(26) |
|
|
(27) |
|
where A is the total factor productivity in regular goods production, while B(1-u) is the gross marginal product of existing human capital in new human capital production. We believe that nutritional status may affect both the marginal product parameter B and the human capital depreciation rate d. That is, B is an increasing function of E, while d is a decreasing function of E. As already mentioned, a healthier labour force will learn more quickly, thus human capital will accumulate more rapidly. This is equivalent to an increase in the parameter B. For example, better nutrition can enhance the contribution of schooling to human capital accumulation. Moreover, better nutrition may also reduce the human capital depreciation rate d. Research has shown that countries with better nutrition usually have longer life expectancies. Longer life expectancy basically extends the time horizon within which the benefit of human capital accumulation can be harvested. As a result, better nutrition provides stronger incentives for human capital accumulation.
In order to describe the steady state more easily, the following variable transformation can be carried out:
|
(28) |
|
|
(29) |
|
Derivation of the following steady state growth rates of K and H is straightforward from Equations 26 and 27:
|
(30) |
|
|
(31) |
|
Assuming that all representative consumers have the same CRRA utility function and that these equations go through the optimization procedure described in the previous section, we obtain the optimal growth rate of consumption on the balanced growth path:
|
(32) |
|
Hence, from the definition of w and c and the optimization conditions, we obtain:
|
(33) |
|
|
(34) |
|
|
(35) |
|
Steady state values of w,
c and u can be solved by setting
, and with the simplifying
notation:
|
(36) |
|
We obtain:
|
(37) |
|
|
(38) |
|
|
(39) |
|
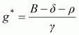
Substituting Equations 37, 38 and 39 into Equations 30, 31, 32 and 26, we obtain the steady-state value of the net marginal product of physical capital in goods production, r*, as well as the common growth rate of C, K, H and Y, g*:
|
(40) |
|
|
(41) |
|
Thus, an increase in B or a decrease in d can be achieved by better nutrition, as already
argued, and will increase the steady-state marginal product of physical capital
and the long-run growth rate. For empirically reasonable values of r, d and g, j should be positive.
Hence, Equations 37, 38 and 39 imply that an increase in B will reduce
w* and u*, but
increase c*. The intuition behind
these changes is obvious. Higher B makes human capital accumulation more
appealing, thus a larger fraction of human capital is devoted to the second
sector. As a result, human capital temporarily grows more quickly than physical
capital so the ratio of
drops. The
ratio is higher,
mainly because the human capital effect dominates over the physical capital
effect.
Unlike the AK model, the current framework is also capable of generating desirable transitional dynamics. The detailed derivation is tedious and of little interest to this project, so we report only the main results in the following.
Transitional dynamics are implicit in the three-equation system (Equations 33, 34 and 35). In order to see the convergence clearly, we need another variable transformation, which can be defined as follows:
|
(42) |
|
Obviously, az is the gross marginal product of physical capital in goods production. We can rewrite the three-equation system using z:
|
(43) |
|
|
(44) |
|
|
(45) |
|
where z* is the steady-state value of z. By Equations 37 and 39 and the definition of z in Equation 42, we can define z* as follows:
|
(46) |
|
The new three-differential equation system of Equations 43, 44 and 45 clearly defines a converging system for usual parameter values of a, g and B. In particular, the growth rate of Y can be shown as:
|
(47) |
|
Furthermore, numerical results show that the relation between the growth rate of Y and w tends to be U-shaped, with the minimal growth rate of Y achieved at w*. That is, whether w starts below or above w*, the growth rate of Y will start high and then gradually decrease to g*. This implies an overshoot of the short-run economic growth rate as a result of an increase in B or a decrease in d.
To summarize the general results in this section: an increase in nutritional status can increase the economic growth rate permanently, and the short-run effect will be greater than the long-run effect.
|
[5] Xiaojun Wang is Assistant
Professor of Economics at University of Hawaii. Kiyoshi Taniguchi is a
development economist with the Agricultural and Development Economics Division
of the FAO. The authors are indebted to Drs Paul Winters and Sumiter Broca for
their discussion and inspiration. They also acknowledge Dr Kostas Stamoulis for
his warm understanding in pursuing this research further. The authors have sole
responsibility for any errors or omissions. [6] One main counterintuitive implication of the AK model is that it contains no convergence, and at least conditional convergence has been widely accepted as an empirical regularity. [7] 98 developing countries and 31 developed ones. [8] These procedures are supposed to correct for unobserved country-specific heterogeneity, measurement errors and endogeneity. [9] See Svedberg, 1999 . [10] This was brought to our attention by Dr Sergio H. Lence, who we thank for providing a detailed explanation of the problem. [11] The so-called Granger causality is no exception. [12] Most empirical results show an annual convergence rate of about 2 percent. At that rate it takes about 35 years to close half of an initial income gap (see
Romer, 2000: p. 25).
This result implies that, evaluated at the 1990-1992 level of
DES, an increase of 500 kcal/day will reduce RI in sub-Saharan Africa by 8
percentage points, and in South Asia by 4 percentage points. | |||||||||||||