TESTING FOR UNIT ROOTS
In time series literature, several unit root tests are available: the Dickey-Fuller (DF), the augmented Dickey-Fuller (ADF) and the Phillips-Perron (PP). This study employs ADF and PP tests to identify unit roots. In addition, the Perron (P) test is used to detect unit roots with structural change. Assuming yt is a time series variable that is integrated of order 1 without drift, these tests can be applied by altering the autoregressive process in the following way:
|
|
(A.1) |
where yt and yt-1 are the present and the immediate past values of a variable, respectively; and et is a stationary error term.
Equation A.1 can be expressed in the following form:
|
|
(A.2) |
where q is an arbitrary parameter. When q=0, then Equation A.2 equals Equation A.1. After rearranging Equation A.2, the following equation is obtained:
|
|
(A.3) |
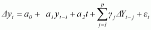
If q equals 0 and et is stationary, then yt ~ I(1), and if -2< q<0, then yt is a stationary process. Based on the above modification, Dickey and Fuller (1976) proposed a test of H0:q =0 against H0:q<0. If the null hypothesis is accepted then the process is I(1), i.e. yt ~ I(1). Dickey and Fuller considered the following three different equations to test for the presence of unit roots:
|
|
(A.4) |
|
|
(A.5) |
|
|
(A.6) |
The differences among the above regression equations depend on the presence of a0, constant (drift) and a2t, deterministic term (time trend), all of which are called nuisance parameters. Test results can be based on OLS estimations. The above equations represent the first order autoregressive process (a process depending only on one lag value). The test can be extended for higher order autoregressive processes. The extended DF test for higher order equations is known as the ADF test. Considering a pth order autoregressive process, Equations A.4 to A.6 can be extended as:
|
|
(A.7) |
|
|
(A.8) |
|
|
(A.9) |
where a0 and t are the constant and the time trend, respectively.
Both the DF and the ADF tests assume that the errors are statistically independent and have a constant variance. Thus, an error term should be uncorrelated with the others, and has constant variance. Phillips and Perron (1988) developed the PP test for unit roots, which allows the serial correlation. The error variance is estimated by the following formula (White, 1997):
|
|
(A.10) |
where l is truncation lag parameter; and w(s, l) is a window that is equal to 1-s/(l+1). The critical values for the PP test are the same as for the DF test. Dickey and Fuller (1979) examined the variation of critical values of test statistics with the form of regression and sample size. Thus, normal t statistics are not valid for the hypothesis testing procedure. The alternative critical values are known as the Dickey-Fuller distribution. There are critical values tt, tm and t related to Equations A.9, A.8 and A.7, respectively. The DF, the ADF and the PP tests are known to have low power to distinguish between a unit root and a nearly unit root. In addition, these tests are recognized as having little power to understand the difference between trend stationary and drift processes. Enders (1995) suggests that a procedure on Equations A.7, A.8 and A.9 should always be followed to test for unit roots when it is not known what data generating process has been used, i.e. when it is not known whether that process includes trend term or drift.
Unit root tests utilize the following three main null hypothesis tests based on Equations A.7 to A.9:
H0: a1 = 0 (testing unit roots in Equation A.7);
H0: a1 = a2 = 0 (testing unit roots with the time trend in Equation A.9); and
H0: a1 = a0 = 0 (testing unit roots with the constant term in Equation A.8).
Analyses are conducted based on the results of DF, ADF and PP tests. A summary of the procedure of the steps involved in each test is as follows:
Check for unit roots in the process of the variable with the time trend and the constant terms in Equation A.9. If a null hypothesis of H0: a1 = 0 is not rejected (at the Dickey-Fuller critical value), there are unit roots. If the null is rejected, then check for the presence of the time trend, a2, in Equation A.9. If the time trend is significant and if the presence of unit roots is not rejected according to the conventional t-value, it can be concluded that the process of the variable has unit roots with the time trend. If both are rejected, then it can be concluded that the process is stationary.
If there is no time trend, i.e. null is rejected in Equation A.9, then check for the unit roots and the constant term in Equation A.8. First, check the process for unit roots at the Dickey-Fuller critical value. If there are no unit roots, it can be concluded that there are no unit roots in the process, which means that the variable is stationary. If a constant term is significant, then check the results for unit roots. If H0 is not rejected according to the t-value, it can be concluded that the process of the variable has unit roots with the constant. If H0 is rejected, it can be concluded that the process has no unit roots.
If there is no constant, check the process with neither constant nor time trend in Equation A.7. If there are no unit roots, the process is stationary, otherwise it would have unit roots.
If there are unit roots in any of these hypothesis tests, check the variable in first difference form to check for two unit roots. If there are no unit roots, then it can be concluded that the process is an I(1) process. Otherwise, the above steps are repeated for the process in first difference values to test for the I(2) process.
Perron (1989) introduced a simple procedure to test for unit roots when there is a structural change. Even though there are several ways to show this test, this study shows only one procedure.
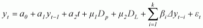
A process with a structural change at period t = t + 1 can be written as:
|
|
(A.11) |
Dp is a pulse dummy when t = t + 1 Dp = 1, and zero otherwise. The pulse dummy makes it possible to identify time change in the drift. DL represents the level dummy such that DL = 1 when t> t, and zero otherwise. The level dummy is used to identify change in both the mean and the drift. The t statistics for the null of a1 = 1 are compared with the appropriate critical value calculated by Perron. The Perron tests critical values are varied with the value, l, the ratio of t to T. T is the total sample size.
VAR MODEL
Once it has been tested and confirmed that all the variables in question are endogenous I(1) variables, it is possible to proceed to a VAR model. A standard VAR model with stationary and non-stationary variables can be written as follows:
|
|
(A.12) |
where:
Zt = a vector of I(1) variables (m by 1) in period t;
A0 = an intercept term;
Zt-p = an (m by 1) vector of the ith lagged value of Z for i =1,2,...., p;
Wt = vector of I(0) variables in period t;
Dt = dummies in period t.
One of the important features of the VAR model is that there is no specific dependent variable. Owing to this feature, analysis of the VAR model with I(1) variables would be biased because it would yield higher R2 values and larger t-values with very low level Durbin-Watson statistics (Darnell, 1994). The cointegration concept led to the development of an estimation procedure for the VAR model containing non-stationary variables, i.e. integrated variables. However to employ the cointegration technique, the presence of cointegration in the model is a necessary condition.
THE CONCEPT OF COINTEGRATION
The concept of cointegration was originally introduced by Granger (1981) and Engle and Granger (1987). These authors focus on an equilibrium condition in a multivariate context. In the long run, a set of integrated variables is in equilibrium, i.e. stationary, if the following condition is met:
|
|
(A.13) |
where b and X denote the vectors,
(
)
and
, respectively. The
system is in long-run equilibrium
when
. The deviation from
equilibrium can be defined as the equilibrium error, Et:
|
|
(A.14) |
If equilibrium exists, then the equilibrium error should be a stationary process. In other words, the deviation from the long-run equilibrium will be adjusted owing to the stationary Et. If Et is non-stationary, the deviation from the long-run equilibrium will not be adjusted, and the deviation will be a permanent shock that deviates from equilibrium. Thus, if Et is non-stationary, there is no long-run equilibrium in the system.
According to Engle and Granger (1987, p. 253), the definition for cointegration can be expressed by the following theorem:
The components of the vector xt are said to be cointegrated of order d, b, denoted by xt ~ CI(d, b), if (i) all components of xt are I(d); (ii) there exists a vector a ¹ 0 so that linear combination,
is integrated of order (d-b) where b>0. The vector a is called the cointegrating vector.
Cointegration exists when the components of the above xt are I(1) and the equilibrium error is I(0). This is because, if Et has zero mean, variance is finite and shocks have temporary effect on the values of xt.. xt always converges to equilibrium owing to stationary Et. When Et is not I(0), the equilibrium concept is violated according to Engle and Granger (1987). In order to achieve equilibrium, there exists a dynamic system that consists of short-run changes leading to long-run equilibrium. This dynamic system is known as the error correction model (ECM). The concept of an error correction mechanism was first discussed by Phillips (1957), followed by Sargan (1964). After estimating the long-run relationship in the form of a cointegrating vector, short-run dynamics have to be incorporated to ensure that the system has reached equilibrium. Based on the theorem proposed by Johansen (1988), the ECM can be derived as follows:
Suppose a pth order VAR process consists of a sequence {e t} of iid (integrated) k dimensional Gaussian random variables, Z t with zero mean can be defined by the following:
|
|
(A.15) |
for given values of
Equation (A.15) can be
written as:
|
|
(A.16) |
Because the process Zt is allowed to be non-stationary, given the starting values, the conditional distribution is used. The matrix polynomial can be defined as:

This is concerned with a situation in which the determinant |A(Z)| has roots at z = 1. If Zt is integrated of order 1, and DZt is stationary, then the impact matrix becomes as follows:

A(Z) has rank r>k. This can be written as:
|
|
(A.17) |
Based on the above derivation for the cointegrating vector, vector time series Zt has an error correction representation if it can be expressed as:
|
|
(A.18) |
where
;
; and P=ab'. a and b are k×r matrices. a is the vector of speed of the adjustment parameter,
which accounts for adjusting the deviation to the long-run equilibrium. b is the normalized coefficient vector, the cointegrating
vector that shows the long-run relationship.
ESTIMATING PROCEDURES FOR THE ECM
The two main procedures to test and estimate the ECM are:
i) the r residual-based approach;
ii) the Johansen procedure.
This subsection provides a brief explanation of both procedures.
Residual-based approach
Engle and Granger (1987) proposed a residual-based method to test the existence of the ECM, and a two-step procedure to estimate the ECM. Their residual-based test for the ECM is simple. If I(1) variables are cointegrated in the ordinary least square (OLS) regression, then error term, et, should be I(0). Thus, Engle and Granger suggest that the residuals are tested for unit roots. The ECM estimation consists of two steps. First, the long-run equation is to be obtained by regressing the cointegrating variables (OLS regression). The dependent variable is selected according to theory. As only one cointegration relationship can be estimated by this method, one regression equation is estimated, and the residuals are saved for the second step. In the second step, the ECM is analysed by regressing the differenced variables with the lag values of the residual of the long-run regression, but this method has many drawbacks. The results of the ECM depend on the results of the first long-run equation. If there is a misspecification in the long-run equation, it will affect the results of the ECM. In addition, if there is more than one cointegrating relationship, this method cannot be employed.
Johansen procedure
Johansen (1988) suggests a maximum likelihood procedure to obtain a and b by decomposing the matrix P of the ECM. Identifying the number of cointegration vectors within the VAR model is the basis for this procedure. To identify the number of cointegration vectors a likelihood ratio test of hypotheses procedure is used. The Johansen procedure consists of four steps (Enders, 1995, pp. 396-400).
Step 1: Pre-test and lag length test
In step 1, all variables are pre-tested to assess the order of integration. It is easier to detect the possible trends when a series is plotted. The order of integration is important, because variables with different orders of integration pose problems in setting the cointegration relationship. Order of integration is detected by the unit root tests discussed in section A. The lag length test is used to find the number of lag values that should be included in the model.
Step 2: Model estimation and determination of the rank of P
The model considered for cointegration can be estimated in several forms based on the specification of the constant and the time trend. If the model has a constant without a time trend, then it can be estimated in two forms: either the constant is inside the cointegrating vector, or it is outside the cointegrating vector. If the model has a time trend, then it is considered either inside or outside the cointegrating vector. Since the endogenous growth model fits the Sri Lankan case better, this study considers the model without time trend. However, because the constant term is insignificant, the model is estimated without the constant term.
Selection of the model form depends on the likelihood ratio test statistics, which denote LRl, based eigenvalues. Johansen (1988, pp. 234-235) indicates that eigenvalues are the squared canonical correlation of residuals of Rk and R0, where Rk is the residual of the regression of Xt-k on the lagged differences (k number of lag values), and R0 is the residual of the regression DXt on the lagged differences.
The null hypothesis for LRl is as follows:
H0: restricted model:
|
|
(A.19) |
where:
r = number of non-zero eigenvalues of unrestricted model;
= eigenvalue of the restricted model;
= eigenvalue of the unrestricted model;
T = number of observations;
n = number of endogenous variables;
Restricted model = time trend or constant inside the cointegrating vector;
Unrestricted model = time trend or constant outside the cointegrating vector.
If LRl>c2, the critical value for an n-r degree of freedom where n is a number of endogenous variables and r is a number of cointegration relations of unrestricted model, then the null hypothesis is rejected.
Johansen (1988) discusses three possibilities:
Johansen (1988) and Johansen and Juselius (1990) suggest a nested hypothesis testing procedure to estimate the rank of P. They propose that these hypotheses tests be performed on the basis of the critical values of two tests: the trace test and the Lambda max test (maximal eigenvalues). In addition, three tests are available: the Akaike information criterion (AIC), the Schwarz-Bayesian criterion (SBC) and the Hannan-Quinn criterion (HQC).
Step 3: Normalization of cointegrating vector(s) and estimation of the speed of adjustment coefficients
If the variables are cointegrated, after selecting the rank, the normalized b vector (setting b1=1), the speed of adjustment coefficient and the short-run dynamics are estimated.
Step 4: Evaluation of innovation
It is important to evaluate whether the results of the analysis have a sound economic base.
The Johansen procedure is preferred to the residual-based approach because it makes it possible to analyse with more complex models.
MAXIMAL EIGENVALUE STATISTICS
The results of maximal eigenvalue statistics depend on the following hypothesis:
Null H0 = Hr: Rank (Py) = r
Alternative H1 = Hr+1: Rank (Py) = r+1
Where r is the number of cointegrating relations, r = 0,1,2,..., m-1; and m is the number of endogenous I(1) variables.
Log likelihood ratio statistics for the test are given by:
|
|
(A.20) |
where n is the number of observations; and
is the largest eigenvalue
of matrices S00-1 S01
S11-1 S10. These matrices are defined
as:
|
|
(A.21) |
r0t, r1t for t = 1, 2.....n are the residual vectors obtained from two regressions in each form.
TRACE STATISTICS
The null hypothesis for the trace statistics is defined as:

The alternative hypothesis is:

where m is the number of endogenous I(1)variables, r = 0,1,2,..... m-1
Log likelihood ratio statistics for the test are given by:
|
|
(A.22) |
where
,...
is the largest eigenvalue
of matrices S00-1 S01
S11-1 S10. These matrices are defined by
Equation A.21.
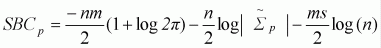
AIC, SBC AND HQC CRITERIA
The test statistics of these criteria are based on the following equations:
|
|
(A.23) |
|
|
(A.24) |
|
|
(A.25) |
where
is
defined as:
|
|
(A.26) |
V is the total number of
coefficients estimated and
is already denoted
under maximal eigenvalue statistics. S00 is obtained from
Equation A.21. n and m are the number of observations and the
number of endogenous variables, respectively. In each test, the rank is selected
based on the highest statistical value.
However, the rank number can be restricted based on a strong theoretical background.
LAG LENGTH TEST
AIC and SBC are used to determine the appropriate lag length. Statistics of AIC and SBC are based on the following formulas:
|
|
(A.29) |
|
|
(A.30) |
where:
s = mp + q + 2;
m = jointly determined dependent variables (endogenous variables);
q = deterministic or exogenous variables;
p = lag length;
= residual sum of the square of the VAR model.
Empirically, SBC never selects lag values that are larger than AIC, while AIC selects relatively higher lag values.