INTRODUCCIÓN
El descubrimiento de malezas resistentes a los herbicidas a inicios de la década de 1970 despertó interés en imitar esta evolución no intencional para ser usada en el fitomejoramiento. Los progresos concomitantes en materia de genética molecular hicieron posible la incorporación de genes de resistencia de organismos no emparentados en cultivos susceptibles. En otras palabras, ahora es posible adaptar la biología del cultivo a la química mientras que anteriormente había que adaptar la química a la biología. Sin embargo, se debe notar que los cultivos resistentes a herbicidas (CRH) fueron primeramente producidos por métodos del fitomejoramiento clásico mientras que los actuales CRH han sido producidos por medio de la ingeniería genética, la tecnología que ha involuntariamente ha colocado esos cultivos en el centro de un fuerte debate entre aquellos que están en favor de los mismos y aquellos que están en contra de la introducción y uso comercial de los cultivos genéticamente modificados (GM).
Los CRH han sido cultivados comercialmente desde 1984 cuando el primar cultivar de canola resistente a la triazina (OAC Tritón) fue introducido en el mercado canadiense. Este cultivar fue obtenido por medio de los métodos tradicionales de fitomejoramiento. Brassica rapa L. resistente a la triazina fue retrocruzada con una veriedad comercial de canola (Hall et al., 1996).
A escala mundial los CRH-GM constituyen el 85 por ciento (incluyendo genes Bt y HR) del área total de 52,5 millones de hectáreas cultivadas con cultivos GM en el año 2001. Los CRH-GM a menudo son citados como cultivos de primera generación y han surgido preguntas sobre su utilidad y los riesgos putativos para el ambiente y los consumidores.
EVALUACIÓN DE BENEFICIOS
En relación a los organismos GM, muchos sistemas normativos consideran solo en forma indirecta el tema de la utilidad de los productos GM. De acuerdo a las normas europeas (2001/18/EC) se asume implícitamente que un producto viable desde el punto de vista comercial es útil. Sin embargo, una segunda definición de utilidad pudiera entender que el producto deba satisfacer importantes necesidades de la comunidad (Madsen et al., 2002a). La resistencia a los herbicidas ha sido desarrollada en primer lugar para beneficiar el manejo de las explotaciones agrícolas mientras que los beneficios para los consumidores son menos evidentes.
Las ventajas generales parecen estar relacionadas con el hecho de que los CRH permiten que los agricultores apliquen una estrategia de manejo simple y flexible. Además, en el caso de algunos CRH es posible reemplazar herbicidas con un perfil ambiental desfavorable. Más aún, en el caso de la soja tolerante al glifosato, por ejemplo, los costos de los programas de control de malezas han disminuído tanto en los sistemas convencionales como en los cultivos con CRH en razón de la reducción del precio de los herbicidas.
La soja resistente al glifosato ha sido adoptada sobre todo porque simplifica las operaciones de control de malezas en virtud del uso de un solo herbicida y con un lapso de aplicación más flexible que el de los herbicidas convencionales. Dado que el glifosato es fuertemente adsorbido, hay un riesgo negligible de los efectos residuales sobre los cultivos sucesivos de la rotación. Se estima que el número de aplicaciones de herbicidas ha disminuído en 12 por ciento en el período 1995-1999. Sin embargo, cuando esto se mide en términos de cantidad total de ingredientes activos utilizados, parece haber un incremento. El aumento del uso de herbicidas en el cultivo de soja en los Estados Unidos de América puede ser parcialmente explicado por un aumento del área sembrada con este cultivo (Carpenter y Giannessi, 2001). Sin embargo, es difícil aislar los efectos de la adopción de los cultivos GM de otros factores que pueden afectar el uso de pesticidas (Heimlich et al., 2000). La Asociación Estadounidense de la Soja (American Soybean Association) indica que la soja resistente al glifosato protege el ambiente por medio de cambios en las prácticas de labranza, por la aplicación de herbicidas y por un mejor control de las malezas. Además, los agricultores producen granos más limpios que contienen menos impurezas (Anderson, 2001).
Otro ejemplo lo constituyen las variedades de arroz resistentes a los herbicidas actualmente disponibles. Desde un punto de vista agronómico, frecuentemente se ofrecen dos razones para justificar el desarrollo e introducción de estas variedades. La primera razón es mejorar el control de la flora de malezas asociada con el cultivo, especialmente el arroz rojo y otras malezas (Olofsdotter et al., 2000; Gealy y Dilday, 1997). La segunda razón es proporcionar una herramienta alternativa para el manejo de las malezas que han desarrollado resistencia a herbicidas particulares, especialmente gramíneas como Echinochloa spp. (Olofsdotter et al., 2000; Wilcut et al., 1996). Más aún, el arroz RH permite la sustitución de algunos herbicidas actualmente en uso por otros menos perjudiciales para el ambiente (Olofsdotter et al., 2000).
En muchas partes del mundo, la erosión del suelo resultante de las prácticas de labranza constituye un serio problema. En general, los CRH pueden ser favorables para el ambiente permitiendo un manejo flexible de las malezas en comparación con los sistemas convencionales. Esto permite a los agricultores implementar las prácticas de agricultura de conservación, por ejemplo, labranza cero o labranza mínima y, por lo tanto, reducir la erosión del suelo (Duke, 2001).
RIESGOS
En el caso de los CRH los riesgos pueden ser considerados estimaciones cuantitativas que combinan la probabilidad y la severidad de los efectos adversos inmediatos y a largo plazo para la salud humana, el ambiente y la economía de los agricultores. La probabilidad y la severidad de cada efecto indeseable asociado con los CRH depende del cultivo, del carácter RH, de la flora local de malezas, de las condiciones climáticas y de las prácticas de manejo agrícola y pueden ser estimadas solamente caso por caso (Madsen et al., 2002b).
En los cultivos resistentes al glifosato, el control óptimo de las malezas a menudo requiere aplicaciones reiteradas de glifosato en las cuales es importante considerar el momento relativo de su emergencia (Swanton et al., 2000). Cuando el glifosato se aplica dos o tres veces por año en altas dosis impone una alta presión de selección sobre la flora local. En un plazo de cinco a ocho años esto puede causar cambios en la composición de las malezas respecto a las especies que naturalmente toleran el glifosato (Benbrook, 2001; Shaner, 2000) y pueden ser necesarios otros herbicidas para un control adecuado (Shaner, 2000). Payne y Oliver (2000) sugieren la aplicación convencional de herbicidas de postemergencia en los programas de control de malezas de la soja resistente a los herbicidas para ayudar en el control de las especies tolerantes al glifosato tales como Sesbania exaltata (Raf.) Cory, Ipomoea spp. o Amaranthus rudis Sauer. Más aún, puede ser difícil controlar cultivos espontáneos en los años subsiguientes. Si los agricultores cultivan variedades de maíz y soja resistentes al glifosato en una rotación soja-maíz, el glifosato puede no controlar el maíz espontáneo que podría llegar a constituir un problema serio como maleza en el cultivo de soja (Shaner, 2000).
El flujo de genes de un cultivo a otro o a especies emparentadas es otra vía para el desarrollo de poblaciones de malezas resistentes en el campo. Una vez que el gen de resistencia está presente en plantas espontáneas o en especies emparentadas se espera que las mismas prácticas de control de malezas (considerables aspersiones con herbicidas con el mismo modo de acción) que causan la resistencia a los herbicidas puedan ocurrir en biotipos de malezas naturalmente tolerantes/resistentes, lo cual llevará a un rápido aumento de las malezas y plantas espontáneas RH.
En algunas partes del mundo el incremento del uso de herbicidas es considerado un riesgo, si bien los efectos sobre la salud humana o el ambiente raramente se especifican detalladamente; sin embargo, por ejemplo, los efectos derivados del uso de pesticidas tales como la contaminación de las aguas subterráneas y los residuos de pesticidas en las hortalizas han sido causa de preocupación pública. Parece haber dos explicaciones principales para el aumento del uso de herbicidas en los CRH. Una de ellas es que el alto nivel de tolerancia puede permitir al agricultor incrementar las dosis para obtener un mejor control de las malezas sin perjudicar el cultivo (Figura 2). La otra razón son los problemas con las malezas tolerantes/resistentes y las plantas espontáneas, las cuales requieren que los agricultores aumenten las dosis o mezclen herbicidas con diferentes modos de acción para mantener un nivel aceptable de control de malezas.
La biodiversidad en el campo puede ser afectada si el herbicida al cual el CRH es resistente es usado a un nivel de eficacia más alta que hasta ese momento a fin de obtener un mejor control de las malezas. Más aún, las especies responden en forma diferente a diferentes herbicidas o a otras medidas de control de malezas y es muy probable que haya un cambio de las especies prevalentes. Si el cultivo de un CRH se realiza en el centro genético de origen se produce un cambio en la diversidad de las especie nativa y se arriesga la disminución de la diversidad genética de esa especie lo que constituye un peligro (FAO, 2001). Sin embargo, es muy improbable que los cultivos RH causen erosión de la diversidad genética de las especies salvajes fuera de las tierras cultivadas ya que el carácter está asociado con el uso de los herbicidas los cuales no se aplican en zonas silvestres y un carácter RH no confiere ventajas selectivas excepto cuando se usa el herbicida (Poulsen, 1995; Madsen et al., 1998). Por ello, existe un bajo riesgo de erosión de la diversidad genética de las especies silvestres que crecen en ambientes naturales.
A pesar de estas preocupaciones, algunos usos de cultivos GM, por ejemplo, remolacha azucarera resistente a herbicidas, parecen ser seguros en lo que se refiere a los riesgos ecológicos cuando son juzgados bajo normas científicas (Madsen y Sandoe, 2001).
Finalmente, se debe enfatizar que la evaluación del riesgo es solo uno de los pasos que conducen a la aprobación final de un CRH, lo cual implica una decisión política. En primer lugar, un nivel aceptable de riesgo no es un término objetivo y en segundo lugar, la evaluación del riesgo del CRH está asociada con un alto grado de incerteza en relación con la magnitud y la probabilidad por la cual pueden ocurrir los peligros potenciales con los CRH (Madsen et al., 2002b).
TEMAS BÁSICOS A SER CONSIDERADOS CUANDO SE EVALÚAN LOS RIESGOS DE LOS CRH
La primera etapa es determinar cuales efectos indeseables son importantes en un escenario particular. En una publicación anterior se propuso el uso de claves de decisión para la identificación de peligros y efectos indeseables. Estas claves fueron preparadas para evaluar la probabilidad de que un nuevo tipo de malezas sean producidas por el flujo de genes entre el cultivo transgénico y especies emparentadas, para la probabilidad que el cultivo transgénico se convierta en un problema espontáneo en tierras arables o áreas silvestres y para la probabilidad de aumentar la población de las malezas resistentes a los herbicidas (FAO, 2001).
FLUJO DE GENES
La transferencia de genes de una población a otra puede conducir a efectos indeseados para el manejo de las malezas y el ambiente. El flujo de genes puede permitir que los genes de resistencia se transfieran entre las variedades RH y no-RH y contaminando de esta manera un cultivo que se considera libre de GM. O los genes RH pueden ser acumulados durante varios años de polinización cruzada de CRH lo cual puede dar lugar a problemas para el agricultor para controlar las plantas espontáneas en el campo. En Canadá se han observado plantas de colza espontáneas resistentes a los herbicidas en un área que en los predios adyacentes tenían cultivos de colza resistente a distintos herbicidas (Hall et al., 2000). El flujo de genes entre especies emparentadas, por ejemplo, el cultivo y ciertas malezas en el campo, pueden resultar en el desarrollo de malezas RH.
Si el flujo de genes es un proceso importante para ser considerado por un CRH particular, la siguiente etapa consiste a menudo en cuantificar el nivel de flujo de genes dentro y entre las especies en el tiempo y el espacio. En los últimos 10-15 años ha habido una serie de estudios sobre este tema, muchos de ellos enfocados a la hibridación dentro y entre los cultivos y con las especies silvestres emparentadas (ver Tabla 1 al final del Capítulo, Madsen y Jensen, 1998). Otros estudios han estado dirigidos a la determinación de la distancia del flujo de genes (Figura 1) y algunos han evaluado la capacidad de los híbridos para sobrevivir y producir semillas en un cierto número de generaciones; por ejemplo, Hauser et al. (1998) demostraron que la producción de biomasa y de semillas parece ser reducida en la segunda generación de híbridos (F2 o BC1) entre colza y B. rapa L.

Figura 1. Dispersión del polen de Beta vulgaris var. conditiva a B. maritima - frecuencia de cruzamiento (porcentaje) como función de la distancia de B. vulgaris var. conditiva. Nota: E=este; ENE=este-noreste; ESE=este-sudeste (Fuente: Madsen, 1994).
CAPACIDAD COMPETITIVA
Algunos experimentos sobre la competencia han mostrado que los biotipos resistentes a los herbicidas de los cultivos y las malezas pueden tener capacidades competitivas similares a los biotipos no resistentes cuando no son asperjados con el herbicida al cual son resistentes (Jensen, 1993; Poulsen, 1995; Fredshavn et al., 1995; Madsen et al., 1998). Por lo tanto, es improbable que la adecuación se incremente por la mera presencia de un gen RH. Sin embargo, se ha observado una adecuación reducida, por ejemplo, en la variedad de colza OAC Tritón resistente a la triazina que rindió significativamente menos que las variedades no resistentes. Cuando el biotipo de maleza RH es asperjado con el herbicida, no solo no es dañado por el mismo sino que además no tiene la competencia de todas las malezas no resistentes y espontáneas, las que perecen. Esto es ventajoso para el biotipo RH el cual rápidamente forma biomasa vegetativa y produce gran número de semillas o propágulos que entran al banco de semillas del suelo. Existen varios diseños experimentales disponibles para evaluar la capacidad competitiva en una temporada de cultivo. Sin embargo, en estas circunstancias experimentales es difícil evaluar los efectos a largo plazo sobre la dinámica de la población de una capacidad competitiva alterada.
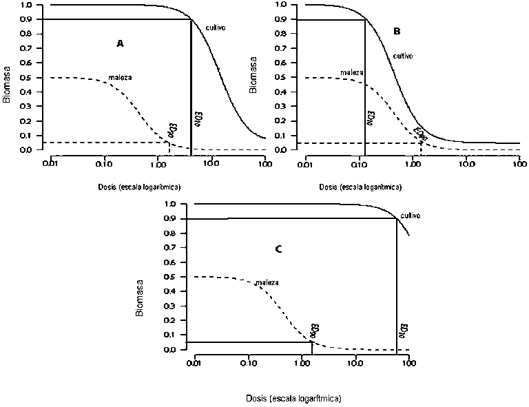
CURVAS DE RESPUESTA DE LAS DOSIS
La relación de respuesta a las dosis para una combinación particular de herbicidas y plantas, bajo condiciones específicas climáticas y de crecimiento, pueden ser descritas como se indica en la Figura 2. La dosis correspondiente a un predeterminado nivel de eficacia de 90 por ciento de nivel de control (ED90) puede ser usada como una medida de sensibilidad de las malezas y la dosis resultante en un 10 por ciento de depresión temporal de los rendimientos (ED10) en el momento de registrar los datos puede ser usada para ordenar los cultivos de acuerdo a la tolerancia del herbicida. Notar que las dosis se expresan en una escala logarítmica. Las curvas de respuesta a las dosis pueden ser usadas para determinar la tolerancia del cultivo frente al nivel de control de las malezas. Este procedimiento a menudo es usado para desarrollar nuevos herbicidas o CRH. La Figura 2.A muestra un herbicida selectivo intrínseco, donde el índice de selectividad ED90/ED10 es mayor que 1,0, si bien, preferiblemente, debería estar alrededor de 3,0; la Figura 2.B. ilustra un herbicida no selectivo donde el ED10 está más a la izquierda que el nivel deseado de control para la maleza y la Figura 2.C muestra que sucede cuando el cultivo en la Figura 2.B se vuelve tolerante a otro herbicida que de otra manera no sería no selectivo. El ED10 para este cultivo está muy desplazado hacia la derecha del ED90 de la maleza.
Otra aplicación de las curvas de respuesta de las dosis es ordenar las especies según el ED90. Esta ordenación puede indicar cuales especies pueden probablemente convertirse en dominantes y cuales pueden perecer cuando se cultiva un CRH recién liberado y es asperjado con su herbicida asociado. Es posible obtener una primera indicación genérica de los cambios en la flora de las malezas. Sin embargo, extrapolando en forma no crítica las relaciones de respuesta de dosis derivadas de experimentos sobre malezas en monocultura, sin considerar el hábito de crecimiento relativo del cultivo es posible que, bajo ciertas condiciones, se induzca a error (Madsen et al., 2000). Por lo tanto, los experimentos deberían estar basados en mezclas válidas de cultivos y malezas preferiblemente en el campo, porque la cobertura de los cultivos puede afectar la deposición de las gotas sobre las malezas objetivo y las condiciones climáticas pueden tener una fuerte influencia sobre la absorción y la traslocación, dependiendo del herbicida y de la especie de planta cultivada.
MODELOS DE SIMULACIÓN
Muchas de las interrogantes sobre los CRH pueden ser aclaradas en forma experimental por medio de ensayos de varios años de duración, si bien estos experimentos son costosos. Más aún, estos cultivos ya se están sembrando en grandes áreas, lo cual significa que las estrategias de manejo para prevenir/demorar los problemas deben ser desarrolladas inmediatamente para que sean efectivas. Las simulaciones que combinan experimentos a mediano y largo plazo pueden ofrecer una mejor comprensión de la adecuación de las estrategias de manejo de las malezas que pueden prevenir o demorar la selección de malezas RH. Más aún, el desarrollo de un sistema modelo podría revelar cuando falta, o es insuficiente, información importante. La simulación puede así ser útil para anticipar problemas con el uso incorrecto de herbicidas tal como el desarollo de malezas resistentes y espontáneas y/o mayores cambios en la flora de malezas. Por supuesto, los requisitos para el modelo deben ser claramente establecidos para obtener un juicio correcto de las predicciones.
Madsen et al., (2002) desarrollaron un modelo de simulación de cultivo de variedades de arroz RH en un sistema de producción de secano en América Central para investigar el siguiente problema: ¿existe el riesgo de un incremento de los problemas de malezas derivado del flujo de genes y el arroz espontáneo?
La simulación con arroz resistente al glufosinato permitió la predicción de efectos potenciales a largo plazo y la prueba de varios escenarios incluyendo prácticas contrastantes de manejo de las malezas, niveles de hibridación entre el arroz RH comercial y el arroz-maleza y las tasas de pérdidas de semillas. Dado que los riesgos pueden ser evidentes solo después de varios años de cultivo de arroz RH, las simulaciones fueron hechas por 10 años consecutivos. En un sistema de cultivo que confía en el arroz resistente al glufosinato para el control de las malezas, el modelo predijo que la resistencia al glufosinato podría ocurrir después de 3-8 años de monocultura. Aumentando el nivel de hibridación entre 1-5 por ciento disminuyó el tiempo de resistencia a 1-3 años. El incremento de la tasa anual de pérdida de semillas de arroz-maleza en el suelo demoró el desarrollo de la resistencia. La labranza como estrategia de control de malezas también demoró la ocurrencia de la resistencia, comparada con una situación de labranza cero. Sin embargo, se debe enfatizar que el modelo fue un primer intento para simular un sistema de producción con arroz RH y muchos de sus parámetros fueron muy inseguros. Más aún, el modelo presentado no había sido validado con datos de campo lo cual es un prerrequisito para obtener predicciones confiables a largo plazo acerca las consecuencias del cultivo de arroz RH.
RIESGOS SOCIOECONÓMICOS
Si se aplica una interpretación amplia de los riesgos, un argumento común es la posición dominante del mercado que tienen las corporaciones multinacionales agroquímicas. Estas empresas han adquirido varias compañías de fitomejoramiento de manera de vincular la producción de semillas a los productos agroquímicos. En el año 1997, tres de las cinco compañías más importantes estaban también entre las cinco compañías más importantes de semillas (EU, 2000) y este monopolio puede llevar a la pérdida tanto de variedades tradicionales de ciertos cultivos como de métodos de manejo agrícola muy antiguos. Si esto ocurriera, a pesar de los obvios beneficios de los nuevos cultivos GM, el abastecimiento de alimentos podría ser vulnerable a ligeros cambios en el comportamiento -o sea resistencia- de plagas tales como los patógenos, los insectos y las malezas (Madsen et al., 2002a). Sin embargo, los genes RH pueden ser transferidos a diferentes variedades; por ejemplo, en el año 2000 de un total de 3 000 variedades de soja, 1 100 eran resistentes al glifosato (Anderson, 2001).
Cuando se adoptan cultivos GM los agricultores también encuentran varias limitaciones, a saber: la conservación de semillas es ilegal, el costo de la semilla o las tasas para los convenios tecnológicos han aumentado y son pocos los abastecedores que ofrecen el insumo para la producción de cultivos (EU, 2000). Más aún, si el cultivo RH se cruza rápidamente con cultivos adyacentes no RH, se presenta el problema de los derechos de propiedad de esas plantas involuntariamente resistentes y de los umbrales de semillas GM en la cosecha de cultivos no GM. Más aún, la preocupación del público sobre los alimentos GM puede llevar a solicitar la segregación de cultivos GM y no GM y la introducción de la preservación de la identidad y la trazabilidad en relación con las exportaciones y/o el consumo doméstico. Tales medidas aumentan los costos y pueden resultar en precios diferenciales para los cultivos GM y los cultivos no GM; esta diferenciación puede llevar a cultivos que son producidos bajo contrato. La preservación de la identidad ha sido estimada en un costo de 6 a 17 por ciento del precio recibido por el agricultor (EU, 2000).

Figura 2. Curvas de respuesta a las dosis:
A. Herbicida selectivo inherente que controla la maleza sin dañar el cultivo (alto índice selectividad ED90/ED10>>1.0).
B. Herbicida no selectivo, el cultivo y la maleza son ambos susceptibles.
C. El cultivo en B se ha hecho tolerante al herbicida dando un índice de selectividad muy alto.

Figura 3. Componente de un modelo simulando un sistema de cultivo con arroz RH, arroz-maleza y Echinochloa colona (L.) Link (Madsen et al., 2002b).
CONCLUSIONES
Los CRH tienen un gran potencial para la simplificación del manejo de las malezas. Si son manejados en forma atinada estos cultivos pueden ser benéficos para el ambiente al facilitar los sistemas de labranza cero, reduciendo así la erosión o permitiendo un control tardío de las malezas, lo cual puede aumentar la biodiversidad en el campo. Sin embargo, se debe enfatizar que el riesgo de los CRH debería ser cuidadosamente evaluado antes de liberar los CRH en los sistemas de producción, especialmente cuando los CRH poseen caracteres de malezas o se pueden cruzar con malezas emparentadas. En este caso y si el CRH es cultivado comercialmente, deben ser tomadas precauciones similares a las estrategias de manejo adoptadas para prevenir el desarrollo de malezas naturalmente resistentes. Más aún, las precauciones deben ser tomadas especialmente antes de la liberación en los centros de origen de las especies.
BIBLIOGRAFÍA
Anderson, T. 2001. Biotech soybean seed helps growers produce safe and profitable crops. American Soybean Association. (Disponible en http://www.monsanto.co.uk/news/ukshowlib.phtml?uid=5063).
Benbrook C.M. 2001. Trouble times amid commercial success for Roundup Ready soybeans. AgBioTech InfoNet technical paper number 4. May 3, 2001, 6 pp.
Carpenter, J.E. y Gianessi, L.P. 2001. Agricultural biotechnology: Updated benefit estimates. Report from the National Center for Food and Agricultural Policy. Washington DC, 46 pp.
Duke, S.O. 2001. Herbicide-resistant crops. En: Pimentel, D., ed. Encyclopedia of Pest Management. Marcel Dekker, Inc., New York (en prensa).
EU. 2000. Economic impacts of genetically modified crops on the agri-food sector - A synthesis. Working document Directorate-General for Agriculture (disponible en http://europa.eu.int/comm/agriculture/res/index_en.htm). 43 pp.
FAO. 2001. Draft of guidelines for assessment of ecological hazards of herbicide- and insect-resistant crops. Plant Protection Division, Rome. 18 pp.
Fredshavn, J.R., Poulsen, G.S., Huybrechts, I. y Rudelsheim, P. 1995. Competitiveness of transgenic oilseed rape. Transgenic Res. 4: 142-8.
Gealy, D.R y Dilday, R.H. 1997. Biology of red rice (Oryza sativa L.) accessions and their susceptibility to glufosinate and other herbicides. Weed Sci. Soc. Am. Abstr. 37: 34.
Hall, J.C., Donnelly-Vanderloo, M.J. y Hume, D.J. 1996. Triazine-resistant crops: The agronomic impact and physiological consequences of chloroplast mutation. En: Duke, S.O. ed., Herbicide-resistant crops. Agricultural, Environmental, Economic, Regulatory and technical aspects. USA, CRC Press. pp. 107-126.
Hall, L., Topinak, K., Huffman, J. y Davis, L. (2000) Pollen flow between herbicide-resistant Brassica napus is the cause of multiple-resistant B. napus volunteers. Weed Sci. 48, 688-694.
Hauser, T.P., Jørgensen, R.B. y Østergård, H. 1998. Fitness of backcross and F2 hybrids between weedy Brassica rapa and oilseed rape (B. napus). Heredity 81: 436-443.
Heimlich, R.E., Fernández-Cornejo, J.F., McBride, W., Klotz-Ingram, C., Jans, S. y Brooks, N. 2000. Adoption of genetically engineered seed in U.S. agriculture. En: Proc. of 6th Intl. Symposium on the Biosafety of GMOs. eds. Fairbairn, C., Scoles, G. & McHughen, A. Saskatoon, Canadá. pp. 56-63.
James, C. 2001. Global GM Crop Area continues to grow and exceeds 50 million hectares for first time in 2001. Intl. Service for the Acquisition of Agri-biotech Applications. http://www.isaaa.org/presspercent20release/Globalpercent20Area_Jan2002.htm.
Jensen, J.E. 1993. Fitness of herbicide-resistant weed biotypes described by competition models. En: Proc. of the 8th EWRS Symposium Quantitative approaches in weed and herbicide Res. and their practical application, Braunschweig. 25-32.
Madsen, K.H. 1994. Weed management and impact on ecology of growing glyphosate tolerant sugarbeets (Beta vulgaris L). Royal Veterinary and Agricultural University, Denmark. (Tesis Ph.D.)
Madsen, K.H., Poulsen, G.S., Fredshavn, J.R., Jensen, J.E., Steen, P. y Streibig, J.C. 1998. A method to study competitive ability of hybrids between seabeet (Beta vulgaris ssp. maritima) and transgenic glyphosate tolerant sugarbeet (Beta vulgaris ssp. vulgaris). Acta Agriculturæ Scandinavica, Section B, Soil and Plant Science 48: 170-74.
Madsen, K.H. y Jensen, J.E. 1998. Meeting and training on risk analysis of HRCs and exotic plants. Course material for the UN Food and Agricultural Organization (FAO) in Piracicaba, Brasil 19-22 May 1998.
Madsen, K.H. y Streibig, J.C. 2000. Simulating weed management in glyphosate-tolerant crops: Greenhouse and field studies. Pesticide Management Science 56: 340-344.
Madsen, K.H. y Sandøe, P. 2001. Herbicide resistant sugar beets - What is the problem? J. of Agricultural and Environmental Ethics 14 (2): 161-168.
Madsen, K.H., Sandøe, P. y Lassen, J. 2002a. Genetically modified crops: A US farmers versus an EU citizens point of view. Acta Agriculturae Scandinavica (en prensa).
Madsen, K.H., Valverde, B.E. y Jensen, J.E. 2002b. Risk assessment of herbicide resistant crops: A Latin American perspective using rice (Oryza sativa) as a model. Weed Tech. 16 (1), 215-223.
Olofsdotter, M., Valverde, B.E. y Madsen, K.H. 2000. Herbicide resistant rice (Oryza sativa L.) in a global perspective: Implications for weed management. Annals of Applied Biology 137, 279-295.
Payne, S.A. y Oliver, L.R. 2000. Weed control programs in drilled glyphosate-resistant soybean. Weed Tech. 14: 413-422.
Poulsen, G.S. 1995. Weediness of transgenic oilseed rape - Evaluation methods. The Royal Veterinary and Agricultural University, Dept. of Agric. Sciences (Weed Science), Dinamarca. (Tesis Ph.D.)
Shaner, D.L. 2000. The impact of glyphosate-tolerant crops on the use of other herbicides and on resistance management. Pest Management Science 56: 320-326.
Swanton, C.J., Shrestha, A., Chandler, K. y Deen, W. 2000. An economic assessment of weed control strategies in no-till glyphosate-resistant soybean (Glycine max). Weed Tech. 14: 755-763.
Wilcut, J.W., Coble, H.D., York, A.C y Monks, D.W. 1996. The niche for herbicide-resistant crops in U.S. agriculture. En: Duke, S.O., ed., Herbicide-resistant crops, agricultural, environmental, economic, regulatory, and technical aspects. CRC Press Inc., Boca Ratón, Florida, Estados Unidos de América. pp. 213-230.
Tabla 1. Cruzamientos y flujo de genes dentro y entre diferentes plantas cultivadas y especies emparentadas. La frecuencia del cruzamiento ocurre entre las plantas vecinas. La distancia de aislación usada es la distancia usada en fitomejoramiento. Distancia determinada experimentalmente (det. exp.) es la distancia máxima a la cual se encontró flujo de genes. El flujo de genes es medido como flujo de genes potencial (P) o real (A). F2/BC (segunda generación/retrocruza) indica si los híbridos pueden producir semilla o no (Fuente: Madsen y Jensen, 1998 según datos de múltiples fuentes bibliográficas).
|
Donante polen |
Especie receptora polen |
Frecuencia cruzamiento |
Vector |
Distancia aislación |
Distancia det.exp. |
Frecuencia a distancia máxima |
Flujo de genes |
F2/BC prod.1 |
Fuente |
|
Beta vulgaris |
Beta vulgaris |
Baja-100 % |
Viento |
1000-1200 |
800 |
6 % |
P |
+ |
Jensen y Bøegh, 1942 |
|
-- |
B. maritima |
Alta |
Viento |
|
75 |
0,06-0,31 % |
A |
+ |
Madsen, 1994 |
|
-- |
B. macrocarpa |
Alta |
Viento |
|
0,5 |
1,09 % |
A |
+ |
Madsen, 1994 |
|
-- |
B. atriplicifolia |
Alta |
Viento |
|
9,4 |
2,84 % |
A |
+ |
Madsen, 1994 |
|
Brassica napus |
Brassica napus |
22-36 % |
Abejas viento |
200 |
200 |
0,008- 0,017 % |
P |
+ |
Leckie et al., 1993/Pou-lsen y Jensen, 1995 datos sin public. |
|
-- |
B. rapa |
13 % (9-93) |
Abejas |
500 |
|
|
A |
Si |
Jørgensen y Andersen, 1994 |
|
-- |
B. juncea |
Algo |
Abejas |
800 |
|
|
|
Si |
Scheffler y Dale, 1994 |
|
-- |
B. oleracea |
Algo |
Abejas |
800 |
|
|
|
Si |
Scheffler y Dale, 1994 |
|
-- |
B. nigra |
Algo |
Abejas |
500 |
|
|
|
Si |
Scheffler y Dale, 1994 |
|
-- |
Raphanus raphanistrum |
Algo |
Abejas |
500 |
|
|
|
Si |
Scheffler y Dale, 1994 |
|
-- |
Diplotaxis muralis |
Baja |
Abejas |
|
|
|
|
Si |
Scheffler y Dale, 1994 |
|
-- |
Sinapis alba |
Baja |
Abejas |
500 |
|
|
|
No |
Scheffler y Dale, 1994 |
|
-- |
S. arvensis |
Baja |
Abejas |
|
|
|
|
No |
Scheffler y Dale, 1994 |
|
Solanum tuberosum |
S. tuberosum |
Baja |
Abejas |
|
4,5 |
0,05 % |
A |
+ |
Højland y Poulsen, 1994 |
|
-- |
S. nigrum |
Mínima |
Abejas |
|
|
|
|
- |
Højland y Poulsen, 1994 |
|
Pisum sativum |
P. sativum |
Mínima |
Insecto |
1 |
|
|
|
+ |
Poulsen y Højland, 1994 |
|
Vicia faba |
V. faba |
30-40 % |
Abejas |
400 |
|
|
|
+ |
Metz et al., 1994 |
|
Medicago sativa |
M. sativa |
76 % |
Abejas |
|
75 |
7,2 % |
A |
+ |
Højland y Poulsen, 1994B/ Knapp y Teuber, 1993 |
|
-- |
M. falcata |
Alta |
Abejas |
|
|
|
|
+ |
Højland y Poulsen, 1994B |
|
Hordeum vulgare |
H. vulgare |
0,5-5 % |
Viento |
|
|
|
|
+ |
Pedersen y Højland, 1994 |
|
Triticum aestivum |
T. aestivum |
<3 % |
Viento |
|
|
|
|
+ |
OECD, 1993 |
|
Secale cereale |
S. cereale |
55-100 % |
Viento |
|
700 |
10 %nt |
P |
+ |
Polanco et al., 1994/ Jensen y Bøegh, 1942 |
|
Zea maize |
Z. maize |
95 % |
Viento |
400 (no DK) |
|
|
|
+ |
OECD, 1993/ Gill y Vear, 1980 |
|
Cucurbita pepo |
C. texana |
Alta |
Abejas |
400 |
1 300 |
0 |
A |
? |
Dekker, 1988 |
|
Oryza sativa |
O. sativa (red rice) |
1-52 % |
|
|
|
|
|
+ |
Langevin et al. 1990 |
|
Sorghum bicolor |
S. halepense (Johnsongrass) |
10-15 % |
Viento |
200-400 |
Cruzas manuales |
11 % |
A |
+ |
Arriola y Ellstrand 1997 |
|
Solanum tuberosum |
S. tuberosum |
Baja |
Abejas |
|
4,5 |
0,05 |
A |
+ |
Revisado por Højland y Poulsen, 1994 |
|
Solanum tuberosum |
S. nigrum |
Mínima |
Abejas |
|
|
|
|
- |
Revisado por Højland y Poulsen, 1994 |
|
Solanum tuberosum |
S. tuberosum |
Baja |
Abejas |
20 sugerida |
10 |
0,02 |
A |
? |
Connor y Dale, 1996 |
|
Helianthus annuus |
H. annuus |
27 % |
Insecto |
88 |
1 000 |
2 % |
A |
? |
Arrias & Rieseberg, 1994 |
|
Zea maiys |
Z. mexicana |
95 % |
Viento |
180-750 |
|
|
A |
+ |
Wilkes, 1977 |
|
Lupinus albus |
L. angustifolius |
8,4 % |
Abejas |
200 |
37,5 |
0,04 % |
A |
? |
Faluyi y Williams, 1981 |
|
Phaseolus vulgaris |
P. acutifolius |
Baja |
|
3-100 |
Inver- |
|
A |
(+) |
Pratt y Gordon, 1994 |
+ indica que puede ser producida una generación F2/BC, pero que el experimento no la probó.