We start with an assessment of the information value of the monthly catch rates by gear and species group of Lake Malombe as taken from the CEDRS of Malawi, through an analysis of variance and trends, summarized in Table 1 and Figures 3-7. We analyse the size and sources of variability: gear selection of species, co-variation of species in the catch (see section 3.1 of this paper) and seasonal variability (3.2), inter-annual variability (3.3) and patterns trends (3.4) in catch rates (as a proxy for fish biomass). Seasonal variation is predictable while (long-term) trend is the information of interest: other sources of variation obscure the perception of trends. The variability in the data remaining after removing variability caused by trends and seasonality is called basic-uncertainty, and we will show that this is very high on the aggregated level of monthly catch rate data in the Malawian CEDRS (3.5), increasing the trend-to-noise ratio and with that decreasing the administrative capacity to detect trends (3.6). Its causes are discussed in Appendix 3. Next we will turn our attention to two potential causal factors. We use a statistical correlative approach of the trends and inter-annual variation in catch rates assuming changes in water level as driving factor of, and fishing effort as main pressure on, fish stock levels. After describing the developments in water level since 1915 (3.7), we examine the effect of annual change in water levels on the annual change in catch rates i.e. irrespective of trends in both variables (3.8). Then we describe developments in fishing effort by number of fishermen (3.9) and gears and gear activity (3.10). Lastly we examine the combined effect of increased effort and changing water levels on the development of catch- rates (3.11).
Gears are species selective
In multispecies fishery different gears, their spatial allocation and mode of operation - together forming a fishing pattern - target different sections of the fish community. Alow variability[26] in catch rates of a particular species, or group of species, compared to others caught by the same gear indicates an important target of a particular fishing pattern. Changes in stock-sizes are more easily detected by analysing catch rates of these gears. The lowest variability is found in the species-gear combinations Oreochromis in Chambo seines (F = 4.8) and Haplochromis in Kambuzi seines (F = 8.9) and Nkacha nets (F = 2.7). The lowest variability in gillnets are Cyprinid catch rates (F = 6): though Oreochromis is known to be a target species for this fishery a large amount of variability is induced by the declining trend as a result of the collapse of Chambo (see further). For most other species-gear combinations the variability is around a factor F = 10 or higher (Table 1; Figure 3).
FIGURE 3. The size of variability expressed as factor (F) around the geometric mean explained by trends (as linear regression), interannual, monthly and residual variability. The residual variability is also expressed as standard deviation (S) at the bottom of each column. The arrow indicates the target species of a gear. Basic uncertainty (see text) is the variability remaining when trend (black area) and seasonality (light grey area) are removed from the total variability.

Aggregation of species into a total catch rate of a gear only leads to a slight reduction in total variability in all cases, and even in a slight increase in case of Nkacha seines. This indicates that though the gears are relatively specific in their target species, co-variation of the other species in the catch may be high leading to a lower reduction in CV of catch rates (Oostenbrugge et al., 2002). The variability in total catch rates was lowest in Nkacha nets with a factor F = 2.8 followed by Chambo seines (F = 4.5), gillnets (F = 6.1) and Kambuzi seines (F = 7.2). Kambuziseines exhibit a surprisingly high variability, compared to the other seines, which may be due to large differences in net sizes that were not taken into account in the correction of daily catch rate samples for effort, while before 1986 Nkacha and Kambuzi seines were not separated in the data collection.
TABLE 2. Results of Analysis of Variance and regression analysis on monthly catch rates of Lake Malombe by gear and species groups as contained in the CEDRS of Malawi (see text for further explanation)
|
Total catches |
Chambo seine |
Gillnets |
||||||||||
|
|
Model |
df |
MSE |
Factor |
r2 |
p |
Model |
df |
MSE |
Factor |
r2 |
p |
|
Total variance |
|
90 |
0.108 |
4.5 |
|
|
|
234 |
0.153 |
6.1 |
|
|
|
After Year |
- |
- |
- |
- |
- |
ns |
Year |
215 |
0.066 |
3.3 |
0.60 |
*** |
|
After Month |
Month |
81 |
0.095 |
4.1 |
0.20 |
* |
Year + Month |
204 |
0.063 |
3.2 |
0.64 |
*** |
|
Trend |
- |
- |
- |
- |
- |
ns |
Linear |
233 |
0.099 |
4.3 |
0.36 |
*** |
|
|
|
|
|
|
|
|
Polynomial |
232 |
0.084 |
3.8 |
0.46 |
*** |
|
|
|
(quadratic term = 21% of total explained variance) |
||||||||||
|
|
Kambuzi seine |
Nkacha seine |
||||||||||
|
Total variance |
|
194 |
0.196 |
7.7 |
|
|
|
87 |
0.051 |
2.8 |
|
|
|
After Year |
Year |
175 |
0.115 |
4.8 |
0.47 |
*** |
Year |
76 |
0.021 |
1.9 |
0.65 |
*** |
|
After Month |
- |
- |
- |
- |
- |
ns |
- |
- |
- |
- |
- |
ns |
|
Trend |
Linear |
193 |
0.172 |
6.8 |
0.12 |
*** |
Linear |
- |
- |
- |
- |
ns |
|
|
Polynomial |
192 |
0.164 |
6.5 |
0.17 |
*** |
Quadratic |
86 |
0.040 |
2.5 |
0.23 |
*** |
|
|
(quadratic term = 27% of total explained variance) |
|
||||||||||
|
Oreochromis spp. |
Chambo seine |
Gillnets |
||||||||||
|
Total variance |
|
90 |
0.116 |
4.8 |
|
|
|
231 |
0.305 |
12.7 |
|
|
|
After Year |
- |
- |
- |
- |
- |
ns |
Year |
212 |
0.124 |
5.0 |
0.63 |
*** |
|
After Month |
Month |
81 |
0.101 |
4.3 |
0.21 |
* |
Year + Month |
201 |
0.110 |
4.6 |
0.69 |
*** |
|
Trend |
- |
- |
- |
- |
- |
ns |
Linear |
230 |
0.161 |
6.4 |
0.47 |
*** |
|
|
|
|
|
|
|
|
Polynomial |
229 |
0.141 |
5.6 |
0.54 |
*** |
|
|
|
(quadratic term = 12% of total explained variance) |
||||||||||
|
|
Kambuzi seine |
Nkacha seine |
||||||||||
|
Total variance |
|
117 |
1.405 |
234.9 |
|
|
|
65 |
0.690 |
45.8 |
|
|
|
After Year |
Year |
98 |
0.621 |
37.7 |
0.63 |
|
*** |
54 |
0.400 |
18.4 |
0.52 |
*** |
|
After Month |
Year + Month |
87 |
0.518 |
27.5 |
0.73 |
*** |
- |
- |
- |
- |
- |
ns |
|
Trend |
Linear |
116 |
1.190 |
152.0 |
0.16 |
*** |
Linear |
64 |
0.500 |
25.9 |
0.29 |
*** |
|
|
Polynomial |
115 |
0.996 |
99.2 |
0.30 |
|
*** |
|
|
|
|
|
|
|
(quadratic term = 47% of total explained variance) |
|
||||||||||
|
Haplochromis spp. |
Chambo seine |
Gillnets |
||||||||||
|
Total variance |
|
1 |
0.341 |
14.7 |
|
|
|
12 |
0.371 |
16.5 |
|
|
|
After Year |
|
- |
- |
- |
- |
- |
Year |
6 |
0.062 |
3.1 |
0.92 |
** |
|
After Month |
|
- |
- |
- |
- |
- |
- |
- |
- |
- |
- |
ns |
|
Trend |
|
- |
- |
- |
- |
ns |
Quadratic |
11 |
0.227 |
9.0 |
0.44 |
* |
|
|
Kambuzi seine |
Nkacha seine |
||||||||||
|
Total variance |
|
179 |
0.226 |
8.9 |
|
|
|
84 |
0.046 |
2.7 |
|
|
|
After Year |
Year |
160 |
0.172 |
6.8 |
0.32 |
*** |
Year |
74 |
0.024 |
2.1 |
0.53 |
*** |
|
After Month |
- |
- |
- |
- |
- |
ns |
- |
- |
- |
- |
- |
ns |
|
Trend |
Linear |
178 |
0.215 |
8.4 |
0.06 |
*** |
Linear |
- |
- |
- |
- |
ns |
|
|
Polynomial |
177 |
0.208 |
8.2 |
0.09 |
** |
Quadratic |
83 |
0.035 |
2.4 |
0.26 |
*** |
|
|
(quadratic term = 38% of total explained variance) |
|
||||||||||
|
Cyprinid spp. |
Chambo seine |
Gillnets |
||||||||||
|
Total variance |
|
74 |
0.349 |
15.2 |
|
|
|
232 |
0.151 |
6.0 |
|
|
|
After Year |
Year |
62 |
0.248 |
9.9 |
0.41 |
*** |
Year |
213 |
0.090 |
4.0 |
0.45 |
*** |
|
Trend |
Linear |
73 |
0.289 |
11.9 |
0.21 |
*** |
Linear |
231 |
0.131 |
5.3 |
0.13 |
|
|
|
Polynomial |
72 |
0.264 |
10.7 |
0.26 |
** |
Polynomial |
230 |
0.123 |
5.0 |
0.19 |
*** |
|
|
(quadratic term = 21% of total explained variance) |
(quadratic term = 29% of total explained variance) |
||||||||||
|
|
Kambuzi seine |
Nkacha seine |
||||||||||
|
Total variance |
|
149 |
0.503 |
26.2 |
|
|
|
81 |
0.215 |
8.4 |
|
|
|
After Year |
Year |
130 |
0.233 |
9.2 |
0.60 |
*** |
Year |
71 |
0.143 |
5.7 |
0.41 |
*** |
|
After Month |
Year + Month |
119 |
0.186 |
7.3 |
0.70 |
*** |
- |
- |
- |
- |
- |
ns |
|
Trend |
Quadratic |
148 |
0.449 |
21.9 |
0.11 |
*** |
Quadratic |
80 |
0.190 |
7.5 |
0.12 |
*** |
|
Other spp. |
Chambo seine |
Gillnets |
||||||||||
|
Total variance |
|
70 |
0.409 |
19.0 |
|
|
|
189 |
0.293 |
12.1 |
|
|
|
After Year |
Year |
59 |
0.336 |
14.4 |
0.31 |
* |
Year |
170 |
0.198 |
7.8 |
0.39 |
*** |
|
Trend |
Linear |
69 |
0.384 |
17.4 |
0.07 |
** |
Linear |
- |
- |
- |
- |
ns |
|
|
Polynomial |
68 |
0.354 |
15.5 |
0.16 |
** |
Quadratic |
188 |
0.251 |
10.0 |
0.15 |
*** |
|
|
(quadratic term = 54% of total explained variance) |
|
||||||||||
|
|
Kambuzi seine |
Nkacha seine |
||||||||||
|
Total variance |
|
139 |
0.443 |
21.5 |
|
|
|
70 |
0.818 |
64.3 |
|
|
|
After Year |
Year |
120 |
0.302 |
12.5 |
0.41 |
*** |
Year |
60 |
0.452 |
22.1 |
0.53 |
*** |
|
Trend |
Linear |
138 |
0.431 |
20.5 |
0.04 |
* |
Linear |
- |
- |
- |
- |
ns |
|
|
|
|
|
|
|
|
Quadratic |
69 |
0.689 |
45.7 |
0.17 |
*** |
Significance level is indicated by asterixes: * p<=0.05, ** p<=0.01, ***p<=0.001
3.2 Seasonality only detected in Oreochromis catch rates
Seasonality could be significantly detected in 4 out of 20 time series examined (Figure 4, Table 1) indicating that the seasonal signal in the data sets for most species-gear combinations is low. Seasonality was seen in catch rates of Oreochromis spp. in gillnets (F=0.4; 6 percent of the total variance explained); Kambuzi seines (F=10.2; 10 percent) and in Chambo seines (F=0.5; 21 percent). Only gillnet catch rates displayed a regularly fluctuating pattern resulting in peak catches from November to March at low and increasing water levels and a low in June/July at decreasing levels.
FIGURE 4. Monthly variability in catch rates of Oreochromis spp. by gear. Vertical bars represent 95 percent confidence limits. The scale on vertical axes represents a multiplication factor of the of the 10log annual mean catch rates (see Figure 5).

Both Chambo seines and Kambuzi seines peaked in January/February at low water levels, while lower catch rates were experienced in Chambo seines during high levels in April/May and in Kambuzi seines at decreasing levels in July/August. No seasonality could be detected in Nkacha seines both in total catch rates, i.e. catch rates aggregated over species, and by species, a reflection either the low seasonality in the stock levels of the Kambuzi complex or the activity patterns of the fishery or both.
3.3 Annual variability is high and varies between different gears
Annual variability in average catch rates was high, with significant differences between years in 14 out of 20 time-series of species-gear combinations examined. Inter-annual changes, including both trends and differences between years (see also Figure 3) explained 45 - 65 percent of the total variance (Table 1). The exceptions were the total catch rates and Oreochromis catch rates of the Chambo seines, where no significant difference between years could be detected: average catch rates remained the same throughout the time-series. The four remaining cases were all non-target species for the various gears. Though annual averages varied much, no variability could be explained by temporal analysis: catch rate data for these series on the aggregated level of the monitoring data (month) indicated pure chance.
FIGURE 5. Annual variability in total catch rates by gear. Vertical bars represent 95 percent confidence limits. Note 10log scale on vertical axes. The higher confidence limits in catch rates of Chambo seines from 1987 onwards reflect the limited number of data for these years and gears respectively (see also Table 1).

3.4 Patterns and trends in annual average catch rates
The most remarkable patterns in annual catch rates are found in Chambo seines (Figure 6 and 7): catch rates of Oreochromis spp. exhibited no trend with very little variability in yearly averages[27]. All other gears that catch Oreochromis but do not target them actively - stationary set gillnets catch the larger specimens, Kambuzi and Nkacha seines catch the juveniles as bycatch - do exhibit strong downward trends from 1984 onwards. This can only be explained if the fishing effort exerted by the Chambo seine fishery changed over this period, either by changing the gear (size), activity (more pulls per day, active hunting) or by changing the spatial coverage of the fishery. We have no information to decide on any of these possibilities, though it is known that shorelines were cleared to make the lake accessible for the beach seine fisheries. Gear activity changes are probable only if fishermen started fishing in shifts, as happened in Lake Mweru (Zwieten and Njaya, 2003) which may have occurred in Malombe as well (Weyl pers. obs.). The rapid increase in Chambo seine catch rates of Cyprinids (by a factor 28 over 15 years) and other spp. (by a factor 25 over 15 years), not repeated in any of the other gears, emphasizes that a change in effort -through gear size, gear use or spatial allocation of effort - must have taken place.
The drop in catch rates found in Kambuzi seines and gillnets shows that a comparable change in effort patterns did not take place in these gears. Annual variability for Kambuzi seines is high and highly significant: annual differences explain 47 percent of the variability. In particular the drop in catch rate around 1987/88 and the subsequent increase to a peak in 1993 contribute to this (Figure 6). The pattern seen in the annual average total catch rates is reflected in all species groups (Figure 7): a low is reached between 1986 and 1987 and catch rates increased and stabilized after the collapse of the Chambo seine fishery from 1989 onwards.
FIGURE 6. Geometric mean annual catch rates (bars) by gear in Lake Malombe and polynomial trends (thick line). Trends are shown with 95 percent confidence limits (broken lines). The thin line is the relative mean annual water level of the lake.

Gillnet catch rates show a less clear, but similar pattern with a drop in total (Figure 6) and Oreochromis catch rates (Figure 7) around 1987 followed by an increase up to 1991, after which catch rates collapsed by a factor 4-5. Gillnet total catch rates are composed of both a general decline and a shift in species dominance. The decline in total catch rates is dominated by the decline from 25 kg to 1 kg per 100 m net of Oreochromis catch rates from 1984 onwards. Catch rates of cyprinds increased and stabilized after 1989, while the category Other spp. remained relatively stable over the whole period peaking around 1985. The possible cause of the initial increase of catch rates of both Kambuzi seines and gillnets after 1987/88, could have been the release of pressure on fish-stocks as a result of the collapse of the Chambo seine fishery. However, as will be discussed later, this coincided with a period of increase in water level as well.
3.5 Basic uncertainty is extremely high
Basic uncertainty is defined as the variability remaining after removing the variability explained by a long-term trend and seasonality. It is the amount of variability around the long term-trend resulting from any other temporal, spatial or administrative source. When this variability is high on the aggregated level (by month) of the catch rate data analysed it indicates that trends will not be detected easily by the fisheries administration. Calculated on the level of the individual fisherman and on a daily basis it also indicates the randomness in catches he has to deal with, i.e. variability in catches with no predictable patterns. This is an important indication of his limited capacity to observe spatial differences and temporal changes. At the same time it is an important factor to consider in the structural organization of the fishery (Oostenbrugge, in press).
FIGURE 7. Annual variation (bars) and polynomial trends (thick line) in geometric mean annual catch rates by species and by gear in lake Malombe. Trends are shown with 95% confidence limits (broken lines). The thin line is the relative mean annual water level of the lake.




On the aggregated administered level, basic uncertainty was high in all cases: 100 percent of the variability or a factor F = 4.5 around the mean total catch rates of Chambo seines, 55 percent for gillnets (F = 4.3), 82 percent for Kambuzi seines (F = 6.8) and 77 percent for Nkacha nets (F = 2.8). For target species of gears, basic uncertainty was sometimes lower -between 5 and 12 percent for Oreochromis, or was as high as or even higher than the total catch rates for haplochromines in Nkacha nets (74 percent) and in Kambuzi seines (91 percent). In other words the variability or noise around the long-term trend was high in all cases.
Basic uncertainty of Oreochromis catch rates in gillnets also became much higher after the collapse of the stocks: not only was the outcome of this fishery severely reduced, it became also much more unpredictable (Figure 8).
FIGURE 8. Basic uncertainty in catch rates of Oreochromis spp. in gillnets and Chambo seines. Basic uncertainty is expressed as a factor around the geometric mean. Data points represent the factor around three year moving averages of the mean.

3.6 Trend to noise: the administrative capacity to perceive trends
How fast can the fisheries administration decide on the direction of a long-term or short-term trend given the information at hand? Long-term linear downward trends, observed in three out of four time series of total catch rates were significant and statistically justifiable with 20 to 31 months of data (Table 3, Figure 9). Persistence, or non-random residuals that are auto-correlated at a time lag of one month, had little effect on the number of monthly data points needed, increasing by a mere one to two months (Figure 9). The trend-to-noise ratio was highest in Kambuzi seines, both in total catch rates as well as catch rates for the species groups, with 29 months of data points needed to detect a trend for Oreochromis, and between 40 and 44 months for all other species. For Nkacha seines the trend-to-noise ratio was lowest for Oreochromis and haplochromines. Thus for all time-series examined it is possible to significantly detect long and short-term trends in the various catch rate series within 1.5 to 2.5 years of monthly aggregated data. These time windows to detect a trend are not too bad, though it indicates a limit to the speed with which effects of management measures could be detected as the time lag that fish-stocks demonstrably react to measures taken needs to be taken into account as well.
FIGURE 9. The relation of the trend-to-noise ratio to the number of months of data needed to detect a trend in total catch rates and catch rates by species/gear combinations of including the effect of autocorrelation (persistence)

How fast do long-term trends actually became visible in the data? For Kambuzi seines the long-term downward trend became statistically significant in 1984 and for gillnets three years later in 1987 (Figure 10a). Both remained negative from then onwards though increasingly less negative for Kambuzi seines after 1989. The long-term negative trend in Nkacha net catch rates became visible from 1993 onwards.
TABLE 3. Trend, trend-to-noise ratio and number of months data needed to detect the observed linear trends with and without auto-correlation (persistence)
|
Species |
Gear |
df |
Trend |
Standard deviation |
Trend/noise |
N |
Autocorrelation coefficient |
N |
|
(b) |
(s) |
(b/s) |
(months) |
® |
(months) |
|||
|
Total |
Nkacha |
87 |
-0.024 |
0.21 |
-0.12 |
22 |
0.33 |
23 |
|
Kambuzi |
194 |
-0.028 |
0.42 |
-0.07 |
31 |
0.42 |
33 |
|
|
Gillnet |
234 |
-0.041 |
0.31 |
-0.13 |
20 |
0.50 |
22 |
|
|
Chambo |
90 |
Ns |
|
|
|
0.25 |
|
|
|
Oreochromis |
Nkacha |
65 |
-0.133 |
0.71 |
-0.19 |
16 |
0.30 |
16 |
|
Kambuzi |
117 |
-0.083 |
1.09 |
-0.08 |
29 |
0.50 |
31 |
|
|
Gillnet |
231 |
-0.066 |
0.40 |
-0.16 |
17 |
0.53 |
19 |
|
|
Chambo |
90 |
ns |
|
|
|
0.28 |
|
|
|
Haplochromis |
Nkacha |
84 |
-0.030 |
0.19 |
-0.16 |
18 |
0.35 |
19 |
|
Kambuzi |
179 |
-0.021 |
0.46 |
-0.05 |
40 |
0.22 |
45 |
|
|
Gillnet |
12 |
ns |
|
|
|
|
|
|
|
Chambo |
|
|
|
|
|
|
|
|
|
Cyprinidae |
Nkacha |
81 |
ns |
|
|
|
0.45 |
|
|
Kambuzi |
149 |
0.032 |
0.69 |
0.05 |
40 |
0.49 |
44 |
|
|
Gillnet |
232 |
0.025 |
0.36 |
0.07 |
31 |
0.38 |
33 |
|
|
Chambo |
74 |
0.087 |
0,53 |
0,1.6 |
1.7 |
0.50 |
19 |
|
|
Other |
Nkacha |
70 |
ns |
|
|
|
6.68 |
|
|
Kambuzi |
139 |
0.026 |
0.66 |
0.04 |
44 |
0.39 |
47 |
|
|
Gillnet |
189 |
ns |
|
|
|
0.38 |
|
|
|
Chambo |
70 |
0.064 |
0.62 |
0.10 |
24 |
0.17 |
24 |
However, investment or operational decisions as well as success of management measures are often to be considered in the short-term: both resource users and managers respond to short-term trends in particular. Many of the time series examined did not exhibit clear (significant) short-term - five-year - trends (Figure 10b). Catch rates in Chambo seines never exhibited upward or downward short-term trends. For gillnets this was the case in seven out of 16 five-year periods, for Kambuzi seines in five out of 16 and for Nkacha nets in one out of six. Furthermore, short-term trends in Kambuzi seines were much more erratic than those of gillnets, with much higher absolute trend-to-noise ratios. For instance trend-to-noise ratios flip-flopped from b/s= -0.67 to b/s=+0.56 between 1987 and 1991. Short-term trends are often not consistent between gears as well: for example in the five year periods before 1992 and 1993 Nkacha nets showed a downward trend, while over the same periods Kambuzi seines exhibited an upward trend while gillnets showed no trend. Some causation is hinted at in some of the short-term trends: as water-levels increased between 1985 and 1988, Kambuzi seines exhibited upward short-term trends in the five year periods before 1989 and 1993, while those in gillnet catch rates reverted from downward to upward over the same years.
In conclusion: long-term downward trends in catch rates became visible only after 1984 -1987. The long-term pattern was confused by short-term patterns of increasing and decreasing trends, possibly as a result of environmentally favourable and unfavourable conditions, or as a result of large changes in fishing patterns. This will be discussed in the next paragraphs.
FIGURE 10A. Long-term trends: development of the trend-to-noise ratio (b/s) in five years of catch rate data as observed in 1982 and onwards with successive addition of one year of monthly catch rate data for gillnets, Chambo, Kambuzi and Nkacha seines. 1982 is the b/s over 1977 to 1982; 1983 is b/s of 1978 - 1983 etc. B. Short-term trends: development of trend-to-noise over five year moving periods, each indicated by the last year

3.7 Water levels were mostly decreasing from 1979 to 1998
When in 1915 Lake Malawi reached its historically lowest recorded lake level, a sand bar formed near Fort Johnston, present day Mangochi, and barred access to the Shire River. It brought to a halt its flow in all but the rainy season. By 1924, while the levels in Lake Malawi were rising, initially with no effect on the Shire River, most of Lake Malombe dried up almost entirely, with food gardens being planted in large numbers on its bed (McCracken, 1987).
After 1927 the water levels in Lake Malawi rose further still: in the years after 1934 the sand bar was swept away and Lake Malombe filled up again.
TABLE 4. Cross-correlations between residuals of detrended annual average catch rates and detrended annual mean, minimum and maximum water levels of the Upper Shire at Mangochi. Analysis is done on total catch rates by gear and the target groups of the various gears. Regressions are done on lags with the highest significant correlation. N=number of observations, r2 = proportion of explained variability, b= trend parameter. Significance is denoted by asterixes: * p<0.05, **p<0.01, ***p<0.001.
|
Gear |
CATCH |
TREND |
Cross-correlation |
Regression on lags with highest correlation |
||||||||||
|
Mean Water level |
Minimum water level |
Maximum Water level |
||||||||||||
|
N |
R2 |
s |
b |
p |
Lag |
Corr. |
Lag |
Corr. |
Lag |
Corr. |
r2 |
p |
||
|
Gillnet |
Oreochromis |
19 |
0.85 |
0.156 |
-0.065 |
*** |
-4 |
0.43 |
-4 |
0.48 |
-4 |
0.38 |
0.26 |
* |
|
Cyprinidae |
19 |
0.21 |
0.273 |
0.025 |
* |
0 |
0.48 |
0 |
0.54 |
0 |
0.47 |
0.29 |
* |
|
|
Others |
|
|
|
|
ns |
0 |
0.49 |
- |
- |
0 |
0.45 |
0.24 |
* |
|
|
Kambuzi |
Total |
19 |
0.29 |
0.323 |
-0.036 |
|
-2 |
-0.80 |
-2 |
-0.77 |
-2 |
-0.71 |
0.71 |
*** |
| |
|
|
|
|
|
-1 |
-0.77 |
-1 |
-0.80 |
-1 |
-0.68 |
0.64 |
*** |
|
|
Oreochromis |
19 |
- |
- |
- |
ns |
-2 |
-0.61 |
-2 |
-0.70 |
-2 |
-0.51 |
0.50 |
** |
|
|
Haplochromis |
19 |
0.23 |
0.310 |
-0.029 |
* |
-2 |
-0.76 |
-2 |
-0.74 |
-2 |
-0.67 |
0.64 |
*** |
|
| |
|
|
|
|
|
-1 |
-0.69 |
-1 |
-0.74 |
-1 |
-0.62! |
0.56 |
*** |
|
|
Cyprinidae |
19 |
- |
- |
- |
ns |
-1 |
-0.54 |
-1 |
-0.58 |
-1 |
-0.50! |
0.34 |
** |
|
|
Others |
19 |
- |
- |
- |
ns |
- |
- |
-3 |
-0.43 |
- |
- |
0.37 |
* |
|
|
Nkacha |
Total |
12 |
- |
- |
- |
ns |
-2 |
-0.79 |
-2 |
-0.87 |
-2 |
-0.76 |
0.67 |
** |
|
Cyprinidae |
12 |
- |
- |
- |
ns |
- |
- |
0 |
0.63 |
- |
- |
0.53 |
* |
|
|
Chambo |
Total |
12 |
0.64 |
0.281 |
-0.094 |
** |
- |
- |
-1 |
-0.54 |
- |
- |
- |
ns |
|
Oreochromis |
12 |
0.66 |
0.296 |
-0.105 |
** |
- |
- |
-1 |
-0.54 |
- |
- |
- |
ns |
|
|
Cyprinidae |
12 |
- |
- |
- |
ns |
-3 |
0.90 |
-3 |
0.98 |
-3 |
0.75 |
0.59 |
** |
|
|
Others |
12 |
- |
- |
- |
ns |
- |
- |
- |
- |
- |
- |
- |
- |
|
Average annual water levels in the Upper Shire River near Mangochi, decreased by almost 1.5 m between 1980 and 1985, peaked in 1988 and continued to decline since then by almost 2.5 m reaching its lowest level in 1997. Over the period over which we are examining catch rates, a drop in average water levels of 3.5 m over 17 years, or 21 cm per year, took place (Figure 2A). Some contrast in the series, needed to be able to detect the effect of increased effort with changing water levels, is provided by a rise in water levels between 1985 and 1988, after which the drought of the early nineties commenced. Seasonal fluctuations vary around 90 cm per year with highest levels in April-May and lowest in November-December. Between years seasonal levels may vary between 20 and 45 cm during draw down, and much more during water level rises: in November and December minimum and maximum recorded levels could differ by up to 1m presumably depending on the onset of rains (Figure 2B).
3.8 Effect of changing water level detected in catch rates with a lag of 0-4 years
By excluding long-term trends in water-levels and catch rates and then cross-correlate or regress in steps (lags) of one year the residual variation - i.e. the variation around the long-term trends, gives an idea both of the size of the effect of changing water levels on changes in stocks and the period over which these effects become visible. The size of the effect is given by the amount of variation explained. Significant lags give an indication of the period. This can be calculated for the de-trended (=residual) time series of catch rates - indicating the speed of the reaction of stocks to changing conditions, as visible in the data. However, much more interesting is the size of such an effect of changing water levels in relation to the overall trend. Where an effect of changing water level on detrended catch rates could be detected, it explained between 3 percent and 50 percent of the residual variability in annual catch rates. For instance, approximately 26 percent of the residual catch rates of Oreochromis in gillnets were explained by minimum water levels with a lag of four years. But this effect amounted to the explanation of a mere three percent of the annual variability in mean catch rates: the effect is measurable but slight. In contrast, the effect in Kambuzi seines was much clearer. Highest significant regressions were found with minimum or mean levels one or two years earlier. These explained between 23 percent (Oreochromis - Kambuzi seines) to 71 percent (total catch rates - Kambuzi seines) of the residual variability, which amounted to a very significant 23 percent and 50 percent of the total variability in mean annual catch rates: in this case environmental effects clearly obscure the general trend, as could already be concluded from the discussion of the short-term trend-to-noise patterns. The effect in Nkacha seines was high as well, but only in total catch rates, that exhibited a negative regression with minimum water levels two years earlier, while cyprinids had a clear positive regression with this years minimum water level.
Remarkable is that changing water levels affect catch rates in most species group and gear combinations negatively with a lag of one to three years. Negative correlations are found in minimum and mean water levels with Kambuzi seines, Chambo seines and Nkacha nets. In other words, high minimum or mean water levels seem to have a negative effect on catch rates one or two years later and vice-versa with low levels. An explanation could be that both Kambuzi seines and Nkacha nets target small species or juveniles of Oreochromis more effectively at periods of higher water levels resulting in lower recruitment a few years later, though it is not clear what could be the mechanism behind this. The exceptions are Oreochromis spp. caught by gillnets, where high water levels have a (expected) positive effect on catch rates four years later, and Cyprinidae caught by Chambo seines, with a positive effect three years later (Table 4). Gillnets with the mesh sizes used in the lake catch three-year-old Oreochromis spp.: high minimum water levels give increased production three to four years later.
3.9 Effort changes are relatively small in terms of number of operators.....
Fishing effort expressed as number of gear owners increased with around two percent per year over the period examined (Figure 11). This increase was mainly due to an increase in owners on the West side of the lake (app. 4.5 percent per year), whereas numbers on the East side remained relatively stable. Except gillnets, all main gears used in Malombe require high labour input in terms of numbers of people operating the gears. Judging from the statistics obtained during frame surveys the amount of labour input has only increased slightly, while a shift in activity has taken place from the East Side of the lake to the West Side. The number of assistants counted in the frame surveys varied between 1 400 and 2 841, but taken over the whole period only a slight positive trend was seen with an increase of 0.5 percent per year. But, while on the West Side of the lake numbers of assistants increased by 4.1 percent per year, numbers of assistants decreased at the East Side by 1.4 percent per year, indicating a shift in spatial allocation of effort.
3.10 ...but changes in highly effective gears are dramatic
The effort development in terms of gear size or activity is unlike that of any of the other lakes investigated in this study (Kolding, Musando and Songore, 2003; Zwieten et al. 2002; Zwieten and Njaya, 2003). Four gears were important in the period from 1981 to 1999, but large shifts in numbers took place between these gears, with the result that presently only two gears are important in the fishery - gillnets and Nkacha nets (Figure 12)[28].
FIGURE 11. Development in effort expressed as number of gear owners, number of assistants and number of boats in Lake Malombe. The bold line is the regression of the total numbers over time. The thin regression line refers to the numbers of eastern and the broken line is the regression of numbers of the western side of the lake.

FIGURE 12. Development in effort: number of gillnets, Chambo and Kambuzi seines, and Nkacha nets in Lake Malombe. The bold line is the regression of the total numbers over time; the thin regression line refers to the numbers on the eastern and the broken line to the numbers of western side of the lake. A Chambo seine net is made of approximately 750 m of gillnet. Material of one Kambuzi seine is estimated to make two Nkacha nets. Before 1989 Kambuzi seines and Nkacha nets were not recorded separately: numbers of both gears are reconstructed (see Appendix 2).

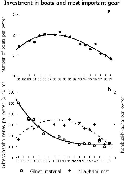
From 1981 onwards the number of gillnets dropped by more than 50 percent until 1991. Since then frame survey data exhibit a high variability with a slight increasing trend, particularly in West Malombe. The number of Chambo seines dropped from 27 in 1981 to 0 in 1999, with both East and West Malombe displaying a similar trend. Likewise the number of Kambuzi seines, peaking in numbers in 1986, dropped from 124 counted nets to five in 1999, with west Malombe lagging somewhat behind, as the number of seines peaked in 1989. Lastly, Nkacha nets, virtually non-existent around 1981, rapidly increased in numbers (7.5 percent per year) until 1995, when numbers dropped again. Frame survey statistics mention a number of other gears such as longlines, traps and various active gears (scoop nets, cast nets, mosquito nets and Chirimila nets).These do not seem to have much importance, though in particular traps and inexpensive active gears seem to gain some prominence in present years. This suggests that investment levels in boats and gears have decreased over time, which would be in accordance with a number of other observations that can be made based on frame survey data (Figure 13).
FIGURE 13. Proportion of boats and netting material per owner as an indicator for development of investment levels in Lake Malombe

The number of boats per owner increased from 1.5 in 1981 to 2.1 in 1989, and since has declined to less than one in 1998. Similarly, the total investment in material for Kambuzi seines and Nkacha nets increased until around 1988, and since has dropped to around the same levels as in 1981. Then, the amount of gillnets per owner dropped with a factor 5 to less then 100 m/owner in the 17 years from 1981. Lastly, the average number of assistants per owner decreases by around 30 percent over this period as well from 8.3 to 5.7, though data are highly variable due to the highly varying numbers of assistants counted (Figure 14). In other words, if these trends describe the developments in Malombe adequately, it would mean that fewer investments are done into gears for fishing activities that require a high labour input. If low investment gears indeed gain prominence, it can be concluded that the Malombe fishery has become poorer over the past 20 years (see also Hara and Jul-Larsen, 2003).
FIGURE 14. Ratio of number of assistants and gear owners. The bold line is the regression of the total numbers over time. The thin regression line refers to the numbers of eastern and the broken line is the regression of numbers of the western side of the lake.

3.11 Effort, water levels and catch rates
Changes in water level explained much of the annual variability in catch rates in gears targeting small species or juveniles; for those targeting older individuals - gillnets - changes explained only a small amount of the total annual variability (Table 4). The last result is rather surprising, were it not for the fact that a high technical interaction existed between gillnets and gears targeting the juveniles of Oreochromis spp. If a population recruits to different fisheries at different ages, the effect of year class variability induced by environmental variability will be reduced for the fishery targeting the older segment of the population.
Multiple regression explaining catch rates by the combined effect of effort, water level and its interaction was non-significant (Table 5) for any of the species groups and total catch rates examined in Nkacha seines and Chambo seines. For Nkacha seines the reason is clear: the series of annual average catch rates is short - from 1989 to 1997 - and coincided with a period of continuously declining annual average water levels: these two series were thus entirely confounded. With Chambo seines the problem is that change in the unit of effort over time renders any attempt to do this analysis impossible. For instance if the change in effort mainly was through a change in spatial coverage of the fishery, i.e. opening up new fishing grounds, an effect of annual variability caused by changing water levels, will be swamped under the effect of this change in effort. The noted increase in catch rate of non-target species in this fishery (Figure 7), with stable catch rates of the target species Oreochromis indicates the change in effort e.g. through larger spatial-coverage, which lead to fishing practices comparable to emptying a fishpond with seines.
Multiple regression models with number of gillnets as unit of effort and annual average catch rates of Oreochromis as explanatory variable either were confounded or gave counterintuitive results. Confounding means that depending on the order in which the two effects - water level and effort - enter the regression either of the two effects is significant while the other is not. Counterintuitive was the model result that indicated a positive sign to the effect of effort, implying that an increase in effort would result in an increase in catch rate. This puzzling effect can be explained if it is realized that the time series of catch rates of Oreochromis had a decreasing trend, while the number of gillnets was monotonously declining at the same time as well as water level - though the latter with some contrast. The decrease in catch rate was not the result of the gillnet fishery but of the Chambo fishery, though decreasing water level and associated productivity may have had an effect as well!
TABLE 5. Proportion of variability in annual catch rates explained by the multiple regression model with water level (mean, maximum or minimum), with a lag phase of 2 - 4 years, fishing effort (number of gear) and their interaction as explanatory variables. The sign indicates the direction of the effect in the model. Analysis is done on total catch rates by gear and the main target species(groups) of the various gears. Only regressions explaining the largest amount of variability are shown. Df= degrees of freedom, SS = sum of squares, % = r2 = proportion of explained variability, sign denotes the direction of the effect in the statistical model. Significance values are denoted by asterixes: * p<0.05, ** p<0.01, *** p<0.001
|
Gear |
Species |
Model |
Statistics of model |
|||||||||||
|
Water level |
Gear |
Interaction |
|
Total error |
Residual error |
Total error explained by model |
||||||||
| |
Lag |
Sign |
% |
Sign |
% |
Sign |
% |
Df |
SS |
SS |
% |
|
||
|
Gillnet |
Oreochromis |
Max |
3 |
+ |
74 |
+ |
11 |
|
|
15 |
2.31 |
0.34 |
85 |
*** |
|
Oreochromis |
Min |
4 |
---------- confounded ---------- |
14 |
2.10 |
---------- confounded ---------- |
||||||||
|
Kambuzi |
Total |
Mean |
2 |
+ |
40 |
- |
20 |
|
|
16 |
2.39 |
0.93 |
61 |
|
|
Oreochromis |
Min |
2 |
+ |
32 |
- |
21 |
|
|
16 |
22.70 |
10.40 |
54 |
|
|
|
Haplochromis |
Min |
2 |
+ |
37 |
- |
16 |
|
|
16 |
1.98 |
0.92 |
53 |
|
|
Only Kambuzi seine time-series behaved according to expectation: effort had a negative effect on catch rates, whereas the effect of water level was both positive and larger, i.e. explained more variation. That this result was reached with this gear should be qualified:
In the course of the period studied Kambuzi seines both increased and decreased in numbers reaching a peak around 1986,
The increase coincided both with a decrease and subsequent increase in water levels -the increase observed between 1985 and 1988 - and coincided with the peak in effort of Kambuzi seines which provided the contrast needed in the analysis,
However, decreasing effort in Kambuzi seines coincided with both decreasing water level and decreasing effort of Chambo seines: a slight recovery of Oreochromis spp. during this last period will now be attributed to in particular this gear, as it has a similar spatial coverage as the Chambo seines.
Lastly from the analysis it can be concluded that Kambuzi seines catch species that are between one and two years of age.
3.12 No interaction between water levels and gears: no observed change in catchability
As argued by Zwieten and Njaya (2003), a significant interaction effect between gear and water level would represent a change in catchability of gears with changing water levels. Such an effect is not observed here, as the variability in water levels is much less extreme compared to Lake Chilwa, with the result that concentration of fish during receding water levels as occurs in this lake does not occur in Lake Malombe. Furthermore, two of the four gears of Malombe are used as active shore based gears. These shore-based gears are fishing in areas where concentrations of smaller fish are always present. Athird gear, Nkacha nets, is an active boat based gear targeting small species and is thus are more dependent on recruitment effects than crowding effects.
|
[26] Variability is described
in this paper by a factor F around the geometric mean catch rate. A factor of F
= 2.8 means that 95% of the data fall within the range of 2.8 times the
Geometric Mean (GM) and the GM divided by 2.8. The Geometric Mean is the back
transformed logarithmic mean of the data (=10 log10(M)) (see: Zwieten and Njaya,
2003). [27] The data series stopped in 1991, though the fishery in the lake stopped only in 1999, but not in the Upper Shire! [28] See Hara and Jul-Larsen, 2003 for an explanation of these highly specific developments in Lake Malombe. |