A. A. Gürkan, Kelvin Balcombe and Adam Prakash[17]
The study analyses in detail the historical developments observed during the period 1970-2001 in the food import bills of two groups of countries (i.e. least developed and net food-importing and developing countries, LDCs and NFIDCs, respectively). The first part of the study puts these developments into a broader economic perspective using data at the country level for all basic food commodities, while the second part of the study delves into the commodity aspects of food import bills at the country level by analyzing the sources of variation in the import bills of selected food commodities. Put briefly the study finds evidence that quantities and prices of food commodities tend to be affected by policy shifts, substantive changes in the behaviour of economic agents or other factors affecting the market fundamentals, the effects of which tend to be concentrated around certain important events, such as the 1974 world food crisis. Furthermore, the variances of prices, quantities and the total import bill were discovered not to be constant over time, with periods of high volatility, which tended to decline towards the end of the period. There is also evidence that prices tend to have a significant contemporaneous influence on quantities imported, with more income-elastic food commodities' changes in prices exerting a larger influence on quantities imported. In line with this, contribution of prices to variation import bills tends to be larger (close to over 50 percent) for those commodities that exhibit larger price effects on quantities. From a policy perspective the results indicate that it may be warranted to focus attention on the LDCs as they have been under relatively greater stress and exhibit greater vulnerability from the perspective of their national food security.
Given the economic dependence of many vulnerable and food insecure developing countries on trade in agricultural commodities, in terms of ensuring both stable access to food and sufficient resources to maintain and enhance economic growth, it is important to understand the nature and causes of developments in global agricultural commodity markets. There have been periods when international prices of food commodities, for example, have spiked sharply, causing dismay among those poor developing countries that rely on imports to satisfy their food needs, though helping the producers who are able to benefit from the windfall. There have been other periods, prolonged at times, when food prices have remained at low levels, this time causing hardships among the producers, but helping the consumers to have easier access to food.[18]
Production of agricultural commodities is often subject to vagaries of weather and other natural stochastic events, such as pests and diseases, and tends to face inelastic market demand, which goes someway to explaining the observed volatility in those markets. The nature of institutional and policy settings and the changes in them also play a very important role in this process. The international community, however, has long recognized these problems and used different policy instruments at different times to deal with their unwanted consequences.
With the beginning of the implementation of the Uruguay Round Agreement on Agriculture (UR AoA) in the mid-1990s, the trade of agricultural commodities has been brought under the discipline of almost universally accepted rules of behaviour; which has also meant gradual adjustment of domestic agricultural policies in order to make them consistent with those rules. The ex ante analyses of the possible impact of the reform programme in agriculture created concerns that this process may, on the one hand, reduce the availability of adequate supplies of basic foodstuffs from external sources on reasonable terms and conditions, and, on the other, put pressure on domestic markets that are more difficult to protect under the new arrangements, endangering the livelihoods of vulnerable producers.
The WTO's Marrakesh Ministerial Decision on Measures Concerning the Possible Negative Effects of the Reform Programme on Least-Developed and Net Food-Importing Countries[19] was adopted in order to address the first of the issues; while the special safeguard clauses dealt with the second one. They are, however, continuing subjects of discussions within the current round of multilateral trade negotiations, i.e. the Doha Round.[20]
The aim of this study is to analyse the experience of the least developed countries (LDCs) and net food-importing countries (NFIDCs) with regard to their food import bills over the past three decades, with a view to providing background information that could prove useful in enhancing the current international policy debate on the subject. The emphasis is on the LDCs and NFIDCs, as these are the countries most vulnerable, from a food security perspective, to unexpected developments in global agricultural commodity markets in the new international trade policy environment, as already recognized by the international community. The focus, moreover, is on the developments as observed at the country level rather than at the level of global markets.
Chart 1. Share of food imports in total apparent food consumption - calorie equivalent

The study consists of three sections: The first contains a statistical overview analyzing the development of all the variables relevant for the problematique (i.e. value of commercial food imports, value of food aid, unit costs of imports, relative contributions of food imports to food availability at the country level, etc.); the second assesses the sources of variation in food import bills and determines the incidence of large, unanticipated changes in the value of food imports and its components; and the final section summarizes the analyses and notes policy lessons that could be inferred from the changes observed.
Food imports of developing countries have been on the increase over the past decade[21] (see Chart 1, for their importance also in relative terms[22]). For many, particularly the food insecure among the low income and net food importing ones, this situation could lead to increased stress if growth in income growth and export earnings to sustain food imports is not adequate and/or if growth in import growth undermines otherwise viable domestic production. In order to put these developments into a perspective which would allow such an assessment to be made, Charts 2 to 4 present average country shares of total food import bills (i.e. value of food commercially imported) in GDP (Gross Domestic Product), total merchandise exports and total merchandise imports, respectively).[23]
Chart 2. Share of food import bills in GDP

Share of food import bills in GDP (Chart 2). The shares over the past three decades have significantly[24] increased from just about 1 to nearly 6 percent for the LDCs and from about 2 to 5 percent for the NFIDCs.[25] This in effect means that, on average, the rate of growth in food import bills has been greater than that of the GDP for both groups of countries, putting a strain on their already meagre resources. Moreover, since the early 1990s, the share of the LDCs, which are by definition more vulnerable, has risen and remained above that of the NFIDCs. There have, however, been consecutive years during which the shares have declined for both groups of countries: the first period between 1981 and 1987; and the second, the last few years of the 1990s.
Chart 3. Share of total food import bills in total value of merchandise exports

Share of food import bills in total value of merchandise exports (Chart 3). More important than the differences in underlying trends in the shares for the two groups is the stark difference in their levels: starting from about the same level, at roughly 32 percent, the share for the LDCs has increased (though rather undecidedly) to and fluctuated around 72 percent between 1992 and 1997, while the share of the NFIDCs declined to and fluctuated around 22 percent during the same period.
As in the case for the shares in GDP, beginning in 1986-87, the shares in total merchandise exports increased significantly, at the rate of about 5 percent per annum for the LDCs and about 2.5 percent per annum for the NFIDCs, this time putting a strain on their scarce foreign exchange reserves. It is clear though that the LDCs are in a more vulnerable position than the NFIDCs, as a much smaller proportion of available foreign exchange reserves appears to be available for importing other goods and services that could, for example, be used for developing their infrastructure.
Chart 4. Share of total food import bills in total value of merchandise imports

Share of food import bills in total value of merchandise imports (Chart 4). Indeed, as this chart illustrates, the share of food import bills of the NFIDCs in total merchandise imports has been almost continuously declining throughout the period; while that of the LDCs has increased significantly since, again, 1987.
Another aspect of vulnerability of these countries from the perspective of these three indicators is the variability in their values through time: tests indicate that volatility in these indicators for the LDCs is significantly greater than that for the NFIDCs. Although a part of the overall volatility is due to factors that the countries can anticipate, vulnerability of the former is likely to be greater than that of the latter, since their financial ability to cope with the negative consequences of such volatility tends to be relatively more limited even when they are expected. The situation does not change when similar tests are conducted on variability that is "unanticipated"[26]: they are still significantly larger for the LDCs.
It must be remembered that the countries falling into these two categories are also the ones receiving substantial food aid shipments, which are deducted from the total food import bills in order to calculate the three indicators used in the analysis so far. It may well be that the developments in commercial food imports are related closely to developments in food aid flows: if, for example, more food aid was flowing into the NFIDCs in the 1990s, it may be expected that the share of their food import expenditures in GDP and total merchandise imports declined; or if less food aid was flowing into the LDCs, it may be expected that the value of all the three indicators increased, so as to maintain national food security. Chart 5 presents the developments in the ratio of the value of food aid to total value of food imported[27] by an average LDC and NFIDC. Apart from the fact that the LDCs have had greater (relative) dependence on food aid when compared to the NFIDCs since the time of the world food crisis in the early 1970s, it is clear that the fortunes of these two groups of countries have been diverging, especially since the late 1980s. It appears that the decreasing burden of commercial food imports of the NFIDCs during the 1990s is not likely to be due to increased food aid flows, as the ratio of value of food aid in total food imports started to decline in the mid-1980s, from about 20 percent to around 10 percent at the end of the 1990s.[28] Thus, not does only the growth of GDP appear to have outstripped the growth of commercial imports, it did so when the importance of food aid was on the decline.[29] This is quite the opposite situation to that of the LDCs: as, despite relatively higher annual variation, the significant decline in the share of value of food aid in total food imports over the past decade-and-a-half appears to have been compensated for by devoting relatively more domestic resources to meeting perceived national food needs.
Chart 5. Ratio of the value of food aid to total value of food imports

This section proposes and applies a methodology to decompose the variation in the value of commercial imports of countries falling into the LDC and NFIDC categories for a number of selected basic food commodities into its constituent components, import prices and quantities. (see Charts 6 and 7 for the appropriate indices as applied to the averages for the countries falling into the two groups).[30] The principal aim here is to bring the analysis to the commodity level and to assess the incidence of sudden and unexpected increases in both import prices and quantities and the contributions of the variation in these two variables to the variation in import bills. Given the vulnerability of the countries under scrutiny, discovering the frequency and magnitude of the changes, especially at their border, is necessary to assess the need for policy instruments that could cope with possible negative consequences, and perhaps provide insight into the most appropriate form of these instruments if they were found to be needed.
Chart 6. Volume and price indices of food for LDCs - 1995=100

Chart 7. Volume and price indices of food for NFIDCs - 1995=100

3.1 The methodology[31]
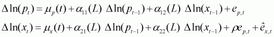
The import bill, It, is the product of an aggregate price, (pt), i.e. the unit import cost of the commodity in question, and a quantity aggregate (xt), i.e. the volume of imports of the commodity.
(1)
In order to analyze the impact of pt and xt on It,, and of pt on xt, a joint framework is proposed. The trends in the data are likely to dominate any other source of variation as the sample grows. However, if the trends are of the type that can be removed by differencing, they can be split into a deterministic component and a stochastic component. The analysis, furthermore, can be facilitated by studying the natural logarithmic transformation of It rather It itself. This follows from the fact that:
(2)
Thus, D ln(I) can be linearly decomposed into the changes in the logarithmic transforms of prices and quantities, providing a basis for a fully coherent analysis. Moreover, the conclusions derived from such analysis would equally pertain to that using the untransformed series.
The variation of D ln(p) and D ln(x) can, of course, be analyzed separately and the component with the most variance could be argued to be the one which is driving the variation in the logarithmic transforms of the import bills. However, there are two important complications. First, the relationship between D ln(p) and D ln(x) needs to be accounted for, since we would expect import quantities to be, in part, driven by prices. Second, the serially correlated behaviours of D ln(p) and D ln(x) need to also to be considered. The standard econometric approach to this type of problem is "Impulse Response Analysis" and "Forecast Variance Decomposition" (VAR) which is discussed next.
Vector Autoregressive Decomposition Analysis
The two variables can be expressed as a "Vector Autoregression" (VAR) as follows:
,
(3)
where the denote polynomial lag operators, that are a convenient notation for
.
(4)
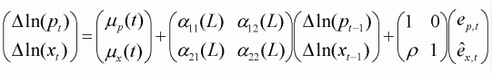
Within this framework, the variables are driven by random "innovations" or "shocks", ep,t and ex,t, which represent sudden changes in the behaviour of economic producers and consumers and in the policy environment and/or stochastic events that affect the market fundamentals. These shocks are propagated in a way that is governed by the signs and magnitudes of the aij (L). The intercepts µi(t) may be treated as a variable over "regimes" that permanently alter the impact of prices and quantities on food import bills (i.e. alter the mean rate of change in the variables, since the series are transformed into logarithms and then differenced).[32]
The parameters of interest are not only the values of µi(t) and aij (L), but also the innovation variances of ej,t as well as the covariance between ep,t and ex,t. Together, these provide a basis on which to analyse the relative importance of shocks to quantity and prices, and their overall impact on the value food imports. The impact on the changes in import bills can then be studied because of the relationships expressed in equation (2).
Testing causality
If quantities do not cause prices (in the sense of Granger-causality), then one would expect a12 (L) = 0 to hold. This hypothesis asserts that prices do not react to past changes in import quantities and would be expected to hold where the country was an import "price taker" (e.g. small relative to world demand) or where the effects of price changes on quantities were dissipated quickly enough so that there are no lagged effects. However, in circumstances where import quantities were forward looking (e.g. future price changes are correctly anticipated), a rejection of this hypothesis would not be unexpected. Consequently, this would be considered a subsidiary hypothesis.
The converse hypothesis that a21 (L) = 0 would be rejected where price changes were driving current imports but the full impact of any price change did not happen within the year. In other words, if the hypothesis were to be rejected, the overall effect of a price spike would be larger since not only contemporaneous but also future import quantities would be affected by a price spike.
Variance decomposition
The above hypotheses (i.e. a12 (L) = 0, a12 (L) = 0) are commonly used to construct a "causal ordering". This ordering can be justified when the importing country is relatively "small" in terms of impact on the global markets, as all the LDCs and NFIDCs tend to be. Consequently, changes in prices might be expected to impact on import demand, but not vice versa. The lag structures only partly capture the relationship between prices and quantities. In addition, the correlation between the shocks ex,t. and ep,t. are of interest. Under the "small country" hypothesis, while observed shocks to quantities and prices are likely to be correlated, part of the quantity shock will be due to a price shock. Consequently, it would be permissible to write:
,
(5)
where
represents the innovation variance in x (orthogonal to
ep,t) that is not due to the innovations in import prices. The
parameter
can be
interpreted as a short run elasticity of import quantity with respect to import
prices.
These innovations are assumed to have means and covariances
equal to 0 and variances equal to
and
. The larger the variance
relative
to
, then, ceteris
paribus, the more important price variation is in determining the variation
in overall import bill. However, the impact of price on quantity will also be
determined by the parameters a21
in equation (3) and
in
equation (5). In fact substituting equation (5) in (3) yields:
.
(6)
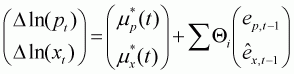
Variance decomposition requires restating the autoregressive representation in equation (6) in terms of its "moving average" counterpart (see Annex B for details), which expresses changes in prices and quantities as the weighted sum of past "shocks" to prices and quantities. These then allow determining the contribution of the variances of prices, R(I/P), and import quantities, R(I/X), to that of the import bills and the second that of import quantities.
Moreover, given the assumed relationship between price innovations and import quantities, as expressed through equation (6), it is also possible to estimate the contribution of the variation in prices to that of quantities, R(X/P) (see Annex B for details).
Identifying price spikes
The innovations driving prices and quantities are those
represented by ep,t
and
. Large innovations will
lead to large changes in prices and quantities contemporaneously and as they are
propagated through time by the lags in the VAR. In econometric terms, these
shocks are also often referred to as being "unanticipated" since their values at
time t are not deducible from the historical data at time t-1. In
this study, values that lie outside of two standard deviations above zero are
defined as price spikes. Accordingly, about three price spikes would be expected
every hundred years if the innovations were to behave in accordance with having
a normal distribution.
3.2 Empirical analysis
Data
The data for this study are obtained from FAOSTAT and refer to values and quantities of imports by the LDCs and NFIDCs of wheat, rice, coarse grains, sugar, chicken meat, skim milk, soybeans and palm oil. As already noted in the previous section, published FAOSTAT estimates are adjusted to include estimates of food aid deliveries, in volume as well as value terms. For this study, however, estimates of both the volume and value of food aid flows to the individual LDCs and NFIDCs are deducted from the totals as reported in FAOSTAT. Since estimates of food aid flows at the country level are available only from 1970 onwards, the statistical analyses are conducted with at most only 32 observations, for the period 1970-2001. The import "prices" are computed implicitly by dividing the value series by the volume series; therefore they do not refer to prices paid of "homogeneous" commodities.[33] Thus, changes in prices calculated in this manner also capture changes in the composition of the commodities (i.e. share of processed versus raw products etc.) imported by each country.
3.3 Summary of results
The following procedure is employed in the implementation of the vector auto-regression model as defined in equation (3):
Structural break
points are identified for import price and volume series for the j
commodities, i.e.
, for
all the countries; these breaks represent a shift in the average rate of growth
of the variables concerned;
Appropriate dummy variables are created and each equation re-estimated;
Granger-causality tests are conducted to assess empirically the direction of causation between prices and quantities;
The coefficients of and moments derived from the estimated models are then used to determine the contribution of the price variations to variations in import bills and volumes of the commodities studied for each of the LDCs and NFIDCs, as well as to determine the years during which price and quantity spikes had occurred;
Structural breaks and spikes in the import prices and volumes
Breaks in the means (single and multiple) are found in several of the (country) series within each of the commodity groups.[34] The most notable result with regard to price breaks[35] is that for sugar and wheat more than a quarter of the countries exhibit at least one significant shift in the growth rate of import prices, with almost all occurring within the period 1974-1976, which roughly coincides with the occurrence of the "global food crisis". Other crops have experienced fewer shifts (on average, about 7.5 percent of the countries for each commodity, which is fairly close to being within the error limits); moreover, there is little evidence that the breaks for these commodities coincide in terms of timing as they do in the case of sugar and wheat.
For quantity breaks, on the other hand, there is not much consistency. However, the number of countries experiencing significant shifts in the growth of rate of import volumes is greater than those experiencing shifts in growth of prices for coarse grains, chicken meat, skim milk and palm oil.
The picture changes, however, especially for prices, when spikes are also taken into account: over 50 percent of all the occurrences of such large, aberrant disturbances - the effects of which, though, do not last for more than a single period - for almost all the commodities studied here coincide with the period of the global food crisis as well[36] (see Chart 8).[37] Moreover, similarly consistent picture emerges for the following two decades: nearly two-thirds of the observed price spikes experienced during the 1980s seem to have occurred in the latter part of that decade (with sugar being the only exception where the spikes occur at the beginning of the decade). This discovery is interesting because the period coincides with the occurrence of important policy changes in some major developed countries, especially in the United States (the implementation in 1985 of the US farm legislation) and the EC (significant increases in intervention stocks of wheat) (see WTO 2002, ibid). Similarly for the 1990s, when the spikes occur in greater frequency right after the mid-1990s, when there was a convergence of a number of different factors affecting market fundamentals: ranging from the widespread negative effects of El Niño on production of various agricultural products in many different parts of the world, changing public stock holding behaviour for cereals in some developing countries and continued domestic support in many developed countries to the beginning of implementation of the UR AoA[38] (see also FAO 2002a, pp.33-39).[39]
The tests conducted for structural breaks in the volatility of prices and quantities indicate significant changes in the variance in the innovations of the VAR as well: with on average one-third of the countries across all the commodities exhibiting at least one such break during the period under scrutiny. In the case of prices, the breaks in volatility, almost exclusively, coincide with the years in which of large shocks are identified; with volatility increasing at or very near a year in which there is a spike, decreasing when there is a sharp decrease.[40]
Price and quantity causality
Chart 8. Distribution of the incidence of import price peaks through the past three decades for selected basic food commodities

A lack of causality, from prices to quantities and vice versa,
in the Granger sense, is notable: with statistical tests failing to indicate
causality in more than four-fifths of the countries across the commodities
studied. This suggests that the impact of price changes on import quantities may
take place relatively quickly.[41]
"Non-causality" in the Granger sense, though, does not imply that the series are
independent. In fact, estimates of
in equation (6) represent
the contemporaneous impact of prices on import quantities. Nearly three-quarters
of the estimates are found to be significantly negative, suggesting, as
expected, that price "shocks" have an important negative contemporaneous impact
on import quantities. Nevertheless, there are many instances of large shocks to
import quantities that do not seem to be driven by price changes (i.e. similar
shocks seem not to have taken place in prices). Therefore, while the evidence
suggests that price changes have an impact on quantities, it would be wrong to
conclude that they are the only or dominant determinant of large changes in
import quantities.
Impact of prices on food import bills and quantities
As noted above, shocks to prices lead to changes in import
quantities in the expected direction and the estimates of
can be can be interpreted
as the short run elasticity of import quantities with respect to import prices.
The full impact of a given innovation will, however, be in part due to the
dynamics of the system. The average elasticities (across countries) for the food
groups range from -0.38, for wheat to -0.97, for
chicken,[42] implying, for example for chicken,
that, on average, a 1 percent rise in its import price could lead to a 0.97
percent decline in the quantity imported within one year. There is, however,
large variation across countries for each commodity, so that these averages
should be treated with caution when dealing with individual countries. Despite
the large variation, as well as high standard errors for some individual country
estimates, tests indicate that the averages for chicken, soybeans and palmoil
tend to be significantly higher than for those other commodities; though no
significant differences were detected between the LDCs and NFIDCs.
Chart 9. Estimated contribution of prices to import bills (R(I/P) and quantities (R(X/P) of selected basic food commodities

Turning to the contributions of prices to the variations in food import bills (R(I/P)) and quantities (R(X/P)), the averages (across countries) for each of the food groups are presented in Chart 9. For example, R(I/P) for chicken is 0.67, indicating that prices appear to be responsible for approximately 67 percent of the variation in its import bills. The value R(X/P) of 0.60 indicates that approximately 60 percent of the variation in import quantities of chicken is due to prices. Prices will have a direct impact on food import bills, and an indirect one through their impact on quantities. However, it is theoretically possible that price and quantity effects could cancel each other out leaving no impact on the import bill. Thus, R(I/P) may be higher or lower than R(X/P) from a theoretical point of view. The general findings indicate that import prices seem, on average, to contribute somewhere between a third and two thirds of the variation in import bills. The proportions are similar with regard to the variation in the overall import quantities explained by price variation. It should also be noted that the contribution of prices tends to be greater, the stronger is the contemporaneous influence of price innovations on quantity innovations. Again, an important proviso is that the within-group variation across countries is very wide. Therefore, it would be problematic to apply these numbers to individual countries.
The study analysed in detail the historical developments observed during the period 1970-2001 in the food import bills of two groups of countries that are recognized as vulnerable from the perspective of their food security. These countries, identified as least developed and net food-importing and developing countries (LDCs and NFIDCs, respectively), have been the subject matter of existing multilateral trade agreements and current negotiations with a view to ensuring that the trade rules adopted do not endanger their food security status given their already vulnerable position. The first part of the study puts these developments into a broader economic perspective using data at the country level for all basic food commodities: the aim here being the facilitation, using data adjusted to address the specific demands of the analyses, of comparison between the two groups of countries and assessing the developments in the overall economic burden of their food import bills.
The analyses indicate that while there have been improvements in reducing the vulnerability of the NFIDCs, the situation for the LDCs has not been as promising, especially during the past decade. Although the share of food imports in total apparent consumption has nearly doubled over the past thirty years for both groups, the growth in food import bills for the latter has consistently outstripped those of GDP and total value of merchandise imports and exports up until very recently. This, together with much greater volatility experienced, is an indication that the least developed countries have been under stress to ensure their national food security. Although it may appear paradoxical that the situation in these countries has been alleviated somewhat after the implementation of the UR AoA, special conditions affecting the market fundamentals of the major food commodities, rather than the changes in the international policy environment itself, appear to have been more influential.
The second part of the study delves into the commodity aspects of food import bills at the country level by analyzing the sources of variation in the import bills of selected food commodities. The consistencies discovered provide convergence of support to analyses conducted elsewhere that, however, do not use data at the level of detail used in this study. Moreover, the underlying analyses are based on data properly adjusted to bear directly on the issues being addressed. The consistencies that are of relevance from a policy perspective can be summarised as follows:
There is evidence of large "unanticipated" changes in import prices and import quantities (of all food commodities) that are indicative of either large policy shifts, substantive changes in the behaviour of economic agents or other factors affecting the market fundamentals.
A significant proportion of large price spikes for most commodities, as well as the structural breaks for wheat and sugar, occur at or around periods that can be attributed to certain important events: for example, the 1974 world food crisis; policy changes in important developing countries after the mid-1980s; and around 1997-98 when many agricultural commodity markets tightened sharply and then subsequently reversed mainly as a result of policy responses. Around the time when such price spikes are observed, sharp dips in imported quantities occur as well. Furthermore, in years immediately after a sharp price increase, the volatility in prices increases too. A large proportion of the observed spikes experienced by the individual countries for most commodities is concentrated in the 1970s, implying declining volatility over the past three decades, and confirming findings based on analyses of representative international prices of more homogenous commodities.
The variance of prices, quantities and the total import bill is not constant over time, and there appear to be periods of high volatility (for all food commodities). For most commodities, price volatility appears to have declined over the past three decades, since a larger proportion of the observed spikes experienced by the individual countries for most commodities is concentrated in the 1970s. Moreover, these confirm findings elsewhere, which are based on analyses of representative international prices rather than unit import costs of composite commodities at the border. The volatility in quantities is distributed more uniformly across time, countries and commodities.
There is little evidence of empirical causality, in the sense of Granger, between prices and quantities across all groups and most countries. Nevertheless, there is substantial evidence that prices tend to have a significant contemporaneous influence on quantities imported, with more income-elastic food commodities' changes in prices exerting a larger influence on quantities imported when compared to those less elastic. In line with this, it is also discovered that contribution of prices to variation import bills tends to be larger (close to over 50 percent) for those commodities that exhibit larger price effects on quantities. However, there is still a wide variation in these results across countries. Thus, while the evidence generally supports the contention that prices are an important determinant of total import values and import quantities, there are other important factors influencing these variables. The characteristics of countries which have relatively high and low responses may warrant further analysis.
From a policy perspective the results indicate that it may be warranted to focus attention on the LDCs as they have been under relatively greater stress and exhibit greater vulnerability from the perspective of their national food security. Indeed, both at a more macro level and at the commodity level, price, quantity and import bill variability faced by both groups of countries appears to be significant; though, incidence of especially price variability, at least in its more extreme forms, have been declining over the past three decades. For the more basic of the food commodities, there is some evidence to suggest that import quantity variation tends to be a larger contributor to the variation in import bills; while for those that tend to be more income-elastic, it is import price variation that tends to be more important. Moreover, some important policy landmarks appear to have been instrumental in causing sudden and substantial changes in the market fundamentals that have been transmitted to the border of these vulnerable countries. One relief, however, has been that such changes have not had lasting effects either on prices in subsequent periods or longer term effects on quantities imported; the effects usually dissipating within a single year. Overall, short term volatility appears to be an important policy issue that requires attention to reduce vulnerability, especially of the least developed countries, to an ensured continuous supply of food from the international markets.
References
Bai, J. & Perron, P. 1998. Estimating Linear Models with Multiple Structural Changes. Econometrica, 66(1):47-48
Bai, J. 1999. Likelihood Ratio Tests for Multiple Structural Changes. Journal of Econometrics, 91:299-233
FAO. 2002a. Commodity Market Review: 2001-2002. Rome, 2002.
FAO. 2002b. Commodity Price Developments since the 1970s, in Consultation on Agricultural Commodity Price Problems, Rome, pp. 131-175.
FAO. 2003. Some Trade Policy Issues Relating to Trends in Agricultural Imports in the Context of Food Security, Document, CCP 03/10, Rome.
Hamilton, J.D. 1994. Time Series Analysis, Princeton University Press, Princeton New Jersey.
Härdle W. 1992. Applied Nonparametric Regression. Cambridge University Press, Cambridge.
Prakash, A. & Gürkan, A. A. 2003. Structural Change and the Behaviour of Cereal Prices, FAO, Rome.
WTO. 2002. Inter-agency panel on short-term difficulties in financing normal levels of commercial imports of basic foodstuffs, Geneva, July 2002.
Annex A. Identifying structural breaks
All parameters in the VAR are potentially time dependent. However, using moderate-sized data sets, a more tractable approach is to allow and test for variation only in the deterministic components of the VAR. The type of structural change modelled within this study supposes that there may be up to K discrete shifts in some of the parameters. If the point of the structural break was known a priori then within a stationary framework (induced here by differencing the variables) inference concerning the structural breaks would be standard. However, if the breaks are unknown, then a search procedure must be adopted to choose the break points endogenously. Under such circumstances, the usual F-test or LR-test for the significance of these dummies where the breaks are chosen to give the best fit, are no longer applicable. This study uses an extension of tests developed in Bai and Perron (1998) and Bai (1999).
A full search for L structural breaks in sample size T, involves a number of regressions of the order of TL. While more efficient algorithms can reduce the dimension of the search, efficient algorithms are not required in samples of less than one hundred, providing L£4. For T£30, or more, there are virtually no advantages in using efficient algorithms. Consequently a full search has been implemented here.
Bai (1999) outlines a maximum likelihood test for l +1 breaks under the null of l breaks, where the deterministic components have up to Q polynomial trends. Here, a special case is analysed. In a regression of the form:
(A.1)
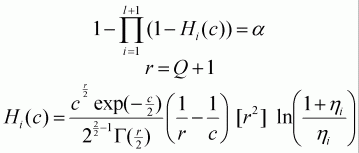
where there are breaks in the values of µq. The critical values © for a given size á, are obtained by solving for c such that:
(A.2)
where the values of hi are calculated using the estimated the proportions of sample between breaks li i=1,...K and the minimum allowed proportional break ehi = e/li.
The equation (A.2) is a special case of equation (8) in Bai (1999).
In equation A.1 above, y and x could be replaced by logged prices and quantities:
,
(A.3)
which is the first equation of the VAR (e.g. equation 3 in the main text). Reversing the places of x and p gives the second equation. Therefore, this method is entirely appropriate for the estimation of the VAR as expounded in the text with time varying intercepts and time trends.
This study sets Q=0 (allow for time varying intercepts only). In order to select the correct number of breaks a sequential process was used. First 0 breaks against 1 break were tested. If 0 breaks were rejected then 1 break versus 2 was tested and so on. The maximum number of breaks used here was 4.
Breaks in volatility
The variance of the innovations within VARs might change through time. This would manifest itself in periods of high volatility for prices and quantities, and periods of comparative calm. Changes in the innovations variance may be conditional (known as ARCH or GARCH) or unconditional. While there are a range of tests for heteroscedasticity (conditional and unconditional), these tests will not generally identify break points, only whether the volatility tends to change in a systematic way. Consequently they are of limited use in analysing policy. This paper therefore extends the Bai and Perron tests by examining the absolute deviations of the innovations for structural changes in their means. This is equivalent to conducting a test for heteroscedasticity using a multiple break framework. An important caveat to these tests, however, is that the critical values applied to residuals derived from VARs may be misleading. The contention here would be that apparently significant breaks in volatility might be found, when in fact the evidence for this is weak. Nevertheless, this test is potentially useful and therefore employed in the analysis above.
Annex B. Decomposing variation in import bills
Expressing equation (6) in matrix notation:
.
(B.1)
Variance decomposition requires restating the autoregressive representation above in terms of its "moving average" counterpart:
.
(B.2)
The Qi
parameters can be computed from the parameters in the VAR along with
.
Within this representation, prices and quantities have been
decomposed into the sum of the "deterministic" terms
and "stochastic" terms
. This representation is
useful in that changes in prices and quantities can now be expressed as the
weighted sum of past "shocks" to prices and quantities.
The contribution of the variances of prices and quantities to total import bills can then be calculated as:
(B.3)
or
alternatively
.
The first term on the right-hand-side of the equation is the contribution of the variance of prices to that of the import bills and the second that of import quantities. Their relative importance can, respectively, be expressed as follows:
and/or
(B.4)
.
For measuring the impact of price innovations on imported
quantities, the total variation in
can be calculated
as:
(B.5)
or alternatively,
,
(which is a standard decomposition formulae), with the proportion attributable to prices defined as follows:
.
(B.6)
The quantities R(I/P) and R(X/P) can be estimated from the data and may therefore be used to summarise the importance of prices in determining the variation in the total food import bill and import volume respectively.[43]
|
[17] The authors are,
respectively, Chief, Basic Foodstuffs Service, Commodities and Trade Division,
FAO; Lecturer, Imperial College at Wye and Commodity Specialist, Basic
Foodstuffs Service, Commodities and Trade Division, FAO. [18] A similar situation also holds true for non-food agricultural commodities that many poor developing countries rely on to earn much-needed foreign exchange when allows them to import their food needs. They suffer when prices are low, benefit when they are high; provided, of course, the movements of prices of food commodities that they have to import do not coincide. [19] The full text of the decision can be found at: http://www.wto.org/english/docs_e/legal_e/35-dag_e.htm [20] A Panel established at the World Trade Organization (WTO) has, for example, been assessing the effectiveness of various different instruments to deal with sharp increases in food prices from the perspective of least developed and net food importing countries, using their experiences during the mid-1990s, in line with the provisions of the Marrakesh Decision (see WTO 2002). [21] For all the developing countries the annual growth in volume of food imports has averaged around 5.6 percent and for the low-income food-deficit countries around 6.9 percent. For the developed countries, on the other hand, the annual average growth in food imports has been around only 1.9 percent (see FAO 2003, Table 3). [22] As expected, the NFIDCs import significantly more of their apparent consumption (nearly one-third more recently) than the LDCs (slightly above one-tenth over the past decade); and indeed the share of the former has also increased faster than that of the latter over the past three decades. [23] The averages for each category are simple averages calculated over the shares of the countries in each category. Before calculating the shares, the value of food aid deliveries on a calendar year basis has been subtracted from corresponding FAOSTAT estimates. Since food aid donations are not reported separately though included in official export statistics of the donor countries, and are assigned a "value" even when the food aid commodities are in grant form and in kind, the adjustments made to the recipient country imports to take this into account are to some extent arbitrary. The issue is complicated by the fact that it is not always clear that importing countries report food aid volumes and give them a value, and when they do what value they assign to aid especially when it contains some concessionality. Manual adjustments have been made to ensure consistency between reports by donor and recipient countries and to exclude food aid locally purchased. [24] All statements in the rest of the paper claiming some "significant difference" are based on statistical tests to increase confidence that the observed differences are not likely to be due to some "error" variation. [25] The averages presented in Charts 2 to 4 have also been calculated by weighing each country by the relative importance of the food imports in apparent food consumption, both measured in terms of their calorie content. The values calculated in this manner are much higher than those reported here. [26] "Unanticipated" volatility is defined here as the residual variation derived from smoothing equations fitted through applications of non-parametric regression techniques to each series (see Härdle 1992); an approach similar to that used in the next section, yet different because of the econometric techniques used in identifying "anticipated" volatility. [27] Please note that the official published estimates of the value of food imports include the value of food aid flows. [28] Indeed the decline was not only in relative terms but also in absolute terms, averaging 20 percent per year between 1986 and 1987 (measured in terms of calorie equivalents). [29] There was no clear decline in the absolute value of food aid flows (measured in calorie equivalents) for this group of countries during the same period. [30] The volume index is calculated using 1995 import unit values and the price index uses average import unit values per 1 000 units of kilocalories contained in food commodities imported. [31] This section is based on analysis undertaken by Kelvin Balcombe. [32] The existence and number of regime changes are determined using the statistical tests in Bai and Perron (1998) and Bai (1999) (see Annex A for details). [33] However, estimated import volumes are expressed in their raw product equivalents. [34] The tests are conducted at the 5 percent level of significance. Therefore, about one in twenty estimated breaks would be expected, even if there were no structural changes. [35] A tally of "shocks", both positive and negative, beyond three standard deviations is also kept. Though one should hardly expect to find such extreme outliers, they do occur consistently, suggesting that the error terms of the VAR are not distributed normally as assumed. [36] The exceptions are sugar, where all the structural breaks seem to have occurred during the same time, and skim milk, the product with the weakest links to the other commodity markets. [37] This also means that the incidence of unanticipated volatility was larger during the 1970s when compared to either the 1980s or the 1990s, providing support to the conclusions reached in an earlier FAO study that analyzed international representative commodity prices rather than country level data as used here (see FAO 2002b, pp. 134-136). [38] The timing of the import price peaks also coincides fairly closely with those discovered when similar structural break analyses were undertaken using representative international prices of some of the same commodities (FAO 2002b, pp.136-137; Prakash and Gürkan, 2002) [39] Charts 2 to 5 illustrate the importance of the periods at end of the 1980s and mid-1990s in changing the trends in the indicators that are constructed using unrelated macroeconomic variables as well. [40] If tests for conditional heteroscedasticity (ARCH) were used, they would also undoubtedly commonly reject the hypothesis of constant variance. However, precisely how the variance should be modelled is an open question. ARCH or GARCH may be good ways of modelling the shifts in variance, but with such short series this is impossible to determine. [41] However, the apparent non-causality between the series may also be due to small sample, numerous potential outliers in the series, inappropriateness of standard statistical tests when assumption of normality in the distribution of shocks, composite nature of the commodities considered in the analyses etc.. Non-causality from quantities to prices was imposed unless causality could not be rejected at the 5 percent level. However, for a priori reasons, non-causality of prices to quantities was not imposed. [42] The elasticities for the other commodity groups are: rice, -0.49; coarse grains, -0.53; skim milk, -0.55; sugar, -0.56; palm oil, -0.65; soybeans, -0.80. [43] The contributions of prices and quantities to the trend component can also be assessed in a similar manner. However, since the prices are being analysed in their nominal form and regime breaks in the trends will also be determined and incorporated into the analyses, no attempt has been made to estimate their contributions to the trend component of the food import bills. |