George Rapsomanikis, David Hallam and Piero Conforti[46]
The article discusses time series applications to market integration. A number of important issues related to the definition of market integration and price transmission, the usefulness and limitations of time series econometrics and the interpretation of the estimated parameters are examined. The extent of price transmission is defined in terms of notional components such as completeness, dynamics and asymmetry of adjustment and a testing framework is applied with each component being tested individually. It is argued that, collectively, these tests can be utilized to assess market integration and the extent to which policies and other distortions affect price transmission. The testing framework is applied to selected food and cash crop markets of developing countries.
A fundamental issue when analysing trade policy reform in global agricultural markets is the extent to which domestic agricultural commodity markets in developing countries respond to changes in international prices. Price transmission from the world to domestic markets is central in understanding the extent of the integration of economic agents into the market process.
Studies on the transmission of price signals are founded on concepts related to competitive pricing behaviour.[47] In spatial terms, the classical paradigm of the Law of One Price, as well as the predictions on market integration provided by the standard spatial price determination models (Enke, 1951; Samuelson, 1952; Takayama and Judge, 1972) postulate that price transmission is complete with equilibrium prices of a commodity sold on competitive foreign and domestic markets differing only by transfer costs, when converted to a common currency. These models predict that changes in supply and demand conditions in one market will affect trade and therefore prices in other markets as equilibrium is restored through spatial arbitrage.
The absence of market integration, or of complete pass-through of price changes from one market to another has important implications for economic welfare.[48] Incomplete price transmission arising either due to trade and other policies, or due to transaction costs such as poor transport and communication infrastructure, results in a reduction in the price information available to economic agents and consequently may lead to decisions that contribute to inefficient outcomes. Agricultural and food trade policy reform, especially, is a priority issue in the next WTO negotiations, as trade liberalization is viewed as encouraging allocative efficiency and long run growth.
Price transmission studies are ostensibly an empirical exercise testing the predictions of economic theory and providing important insights as to how changes in one market are transmitted to another, thus reflecting the extent of market integration, as well as the extent to which markets function efficiently. In addition to the body of research and application that tests economic theory, price transmission mechanisms feature prominently in all global agricultural partial equilibrium models, such as the World Food Model of the UN Food and Agriculture Organization and other models such as the that developed by Tyers and Anderson (1992). In these models the price transmission parameter values consist of key building blocks and play an important role in determining the direction, magnitude and distribution of welfare effects of trade policy scenarios (for a review of price transmission mechanisms in partial equilibrium models see Sharma, 2002). Given the increasing use of these models to address sensitive policy issues, such as trade liberalization and the distribution of benefits and costs across countries and population groups, there is an urgency to review these mechanisms and fine-tune them for further applications.
The objective of this paper is to contribute to the body of research and applications on price transmission focusing on both food and cash crop markets in developing countries and to highlight a number of important issues related to the definition of price transmission, the various econometric methods utilized to examine its extent and the interpretation of the results within a policy perspective. Section 2 provides a brief review of the literature and highlights the main findings on the factors that impede complete price transmission and market integration. Section 3 discusses a definition of market integration and price transmission and examines the underlying issues. Section 4 draws a testing framework for the empirical work. Section 5 presents the case studies and section 6 concludes the paper.
Several authors have studied price transmission within the context of the Law of One Price (inter alia Ardeni, 1989; Baffes, 1991) or within the context of market integration (Ravallion, 1986; Sexton et al, 1991; Palaskas and Harriss 1993; Zanias, 1993; Gardner and Brooks, 1994; Blauch 1997). The concept and the analytical techniques have also been used to evaluate policy reform, such as ex post assessment of market integration in the context of the implementation of the structural adjustment programmes (Goletti and Babu, 1994; Alexander and Wyeth, 1994; Dercon, 1995). Another vein of research focuses on vertical price transmission along the supply chain from the consumer to the producer level (see for example Brorsen et al, 1985; Wohlgenant, 1985; Kinnucan and Forker, 1987; Shroeter and Azzam, 1991; Goodwin and Holt, 1999; Prakash 1998; von Cramon-Taubadel, 1999).
The large body of research on market integration and price transmission, both spatially and vertically, has applied different quantitative techniques and has highlighted several factors that impede the pass-through of price signals. Distortions introduced by governments in the form of policies either at the border, or as price support mechanisms weaken the link between the international and domestic markets. Agricultural policy instruments such as import tariffs, tariff rate quotas, and export subsidies or taxes, intervention mechanisms, as well as exchange rate policies insulate the domestic markets and hinder the full transmission of international price signals by affecting the excess demand or supply schedules of domestic commodity markets (Gardner, 1975; Mundlak and Larson, 1992; Quiroz and Soto, 1996; Baffes and Ajwad, 2001; Abdulai, 2000; Sharma, 2002).
In theory, spatial price determination models suggest that, if two markets are linked by trade in a free market regime, excess demand or supply shocks in one market will have an equal impact on price in both markets. The implementation of import tariffs, in general, will allow international price changes to be fully transmitted to domestic markets in relative terms. Thus a proportional increase in the international price will result in an equal proportional increase in the domestic price, at all points in time provided that tariff levels remain unchanged. However, if the tariff level is prohibitively high, changes in the international price would be only partly, if at all, transmitted to the domestic market, as domestic prices may be close to the autarky price level, thus obliterating opportunities for spatial arbitrage and resulting in the two prices moving independently of each other, as if an import ban was implemented. Other policy instruments such as tariff rate quotas may result in international price changes not being at all points of time proportionately transmitted to domestic prices, as changes in the domestic price level will depend on two different tariff rates that are applied according to whether the volume of imports falls within or outside the quota level. In the event that imports are equal to the quota level, changes in the international price may not affect the domestic price level at all, provided that these changes are relatively small, as compared to the difference between the within-the-quota and the out-of-the-quota tariff levels. The implementation of price support policies, such as intervention mechanisms and floor prices, may result in the international and the domestic price being completely unrelated or being related in a non linear manner, depending on the level of the intervention or floor price relative to the international price. Changes in the international price will have no effect on the domestic price level when the international price lies on a level lower than that to which the floor price has been set. However, any changes in the international price above the floor price level will be transmitted to the domestic market. Thus floor price policies may result in the domestic price being completely unrelated to the international market below a certain threshold determined by the floor price, or in the two prices being related in a non linear manner with increases in the international price being fully transmitted to the domestic level, whilst decreases are slowly and incompletely passed-through.
Apart from policies, domestic markets can also be partly insulated by large marketing margins that arise due to high transfer costs. Especially in developing countries, poor infrastructure, transport and communication services give rise to large marketing margins due to high costs of delivering the locally produced commodity to the border for export or the imported commodity to the domestic market for consumption. High transfer costs and marketing margins hinder the transmission of price signals, as they may prohibit arbitrage (Sexton, Kling and Carman, 1991; Badiane and Shively, 1998). As a consequence, changes in world market prices are not fully transmitted to domestic prices, resulting in economic agents adjusting (if at all) partly to shifts in world supply and demand.
Non-competitive behaviour such as that considered in pricing-to-market models (Dornbush, 1987; Froot and Klempeter, 1989; Krugman, 1986) can hinder market integration. Pricing-to-market models postulate that firms may absorb part of exchange rate movements by altering export prices measured in home currency in order to retain their market share. Alternatively, oligopolistic behaviour and collusion among domestic traders may retain price differences between international and domestic prices in levels higher that those determined by transfer costs.
Most of the studies utilize time series econometric analysis techniques that test for the co-movement of prices. The development of these techniques, which include cointegration and error correction models, has become the standard tool for analysing spatial market relationships, replacing earlier empirical tools, such as the bivariate correlation coefficient and regressions. Nevertheless, time series analysis has also being criticized as unreliable (Blauch, 1997; Barrett and Li, 2002) with recent research focussing on switching regime models that incorporate data on prices, volumes traded and transactions costs. The debate on the application methodology for testing for market integration and price transmission has a relatively long history starting with Harriss (1979). Blauch (1997) provides a review of the debate and examines the statistical performance of econometric tests for market integration. In essence, linear tests for market integration and price transmission are thought of as crude and inappropriate (Blauch, 1997; McNew, 1996; McNew and Fackler, 1997; Fackler and Goodwin, 2002 and Barrett and Li, 2002). Non linearities in market relationships that arise from arbitrage conditions, unsynchronized price cycles, discontinuous trade and non stationary transfer costs are thought of as rendering linear representations and models not useful and inaccurate.
In this paper, we argue that, although there is some merit in the above criticisms, especially as far as non stationary transfer costs are concerned, time series analysis can provide useful insights into the issue of market integration and price transmission if an appropriate testing framework is employed and the results are interpreted correctly. Market integration is formally testable, if one adheres to the definition implied by the standard spatial equilibrium model. However, the extent of price transmission is an inherently ambiguous concept. Cointegration and error correction models provide an analytical tool that can focus beyond the case of market integration or complete price transmission, in testing notions such as completeness, speed, and asymmetry of the relationship between prices. For example, discontinuities in trade, within a time series modelling framework, correspond to slow speed of convergence to a long run relationship, whilst non linearities may be modelled as asymmetric responses to price changes. Time series models have small data requirements as compared to other methodologies, relying on price series only, which are more easily available for developing countries. In addition, time series applications perform a useful role in signalling potential failures in markets and in contributing to the assessment of the direction, magnitude and distribution of welfare effects of trade policy reforms. However, it is important to note that, in general, time series applications may also founder while attempting to achieve an unattainable goal, that of giving a universal measure of the extent of price transmission in terms of a single parameter or test.
Given prices for a commodity in two spatially separated markets p1t and p2t, the Law of One Price and the Enke-Samuelson-Takayama-Judge model postulate that at all points of time, allowing for transfer costs c, for transporting the commodity from market 1 to market 2, the relationship between the prices is as follows:
p1t = p2t + c (1)
If a relationship between two prices, such as (1), holds, the markets can be said to be integrated. However, this extreme case may be unlikely to occur, especially in the short run. At the other end of the spectrum, if the joint distribution of two prices were found to be completely independent, then one might feel comfortable saying that there is no market integration and no price transmission. In general, spatial arbitrage is expected to ensure that prices of a commodity will differ by an amount that is at most equal to the transfer costs with the relationship between the prices being identified as the following inequality:
p2t - p1t£ c (2)
Fackler and Goodwin (2001) refer to the above relationship as the spatial arbitrage condition and postulate that it identifies a weak form of the Law of One Price, the strong form being characterized by equality (1). They also emphasize that relationship (2) represents an equilibrium condition. Observed prices may diverge from relationship (1), but spatial arbitrage will cause the difference between the two prices to move towards the transfer cost. The spatial arbitrage condition implies that market integration lends itself to a cointegration interpretation with its presence being evaluated by means of cointegration tests. Cointegration can be thought of as the empirical counterpart of the theoretical notion of a long run equilibrium relationship. If two spatially separated price series are cointegrated, there is a tendency for them to co-move in the long run according to a linear relationship. In the short run, the prices may drift apart, as shocks in one market may not be instantaneously transmitted to other markets or due to delays in transport, however, arbitration opportunities ensure that these divergences from the underlying long run (equilibrium) relationship are transitory and not permanent.
The spatial arbitrage condition encompasses price relationships that lie between the two extreme cases of the strong form of the Law of One Price and the absence of market integration. Depending on market characteristics, or the distortions to which markets are subject, the two price series may behave in a plethora of ways, having quite complex relationships with prices adjusting less than completely, or slowly rather than instantaneously and according to various dynamic structures or being related in a non linear manner. Given the wide range of ways prices may be related, the concept of price transmission can be thought of as being based on three notions, or components (Prakash, 1998; Balcombe and Morisson, 2002). These are:
co-movement and completeness of adjustment which implies that changes in prices in one market are fully transmitted to the other at all points of time;
dynamics and speed of adjustment which implies the process by, and rate at which, changes in prices in one market are filtered to the other market or levels; and,
asymmetry of response which implies that upward and downward movements in the price in one market are symmetrically or asymmetrically transmitted to the other. Both the extent of completeness and the speed of the adjustment can be asymmetric.
Within this context, complete price transmission between two spatially separated markets is defined as a situation where changes in one price are completely and instantaneously transmitted to the other price, as postulated by the Law of One Price presented by relationship (1). In this case, spatially separated markets are integrated. In addition, this definition implies that if price changes are not passed-through instantaneously, but after some time, price transmission is incomplete in the short run, but complete in the long run, as implied by the spatial arbitrage condition. The distinction between short run and long run price transmission is important and the speed by which prices adjust to their long run relationship is essential in understanding the extent to which markets are integrated in the short run. Changes in the price at one market may need some time to be transmitted to other markets for various reasons, such as policies, the number of stages in marketing and the corresponding contractual arrangements between economic agents, storage and inventory holding, delays caused in transportation or processing, or "price-levelling" practices.
Asymmetric response of one price to another implies non linear adjustment and deserves some further discussion. Many researchers have worked on the issue of asymmetric price responses utilizing the asymmetric error correction model developed by Granger and Lee (1989) or threshold cointegration models proposed by Enders and Granger (1998). Abdulai (2000) provides a comprehensive discussion on the rationale behind spatial asymmetric price response. In addition to policies, market power is often cited as a source of asymmetries (Scherer and Ross, 1990). Industry concentration and imperfectly competitive behaviour beyond the farm-gate implies that wholesalers, or middlemen with power over price, may exercise pricing strategies that result in a slow and incomplete pass-through of increases in the international price and a fast and complete transmission of decreases in the international price to prices upstream, as their margins are squeezed.
However, in the short run, asymmetric price transmission may also occur for reasons other than policies and market power. In spatial markets, inventory holding behaviour in domestic markets may lead to asymmetries, as high international price expectations lead to stock accumulation. The subsequent release of stocks, post the realization of high international price expectations, may exert downward pressure on the domestic market and cause the domestic price not to rise as much as it would in the absence of inventories (Maccini, 1978; Blinder, 1982). Other reasons for asymmetric price adjustment include different reaction to increases and decreases of input costs, depending on whether prices are rising or falling, as competition between wholesalers with high fixed costs and excess capacity may result in producer prices that increase rapidly when demand for processed product is high, but decrease at a slower rate when demand is low (Bailey and Brorsen, 1989; Kovenock and Widows, 1998). Therefore, it is important to note that although most researchers agree that asymmetric price response may be due to concentration and non competitive pricing behaviour, the theoretical underpinnings of this hypothesis (see for example Wohlgenant, 1999), as well as the related empirical evidence are inconclusive. For example, Griffith and Piggot (1994) detected asymmetries in the Australian lamb and beef markets, but not in the pork market in spite of the fact that the Australian pork market is more concentrated than the other meat markets.
As mentioned in section 2, the extent of price transmission lacks a direct unambiguous empirical counterpart in the form of single formal testing. The definition of price transmission provided in the section above encompasses the case of perfect market integration, the inherent dynamic market relationships that arise due to inertia or discontinuities in trade, as well as non linearities that may arise due to policies and other distortions in arbitrage. More importantly, it implies hypotheses, through its components, that are testable within a cointegration-error correction model framework. A number of time series techniques can be used to test each of the components of price transmission and thus ultimately assess the extent of price transmission. These are as follows:
Each of the above tests are taken to present evidence about the components of transmission thus providing particular insights into its nature. Collectively, these techniques offer a framework for the assessment of price transmission and market integration.
The concept of cointegration (Granger, 1981) and the methods for estimating a cointegrated relation or system (inter alia Engle and Granger, 1987; Johansen, 1988, 1991, 1995) provide a framework for estimating and testing for long run equilibrium relationships between non stationary integrated variables.[49] Cointegration has been extensively discussed and applied in the literature and thus a detailed examination is beyond the scope of this paper (Maddala and Kim, 1998 provide a thorough and extensive review of cointegration). However, a brief description of the concept and the estimation methods in the context of the present analysis is provided.
If two prices in spatially separated markets (or different levels of the supply chain) p1t and p2t contain stochastic trends and are integrated of the same order, say I(d), the prices are said to be cointegrated if:
p1t - b p2t = ut (3)
is I(0).
b is referred to as the
cointegrating vector (in the case of two variables a scalar), whilst equation
(3) is said to be the cointegrating regression. The above relationship can be
estimated utilizing inter alia Ordinary Least Squares OLS (Engle and
Granger, 1987), or a Full Information Maximum Likelihood method developed by
Johansen (1988, 1991) that is most commonly encountered in the literature. More
specifically, p1t and p2t are
cointegrated, if there is a linear combination between them that does not have a
stochastic trend even though the individual series contain stochastic trends
(see Stock and Watson, 1988, for the stochastic trend representation of
cointegrated systems). Cointegration implies that these prices move closely
together in the long run, although in the short run they may drift apart, and
thus is consistent with the concept of market integration. Engle and Granger
test the null of no cointegration by applying unit root tests on
. Johansen derived the
distribution of two test statistics for the null of no cointegration referred to
as the Trace and the Eigenvalue
tests.[50]
As ut is stationary, the prices contain stochastic trends that have a long-run proportionality, with the cointegrating parameter b measuring the long-run equilibrium relationship between them. This parameter has sometimes been interpreted as the "elasticity of price transmission", when the price series are converted into logarithms. However, this cointegrating parameter does not identify this elasticity, or in other words, the completeness of transmission, particularly well, as recognized by Balcombe and Morrison (2002) and Barrett and Li (2002). Cointegration is a statistical concept and thus "atheoretical", whilst the cointegrating parameter may not have any economic interpretation, in the way a parameter of a structural model has. For example, if prices in spatially separated markets have a common stochastic trend reflecting inflation, the cointegrating parameter will be equal to one mirroring a proportionality of unity and implying that price transmission is complete.
Nevertheless, failure to reject the null of non cointegration implies that the two prices drift apart in the long run, as they are driven by stochastic trends that are not proportional. In this case, some changes in one price, say the international market price, may to a certain extent be transmitted to the domestic market price, however, other factors, such as policies or deviations from marginal cost pricing determine the movements of the domestic market price, thus resulting in absence of market integration. A potential shortcoming of cointegration in testing for market integration is the implicit assumption that transfer costs are stationary (Fackler and Goodwin, 2001; Barret and Li, 2002). Non stationary transfer costs will result in cointegration tests suggesting the absence of market integration, as the international and domestic prices drift apart, in spite of the fact that price signals are transmitted from one market to another. Nevertheless, non stationary transfer costs cause domestic prices to move independently from international prices, thus limiting the information that is available to producers.
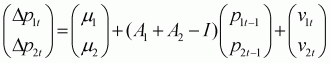
In addition to formally testing market integration, the concept of cointegration has an important implication, purported by the Granger Representation Theorem (Engle and Granger, 1987). According to this theorem, if two trending, say I(1), variables are cointegrated, their relationship may be validly described by an Error Correction Model (ECM), and vice versa (see also brief description in the Annex). In the case that prices from two spatially separated markets, p1t and p2t, are cointegrated, the Vector Error Correction (or VECM) representation is as follows:
(4)
where
and
are iid disturbances
with zero mean and constant finite variance, whilst the operator D denotes that the I(1) variables have been differenced
in order to achieve stationarity.
The inclusion of the levels of the variables,
p1t and p2t alongside their
differenced terms Dp1t and Dp2t is central to the concept of the
ECM. Parameters contained in matrices A2...Ak,
measure the short run effects, while b is
the cointegrating parameter that characterizes the long run equilibrium
relationship between the two prices. The levels of the variables enter the ECM
combined as the single entity
which reflects the errors
or any divergence from this equilibrium, and correspond to the lagged error term
of equation (3). The vector
contains parameters, usually,
i=1,2, commonly
called error correction coefficients, that measure the extent of corrections of
the errors that the market initiates by adjusting p1t
and p2t towards restoring the long run equilibrium
relationship. The speed with which the market returns to its equilibrium depends
on the proximity of ai to one. Within this context, short run
adjustments are directed by, and consistent with, the long run equilibrium
relationship, allowing the researcher to assess the speed of adjustment that
shapes the relationship between the two prices.
In the context of market integration and price transmission studies, the ECM, as well as its further applications discussed below, is perhaps the most useful tool as it provides a stylized picture of the relationship between two prices. The model provides a structure within which gradual, rather than instantaneous price transmission can be tested, thus taking into account discontinuities in trade and other factors that may impede market integration over time. Most importantly, the proximity of the error correction coefficient to -1 can be used to assess the extent to which policies, transaction costs and other distortions delay full adjustment to the long run equilibrium. Sharma (2002) in a paper aiming to assess market integration between several Asian wheat markets and the world market, estimated ECMs and conducted an extensive policy review. His findings suggest that in countries such as Pakistan, India, Sri Lanka and Indonesia, where government intervenes in the domestic market through various policy instruments, the error correction coefficients were estimated to lie between -0.01 and -0.07 indicating a slow adjustment to the long run relationship.
Another important implication of cointegration and the error correction representation is that cointegration between two variables implies the existence of causality (in the Granger sense) between them in at least one direction (Granger, 1988). The definition of causality and its relevance in the context of market integration and price transmission warrants some discussion. Cointegration itself cannot be used to make inferences about the direction of causation between the variables, and thus causality tests are necessary. Granger (1969) proposed an empirical definition of causality based only on its forecasting content: if xt causes yt then yt+1 is better forecast if the information in xt is used, since there will be a smaller variance of forecast error. This definition has caused considerable controversy in the literature (see for example Pagan, 1989) as it really indicates precedence, rather than instantaneous causality that most economists profess. Nevertheless, if two markets are integrated, the price in one market, p1, would commonly be found to Granger-cause the price in the other market, p2 and/or vice versa. Therefore, Granger causality provides additional evidence as to whether, and in which direction, price transmission is occurring between two series.
The hypothesis that p1 Granger-causes p2 and vice versa can be assessed within a Vector Autoregression (VAR) framework (see Annex) by testing the null that the coefficients of a subset of these jointly determined variables, the lagged p1 terms, are equal to zero. In addition, Granger (1988) proposed a test for long run Granger causality within the context of the error correction representation of a cointegrated system of variables. The presence and direction of Granger causality in the long run can be assessed by testing the null that the error correction coefficients a1 and a2 in the VECM presented by (3) are equal to zero, a test that also reveals weak exogeneity in the econometric sense. In more detail, under a1 =0, a2 ¹ 0, p2 Granger-causes p1 in the long run, under a2 = 0, a1 ¹ 0, p1 Granger-causes p2 in the long run, whilst under a1 ¹ 0, a2 ¹ 0, both series Granger-cause each other in the long run.
It is important to note that although cointegration between two price series implies Granger causality in at least one direction, the opposite is not necessarily true. In this case, as noted above in the discussion on cointegration, lack of cointegration between the two trending price series may indicate that market integration is absent, as other factors such as transaction costs determine the movements of one of the price series. However, Granger causality may exist, indicating that, although the two price series drift apart due to other factors such as non stationary transaction costs, some price signals are passing through from one market to another. On the other hand, lack of Granger causality may not imply an absence of transmission, as price signals may be transmitted instantaneously under special circumstances. However, given the inherent dynamics of markets, we believe that this is highly unlikely.
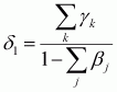
The error correction representation also provides a framework for testing for asymmetric and non linear adjustment to a long run equilibrium. Granger and Lee (1989) proposed an asymmetric ECM (AECM) where the speed of the adjustment of the endogenous variable depends on whether the deviation from the long run equilibrium is positive or negative. The single asymmetric ECM is specified as follows:
(5)
The errors or divergences from this equilibrium are decomposed
in two parts,
and
reflecting positive and
negative disequilibria respectively. Within this context, asymmetry occurs in
the event when positive and negative divergences from the long run equilibrium
between p1t and p2t result in changes in
p1t that have different magnitude. Therefore, asymmetric
transmission implies that a+1 is not equal to a-1. The null of symmetry
against the alternative hypothesis that adjustment is asymmetric is tested by
imposing the equality restriction a+1=a-1. In addition to the above,
short run asymmetric transmission can also be tested by decomposing DP2t in two parts reflecting
price rises and price falls, and testing for equality of the corresponding short
run coefficients. Asymmetric adjustment can be also tested by following Prakash
et al (2001). This method involves the assignment of a dummy variable,
d=0 to all the parameters of the underlying Autoregressive Distributed
Lag (ADL) if there is positive disequilibrium and d=1 if there is
negative disequilibrium. Asymmetric adjustment to the long run equilibrium is
then tested by imposing and testing zero restrictions on the dummies'
parameters.
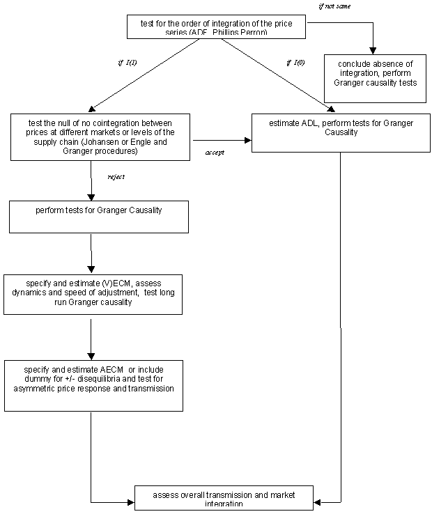
Diagram 1

In view of the above discussion on the empirical tools that can be used to assess the notional components of market integration and price transmission, we proceed to apply the proposed time series techniques on selected commodity markets in a sequence depicted in Diagram 1. The way in which the tests for the components of transmission have been ordered is to some extent ad hoc. The sequence of the tests is as follows:
(i) For each pair of prices, we start by testing for the order of integration for each price utilizing the Augmented Dickey-Fuller (Dickey and Fuller, 1979) and the Phillips and Perron tests (Phillips and Perron, 1988). In the event that the series have a different order of integration, we conclude that the markets are not integrated. In the case that the series are found to be I(0), we resort to assessing the dynamics of the relationship by means of Autoregressive Distributed Lag (ADL) models. We test for Granger Causality within a Vector Autoregression (VAR) framework to assess price transmission between the markets or along the supply chain.
(ii) In the event that the tests indicate that the series are integrated of the same order (say I(1)), we proceed by testing the null of non cointegration against the alternative hypothesis of one cointegrating vector using the Johansen procedure (Johansen 1988, 1991), or we test for the null of non cointegration following Engle and Granger (1987). Evidence against the null of no cointegration is taken to indicate that prices co-move and that markets are integrated. We do not impose and test for any restrictions on the cointegrating parameter estimate. As noted earlier in this section, inference on the extent of price transmission based on the size of the parameter may be misleading. In the event that the null of non cointegration is not rejected, we conclude that the markets are not integrated, and/or that we are unable to conclude that price transmission along the supply chain is complete.
(iii) In the event that tests indicate that the price series are cointegrated, we proceed by focusing on the error correction representation, in the form of a (V)ECM and on examining the short run dynamics, the speed of adjustment and the direction of Granger causality in the short or the long run following Granger (1969, 1988).
(iv) At the next stage, based on our results on the direction of causality, we specify AECMs and test for the null of symmetry following Granger and Lee (1989) or Prakash, Oliver and Balcombe (2001). Finally, we discuss the results and comment on the nature of price transmission and market integration.
It is important to note that the above testing framework does not identify the factors that affect market integration and price transmission. In other words, we are not able to distinguish whether price transmission and market integration is shaped by transaction costs, policy intervention that insulates the domestic markets, or by the degree of market power exerted by agents in the supply chain. For this reason, an attempt is made to complement the results with some qualitative information on the major factors that may determine the extent of transmission.
We apply the testing framework to a number of cash and food crop markets. We test for market integration between the coffee markets of Ethiopia, Rwanda and Uganda and the international market. Coffee is an important cash crop for these African countries and our objective is to assess the extent to which coffee producers in these countries are integrated into the market process, given that Ethiopia, unlike Uganda, exports coffee through an auction system, whilst in Rwanda the price of coffee is fixed. We also test for market integration between the wheat market of Egypt and the international market. Egypt intervenes in the wheat market through a variety of policy instruments and our objective is to assess the extent of market integration and price transmission and discuss the impact of policies.
For analysing the coffee markets, we use the logarithmic transformation of monthly domestic prices measured in US$ per lb at the producer level, from January 1990 to December 2001 and the Composite Indicator Price (CIP) of the International Coffee Organization (ICO), as a world market reference price.[51] The CIP is a weighted average of import prices of different types of coffee in the main import markets (United States, France and Germany). A detailed description of the calculation of the ICO Composite Indicator Price can be found in International Coffee Organization (2002). All data series are published by the ICO[52].
We first test for the order of integration. We apply a number of tests, namely the Augmented Dickey Fuller (ADF) test (Dickey and Fuller, 1979) and the Zt and Zr tests by Phillips (1987) and Phillips and Perron (1988). The ADF is the most commonly used test, but sometimes it behaves poorly, especially in the presence of serial correlation. Dickey and Fuller correct for serial correlation by including lagged differenced terms in the regression, however, the size and power of the ADF has been found to be sensitive to the number of these terms. The Phillips and Perron tests are non parametric tests of the null of the unit root and are considered more powerful, as they use consistent estimators of the variance.
Table 1. Unit root tests for coffee market prices
| |
Levels |
Differences |
|||
| |
with drift |
with drift and trend |
|
||
|
ICO Composite Indicator Price |
|
|
|
||
|
ADF test |
-1.192 |
-1.135 |
-9.220 |
||
|
Phillips Perron test Zt |
-1.015 |
-0.938 |
-9.226 |
||
|
Phillips Perron test Zr |
-2.886 |
-2.620 |
-107.151 |
||
|
Producer price, Ethiopia |
|
|
|
||
|
ADF test |
-2.036 |
-2.146 |
-12.455 |
||
|
Phillips Perron test Zt |
-2.033 |
-2.149 |
-12.455 |
||
|
Phillips Perron test Zr |
-10.352 |
-10.971 |
-149.882 |
||
|
Producer price, Rwanda |
|
|
|
||
|
ADF test |
-10.910 |
-1.690 |
-13.377 |
||
|
Phillips Perron test Zt |
-1.092 |
-1.702 |
-13.766 |
||
|
Phillips Perron test Zr |
-3.472 |
-7.016 |
-159.370 |
||
|
Producer price, Uganda |
|
|
|
||
|
ADF test |
-2.027 |
-1.395 |
-10.595 |
||
|
Phillips Perron test Zt |
-2.049 |
-1.425 |
-10.595 |
||
|
Phillips Perron test Zr |
-6.167 |
-4.783 |
-126.494 |
||
| |
with drift |
with drift and trend |
|||
|
Critical values |
5 percent |
10 percent |
5 percent |
10 percent |
|
|
ADF and Phillips Perron Zt |
-2.88 |
-2.57 |
-3.43 |
-3.13 |
|
|
Phillips Perron test Zr |
-13.7 |
-11.0 |
-20.7 |
-17.5 |
|
Table 1 presents the unit root test statistics. The ADF test is performed by including up to 12 lagged terms of the differenced terms in the regression and we use the Akaike Information Criterion (AIC) to choose the appropriate lag length by trading off parsimony against reduction in the sum of squares. The ADF test statistics presented in Table 1 correspond to the regression that has maximized the AIC. On the basis of both the ADF and Phillips and Perron tests, both with and without a deterministic trend, we conclude that there is insufficient evidence to reject the null hypothesis of non stationarity for all price series. When applied to the differenced series, both tests reject the null, indicating that all price series are I(1).
We proceed by following the sequence of tests depicted in Diagram 1. For each of the African coffee markets we test for cointegration using the Johansen approach, test for Granger causality and formulate an ECM in order to assess the dynamics and the speed of adjustment. Asymmetric adjustment is then tested following Granger and Lee (1989). In all markets we select the lag length in the underlying VAR and the ECM by means of the AIC.
The results for Ethiopia are summarized in Table 2. There is strong evidence that the producer price and the CIP are cointegrated, with the Johansen test rejecting the null of no cointegration, but failing to reject the null of one cointegrating vector. Cointegration indicates that producers in Ethiopia are integrated to the market process and that there is Granger Causality in at least one direction. The Granger causality tests indicate that the CIP Granger-causes the producer price. The estimated ECM suggests that the adjustment process is relatively fast with about 27 percent of divergence from the notional long run equilibrium being corrected each month. The short run dynamics indicate that changes in the CIP are transmitted to the producer price contemporaneously, although not fully. This indicates that the markets are well integrated in the short run, with changes in the international prices being partly transmitted to the domestic market. Moreover, the parameter on DWPt is estimated to be 0.77, suggesting that international market shocks affect the Ethiopian market. However, lagged differenced terms are also estimated to be negative, reflecting somewhat complex short run dynamics. Tests for long run Granger causality indicate that the CIP Granger causes the Ethiopian producer price but not vice versa. Finally, asymmetric adjustments to the long run equilibrium appear to be unlikely, with the F-test failing to reject the null hypothesis of symmetry, suggesting that increases and decreases in the international price are passed-through in a similar and symmetric manner to the domestic market.
Overall, there is sufficient evidence to conclude that the Ethiopian market is well integrated with the world market in the long run, whilst price signals are also being transmitted in the short run. The result indicates that the supply chain from the producer to the exporter functions well with the government administered auction system and quality control facilitating price transmission. Coffee growers in Ethiopia sell the produce in dry form to cooperatives, private collectors and to the Coffee Purchase and Sales Enterprise who in turn deliver it at two auction centres (in Addis Ababa and in Dire Dawa), run by the country's Coffee and Tea Authority (CTA). The system allows for the auction to take place each weekday throughout the year, whilst from February to April, at the peak of the season, auctions are held twice a day. Samples are being taken and cup tasting is conducted by the CTA in order ensure quality control and grading of each lot before sale and exportation. Occasionally, shocks in domestic demand may help to increase the auction prices but only temporarily as a large part of domestic consumption is supplied through trade that takes place out of the auction system.
In Rwanda, the Johansen test (Table 3) provides insufficient evidence against the alternative of one cointegrating relationship between the domestic producer price and the CIP, thus suggesting absence of integration between the Rwandan and the international market. The result is not surprising, as the government, over the period under examination, implemented policies that isolated the Rwandan coffee market from the world economy. Up to 1994, the Rwandan Government intervened in the coffee market by offering a fixed price to producers. The grower price for parchment was fixed by OCIR Café, a parastatal organization, at the beginning of the season, and was held at that level (generally lower than the world market level) throughout the period of the crop. From 1994 to 1997, the government imposed an export tax. Given that the domestic and international coffee prices do not co-move, we proceed by testing for Granger causality and by specifying and estimating an ADL. The tests suggest that there is strong evidence for Granger causality from the international price to the domestic producer price. It appears that over time, changes or shocks in the CIP pass through into the domestic market, but these are not adequate to drive the domestic prices. The ADL coefficients reveal that produces prices in Rwanda follow an autoregressive pattern. The lagged terms of the international price also appear to influence the movements of the producer price, to a certain extent. However, it is difficult to assess the relationship with the CIP term lagged once being positive and that lagged twice being negative. Nevertheless, it appears that there is some transmission, a finding also supported by the Granger causality tests, albeit not enough to determine domestic prices throughout the sample.[53] Granger causality from the international to the domestic price indicates that policy makers in Rwanda take the international price level into consideration when fixing the domestic price.
Table 2. Market integration tests for the Ethiopian coffee market
|
Johansen test for cointegration |
||||||
|
No. of cointegrating vectors |
||||||
|
Null |
Alternative |
Rank test |
Critical values |
|||
| |
|
|
5 percent |
10 percent |
||
|
0 |
1 |
21.211 |
14.880 |
12.980 |
||
|
1 |
2 |
1.796 |
8.070 |
6.500 |
||
| Cointegrating vector | ||||||
| |
Parameter |
Standard Error |
||||
|
DP |
1.00 |
0.00 |
||||
|
WP |
-0.76 |
0.08 |
||||
| ranger Causality | ||||||
|
No. of lagged WPt terms |
F-Test |
Probability value |
||||
|
0 |
8.73 |
0.00 |
||||
|
1 |
4.82 |
0.01 |
||||
|
2 |
5.43 |
0.00 |
||||
|
3 |
3.68 |
0.01 |
||||
|
4 |
3.34 |
0.01 |
||||
|
5 |
3.29 |
0.00 |
||||
|
6 |
2.76 |
0.01 |
||||
|
7 |
3.38 |
0.00 |
||||
|
8 |
3.43 |
0.00 |
||||
|
9 |
2.87 |
0.00 |
||||
|
10 |
3.87 |
0.00 |
||||
|
11 |
3.11 |
0.00 |
||||
|
12 |
2.76 |
0.00 |
||||
|
Error Correction Models |
||||||
| |
Symmetric |
Asymmetric |
||||
| |
Parameter |
t ratio |
|
Parameter |
t ratio |
|
|
intercept |
0.00 |
-0.29 |
intercept |
-0.01 |
-0.33 |
|
|
ECM(-1) |
-0.27 |
-3.52 |
ECM(-1)+ |
-0.29 |
-2.11 |
|
|
DWPt |
0.77 |
5.56 |
DWPt |
0.88 |
4.96 |
|
|
DDP(-1) |
0.03 |
0.36 |
DDP(-1) |
0.00 |
0.03 |
|
|
DWPt(-1) |
-0.01 |
-0.04 |
DWPt(-1) |
-0.21 |
-1.00 |
|
|
DDPt(-2) |
0.19 |
2.14 |
DDPt(-2) |
0.24 |
2.02 |
|
|
DWPt(-2) |
-0.43 |
-2.89 |
DWPt(-2) |
-0.49 |
-2.45 |
|
|
DDPt(-3) |
-0.16 |
-1.75 |
DDPt(-3) |
-0.05 |
-0.40 |
|
|
DWPt(-3) |
0.22 |
1.46 |
DWPt(-3) |
0.51 |
2.57 |
|
| |
ECM(-1)- |
-0.23 |
-1.90 |
|||
|
DWPt |
0.75 |
3.18 |
||||
|
DDP(-1) |
0.04 |
0.29 |
||||
|
DWPt(-1) |
0.10 |
0.45 |
||||
|
DDPt(-2) |
0.15 |
1.02 |
||||
|
DWPt(-2) |
-0.50 |
-2.13 |
||||
|
DDPt(-3) |
-0.28 |
-2.12 |
||||
|
DWPt(-3) |
-0.13 |
-0.59 |
||||
|
Test for long run Granger Causality* |
Tests for symmetry versus asymmetry |
|||||
| |
Parameter |
t ratio |
F-value |
Prob. |
|
|
|
ECM(-1) |
0.033 |
0.79 |
1.488 |
0.169 |
|
|
| |
|
|
Wald test |
|
|
|
| |
|
|
0.069 |
0.792 |
|
|
WPt and DPt are the ICO CIP and the domestic producer prices respectively.
* ECM with DWPt as dependent variable.
Table 3. Market integration tests for the Rwandan coffee market
|
Johansen test for cointegration |
||||
|
Number of cointegrating vectors |
|
|||
|
Null |
Alternative |
Rank test |
Critical values |
|
| |
|
|
5 percent |
10 percent |
|
0 |
1 |
5.892 |
14.880 |
12.980 |
|
1 |
2 |
0.051 |
8.070 |
6.500 |
|
Cointegrating vector |
||||
| |
Parameter |
Standard Error |
||
|
DP |
1.000 |
0.000 |
||
|
WP |
-0.842 |
0.521 |
||
|
Granger Causality |
||||
|
No. of lagged WPt terms |
F-Test |
Probability value |
||
|
1 |
9.35 |
0.00 |
||
|
2 |
4.79 |
0.01 |
||
|
3 |
4.25 |
0.01 |
||
|
4 |
3.29 |
0.01 |
||
|
Autoregressive Distributed Lag |
||||
| |
Parameter |
t ratio |
||
|
intercept |
-0.130 |
-0.139 |
||
|
DPt(-1) |
0.815 |
9.849 |
||
|
DPt(-2) |
0.137 |
1.663 |
||
|
WPt |
0.055 |
0.692 |
||
|
WPt(-1) |
0.192 |
1.526 |
||
|
WPt(-2) |
-0.204 |
-2.533 |
||
WPt and DPt are the ICO CIP and the domestic producer prices respectively.
For Uganda, where growers sell their produce directly to traders and exporters, the Johansen test provides sufficient evidence for the alternative of one cointegrating relationship, indicating that the domestic and international markets are integrated (see Table 4). The Granger causality tests suggest that the CIP Granger-causes the domestic producer price, whilst in the estimated ECM, the error correction coefficient (-.18) suggests that the adjustment to the long run relationship is relatively fast, with the producer price adjusting fully to changes in the CIP after approximately five months. In the ECM, the AIC selected to include only the differenced term DWPt. Its coefficient is estimated to be equal to 0.58, suggesting that shocks in the international price are instantaneously, although not fully, passed through to the domestic market. Using the error correction coefficients from the VECM to test for Granger causality in the long run, it is noted the CIP Granger-causes the producer price in Uganda, but not vice versa. Finally, there is sufficient evidence that the adjustment to the long run equilibrium is not asymmetric. Overall, the tests suggest that the Ugandan market is integrated with the international market, whilst adjustments to this long run equilibrium take place fast.
Table 4. Market integration tests for the Ugandan coffee market
|
Johansen test for cointegration |
|||||||
|
Number of cointegrating vectors |
|
||||||
|
Null |
Alternative |
Rank test |
Critical values |
||||
| |
|
|
5 percent |
10 percent |
|||
|
0 |
1 |
18.147 |
14.880 |
12.980 |
|||
|
1 |
2 |
2.268 |
8.070 |
6.500 |
|||
|
Cointegrating vector |
|
||||||
|
|
Parameter |
Standard Error |
|||||
|
DP |
1.000 |
0.000 |
|||||
|
WP |
-1.298 |
0.172 |
|||||
|
Granger Causality |
|||||||
|
No. of lagged WPt terms |
F-Test |
Probability value |
|||||
| |
14.70 |
0.00 |
|||||
|
1 |
7.83 |
0.00 |
|||||
|
2 |
7.58 |
0.00 |
|||||
|
3 |
6.13 |
0.00 |
|||||
|
4 |
5.93 |
0.00 |
|||||
|
5 |
5.47 |
0.00 |
|||||
|
Error Correction Models |
|||||||
|
Symmetric ECM |
Asymmetric ECM |
||||||
| |
Parameter |
t ratio |
|
Parameter |
t ratio |
||
|
intercept |
0.007 |
0.635 |
intercept |
0.001 |
0.080 |
||
|
ECM(-1) |
-0.182 |
-4.968 |
ECM(-1) |
-0.148 |
-1.705 |
||
|
DWPt |
0.585 |
4.419 |
DWPt |
0.562 |
2.514 |
||
| |
|
|
ECM(-1) |
-0.199 |
-3.747 |
||
| |
|
|
DWPt |
0.596 |
3.586 |
||
|
Test for long run Granger Causality* |
Tests for symmetry versus asymmetry |
||||||
|
|
Parameter |
t ratio |
F-value |
Prob. |
|||
|
ECM(-1) |
0.01614 |
0.8279 |
|
0.1082634 |
0.8974702 |
||
| |
|
|
Wald test |
|
|
||
| |
|
|
|
0.1925044 |
0.6608403 |
||
WPt and DPt are the ICO CIP and the domestic producer prices respectively.
* ECM with DWPt as dependent variable.
In analysing the wheat market in Egypt, we use logarithmic transformations of monthly commodity wholesale and world reference prices, in logarithms, from January 1969 to May 2001. The domestic price series have been collected from the Consumer & Wholesale Price Bulletin published by the Central Agency for Public Mobilization & Statistics, the Agricultural Statistic Bulletin published by the Ministry of Agriculture & Land Reclamation, and with data of the Ministry of Supply. All prices were converted into US dollars, using the nominal average exchange rates. World reference prices for the four commodities over the same period, together with relevant exchange rates with the US$, were collected from the International Financial Statistics database of the International Monetary Fund.[54]
We test for the order of integration by applying the ADF and the Phillips-Perron Zr tests. Both tests were performed with and without a time trend and a constant term, including a maximum of 12 lagged differenced terms. The results indicate that all the series involved are I(1), i.e. they are difference stationary processes as, when in levels, there is insufficient evidence to reject the null hypothesis of stationarity,[55] whilst, when in differences, both tests reject the null (Table 5). We proceed by following the testing framework and testing for cointegration following the Engle and Granger approach, estimating the corresponding ECMs and assessing the dynamics and the speed of adjustment. We then test for Granger-causality and asymmetric response by including a dummy variable, as in Prakash et al. (2001). In all markets we select the lag length in the ECM by means of the AIC.
Table 5. Unit root tests for wheat market prices
|
|
Levels |
Differences |
|
Wholesale price, Egypt |
|
|
|
ADF test |
-0.45 |
-8.36 |
|
Phillips-Perron test Zr |
-1.76 |
-20.37 |
|
World reference price |
|
|
|
ADF test |
-3.54 |
-4.18 |
|
Phillips-Perron test Zr |
-2.05 |
-14.65 |
|
Critical values |
5 percent |
10 percent |
|
ADF |
-2.88 |
-2.57 |
|
Phillips Perron test Zr |
-13.7 |
-11.0 |
Table 6 presents the results for wheat. The ADF and Phillips-Perron tests provide evidence for the null of no cointegration, thus suggesting that the Egyptian and world wheat markets are not integrated. However, casual inspection of the series and a test for the stability of parameters based on the cumulative sum of recursive residuals (not reported) suggests the presence of a structural break in August 1989. This break corresponds to the beginning of a process of restructuring of the Egyptian economy which included, among other measures, the liberalization of the exchange rate regime that was previously set at different levels for different transactions.[56] a significant reduction in trade barriers and the liberalization of marketing channels for several commodities, that were previously operated solely under State control (FAO, 1999). In order to take the structural break into account we separated the sample into two periods 1969-1989 and 1990-2001, and estimated two separate models.[57]
The unit root tests for the 1969-1989 period (not reported) suggest that the Egyptian and world price of wheat are not cointegrated, whilst those for the period 1989-2001 provide evidence against the null of no cointegration (Table 6). This appears broadly consistent with the notion that price transmission and market integration has arisen after economic reform and the liberalization of the exchange rate regime. The error correction coefficient suggests that adjustment is relatively slow with about 7 percent of the divergence from the long run equilibrium being corrected each month. The coefficients of the lagged differenced terms suggest that a proportion of shocks in the world reference price is transmitted to the wholesale price instantaneously, suggesting that the markets are linked reasonably well in the short run. It is worth noting that the wheat market in Egypt is still a relatively administered one: the Government operates a floor price both at the producer and at the consumer level (for bread). The evidence for market integration from the late 1980s onwards indicates that price signals are transmitted and markets are integrated despite the presence of floor prices. This may suggest that the floor price affects only the level of risk for producers and consumers, by truncating the probability distribution of price outcomes, rather than directly affecting market price formation. The finding that the Egyptian wholesale and the world wheat prices are cointegrated provides an interesting insight for policy analysis. Usually, the implementation of a floor price policy is modelled by equating the domestic market price with the floor price. Nevertheless, our findings suggest that such a specification may imply a significant overvaluation of the distortionary impact of a floor price.[58] The test for asymmetric adjustment suggests that there is sufficient evidence against the null of symmetry, as the dummy variable that allows for positive and negative disequilibria is different from zero, whilst the error correction coefficient is larger in magnitude than that of the symmetric model. This result indicates that the domestic wholesale price reacts differently to changes in the world price depending on whether these are increases or decreases. The evidence suggests that decreases in the world price are incompletely and slowly passed-through to the domestic market, as compared to increases. This asymmetric adjustment may be due to the floor price policy that is implemented at the producer and consumer levels and may result in smoothening the downward changes in the world reference price. Nevertheless, other reasons may include market power exerted by the distribution levels of the supply chain or high fixed costs in the distribution industry. However, whatever the true reason behind this asymmetry, subsidization of bread consumption suggests that its costs are borne by the taxpayers rather than the consumers.
Table 6. Market integration for Egyptian wheat
|
Engle and Granger two-step procedure |
||||||
|
Cointegrating regression |
||||||
|
Sample: Jan 1969 - May 2001 |
Sample: Aug 1989 - May 2001 |
|||||
|
Variable |
Parameter |
t-ratio |
Variable |
Parameter |
t-ratio |
|
|
DPt |
|
|
DPt |
|
|
|
|
intercept |
-1.07 |
-0.41 |
intercept |
-5.26 |
-1.40 |
|
|
WPt |
0.77 |
1.36 |
WPt |
1.24 |
2.10 |
|
|
T |
0.00 |
0.67 |
T |
0.01 |
1.94 |
|
|
Test for cointegration |
|
|
|
|
|
|
|
ADF |
-2.01 |
|
ADF |
-3.47 |
|
|
| |
|
|
Phillips |
|
|
|
|
Phillips Perron Zt |
-1.93 |
|
Perron Zt |
-3.06 |
|
|
|
Error Correction Models |
||||||
| |
Symmetric |
Asymmetric |
||||
|
Variable |
Parameter |
t-ratio |
Variable |
Parameter |
t-ratio |
|
| |
DDPt |
|
|
DDPt |
|
|
|
intercept |
-0.38 |
-1.82 |
intercept |
0.69 |
2.73 |
|
|
ECM(-1) |
-0.07 |
-3.45 |
ECM(-1) |
-0.24 |
-4.00 |
|
|
DDPt(-1) |
-0.21 |
-2.50 |
DDPt(-1) |
-0.02 |
-0.27 |
|
|
DDPt(-2) |
-0.09 |
-1.07 |
DDPt(-2) |
0.00 |
-0.05 |
|
|
DDPt(-3) |
-0.05 |
-0.59 |
DDPt(-3) |
0.05 |
1.05 |
|
|
DDPt(-4) |
-0.17 |
-2.13 |
DDPt(-4) |
-0.09 |
-1.69 |
|
|
DDPt(-5) |
-0.11 |
-1.37 |
DDPt(-5) |
0.04 |
0.77 |
|
|
DDPt(-6) |
-0.23 |
-3.05 |
DDPt(-6) |
-0.14 |
-2.85 |
|
|
DDPt(-7) |
-0.08 |
-1.07 |
DDPt(-7) |
0.04 |
0.72 |
|
|
DDPt(-8) |
0.20 |
2.67 |
DDPt(-8) |
0.15 |
2.82 |
|
|
DWPt |
0.09 |
2.81 |
DDPt(-9) |
0.16 |
3.08 |
|
|
Trend |
0.0004 |
2.64 |
DWPt |
0.00 |
-1.25 |
|
| |
Dummy |
0.20 |
6.42 |
|||
|
Dummy t(-1) |
-0.05 |
-1.50 |
||||
|
Trend |
0.00 |
-1.25 |
||||
This article focuses on time series techniques to test for spatial price transmission in a number of cash and food crop markets in developing countries. The objective of the article was to provide a review of the application of time series techniques in testing market integration and to contribute to the body of research on this subject by highlighting a number of important issues. Our applied work also drew attention to the impact of agricultural policies in weakening the link between domestic and international markets by examining commodities that are subject to different levels of intervention.
We stressed that although market integration, in the Enke-Samuelson-Takayama-Judge sense, and complete price transmission can be formally tested in the long run, the extent to which price signals are transmitted from one market to another is an ambiguous concept. In order to assess its extent, we decomposed the concept of price transmission into notional components: co-movement and completeness, dynamics and speed of adjustment and asymmetric response. The above definition of price transmission encompasses the case of market integration, the inherent dynamic market relationships that arise due to inertia or discontinuities in trade, as well as non linearities that may arise due to distortions in arbitrage. More importantly, it implies hypotheses, through its components, that are testable within a cointegration - error correction model framework. The testing framework was applied to a number of cash and food crop markets in developing countries. In general, given that the cointegrating parameter does not reflect the "elasticity of price transmission" well, we proposed that the assessment of the extent of market integration and price transmission should be based on ECMs with both symmetric and asymmetric adjustment.
Agricultural policies may or may not hinder market integration, depending on the nature of the policy instruments employed. For example, the Rwandan coffee market was found not to be integrated with the international coffee market, being subject to prices that were fixed by the government to a predetermined level. On the other hand, floor price policies implemented in the Egyptian wheat market were found not to impede market integration, but to result in relatively slow and asymmetric adjustment to international price changes. In general, for markets that are subject to policies, the speed of adjustment, as reflected by the error correction coefficients, was estimated to be relatively low. Although several authors stress that policies impede the extent of price transmission (see for example Mundlak and Larson, 1992; Quiroz and Soto, 1996; Baffes and Ajwad, 2001; Abdulai, 2000; Sharma, 2002), it should be noted that other reasons such as high transaction costs and other distortions may also be the cause for slow adjustment.
Non linearities and asymmetric adjustment remain an important issue to be explored especially when the objective of the research is to provide a price transmission mechanism that can be incorporated in a structural partial equilibrium model. Although asymmetric adjustment may also be the outcome of market imperfections, it is plausible that price support policies result in positive and negative changes in the international price affecting the domestic market in different ways. More importantly, such policies may imply a "threshold" or a minimum price, above which, transmission of price signals take place. Such a discrete adjustment process implies that movements towards a long run equilibrium do not take place at all points in time, but only when the divergence from equilibrium exceeds a certain threshold. For example, policies such as price support mechanisms and tariff rate quotas may result in such an adjustment process. In the former case, governments may intervene in the market when market prices fall below a floor level, whilst in the latter, international price signals pass-through when import volumes are sufficiently within, or out of the quota. Thus, future research may focus on two-regime threshold cointegration, which may be beneficial, as it provides additional information in the form of the threshold, if the objective of the analysis is the development of price transmission mechanisms for structural models.
Apart from assessing the effect of food and trade policies on market integration, threshold cointegration applied in commodity markets of developing countries may also provide a rough indication of transfer costs. Transfer costs in developing country markets may give rise to a threshold over which arbitrage possibilities are obliterated, resulting in an absence of market integration. Thus, a threshold cointegration framework can encompass the possibility of non stationary transfer costs and provide valuable information that can lead to policy prescriptions.
References
Abdulai, A..2000. Spatial price transmission and asymmetry in the Ghanaian maize market. Journal of Development Studies, 63:327-349.
Alexander, C. & Wyeth, J. 1994. Cointegration and market integration: an application to the Indonesian rice market. Journal of Development Studies, 30:303-328.
Ardeni, P.G. 1989. Does the Law of One Price really hold for commodity prices? American Journal of Agricultural Economics, 71:303-328.
Badiane, O. & Shively, G.E. 1998. Spatial Integration, transport costs and the response of local prices to policy changes in Ghana. Journal of Development Economics, 56:411-431.
Baffes J. & Ajwad, M. 2001. Identifying price linkages: a review of the literature and an application to the world market of cotton. Applied Economics 33:1927 - 1941.
Baffes, J. 1991. Some further evidence on the Law of One Price. American Journal of Agricultural Economics, 4:21-37.
Bailey, D. V. & Brorsen, B.W. 1989. Price asymmetry in spatial fed cattle markets. Western Journal of Agricultural Economics, 14:246-252.
Balcombe, K.G. & Morrison, J. 2002. Commodity price transmission: A critical review of techniques and an application to selected export commodities. Report to the Food and Agriculture Organization of the United Nations.
Barrett, C.B. & Li, J.R. 2002. Distinguishing between equilibrium and integration in spatial price analysis. American Journal of Agricultural Economics, 84:292-307.
Barrett, C.B. 2001. Measuring integration and efficiency in international agricultural markets. Review of Agricultural Economics, 23:19-32.
Blauch, B. 1997. Testing for food market integration revisited. Journal of Development Studies, 33:477-487.
Blinder, A.S. 1982. Inventories and Sticky prices: more on the microfoundations of macroeconomics. American Economic Review, 72:365-400.
Brorsen, B.W., Chavas, J.P., Grant, W.R. & Schnake, L.D. 1985. "Marketing Margins and Price Uncertainty: The Case of the US Wheat Market." American Journal of Agricultural Economics, 67, 521-528.
Central Agency for Public Mobilization & Statistics of the Arab Republic of Egypt several years. Consumer & Wholesale Price Bulletin.
Davidson, J., Hendry, D., Sbra, F. & Yeo, S. 1978. Econometric modelling of the aggregate time series relationship between consumers' expenditure and income in the UK. Economic Journal, 88:661-692.
Dercon, S. 1995. On market integration and liberalization: method and application to Ethiopia. Journal of Development Studies, 32:112-143.
Dickey, D. & Fuller, W. 1979. Distribution of the Estimators for autoregressive time series with a unit root. Journal of the American Statistical Association, 74:427-431.
Dornbusch, R. 1987. Exchange rates and prices. American Economic Review, March, 93-106.
Dronne, Y., & Tavèra, C. 1990. Short run dynamics of feed ingredient prices facing the EC: A causal analysis." Agricultural Economics, 4:51-364.
Enders, W. & Granger, C.W.J. 1998. Unit root tests and asymmetric adjustment with an example using the term structure of interest rates. Journal of Business and Economic Statistics, 16:04-311.
Engle, R.F. & Granger, C.W.J. 1987. Cointegration and error correction: representation, estimation and testing. Econometrica, 55:251-276.
Enke, S. 1951. Equilibrium among spatially separated markets: solution by electrical analogue. Econometrica, 19:40-47.
Fackler, P.L. & Goodwin, B.K. 2002. Spatial Price Analysis. In B.L. Gardner and G.C. Rausser, eds. handbook of agricultural economics. Amsterdam: Elsevier Science.
FAO 1999. Comparative advantage and competitiveness of crops, crop rotations and livestock products in Egypt. Volume 1, Policy Assistance Branch, FAO Regional Office for the Near East, Cairo.
Froot, K. & Klemperer, P. 1989. Exchange Rate pass through when market share matters. American Economic Review, 79:637-654.
Gardner B.L. & Brooks, K.M. 1994. Food prices and market integration in Russia: 1992-93. American Journal of Agricultural Economics, 76:641-646.
Gardner, B.L. 1975. The Farm-Retail Price Spread in a Competitive Food Industry. American Journal of Agricultural Economics, 59:399-409.
Goletti, F. & Babu, S. 1994. Market liberalization and market integration of maize markets in Malawi. Agricultural Economics, 11:311-324.
Granger, C. W.J. 1981. Some properties of time series data and their use in econometric model specification. Journal of Econometrics, 16:121-130.
Granger, C.W.J. & Lee, T.-H. 1989. Investigation of Production, sales and inventory relationships using multicointegration and non-symmetric error correction models. Journal of Applied Econometrics, 4: S145-S159.
Granger, C.W.J. 1969. "Investigating Causal Relationships by Econometric Models and Cross Spectral Methods." Econometrica, 37:424-438.
Granger, C.W.J. 1988. Some recent developments in the concept of causality." Journal of Econometrics, 39:199-211.
Griffith, G. & Piggot, N. 1994. Asymmetry in the beef, lamb and pork farm-retail transmission in Australia. Agricultural Economics, 10:07-316.
Hamilton, J.D. 1994. Time Series Analysis. Princeton: Princeton University Press.
Harriss, B. 1979. "There is method in my madness: or it is vice-versa? Measuring agricultural market performance." Food Research Institute Studies, 16:97-218.
Heien, D. 1980. Mark-up pricing in a dynamic model of the food industry. American Journal of Agricultural Economics, 62:10-18.
International Coffee Organization. 2002. Procedures for the collection, transmission, calculation and publication of group and composite prices, E 3776/01 Rev. 1, London, England.
International Monetary Fund several years. International Financial Statistics.
Johansen S. 1991. Estimation and hypothesis testing of cointegration vectors in Gaussian vector autoregressive models." Econometrica,59:551-1580.
Johansen S. 1995. "Likelihood-based inference in cointegrated vector-autoregressions. In Advanced Texts in Econometrics, Oxford: Oxford University Press.
Johansen, S. 1988. Statistical analysis of cointegration vectors. Journal of Economic Dynamics and Control, 12:31-254.
Kinnucan, H.W. & Forker, O.D. 1987. Asymmetry in Farm-Retail Price Transmission for Major Dairy Products. American Journal of Agricultural Economics, 69:285-292.
Kovenock, D. & Widdows, K. 1998. Price Leadership and Asymmetric Price Rigidity. European Journal of Political Economy, 14:167-187.
Krugman, P. 1986. Pricing to market when exchange rate changes. NBER Working Paper No. 1926.
Maccini, L.J. 1978. The Impact of demand and price expectations on the behaviour of prices. American Economic Review, 68:134-145.
Maddala, G.S & Kim, I. 1998. Unit roots, cointegration and structural change. Cambridge University Press.
McNew, K. & Fackler, P.L. 1997. Testing market equilibrium: is cointegration informative?" Journal of Agricultural and Resource Economics, 22:191-207.
McNew, K. 1996. Spatial market integration: definition, theory and evidence. Agricultural and Resource Economic Review, 25:1-11.
Ministry of Agriculture and Land Reclamation of the Arab Republic of Egypt several years. Agricultural Statistic Bulletin.
Mundlak, Y. & Larson, D.F. 1992. "On the transmission of world agricultural prices." World Bank Economic Review, 6:399-422.
Pagan, A. 1989. 20 Years after: econometrics, 1966-1986. In B. Cornet & H Tulkens, eds. Contributions to operations research and econometrics. The MIT Press, Cambridge, MA.
Palaskas, T. & Harriss, B. 1993. Testing market integration: new approaches with case material from the West Bengal food economy." Journal of Development Studies, 30:1-57.
Pesaran, M.H. & Shin Y. 1995. An Autoregressive Distributed Lag Modelling approach to cointegration analysis. DAE Working Paper No. 9514, Department of Applied Economics, University of Cambridge
Pesaran, M.H., Shin, Y. & Smith, R.J. 1996. Testing for the existence of a long run relationship. DAE Working Paper No. 9622, Department of Applied Economics, University of Cambridge.
Phillips, P.C.B. & Perron, P. 1988. Testing for a unit root in time series regression. Biometrica, 75:335-346.
Phillips, P.C.B. 1987. Time Series Regression with a Unit Root. Econometrica, 55:277-301.
Prakash, A. 1998. The transmission of signals in a decentralised commodity marketing system: the case of the UK pork market. Unpublished Ph.D. Thesis, University of London.
Prakash, A., Oliver, E. & Balcombe, K. 2001. Does building roads really create traffic: some new evidence. Applied Economics, 33:1579-1585.
Quintos, C.E. 1995. Sustainability of the deficit process with structural shifts. Journal of Business and Economic Statistics, 13:409-417.
Quiroz, J. A. & R. Soto 1996. International Price signals in agricultural markets: do governments care? Unpublished mimeo, GERENS and ILADES/Georgetown University
Ravallion, M. 1986. Testing market integration, American Journal of Agricultural Economics, 68(2):292-307.
Samuelson, P.A. 1952. Spatial price equilibrium and linear programming. American Economic Review, 42:560-580.
Scherer, F.M. & Ross, D. 1990. Industrial market structure and economic performance. Boston: Houghton Mifflin.
Schroeter, J.R., & Azzam, A. 1991. Marketing Margins, Market Power, and Price Uncertainty. American Journal of Agricultural Economics, 73:990-999.
Sexton, R., Kling, C. & Carman, H. 1991. Market integration, efficiency of arbitrage and imperfect competition: methodology and application to US celery. American Journal of Agricultural Economics, 73:568-580.
Sharma, R. 2002. The transmission of world price signals: concepts, issues and some evidence from Asian cereal markets. Paper submitted to the OECD Global Forum on Agriculture, OECD CCNM/GF/AGR(2002)10.
Stock, J.H. & Watson, M.W. 1988. Testing for Common Trends. Journal of the American Statistical Association, 83:1097-1107.
Takayama, T. & Judge, G.G. 1971. Spatial and temporal price allocation models. Amsterdam: North Holland.
Toda, H.Y. & Phillips, P.C.B. 1993. Vector autoregression and causality: a theoretical overview and simulation study. Econometric Reviews, 13:259-285.
Tyers, R. & Anderson, K. 1992. Disarray in world food markets: a quantitative assessment, Cambridge University Press.
von Cramon-Taubadel, S. 1999. Estimating Asymmetric price response with the error correction representation: an application to the German pork market. European Review of Agricultural Economics, 25:1-18.
Wohlgenant, M.K. 1999. Product heterogeneity and the relationship between retail and farm prices. European Review of Agricultural Economics, 26:219-227.
World Bank. 2001. Aid and reform in Africa: lessons from ten case studies. Washington DC.
Zanias, G. 1993. Testing for integration in European Community agricultural product markets. Journal of Agricultural Economics, 44:418-427.
Annex
Tests for cointegration
Engle and Granger (1987)
Consider the following single equation:
(a.1)
If is non stationary, then
is not a cointegrating
relationship. Engle and Granger suggest estimating the above by OLS and applying
unit root tests, such as the ADF and Phillips-Perron Zt or Zr to the estimated residuals
, in order to test the null
of no cointegration.
The Engle and Granger approach is a single equation method of testing for cointegration, where the cointegrating relationship has to be "normalized" with respect to one of the two variables. For a discussion on the issues related to the Engle and Granger method see Maddala and Kim (1998), Section 5.3.
Johansen (1988, 1991)
Consider a Vector Autoregression (or VAR) of two variables p1t and p2t. A VAR expresses a vector of variables as a linear sum of a set of lags of itself. A simple case of a VAR between two variables is:
(a.2)
The issue of cointegration can once again be addressed by looking at the VAR, but extending it to contain a second lag. An example of a VAR(2) would be
(a.3)
This has the Vector Error Correction (VECM) representation:
(a.4)
The rank of the matrix (A1 + A2 - I) is equal to the number of cointegrating vectors. If the rank of (A1 +A2 -I) is equal to two, then both variables can be shown to be stationary. If the rank of (A1 +A2 -I) is zero then the series are not cointegrated, whilst if the rank of (A1 + A2 - I) is one then the variables are cointegrated.
Therefore, in the case of two variables, cointegration can be
tested by testing the significance of the characteristic roots or eigenvalues of
(A1 + A2 - I). If the variables are
not cointegrated the characteristic roots
are equal to zero.
Similarly if the rank of (A1 + A2 -
I) is equal to one,
and
is equal to zero.
Johansen (1988, 1991) derived the distribution of two test statistics for the
null of no cointegration referred to as the Trace and the Maximum Eigenvalue
test.:
(a.5)
(a.6)
The first statistic tests the null hypothesis that the number of independent cointegrating parameters is less than or equal to two, whilst the second statistic tests the null hypothesis that the number of cointegrating parameters is one against an alternative of two cointegrating parameters.
Error Correction Representation of cointegrated equation or systems
Johansen derived an Error Correction Representation of a cointegrating system. He defined two (n×r) matrices a and isb, where n is the number of variables (in the case of price transmission exercise n equals 2) and r the rank of (A1 + A2 - I). The properties of these matrices are:
(A1 + A2 - I) = ab' (a.7)
The matrix b is the matrix of cointegrating parameters, whilst the matrix a represents the adjustment of the variables towards the long run equilibrium, if it exists. In the case of two variables such as p1t and p2t, the error correction representation or Vector Error Correction Model (VECM) is as follows:
(a.8)
b represents the long run multipliers where a rank restriction has been imposed:
(a.9)
In this case the lack of a cointegrating relationship would also imply no Granger causality between the series, but only if A2 = 0. More generally, Granger causality does not require cointegration. However, cointegration does imply causality in at least one direction.
Autoregressive Distributed Lag (ADL) Models and Cointegration
An ADL model can be written as:
(a.10)
where pit, i=1,2, are price series, a is an intercept, T is a time trend, and et is the error term.
A key issue in estimating ADLs is the identification of the correct number lag length. Under-parameterization can lead to misspecification, whilst over-parameterization limits the degrees of freedom and increases forecast variance. Normally, the relevant J and K are selected by means for information criteria such as the Akaike, Schwartz-Bayes, the Hannan Quinn, and Log Likelihood.
In the long run equilibrium
and
and therefore the
long run response of p1t to a change in p2t
is given by:
(a.11)
Consequently, the long run equilibrium relationship can be written as follows:
(a.12)
where
(a.13)
As from (a.13)
, the ECM representation of
the ADL (a.10) can be written as:
(a.14)
where
is
the error correction coefficient.
|
[46] David Hallam is Chief,
and George Rapsomanikis and Piero Conforti are Commodity Specialists, Raw
Materials, Tropical and Horticultural Products Service, Commodities and Trade
Division, FAO. The authors would like to thank Nanae Yabuki, Adam Prakash and
Abdolreza Abbassian, Commodity Specialists, Commodities and Trade Division, FAO,
Denis Sedieu, Senior Economist, ICO, and Kelvin Balcombe, Imperial College,
University of London for their helpful comments. [47] Fackler and Goodwin (2001) provide a comprehensive review of market integration concepts and of the corresponding economic models of price determination. [48] Barrett (2001) and Barrett and Li (2002) distinguish between market integration and the efficiency purported by the Enke-Samuelson-Takayama-Judge model. They point out that tradability and nonzero trade flows is a sufficient condition establish market integration, whilst efficiency is established when prices in two different markets differ by transfer costs. In this paper, we follow the traditional definition of market integration that adheres to the satisfaction of the Law of One Price and to the equilibrium conditions of the Enke-Samuelson-Takayama-Judge model. In brief, we postulate that tradability on its own is not sufficient to ensure the "integration" of economic agents in the market process. [49] Statistical properties of series can be summarised by the concept of stationarity. A stationary series has a constant mean and a constant finite covariance structure. Such a series does not vary systematically with time, but tends to return frequently to its mean value and to fluctuate around it within a more or less constant range. Alternatively, a non stationary series has time-dependent statistical properties. Non stationary series may contain stochastic or deterministic trends. Variables that contain stochastic trends are called "integrated" and exhibit systematic, but unpredictable variation, as compared to series that contain deterministic trends and display completely predictable variation. A stochastic trend in a series can be removed by differencing. The differenced series has statistical properties which are invariant with respect to time, whilst inferences about the similarity of the statistical properties of different economic series can be made by comparing the number of times the series have to be differenced in order to achieve stationarity. More formally, a variable is integrated of order d, written I(d), if it must be differenced d times to achieve stationarity. [50] Comprehensive presentations of both the Engle and Granger, and the Johansen tests can be found in Hamilton (1994). A brief description of the Johansen test is provided in the Annex. [51] The use of logarithmic transformations implies that transfer costs are proportional to prices. For example insurance costs may be expressed as a percentage of the value. See Fackler and Goodwin (2001) for a relevant discussion. [52] The data series was collected from http://www.ico.org/frameset/traset.htm [53] As the null of no cointegration was not rejected, Granger causality tests were performed by specifying VARs of the differenced terms following Toda and Phillips (1993). [54] The world reference price used is that of US n. 2 Hard Red Winter at Gulf Port. Other world prices (Australian and Argentine export prices) were also tested. [55] The ADF test for the wheat world reference price in levels rejects the null at 5 percent, however, this rejection is not supported by the Zt which does not provide evidence against the null at 1 percent. [56] For example, products imported by the Public Authority for Commodities Supply, including wheat, were denominated in a specific exchange rate, which was lower than the one prevailing in the free market (in local currency for US $). [57] Quintos (1995) also takes the presence of a structural break into account by separating the sample assuming that the break point is known. [58] In fact, to avoid this type of errors, policy-oriented models like e.g. the AGLINK model of OECD have introduced an explicit modelling of floor price policies, based on inequality constraints. |