La présente étude analyse, dans les détails, l'évolution historique observée au cours de la période 1970-2001 des dépenses consacrées aux importations alimentaires de deux groupes de pays (c'est-à-dire les pays les moins avancés et les pays en développement importateurs nets de produits alimentaires, respectivement PMA et PDINPA). La première partie de l'étude replace cette évolution dans un contexte économique plus large, en recourant à des données nationales pour l'ensemble des produits alimentaires de base, alors que la seconde partie s'intéresse plus en détail aux aspects produits de base des dépenses consacrées aux importations alimentaires, au niveau national, en analysant les causes des variations observées dans le coût des importations de certains produits. En résumé, la présente étude montre que les quantités et les prix des produits alimentaires de base tendent à être influencés par des changements de politiques, des modifications significatives du comportement des agents économiques ou d'autres facteurs affectant les indicateurs de base du marché, dont les effets se font sentir généralement autour d'événements marquants comme la crise alimentaire mondiale de 1974. On a constaté également que les variations de prix, les quantités et le coût total des importations n'étaient pas constants dans le temps et enregistraient des périodes de forte volatilité, qui ont eu tendance à s'atténuer en fin de période. Certains éléments montrent également que les prix ont tendance à influencer fortement, à l'heure actuelle, les quantités importées, les variations de prix de produits alimentaires de base à plus forte élasticité-revenu exerçant une influence plus prononcée sur les quantités importées. Ainsi, la contribution des prix aux variations des dépenses consacrées aux importations est généralement plus important (proche de plus de 50 pour cent) pour les produits de base dont le prix influence davantage les quantités importées. Du point de vue des politiques, les résultats de l'étude montrent qu'il serait judicieux de s'intéresser de plus près aux PMA, dans la mesure où ils ont été l'objet de pressions relativement plus intenses et qu'ils sont plus vulnérables au plan de la sécurité alimentaire nationale.
Étant donné la dépendance économique d'un grand nombre de pays en développement en situation de vulnérabilité et d'insécurité alimentaire vis-à-vis du commerce des produits agricoles de base, en termes de garantie d'un accès stable aux denrées alimentaires en quantités suffisantes pour maintenir et encourager la croissance économique, il est important de comprendre la nature et les causes de l'évolution des marchés mondiaux des produits agricoles de base. Il y a eu des périodes pendant lesquelles les prix internationaux des denrées de base ont, par exemple, enregistré des hausses vertigineuses, causant le désaroi dans les pays en développement pauvres qui dépendent des importations pour subvenir à leurs besoins alimentaires, même si ces hausses ont été une aubaine pour les producteurs. Il y a eu d'autres périodes, parfois prolongées, où les prix des produits alimentaires sont restés bas, au détriment cette fois des producteurs mais pas des consommateurs qui ont pu avoir plus facilement accès aux aliments.[18]
La production de produits agricoles de base qui est souvent soumise aux caprices du climat et à d'autres phénomènes naturels stochastiques comme les ravageurs et les maladies, tend à faire face à une demande inélastique, laquelle explique en partie la volatilité observée sur ces marchés. La nature du cadre institutionnel et politique et l'évolution interne joue également un rôle très important. Cependant, la communauté internationale a depuis longtemps pris la mesure de ces problèmes et a mis en oeuvre divers instruments politiques, à différents moments, afin d'en gérer les conséquences indésirables.
Au début de l'application de l'Accord sur l'agriculture du Cycle de l'Uruguay (AACU) au milieu des années 90, le commerce des produits agricoles de base a été soumis à un ensemble de règles de comportement universellement acceptées qui ont également entraîné un ajustement progressif des politiques agricoles nationales dans un souci de les rendre conformes à ces règles. Les analyses ex ante de l'impact éventuel du programme de réformes dans l'agriculture ont fait craindre que ce processus puisse, d'une part, réduire la disponibilité de ressources adéquates de denrées alimentaires de base provenant de sources extérieures dans des conditions raisonnables et, d'autre part, exerce des pressions sur les marchés nationaux qui sont plus difficiles à protéger dans le cadre des nouveaux arrangements, mettant en péril les moyens de subsistance des producteurs vulnérables.
Graphique 1. Part des importations alimentaires dans la consommation alimentaire apparente totale - équivalent calorique

La Décision ministérielle de Marrakech sur les mesures concernant les effets négatifs possibles du Programme de réforme sur les pays les moins avancés et les pays en développement importateurs nets de produits alimentaires[19] a été adoptée par l'OMC afin d'aborder la première de ces craintes, alors que les clauses de sauvegarde spéciales traitent du second motif de préoccupation. Cependant, certains sujets de discussion sont toujours au coeur des débats, dans le cadre de l'actuel cycle de négociations commerciales multilatérales, à savoir le Cycle de Doha[20].
Cette étude a pour objet d'analyser l'expérience faite par les pays les moins avancés (PMA) et par les pays en développement importateurs nets de produits alimentaires (PDINPA) en matière de coût total des importations alimentaires pour ces trente dernières années, en vue de fournir des informations générales qui pourraient être utile pour élever les débats internationaux de politiques sur le sujet. L'étude s'intéresse surtout aux PMA et aux PDINPA, dans la mesure où ces pays sont les plus vulnérables, du point de vue de la sécurité alimentaire, à une évolution imprévue des marchés mondiaux des produits agricoles de base dans le nouvel environnement de politique commercial mondial, comme la communauté internationale l'a déjà reconnu. De plus, l'accent est mis sur l'évolution observée au niveau national et non pas au niveau des marchés mondiaux.
L'étude comporte trois parties: la première présente une vue d'ensemble statistique analysant l'évolution de toutes les variables pertinentes pour la problématique traitée (c'est-à-dire la valeur des importations alimentaires à caractère commercial, la valeur de l'aide alimentaire, les coûts unitaires des importations, les contributions relatives des importations alimentaires à la disponibilité des denrées alimentaires au niveau national, etc.), la deuxième évalue les causes des variations dans les dépenses consacrées aux importations alimentaires et détermine l'incidence des changements majeurs et imprévus sur la valeur des importations alimentaires et ses composants; la troisième et dernière partie résume les analyses et note les enseignements que l'on pourrait tirer au plan des politiques des changements observés.
Les importations alimentaires des pays en développement ont augmenté au cours des dix dernières années[21] (voir graphique 1, pour leur importance en termes relatifs[22]). Pour de nombreux pays, tout particulièrement les pays en situation d'insécurité alimentaire parmi les pays importateurs nets et les pays à faible revenu, cette situation pourrait conduire à des pressions accrues si l'augmentation de la croissance du revenu et des recettes d'exportation permettant de soutenir les importations alimentaires n'est pas suffisante et/ou si la hausse de la croissance des importations compromet une production intérieure autrement viable. Pour replacer cette évolution dans un contexte favorable à une telle évaluation, les figures 2 à 4 présentent les parts moyennes actuelles des dépenses totales consacrées aux importations alimentaires (soit la valeur des produits alimentaires faisant l'objet d'importations commerciales) dans le produit intérieur brut (PIB), le total des exportations de marchandises et le total des importations de marchandises, respectivement.[23]
Graphique 2. Part des dépenses consacrées aux importations alimentaires dans le PIB

· Part des dépenses consacrées aux importations alimentaires dans le PIB (graphique 2). Au cours des trente dernières années, cette part a enregistré une hausse significative[24] d'environ 1 à presque 6 pour cent pour les PMA et d'environ 2 à 5 pour cent pour les PDINPA[25]. Dans la pratique, cette hausse signifie qu'en moyenne, le taux de croissance des dépenses consacrées aux importations alimentaires a été supérieur à celui du PIB pour les deux groupes de pays, ce qui a lourdement pesé sur leurs ressources déjà maigres. De plus, depuis le début des années 1990, la part des PMA, par définition plus vulnérables, a augmenté et est demeurée supérieure à celle des PDINPA. Cependant, pendant un nombre d'années consécutives, la part des deux groupes de pays a diminué: tout d'abord entre 1981 et 1987, puis au cours des quelques dernières années de la décennie 1990.
Graphique 3. Part des dépenses totales d'importations alimentaires dans la valeur totale des exportations de marchandises

· Part des dépenses consacrées aux importations alimentaires dans la valeur totale des exportations de marchandises (graphique 3). Outre les différences au niveau des tendances sous-jacentes à la part représentée par les deux groupes, la différence observée dans les niveaux est frappante: partant d'un niveau similaire, d'environ 32 pour cent, la part des PMA a augmenté (quoique de manière assez hésitante) pour atteindre plus ou moins 72 pour cent entre 1992 et 1997, alors que la part des PDINPA est tombée à environ 22 pour cent au cours de la même période.
À l'instar de la part du PIB, à partir de 1986-1987, la part des dépenses consacrées aux exportations alimentaires dans le total des exportations de marchandises a amorcé une hausse significative, au rythme d'environ 5 pour cent par an pour les PMA et d'environ 2,5 pour cent par an pour les PDINPA, ce qui a mis à contribution leurs maigres réserves en devises étrangères. Toutefois, il est évident que les PMA sont plus vulnérables que les PDINPA, dans la mesure où ils disposent de réserves en devises étrangères considérablement moins élevées pour importer d'autres biens et services qui pourraient, par exemple, être utilisés pour développer leurs infrastructures.
Graphique 4. Part des dépenses totales consacrées aux importations alimentaires dans la valeur totale des importations de marchandises

· Part des dépenses consacrées aux importations alimentaires dans la valeur totale des importations de marchandises (graphique 4). En effet, comme le montre ce graphique, la part des dépenses consacrées aux importations alimentaires des PDINPA par rapport à la valeur totale des importations de marchandises a enregistré une baisse continue tout au long de la période concernée, alors que la part des PMA a fait l'objet d'une hausse considérable depuis, une fois de plus, 1987.
Un autre aspect de la vulnérabilité de ces pays, eu égard à ces trois mêmes indicateurs, est la variabilité de leurs valeurs au fil du temps: les tests montrent que la volatilité de ces indicateurs pour les PMA est sensiblement supérieure à celle des PDINPA. Même si une partie de la volatilité globale est imputable à certains facteurs que ces pays peuvent prévoir, la vulnérabilité des PMA est vraisemblablement plus importante que celle des PDINPA, dans la mesure où leur capacité financière à gérer les conséquences négatives d'une telle volatilité tend à être relativement plus limitée, même lorsque ces conséquences ont été prévues. La situation est la même lorsque l'on effectue des tests similaires de variabilité dite «aléatoire»[26]: ces mêmes indicateurs restent beaucoup plus volatiles chez les PMA.
Il convient de rappeler que les pays des deux catégories étudiées sont aussi ceux qui reçoivent d'importantes livraisons d'aide alimentaire, lesquelles sont déduites du coût total des importations alimentaires afin de calculer les trois indicateurs utilisés à des fins d'analyse jusqu'à présent. Il est fort possible que l'évolution des importations alimentaires commerciales soit étroitement liée à l'évolution des flux d'aide alimentaire: si, par exemple, davantage d'aide alimentaire était fournie aux PDINPA dans les années 1990, il serait possible que la part de leurs dépenses consacrées aux importations alimentaires par rapport au PIB et au total des importations de marchandises ait diminué; ou si moins d'aide alimentaire était fournie aux PMA, on pourrait s'attendre que la valeur des trois indicateurs ait augmenté, de façon à maintenir la sécurité alimentaire nationale. Le graphique 5 présente l'évolution du rapport entre la valeur de l'aide alimentaire et la valeur totale des produits alimentaires importés par[27] un PMA ou un PDINPA moyen. Outre le fait que les PMA soient davantage dépendants (relativement) de l'aide alimentaire que les PDINPA depuis la crise alimentaire mondiale du début des années 1970, il est évident que l'évolution de ces deux groupes de pays a suivi des chemins bien distincts, tout particulièrement depuis la fin des années 1980. Il semble que la diminution de la charge représentée par les importations alimentaires commerciales des PDINPA au cours des années 1990 ne sera vraisemblablement pas imputable à une augmentation des flux d'aide alimentaire, dans la mesure où le rapport entre la valeur de l'aide alimentaire et la valeur totale des importations alimentaires a commencé à décliner vers la moitié des années 1980, passant d'environ 20 pour cent à environ 10 pour cent à la fin des années 1990[28]. Ainsi, la croissance du PIB a non seulement dépassé celle des importations commerciales, mais elle l'a fait alors que l'importance de l'aide alimentaire était sur le déclin[29]. Cette situation est totalement à l'opposé de celle des PMA: en effet, malgré des variations annuelles relativement plus élevées, il semblerait que la baisse significative de la part représentée par l'aide alimentaire dans la valeur totale des importations alimentaires au cours des quinze dernières années ait été compensée par une allocation relativement plus importante de ressources intérieures afin de répondre à des besoins alimentaires nationaux reconnus.
Graphique 5. Rapport entre la valeur de l'aide alimentaire et la valeur totale des importations alimentaires

Cette partie propose et utilise une méthodologie visant à décomposer les variations de la valeur des importations commerciales des pays repris dans les catégories PMA et PDINPA pour un certain nombre de produits alimentaires de base préalablement sélectionnés en ses divers composants, prix à l'importation et quantités (voir les graphiques 6 et 7 pour les indices appropriés appliqués aux moyennes des pays des deux groupes)[30]. L'objectif principal est d'amener l'analyse au niveau des produits de base et d'évaluer l'incidence de hausses soudaines et imprévues à la fois sur les prix à l'importation et sur les quantités ainsi que l'influence des fluctuations de ces deux variables sur la variation des dépenses consacrées aux importations. Étant donné la vulnérabilité des pays à l'étude, il est nécessaire de déterminer la fréquence et l'ampleur des changements dont ils font l'objet, plus particulièrement à leurs frontières, afin d'évaluer la nécessité de mettre en oeuvre des instruments politiques capables de gérer d'éventuelles conséquences négatives, et peut-être de fournir des renseignements utiles concernant la forme la plus adéquate que devraient prendre ces instruments le cas échéant.
Graphique 6. Indices des volumes et des prix pour les produits alimentaires des PMA - 1995 = 100

Graphique 7. Indices des volumes et des prix pour les produits alimentaires des PDINPA - 1995 = 100

3.1 La méthodologie[31]
Le coût des importations, It, est le produit d'un prix global, (pt), c'est-à-dire le coût unitaire d'importation du produit de base en question et d'une quantité globale (xt), c'est-à-dire le volume des importations pour le produit concerné.
(1)
Afin d'analyser l'impact de pt et xt sur It,, et de pt sur xt, un cadre commun est proposé. Les tendances observées au niveau des données sont susceptibles de l'emporter sur toute autre source de variation au fur et à mesure que l'échantillon s'élargit. Cependant, si les tendances sont de nature à être supprimées par le biais d'une différenciation, elles peuvent être divisées en un composant déterministe et un composant stochastique. De plus, l'analyse peut être facilitée par l'étude de la transformation logarithmique naturelle de It plus que de It proprement dit. Cela découle du fait que:
(2)
Ainsi,
peut être décomposée, de façon linéaire, afin
de déterminer les changements apportés aux des transformations
logarithmiques des prix et quantités, ce qui fournit une base pour une
analyse pleinement cohérente. De plus, les conclusions tirées
d'une telle analyse concerneraient également l'analyse utilisant les
séries non transformées.
Les variations de
et
peuvent, bien entendu,
être analysées de manière séparée, de sorte
que le composant affichant la plus grande variance pourrait être
considéré comme celui qui induit la variation des transformations
logarithmiques des dépenses d'importations. Cependant, il y a deux
complications majeures. Tout d'abord, la relation entre
et
doit être prise en
compte, dans la mesure où les volumes d'importations dépendent, en
toute logique, des prix. Ensuite, les comportements corrélés de
façon sérielle de
et
doivent également
être pris en considération. L'approche économétrique
standard adoptée face à ce genre de problème est
dénommée «Analyse de réponses impulsionnelles» et
«Décomposition de la variance de prévision» (VAR), et
est abordée par la suite.
Analyse par décomposition autorégressive vectorielle
Les deux variables peuvent être exprimées sous la forme d'une «Autorégression vectorielle» (VAR) de la manière suivante:
,
(3)
où le
indique
les opérateurs de décalage polynomiaux, qui constituent une
notation pratique pour
.
(4)
Dans ce cadre, les variables sont mues par des
«innovations» ou des «chocs» aléatoires, ep,t
et ex,t, qui représentent des changements
soudains dans le comportement des producteurs économiques et des
consommateurs ainsi que dans l'environnement politique et/ou des
phénomènes stochastiques qui influencent les indicateurs de base
du marché. Ces chocs se propagent selon un schéma régi par
les signes et l'ampleur du
.
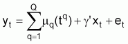
Les coordonnées à l'origine µi(t)
peuvent être traitées comme une variable de
«régimes» qui modifient continuellement l'impact des prix et
des quantités sur le coût des importations alimentaires
(c'est-à-dire qu'ils modifient le taux moyen de changement des variables,
dans la mesure où les séries sont transformées en
logarithmes puis
différenciées).[32]
Les paramètres intéressant ne sont pas seulement
les valeurs de
et
, mais également les
variances d'innovation de ej,t ainsi que la
covariance entre ep,t et ex,t. Mises en
commun, ces variances constituent une base à partir de laquelle il est
possible d'analyser l'importance relative des chocs portant sur les
quantités et les prix ainsi que leur impact global sur la valeur des
importations alimentaires. L'impact sur les changements au niveau des
dépenses d'importations peut alors être étudié
grâce aux relations exprimées dans l'équation (2).
Test de causalité
Si les quantités n'influencent pas les prix (selon la
causalité de Granger), on peut prévoir que la relation
reste vraie. Selon cette
hypothèse, les prix ne réagissent pas aux changements
passés survenus au niveau des quantités importées et
restent inchangés si le pays est un «preneur de prix»
d'importation (par exemple, d'un poids assez faible par rapport à la
demande mondiale) ou si les effets des changements de prix sur les
quantités se dissipent suffisamment vite pour qu'il n'y ait aucun effet
différé. Cependant, si les quantités d'importations sont de
nature prospective (par exemple, les futurs changements de prix sont
correctement anticipés), cette hypothèse pourrait se
révèler inexacte. Par conséquent, il s'agirait d'une
hypothèse subsidiaire.
L'hypothèse contraire selon laquelle
se verrait infirmer si les
changements de prix constituaient le moteur des importations actuelles, mais le
plein impact d'un quelconque changement de prix ne s'est pas fait sentir au
cours de l'année. En d'autres termes, si l'hypothèse était
infirmée, l'effet global d'un pic des prix serait plus important puisque
les quantités d'importations actuelles mais également futures s'en
trouveraient affectées.
Décomposition de la variance
Les hypothèses susmentionnées (soit
,
) sont communément
utilisées pour élaborer un «ordre causal». Cet ordre
peut se justifier lorsque le pays importateur est relativement «petit»
en termes d'impact sur les marchés mondiaux, comme c'est
généralement le cas des PMA et PDINPA. Par conséquent, on
pourrait prévoir que les changements de prix aient un impact sur la
demande d'importations, sans que le contraire soit exact. Les structures de
retard ne rendent que partiellement la relation existant entre les prix et les
quantités. En outre, la corrélation entre les chocs
ex,t. et ep,t. est intéressante. Dans
le cadre de l'hypothèse des «petits pays», alors que les chocs
observés au niveau des quantités et des prix sont susceptibles
d'être corrélés, le choc touchant les quantités sera
dû, en partie, à un choc au niveau des prix. Par conséquent,
on serait en droit d'écrire:
,
(5)
où
représente la variance d'innovation dans x (orthogonal à
ep,t) qui n'est pas due aux innovations relatives aux prix
à l'importation. Le paramètre
peut être
interprété comme étant un facteur
d'élasticité à court terme des quantités
importées par rapport aux prix à l'importation.
Ces innovations sont supposées avoir des moyennes et
des covariances égales à 0 et des variances égales à
et
. Plus la variance
est élevée
par rapport à
,
toutes choses étant égales par ailleurs, plus les variations des
prix sont importantes afin de déterminer la variabilité des
dépenses totales consacrées aux importations. Cependant, l'impact
des prix sur les quantités sera également déterminé
par les paramètres a21 de
l'équation (3) et
de
l'équation (5). En fait, si l'on insère l'équation (5) dans
l'équation (3), on obtient:
.
(6)
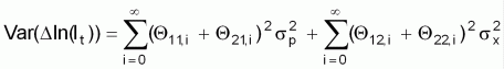
La décomposition de la variance requiert la reformulation de la représentation autorégressive de l'équation (6) en termes de «moyenne mobile» (voir Annexe B pour plus de détails), laquelle exprime les changements de prix et de quantités comme étant la somme pondérée des «chocs» passés survenus au niveau des prix et des quantités. Ceci permet ensuite de déterminer la contribution des variances des prix, R(I/P), et des quantités importées, R(I/X), d'une part aux dépenses consacrées aux importations et d'autre part aux quantités importées.
Qui plus est, étant donné la relation supposée entre les innovations de prix et les quantités importées, comme l'exprime l'équation (6), il est également possible d'estimer la contribution de la variation des prix par rapport à celle des quantités, R(X/P) (voir Annexe B pour plus de détails).
Identification des pics de prix
Les innovations à la base des mouvements des prix et
des quantités sont représentées par ep,t
et
. Des innovations
importantes conduiront à des changements importants au niveau des prix et
des quantités au moment même et à mesure que les changements
sont propagés dans le temps par le décalage de la VAR. En termes
économétriques, ces chocs sont souvent dits
«imprévisibles» puisque leurs valeurs à un temps t
ne peuvent être déduites des données historiques au
temps t-1. Dans cette étude, les valeurs situées en dehors
d'une fourchette de deux écarts types au dessus de zéro sont
définies comme des pics de prix. On considère qu'environ trois
pics de prix pourraient se produire tous les cent ans si les innovations se
comportaient selon une distribution normale.
3.2 Analyse empirique
Données
Les données utilisées dans le cadre de la présente étude proviennent de FAOSTAT et font référence aux valeurs et aux quantités des importations réalisées par les PMA et les PDINPA pour les produits suivants: blé, riz, céréales secondaires, sucre, viande de poulet, lait écrémé, soja et huile de palme. Comme on l'a déjà été dit dans la précédente section, les estimations publiées par FAOSTAT sont adaptées pour inclure des estimations des livraisons d'aide alimentaire, en termes de volume et de valeur. Aux fins de la présente étude, cependant, les estimations relatives aux volumes et aux valeurs des flux d'aide alimentaire à destination des PMA et des PDINPA sont déduites des totaux figurant dans FAOSTAT. Etant donné que l'on dispose d'estimations des flux d'aide alimentaire au niveau des pays qu'à partir de 1970, les analyses statistiques portent sur, tout au plus, 32 observations, pour la période 1970-2001. Les «prix» à l'importation sont calculés de manière implicite en divisant les séries de valeurs par les séries de volumes. Il ne s'agit donc pas de prix payés pour des produits «homogènes».[33] Aussi, les changements de prix calculés de cette manière couvrent également les changements intervenus dans la composition des produits (c'est-à-dire la part de produits transformés par rapport à la part de produits bruts) importés par chaque pays.
3.3 Synthèse des résultats
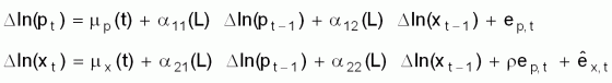
Le procédé suivant est utilisé dans l'application du modèle d'autorégression vectorielle, comme défini dans l'équation (3):
des points de
rupture structurels sont déterminés pour les séries de prix
à l'importation et de volumes importés pour les produits j,
soit
,
pour tous les pays; ces ruptures représentent un changement du taux moyen
de croissance des variables concernées;
des variables nominales appropriées sont créées et chaque équation est ré-évaluée;
des tests de causalité de Granger sont effectués pour évaluer, de manière empirique, la nature de la relation de causalité liant les prix et les quantités;
les coefficients des modèles estimés et les moments qui en découlent sont alors utilisés pour déterminer la contribution des variations des prix dans les variations des dépenses consacrées aux importations et des volumes des produits de base étudiés pour chacun des PMA et PDINPA et pour déterminer les années au cours desquelles des pics se sont produits au niveau des prix et des quantités.
Ruptures structurelles et variations brusques des prix et des volumes d'importations
On observe des ruptures de moyennes (simples et multiples) dans plusieurs séries (nationales) à l'intérieur de chaque groupe de produits de base.[34] Le résultat le plus remarquable concernant les ruptures de prix[35] est que pour le sucre et le blé, plus d'un quart des pays enregistrent au moins un changement significatif du taux de croissance des prix à l'importation, la presque totalité de ces changements survenant pendant la période 1974-1976, ce qui coïncide plus ou moins avec la «crise alimentaire mondiale». Les autres cultures ont subi des changements moins nombreux (en moyenne, environ 7,5 pour cent des pays pour chaque produit, ce qui se situe presque dans les limites d'erreur). De plus, il existe peu de faits montrant que les ruptures pour ces produits soient concomitantes, comme c'est le cas pour le sucre et le blé.
Pour les ruptures de quantités, en revanche, il n'y a pas beaucoup d'uniformité. Cependant, le nombre de pays connaissant des changements significatifs du taux de croissance des volumes d'importations est supérieur au nombre de pays présentant des changements du taux de croissance des prix pour les céréales secondaires, la viande de poulet, le lait écrémé et l'huile de palme.
Graphique 8. Distribution de l'incidence des pics de prix à l'importation au cours des trente dernières années pour les produits alimentaires de base étudiés

Néanmoins, la situation change, en particulier pour les prix, lorsque l'on prend également en considération les pics: plus de 50 pour cent de toutes les apparitions de perturbations aussi importantes et aberrantes -dont les effets ne s'étendent cependant que sur une seule période - pour pratiquement tous les produits étudiés coïncident également avec la période de la crise alimentaire mondiale[36] (voir graphique 8).[37] De plus, les vingt années qui ont suivi cette crise offrent une image tout autant uniforme: près de deux-tiers des pics de prix observés au cours des années 80 semblent s'être produits vers la fin de la décennie (à la seule exception du sucre, pour lequel les pics se sont produits au début des années 1980). Cette information est intéressante, car la période coïncide avec l'apparition d'importants changements de politiques dans certains des principaux pays développés, notamment aux États-Unis (application, en 1985, de la nouvelle législation agricole) et dans la Communauté Européenne (hausses significatives des stocks d'intervention de blé) (voir OMC 2002, ibid). De même, dans les années 90, lorsque les pics se sont produits plus fréquemment dans la seconde moitié de la décennie, on a pu observer la convergence d'un certain nombre de facteurs ayant une influence sur les indicateurs de base du marché: impact négatif généralisé du phénomène El Niño sur divers produits agricoles dans de nombreuses régions du monde, changement des comportements en matière de rétention de stocks publics de céréales dans certains pays en développement et soutien continu des pouvoirs publics dans un grand nombre de pays développés pour amorcer l'application initiale de l'Accord sur l'agriculture du Cycle de l'Uruguay[38] (voir également FAO 2002a, pp.33-39).[39]
Les tests menés afin de déterminer les ruptures structurelles au niveau de la volatilité des prix et des quantités indiquent également des changements significatifs de la variance pour les innovations de la VAR: en moyenne, un tiers des pays, pour l'ensemble des produits, présentent au moins une rupture au cours de la période à l'étude. Dans le cas des prix, les ruptures de la volatilité, presque exclusivement, coïncident avec les années où des chocs importants ont été observés, la volatilité faisant l'objet d'une hausse lors (ou très près) d'une année où un pic s'est produit et d'une baisse lorsque qu'un creux est observé.[40]
Relation de causalité entre les prix et les quantités
Une absence de causalité, entre les prix et les
quantités, et inversement, au sens où l'entend Granger, peut
être observée: les tests statistiques montrent une absence de
causalité dans plus de quatre-cinquièmes des pays, pour les
produits étudiés. Ceci montre que l'impact des changements de prix
sur les quantités importées peut se produire relativement
rapidement.[41] Cependant, la
«non-causalité», au sens que lui donne Granger, n'implique pas
une indépendance des séries. En fait, les estimations de
dans l'équation (6)
représentent l'impact présent des prix sur les quantités
importées. Près des trois-quarts des estimations s'avèrent
significativement négatives, ce qui porte à croire, comme on s'y
attendait, que les «chocs» au niveau des prix ont un impact
négatif non négligeable sur les quantités importées.
Cependant, il y aie de nombreux exemples de chocs majeurs survenus sur le plan
des quantités importées qui ne semblent aucunement être
dûs à des changements de prix (c'est-à-dire que les prix ne
semblent pas avoir subi de chocs similaires). Par conséquent, même
s'il semble évident que les changements survenus au niveau des prix ont
un impact sur les quantités, il serait faux de conclure que ces
mêmes changements constituent le déterminant unique ou
prédominant expliquant les grands changements au niveau des
quantités importées.
Impact des prix sur le coût global des importations alimentaires et les quantités
Comme indiqué ci-dessus, les chocs enregistrés
au niveau des prix conduisent à des changements en termes de
quantités importées, selon le scénario prévu et les
estimations de
peuvent
être interprétées comme étant un facteur
d'élasticité à court terme des quantités
importées par rapport aux prix à l'importation. Le plein impact
d'une innovation donnée ne sera, néanmoins, imputable qu'en partie
à la dynamique du système. Les élasticités moyennes
(tous pays confondus) pour les groupes de produits alimentaires varient entre
-0,38 pour le blé et -0,97 pour le
poulet[42], ce qui signifie que, par exemple
pour le poulet, en moyenne, une hausse de 1 pour cent du prix à
l'importation pourrait entraîner une baisse de 0,97 pour cent des
quantités importées en l'espace d'une année. Toutefois, on
note d'importantes variations d'un pays à l'autre pour chaque produit de
base, de sorte que ces moyennes doivent être analysées avec
prudence lors d'une évaluation pays par pays. Malgré des
variations importantes et des erreurs moyennes élevée pour les
estimations de certains pays, les tests montrent que les moyennes pour le
poulet, le soja et l'huile de palme sont généralement beaucoup
plus élevées que celles des autres produits, quoique aucune
différence notable n'ait été relevée entre les PMA
et les PDINPA.
Concernant les contributions des prix aux variations du coût global des importations alimentaires (R(I/P)) et aux quantités (R(X/P)), les moyennes (tous pays confondus) pour chacun des groupes de denrées alimentaires sont présentées dans le graphique 9. Par exemple, la valeur de R(I/P) pour le poulet est de 0,67, ce qui indique que les prix semblent être responsables d'environ 67 pour cent des variations du coût global des importations de ce produit. La valeur de R(X/P) de 0,60 montre qu'environ 60 pour cent des variations des quantités importées de poulet sont dues aux prix. Les prix auront un impact direct sur les dépenses consacrées aux importations alimentaires et un impact indirect à cause de leur impact sur les quantités. Toutefois, en théorie il est possible que les effets des prix et des quantités s'annulent réciproquement, ce qui aboutirait à un impact zéro sur le coût global des importations. Ainsi, la valeur de R(I/P) peut être supérieure ou inférieure à celle de R(X/P) d'un point de vue théorique. Des conclusions plus générales montrent que les prix à l'importation semblent, en moyenne, contribuer, dans une fourchette comprise entre un tiers et deux tiers, aux variations du coût global des importations. Les proportions sont similaires concernant la variation des quantités totales importées, ce qui s'explique par la variation des prix. Il faut également de noter que la contribution des prix tend à être d'autant plus élevée que l'influence présente des innovations au niveau des prix sur les innovations en termes de quantités sera grande. Une fois de plus, la condition essentielle est que les variations au sein d'un même groupe de pays soient très élevée. C'est pourquoi il sera difficile d'appliquer ces chiffres aux pays pris individuellement.
Graphique 9. Contribution estimée des prix au coût global des importations alimentaires

La présente étude a analysé, dans les détails, l'évolution historique observée au cours de la période 1970-2001 des dépenses consacrées aux importations alimentaires de deux groupes de pays reconnus comme vulnérables sur le plan de la sécurité alimentaire. Ces pays, appelés pays les moins avancés et pays en développement importateurs nets de produits alimentaires (PMA et PDINPA respectivement), ont été à l'origine de certains accords commerciaux multilatéraux existants et sont l'objet des négociations actuelles en vue de garantir que les règles sur le commerce adoptées ne mettent pas en péril leur situation en matière de sécurité alimentaire, compte tenu de leur position déjà vulnérable. La première partie de cette étude replace cette évolution dans un contexte économique élargi, sur la base de données nationales relatives à l'ensemble des produits alimentaires de base étudiés, l'objectif étant de faciliter, à l'aide de données ajustées aux fins spécifiques des analyses, la comparaison entre les deux groupes de pays et d'analyser l'évolution du poids économique global que représent le coût global des importations alimentaires.
Les analyses montrent que si des améliorations ont permis de réduire la vulnérabilité des PDINPA, la situation des PMA n'a pas été aussi encourageante, surtout ces dix dernières années. Bien que la part des importations alimentaires dans la consommation apparente totale ait pratiquement doublé au cours des trente dernières années pour les deux groupes, la croissance du coût des importations alimentaires des PMA a constamment dépassé l'augmentation du PIB ainsi que celle de la valeur totale des importations et des exportations de marchandises jusqu'à très récemment. Ce phénomène, allié à une volatilité sensiblement plus élevée, montre que les pays les moins avancés ont eu beaucoup de mal à garantir leur sécurité alimentaire nationale. Même s'il semble paradoxal que la situation de ces pays se soit un peu améliorée après l'application de l'Accord sur l'agriculture du Cycle de l'Uruguay, cette embellie semble davantage due aux conditions exceptionnelles affectant les indicateurs de base des marchés des principaux produits alimentaires de base qu'aux changements du context de politiques international en tant que tel.
La seconde partie de cette étude examine de plus près les aspects relatifs aux produits du coût global des importations alimentaires, au niveau des pays, en analysant les causes des variations observées dans les dépenses d'importations pour certains produits alimentaires choisis. Les compatibilités relevées confirment les résultats d'autres analyses qui, cependant, n'utilisent pas des données à un niveau de détail similaire à celui de la présente étude. En outre, les analyses sous-jacentes reposent sur des données correctement ajustées pour qu'elles aient un rapport direct avec les questions abordées. Les compatibilités intéressantes d'un point des politiques générales peuvent être résumées comme suit:
Il y a des signes de changements majeurs qui n'ont pas été prévus au niveau des prix à l'importation et des quantités importées (pour tous les produits alimentaires de base) qui laissent penser que présager de vastes remaniements des politiques, une profonde évolution du comportement des agents économiques ou d'autres facteurs ayant une influence sur les indicateurs de base du marché.
Une proportion non négligeable des principales variations brusques de prix pour la plupart des produits de base, ainsi que les ruptures structurelles pour le blé et le sucre, survient lors de moments (ou aux alentours de périodes) pouvant se rattacher à des événéments importants: par exemple, la crise alimentaire mondiale de 1974, les changements de politiques intervenus dans certains des principaux pays en développement dans la seconde moitié des années 80 et pendant la période 1997-1998, lorsque de nombreux marchés de produits agricoles de base se sont fortement contractés pour amorcer ensuite un retour à la normale princiapelment à la suite des mesures de politiques prises. Ces variations aussi brusques vont de pair avec une forte chute des quantités importées. De plus, dans les années suivant immédiatement une forte hausse des prix, la volatilité de ceux-ci augmente également. Une vaste proportion des pics observés par les pays, pour la plupart des produits, se concentre dans les années 70, ce qui montre une baisse de la volatilité au cours des trente dernières années et confirme les conclusions fondées sur des analyses des prix internationaux représentatifs de produits de base plus homogènes.
La variance des prix, des quantités et des dépenses totales consacrées aux importations n'est pas constante dans le temps et il semble que certaines périodes soient marquées par une forte volatilité (pour l'ensemble des produits alimentaires de base). Pour la plupart des produits, la volatilité des prix semble avoir diminué au cours des trente dernières années, étant donné qu'une plus grande proportion des varaitions observées par les différents pays pour la plupart des produits s'est concentrée dans les années 70. En outre, cela confirme les résultats d'autres analyses, fondées sur des prix internationaux représentatifs plutôt que sur les coûts unitaires d'importations de produits de base hétérogènes à la frontière. La volatilité au niveau des quantités est répartie de manière plus uniforme en fonction du temps, des pays et des produits.
Il y a très peu de signes d'une causalité empirique, au sens où l'entend Granger, entre les prix et les quantités, tous groupes de produits confondus et pour la plupart des pays. Néanmoins, il est assez évident que les prix tendent à exercer une influence présente sur les quantités importées, les changements survenant au niveau des prix des produits alimentaires de base à plus forte élasticité-revenu ayant un impact plus fort sur les quantités importées que les produits moins élastiques. Parralèllement, il a également été constaté que la contribution des prix au coût global des importations tend à être supérieure (plus de 50 pour cent environ) pour les produits, dont l'impact des prix sur les quantités est plus élevé. Néanmoins, ces résultats font encore l'objet de fortes variations d'un pays à l'autre. Aussi, si les faits démontrent que les prix sont un facteur déterminant important du total de la valeur des importations et des quantités importées, il existe d'autres facteurs importants qui influencent ces variables. Les caractéristiques des pays dont la capacité de réaction est relativement élevée ou faible peuvent justifier une analyse plus approfondie.
Sur le plan des politiques, les résultats de l'étude montrent qu'il serait judicieux de se concentrer sur les PMA, dans la mesure où ces pays ont été soumis à de fortes pressions et qu'ils sont beaucoup plus vulnérables au plan de la sécurité alimentaire nationale. En effet, que ce soit à un niveau plutôt macroéconomique ou au niveau des produits, la variabilité des prix, des quantités et des dépenses d'importations pour les deux groupes de pays semble être considérable; quoique l'incidence de la variablilité des prix, du moins sous ses formes les plus extrêmes, ait diminué ces trente dernières années. Pour les produits de base les plus essentiels, certains faits montrent que les variations des quantités importées tendent à contribuer dans une plus large mesure aux variations des dépenses consacrées aux importations, alors que pour les produits à plus forte élasticité-revenu, les variations des prix à l'importation sont généralement plus déterminantes. En outre, certaines décisions de politiques historiques semblent indéniablement avoir été à l'origine des changements brusques et significatifs des indicateurs de base du marché, qui se sont répercutés jusqu'aux frontières de ces pays vulnérables. Heureusement, toutefois, que ces changements n'ont eu aucun effet de longue durée sur les prix dans les périodes qui ont suivi ni d'incidences à plus long terme sur les quantités importées, et qu'ils ont eu tendance à se dissiper dans l'année. Dans l'ensemble, la volatilité à court terme semble être une question relevant du domaines des politiques, dont il faut s'occuper pour réduire la vulnérabilité de ces pays, en particulier les moins avancés d'entre eux, et leur garantir un approvisionnement en denrées alimentaires provenant des marchés internationaux.
Bai, J. 1999. Likelihood Ratio Tests for Multiple Structural Changes. Journal of Econometrics, 91:299-233
Bai, J. & Perron, P. 1998. Estimating Linear Models with Multiple Structural Changes. Econometrica, 66(1):47-48
FAO. 2002a. Rapports sur les marchés des produits: 2001-2002. Rome, 2002.
FAO. 2002b. Commodity Price Developments since the 1970s, dans Consultation on Agricultural Commodity Price Problems, Rome, pp. 131-175.
FAO. 2003. Politiques commerciales et évolution des importations de produits agricoles dans le contexte de la sécurité alimentaire, Document, CCP 03/10, Rome.
Hamilton, J.D. 1994. Time Series Analysis, Princeton University Press, Princeton New Jersey.
Härdle W. 1992. Applied Nonparametric Regression. Cambridge University Press, Cambridge.
OMC. 2002. Groupe interinstitutions sur les difficultés à court terme à financer des niveaux normaux d'importations commerciales de produits alimentaires de base, Genève, juillet 2002.
Prakash, A. & Gürkan, A. A. 2003. Structural Change and the Behaviour of Cereal Prices, FAO, Rome.
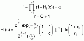
Tous les paramètres de la VAR sont, potentiellement, dépendants du facteur temps. Cependant, en utilisant des séries de données de taille raisonnable, lméthode la plus facile consiste à autorise et à tester des variations uniquement dans les composants déterministes de la VAR. Le type de changement structurel représenté dans la présente étude suppose qu'il peut y avoir jusqu'à K variations séparées dans certains paramètres. Si le point de la rupture structurelle était connu a priori, dès lors au sein d'un cadre stationnaire (issu de la différenciation des variables), l'inférence relative aux ruptures structurelles serait standard. Cependant, si les ruptures ne sont pas connues, il faudra alors recourir à une méthode de recherche permettant de choisir les points de rupture de façon endogène. En pareilles circonstances, les tests habituellement utilisés F ou LR pour évaluer la signification des variables nominales au sein desquelles les ruptures sont choisies pour une combinaison optimale, ne sont plus applicables. Cette étude utilise une extension des tests conçus par Bai et Perron (1998) et par Bai (1999).
Une recherche intégrale de L ruptures structurelles dans un échantillon de taille T implique un certain nombre de régressions de l'ordre de TL. Si des algorithmes plus efficaces peuvent être employés afin d'affiner la recherche, de tels algorithmes ne sont pas nécessaires pour des échantillons inférieurs à cent, pour autant que L = 4. Pour T = 30, ou pour un chiffre supérieur, il n'y a pratiquemment aucun avantage à utiliser un algorithme efficace. C'est pourquoi une recherche complète a été entrperise dans le cas de cette étude.
Bai (1999) décrit un test de probabilité maximale de ruptures l +1 sous le seuil de l ruptures, en vertu duquel les composants déterministes présentent jusqu'à Q tendances polynomiales. Ici, un cas spécifique est analysé. Dans une régression de la forme:
(A.1)
où l'on note des ruptures dans les valeurs de µq. Les valeurs critiques © pour une taille donnée a, sont obtenues en résolvant c de telle sorte que:
(A.2)
où les valeurs de çi sont calculées en utilisant les proportions estimées de l'échantillon entre les ruptures li i=1,...K et dla rupture proportionnelle minimum autorisée ehi=e/li
L'équation (A.2) est une forme spécifique de l'équation (8) de Bai (1999).
Dans l'équation A.1 ci-dessus, y et x pourraient être remplacés par des prix et des quantités sous forme logarithmique:
,
(A.3)
qui est la première équation de la VAR (c'est-à-dire l'équation 3 du document principal). En inversant les places de x et p, on obtient la deuxième équation. Par conséquent, cette méthode convient bien à l'estimation de la VAR, comme expliqué dans le corps du texte, avec différentes coordonnées à variation temporelle et différentes tendances temporelles.
Cette étude suppose Q=0 (ne permet que des coordonnées à variation temporelle). Afin de sélectionner le nombre correct de ruptures, un processus séquentiel a été utilisé. Tout d'abord, on a testé 0 rupture par rapport à 1 rupture. Si 0 rupture a été rejeté, on a alors testé 1 rupture par rapport à 2, et ainsi de suite. Dans le cas d'espèce, le nombre maximal de ruptures testées a été de 4.
Ruptures au niveau de la volatilité
La variance des innovations au sein des VAR est susceptible de se modifier au fil du temps. Cette modification se produirait lors de périodes de forte volatilité en termes de prix et de quantités et lors de périodes de calme relatif. Les changements survenant au niveau de la variance des innovations peuvent être conditionnels (connus comme ARCH ou GARCH) ou inconditionnels. S'il existe toute une série de tests d'hétéroscédasticité (conditionnelle ou inconditionnelle), ces tests ne permettent pas en général d'identifier les points de rupture mais seulement de détermineront si la volatilité tend à évoluer de façon systématique. Ils sont donc d'une utilitée limitée pour l'analyse des politiques. C'est pourquoi le présent document développe les tests de Bai et Perron en étudiant les écarts absolus des innovations pour trouver la moyenne des changements structurels. Cela revient à effectuer un test d'hétéroscédasticité à l'aide d'un cadre comportant des ruptures multiples. Le gros inconvénient de ces tests toutefois est que les valeurs critiques appliquées aux résidus issus des VAR peuvent induire en erreur. Le paradoxe serait de trouver des ruptures considérables au niveau de la volatilité, alors que dans les faits, aucune donnée probante ne permet d'étayer cet argument. Néanmoins, ce test est potentiellement utile et il a donc été utilisé dans l'analyse décrite ci-dessus.
On exprime l'équation (6) en notation matricielle:
.
(B.1)
La décomposition de la variance requiert une reformulation de la représentation autorégressive susmentionnée en termes de «moyenne mobile»:
.
(B.2)
Les paramètres Èi peuvent
être calculés à l'aide des paramètres de la VAR ainsi
que
.
Au sein de cette représentation, les prix et les
quantités ont été décomposés en la somme de
termes «déterministes»
et
«stochastiques»
.
Cette représentation est utile, en ce sens que les changements survenant
au niveau des prix et des quantités peuvent désormais être
exprimés comme étant la somme pondérée des
«chocs» passés au niveau des prix et des
quantités.
La contribution de la variance des prix et des quantités au coût global des importations peut ensuite être calculée comme suit:
(B.3)
ou
encore
.
Le premier terme à la droite de l'équation est la contribution de la variance des prix à celle des dépenses d'importations et le deuxième est la contribution de la variance des prix à celle des quantités importées. Leur importance relative peut être exprimée respectivement comme suit:
et/ou
(B.4)
.
Pour mesurer l'impact des innovations en termes de prix sur
les quantités importées, la variation totale de
peut être
calculée comme suit:
(B.5)
ou encore,
,
(qui sont des formules de décomposition standard), la proportion attribuable aux prix étant définie comme suit:
.
(B.6)
Il est possible d'estimer les quantités R(I/P) et R(X/P) à partir des données et donc de les utiliser pour résumer l'importance des prix dans la détermination de la variation du coût global des importations alimentaires et des volumes importés respectivement.[43]
|
[17] Les auteurs sont
respectivement Chef du Service des denrées alimentaires de base, Division
des produits et du commerce international, FAO, Chargé de cours à
l'Imperial College de Wye et Spécialiste des produits au Service des
denrées alimentaires de base, Division des produits et du commerce
international, FAO. [18] La situation est la même pour les produits agricoles non alimentaires dont dépendent de nombreux pays en développement défavorisés pour obtenir les devises étrangères dont ils ont tant besoin pour importer les denrées alimentaires nécessaires. Ces pays ont des difficultés lorsque les prix sont bas, ils en tirent avantage lorsqu'ils sont hauts, pour autant, bien entendu, que les mouvements de prix des produits alimentaires qu'ils doivent importer ne soient pas concomitants. [19] Le texte intégral de cette décision figure à l'adresse: http://www.wto.org/french/docs_f/legal_f/35-dag_f.htm [20] Un groupe mis sur pied à l'Organisation Internationale du Commerce (OMC) a, par exemple, évalué l'efficacité de divers instruments visant à remédier aux fortes hausses des prix des produits alimentaires du point de vue des pays les moins avancés et des pays en développement importateurs nets de produits alimentaires, sur la base de leur expérience au milieu des années 90, dans le sens des dispositions de la Décision de Marrakech (voir OMC 2002). [21] Pour tous les pays en développement, la croissance annuelle en termes de volumes d'importations alimentaires enregistre une moyenne d'environ 5,6 pour cent. Pour les pays à faible revenu et à déficit vivrier, cette moyenne est d'environ 6,9 pour cent. Pour les pays développés, en revanche, la croissance moyenne annuelle des importations alimentaires est de seulement 1,9 pour cent environ (voir FAO 2003, tableau 3). [22] Comme prévu, la part représentée par les importations des PDINPA dans leur consommation apparente est nettement supérieure (environ un tiers ces derniers temps) à celle des importations des PMA (légèrement plus d'un dixième ces dernières années). En effet, la part des importations des PDINPA a augmenté plus rapidement que celle des importations des PMA au cours des trente dernières années. [23] Les moyennes pour chaque catégorie sont des moyennes simples, calculées sur la base de la part de chaque pays dans les différentes catégories. Avant de calculer cette part, la valeur des livraisons de l'aide alimentaire pour une année civile est soustraite des estimations établies par FAOSTAT. Étant donné que les dons au titre de l'aide alimentaire ne font l'objet d'aucun rapport séparé quoique repris dans les statistiques officielles relatives aux exportations des pays donateurs et se voient donc attribuer une «valeur», que les produits de base issus de l'aide alimentaire soient sous la forme de subventions ou en nature, les ajustements effectués au niveau des importations des pays bénéficiaires afin de prendre en compte les éléments précités sont dans une certaine mesure arbitraires. Ce calcul est compliqué par le fait qu'il est difficile de savoir avec certitude si les pays importateurs consignent les volumes de l'aide alimentaire et leur donnent une valeur et, le cas échéant, de connaître cette valeur, plus particulièrement lorsque l'aide est octroyée à des conditions favorables. Des ajustements manuels sont réalisés afin de garantir un degré de cohérence entre les rapports des pays donateurs et des pays bénéficiaires et pour exclure l'aide alimentaire obtenue localement. [24] Tous les énoncés du présent document faisant état d'une «différence significative» reposent sur des tests statistiques visant à garantir que les différences observées ne peuvent être le résultat d'une «erreur». [25] Les moyennes présentées dans les graphiques 2 à 4 ont également été calculées en comparant, pays par pays, l'importance relative des importations alimentaires par rapport à la consommation alimentaire apparente, toutes deux mesurées en termes de valeur calorique. Les valeurs ainsi obtenues sont beaucoup plus élevées que celles présentées dans cette étude. [26] La volatilité «imprévisible» est définie ici comme étant la variation résiduelle dérivant de la résolution d'équations par l'application de méthodes de régression non paramétriques à chaque série (voir Härdle 1992), une approche similaire à celle utilisée dans la deuxième partie, quoique différente en raison des techniques d'économétrie utilisée pour identifier la volatilité «prévisible». [27] A noter que les estimations officielles de la valeur des importations alimentaires incluent la valeur des flux d'aide alimentaire. [28] En effet, ce déclin a été observé non seulement en termes relatifs mais également en termes absolus, atteignant en moyenne 20 pour cent par an entre 1986 et 1987 (mesuré en termes d'équivalent calorique). [29] La valeur absolue des flux d'aide alimentaire (mesurée en termes d'équivalent calorique) n'a enregistré aucune baisse évidente pour ce groupe de pays au cours de la même période. [30] L'indice des volumes est calculé sur la base de valeurs unitaires d'importations de 1995 et l'indice des prix sur la base de valeurs unitaires moyennes d'importations pour 1000 unités de kilocalories contenues dans les produits alimentaires de base importés. [31] Cette section est fondée sur l'analyse réalisée par Kelvin Balcombe. [32] L'existence et le nombre de changements de régime sont déterminés à l'aide des tests statistiques de Bai et Perron (1998) et de Bai (1999) (voir Annexe A pour plus de détails). [33] Cependant, les estimations relatives aux volumes importés sont exprimées en leur équivalent en produits bruts. [34] Les tests sont menés à un niveau de signification de 5 pour cent. Par conséquent, on pourrait s'attendre à environ une rupture toutes les vingt ruptures initialement estimées, même en l'absence de changements structurels. [35] On garde également un compte de «chocs», à la fois positifs et négatifs, au-delà de trois écarts types. Même si l'on peut difficilement s'attendre à trouver de telles aberrances, elles surviennent de manière uniforme, ce qui laisse penser que les conditions d'erreur de la méthode VAR ne sont pas distribuées normalement, contrairement aux hypothèses. [36] Les exceptions sont le sucre, pour lequel les ruptures structurelles semblent s'être produites au cours de la même période et le lait écrémé, le produit qui a les liens les plus faibles avec les autres marchés de produits de base. [37] Ceci signifie également que l'incidence d'une volatilité imprévisible était plus élevée dans les années 70 que dans les années 80 ou 90, ce qui confirme les conclusions d'une précédente étude de la FAO qui analysait les prix internationaux de certains produits représentatifs plutôt que des données nationales, comme c'est le cas de la présente étude (voir FAO 2002b, pp. 134-136). [38] Les périodes de pics des prix à l'importation coïncident également assez bien avec celles observées lors d'analyses de ruptures structurelles similaires entreprises sur la base de prix internationaux représentatifs de certains des mêmes produits (FAO 2002b, pp.136-137; Prakash et Gürkan, 2002). [39] Les graphiques 2 à 5 montrent l'importance des périodes correspondant à la fin des années 80 et à la moitié des années 90 dans l'évolution des tendances des indicateurs construits également à partir de variables macroéconomiques isolées. [40] Si des tests d'hétéroscédasticité conditionnelle (ARCH) étaient utilisés, ils aboutiraient également, sans aucun doute, à un rejet en bloc de l'hypothèse de variance constante. Toutefois, la manière précise dont la variance doit être modélisée est une question sans réponse. Les tests ARCH ou GARCH peuvent être un bon moyen de modéliser les changements de variance, mais cela est impossible à déterminer avec des séries aussi courtes. [41] Néanmoins, l'apparente non-causalité entre les séries peut également s'expliquer par la petite taille de l'échantillon, un nombre potentiellement élevé d'aberrances dans les séries, le caractère inapproprié des tests statistiques standard alors que la répartition des chocs est supposée normale, la nature hétérogène des produits de base soumis à analyse, etc. On a imposé la non-causalité des quantités par rapport aux prix à moins que la causalité ne puisse être rejetée au niveau des 5 pour cent. Cependant, pour des raisons a priori, on n'a pas imposé la non-causalité des prix par rapport aux quantités. [42] Les élasticités pour les autres groupes de produits sont: riz, -0,49; céréales secondaires, -0,53; lait écrémé, -0,55; sucre, - 0,56; huile de palme, -0,65; soja, -0,80. [43] La contribution des prix et des quantités au composant relatif aux tendances peut également être évaluée selon un procédé similaire. Cependant, dans la mesure où les prix sont analysés sous leur forme nominale et où les ruptures de régime au niveau des tendances seront également déterminées et incorporées aux analyses, aucune tentative n'a été faite pour estimer leur contribution au composant relatif aux tendances du coût global des importations alimentaires. |