Neurologic or neurotoxic shellfish poisoning (NSP) is caused by polyether brevetoxins produced by the unarmoured dinoflagellate Gymnodinium breve (also called Ptychodiscus breve, since 2000 called Karenia brevis). The brevetoxins are toxic to fish, marine mammals, birds and humans, but not to shellfish. Until 1992/1993, neurologic shellfish poisoning was considered to be endemic to the Gulf of Mexico and the east coast of Florida, where red tides had been reported as early as 1844. An unusual feature of Gymnodinium breve is the formation by wave action of toxic aerosols which can lead to asthma-like symptoms in humans. In 1987, a major Florida bloom event was dispersed by the Gulf Stream northward into North Carolina waters where it has since continued to be present. In early 1993, more than 180 human shellfish poisonings were reported from New Zealand caused by an organism similar to G.breve. Most likely, this was a member of the hidden plankton flora (previously present in low concentrations), which developed into bloom proportions triggered by unusual climatic conditions (higher than usual rainfall, lower than usual temperature) coincident with an El Niño event (Hallegraeff, 1995).
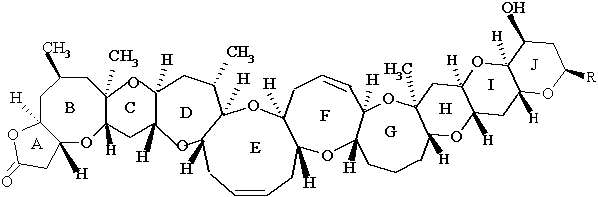
The NSP toxins, called brevetoxins, are tasteless, odourless, heat and acid stabile, lipid-soluble, cyclic polyether neurotoxins produced by the marine dinoflagellate G. breve (or P. brevis). The molecular structure of the brevetoxins consists of 10 to 11 transfused rings; their molecular weights are around 900. Ten brevetoxins have been isolated and identified from field blooms and G. breve cultures (Benson et al., 1999) (see Figure 5.1). These brevetoxins show specific binding to site-5 of voltage-sensitive Na+ channels leading to channel activation at normal resting potential. This property of the brevetoxins causes the toxic effects (Cembella et al., 1995). PbTx-2 is the major toxin isolated from G. breve.
Four brevetoxin analogues (see Figures 5.2 and 5.3) were isolated from contaminated shellfish. The shellfish was derived from NSP incidents in New Zealand. The brevetoxin analogues were analysed in cockles (Austrovenus stutchburyi) (BTX-B1) (Ishida et al., 1995) and greenshell mussels (Perna canaliculus) (BTX-B2, BTX-B3 and BTX-B4) (Morohashi et al., 1995, 1999; Murata et al., 1998) and differed from brevetoxins isolated from dinoflagellate cultures. Apparently BTX-B1, BTX-B2, BTX-B3 and BTX-B4 are metabolites formed by the shellfish itself as they were not found in field blooms or G. breve cultures. The presence of BTX-B2, BTX-B3 and BTX-B4 in Perna canaliculus does suggest that metabolic pathways in this species are more complicated than those in cockles (Austrovenus stutchburyi). However, the major toxins in shellfish were left unelucidated because of the extreme difficulty in isolation (Morohashi et al., 1999).
Figure 5.1 Chemical structures of type A and B brevetoxins (Hua et al., 1996)

|
Type 1 (A) brevetoxins: |
PbTx-1, |
R = CH2C(=CH2)CHO |
|
|
PbTx-7, |
R=CH2C(=CH2)CH2OH |
|
|
PbTx-10, |
R=CH2CH(CH3)CH2OH |

|
Type 2 (B) brevetoxins: |
PbTx-2 |
R = CH2C(=CH2)CHO |
|
|
oxidized PbTx-2 |
R=CH2C(=CH2)COOH |
|
|
PbTx-3 |
R=CH2C(=CH2)CH2OH |
|
|
PbTx-8 |
R=CH2COCH2Cl |
|
|
PbTx-9 |
R=CH2CH(CH3)CH2OH |
|
|
PbTx-5 |
the K-ring acetate of PbTx-2 |
|
|
PbTx-6 |
the H-ring epoxide of PbTx-2 |
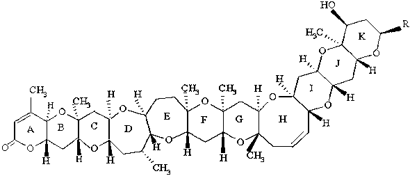
5.2 Chemical structures of brevetoxin analogues BTX-B1, -B2 and -B4 isolated from contaminated shellfish

Source: Yasumoto et al., 2001
Figure 5.3 Chemical structure of brevetoxin analogue BTX-B3 isolated from contaminated shellfish

Source: Yasumoto et al., 2001
BTX-B3
R = CH3(CH2)12CO or CH3(CH2)14CO
In addition to brevetoxins, some phosphorus containing ichthyotoxic compounds resembling anticholinesterases, have also been isolated from G. breve. One example is an acyclic phosphorus compound with an oximino group in addition to a thiophosphate moiety, namely O,O-dipropyl(E)-2-(1-methyl-2-oxopropylidene)phosphorohydrazidothioate-(E)oxime (Van Apeldoorn et al., 2001).
Figure 5.4 Phosphorus containing ichthyotoxic toxin isolated from G. breve.

5.2.1 Bioassays
in vivo assays
mouse bioassay
The mouse bioassay involves the evaluation of toxicity by intraperitoneal injection of the crude lipid extract of shellfish into mice. Results are expressed as mouse units (MU) (Hokama, 1993). One MU is defined as the amount of crude toxic residue that on average will kill 50 percent of the test animals (20 g mice) in 930 minutes (Dickey et al., 1999). The currently accepted method is the American Public Health Association (APHA) procedure from 1985 based on diethylether extraction of shellfish tissue. After the detection of NSP in New Zealand in 1993, a management strategy to monitor NSP toxins was developed by the MAF Regulatory Authority. The sample preparation method used was based on acetone extraction of these lipophilic components followed by partitioning into dichloromethane. This procedure was very effective in extracting unknown lipid-soluble toxins from shellfish containing NSP toxins and presented certain advantages as compared with the APHA protocol (simpler and more suitable for rapid and quantitative separation of organic and aqueous phases of the extract and greater extraction efficiency). However, following the discovery of a novel bioactive compound (gymnodimine) produced by the dinoflagellate Gymnodinium mikimotoi, a common species in New Zealand waters during neurotoxic events, the authorities returned to the diethylether extraction procedure of the APHA. Gymnodimine is not extractable by diethylether but it causes very rapid mouse deaths when the dichloromethane procedure is used. Since gymnodimine is not considered to present a risk to human health, the monitoring programme now employs diethylether extraction as a means of discriminating gymnodimine activity from NSP toxicity (Fernandez and Cembella, 1995).
Basically, any detectable level of brevetoxins per 100 g shellfish tissue was considered potentially unsafe for human consumption. In practice, a residue toxicity ³20 MU per 100 g shellfish tissue was adopted, and remains as the guidance level for prohibition shellfish harvesting (Dickey et al., 1999).
The problems with the mouse assay are that it requires large numbers of animals, uses relatively large amounts of tissue extracts, the results are interpreted subjectively and it lacks specificity (Hokama, 1993).
fish bioassay
Mosquito fish (Gambusia affinis) bioassays are conducted in 20 ml seawater (3.5 percent salinity) using one fish per vessel with toxin added in 0.01 ml ethanol. Each LD50 was determined by preparing triplicate 2-fold serial dilutions of each toxin. Lethality was assessed after 60 minutes and median lethal dose was determined using the tables in Weil from 1952 (Baden et al., 1988). The fish bioassay is generally used to determine the potency of either the contaminated seawater or crude and purified toxin extracts (Viviani, 1992).
in vitro assays
neuroblastoma cell assay
The toxins responsible for NSP exert their toxic effects by binding to a certain class of biological receptors namely to voltage-sensitive Na+ channels. This highly specific interaction with naturally occurring receptors forms the basis of the neuroreceptor assay. Any modification to a toxin molecule, which interferes with its binding to the receptor and thus its detection in a receptor-based assay, would also compromise its ability to elicit a toxic response. Detection is therefore based on its functional activity rather than on recognition of a structural component, as is the case of an antibody-based assay. Moreover, the affinity of a toxin for its receptor is directly proportional to its toxic potency. Thus, for a mixture of congeners, a receptor-based assay will yield a response representative of the integrated potencies of those toxins present (Cembella et al., 1995).
A tissue culture technique using an established mouse neuroblastoma cell line (Neuro-2a) has been developed for the assay of site-5 Na+ channel activating toxins a.o. brevetoxins. This detection method is based on end-point determination of mitochondrial dehydrogenase. The detection limit for PbTxs is 0.25 ng/10 ml tissue extract. PbTx can be detected within four to six hours but the detection limit can be decreased with an incubation time of 22 hours. The method was further modified and simplified by incorporating a colorimetric procedure based upon the ability of metabolically active cells to reduce a tetrazolium compound namely MTT (=3-[4,5-dimethylthiazol-2-yl]-2,5-diphenyltetrazolium) to a blue-coloured formazan product (Manger et al., 1993; 1995).
The most potent brevetoxin PbTx-1, could be detected in the MTT cell bioassay at levels substantially below the intraperitoneal LD50 in mice after four to six hours of exposure. For comparison the LD50 for PbTx-1 in mice is 0.01 mg/20 g animal, intraperitoneal injection, correlating with 0.1 mg/100 g tissue extract or equivalent to 1 ng/10 ml sample in neuroblastoma cells (Manger et al., 1993).
Other methods have used XTT (a soluble formazan reagent) for colorimetric determination. (Yasumoto et al., 1995). The neuroblastoma cell assay can be used for detection of brevetoxins in contaminated shellfish tissue but this assay cannot distinguish between individual brevetoxins (Hua et al., 1995).
Fairey et al. (1997) reported a further modification of the receptor-binding assay in neuroblastoma cells of Manger et al. (1995), to a reporter gene assay that utilizes luciferase-catalyzed light generation as an endpoint and a microplate luminometer for quantification. A c-fos-luciferase reporter gene construct was stably expressed in the N2A clone of mouse neuroblastoma cells, the assay parameters were optimized and the sensitivity of this reporter gene assay to several algal toxins that activate or inhibit sodium channels was evaluated. PbTx-1 caused a concentration-dependent and saturable increase in luciferase activity. Although additional characterization of this assay is still required to evaluate performance with different fish and shellfish matrices, algal pigments and other classes of algal toxins, the assay as presented met or exceeded the sensitivity of existing bioassays for sodium channel active algal toxins.
Voltage-gated sodium channels are integral, neuronal membrane proteins. A purified membrane protein can be incorporated into a lipid bilayer by formation of a vesicle in its presence, and this process is termed reconstitution. Once the appropriate phospholipids for functional reconstitution of sodium channels have been elucidated, the reconstituted channel can be used as a tool for the measurement of specific binding of algal toxins. Specific binding of PbTx-3 to purified rat brain sodium channels which were reconstituted into phospholipid vesicles, was demonstrated. This demonstration of specific binding of sodium channel toxins paves the way toward development of a highly specific functional assay for the presence of these toxins in biological tissue (Trainer et al., 1995).
synaptosome binding assay
The synaptosome assay is a competitive binding assay in which radiolabeled NSP toxin and/or its derivatives compete with unlabeled NSP toxin for a given number of available receptor sites in a preparation of rat brain synaptosomes. The percent reduction in radiolabeled NSP binding is directly proportional to the amount of unlabelled toxin present in an unknown sample (Poli et al., 1986). As is the case with the immunoassay (see Chapter 5.2.2), both PbTx-2 and PbTx-3 displaced 3H-PbTx-3 in an equivalent manner. However, oxidized PbTx-2 did not replace 3H-PbTx-3 as was the case in the immunoassay (Baden et al., 1988).
Van Dolah et al. (1994) developed a high throughput synaptosome binding assay for brevetoxins using microplate scintillation technology. The microplate assay can be completed within three hours, has a detection limit of less than 1 ng and can analyze dozens of samples simultaneously. The assay has been demonstrated to be useful for assessing algal toxicity, for purification of brevetoxins and for the detection of brevetoxins in seafood.
An AOAC Peer-Verified Method trial on the microplate receptor assay of Van Dolah et al. (1994) for PbTx in oysters is in progress (Quilliam, 1999).
Whitney et al. (1997) reported the complex behaviour of marine animal tissue in the rat brain synaptosome assay. Extracts of manatee, turtle, fish and clam tissues appeared to contain components that interfere by co-operative, non-competitive inhibition of 3H-PbTx-3 specific binding and increased non-specific binding to synaptosomes. Whitney et al. (1997) developed a correction method for these problems.
hippocampal slice assay
Kerr et al. (1999) investigated in vitro rat hippocampal slice preparations as a means of rapidly and specifically detecting the marine algal toxins STX, brevetoxin and DA in shellfish tissue or finfish and identified toxin-specific electrophysiological signatures for each. It was concluded that hippocampal slice preparations are useful in detection and analysis of marine biotoxins in contaminated shellfish tissue.
5.2.2 Biochemical assays
immunoassays
At a time when only the structures of PbTx-2 and PbTx-3 were known, a competitive radioimmunoassay (RIA) to detect PbTx-2 and PbTx-3 with a detectability of 2 nM was developed. Detectability has been improved later to approximately 1 nM (Trainer and Baden, 1991). Utilizing bovine serum albumine (=BSA)-linked PbTx-3 as complete antigen, an antiserum was produced in goats. The RIA technique for PbTx is based on the competitive displacement of 3H-PbTx-3 from complexation with the antibody. Both PbTx-2 and PbTx-3 were detected in approximately equivalent manners. However, oxidized PbTx-2, which was not toxic in either the fish or mouse bioassay, did also displace PbTx-3 in RIA, an indication that potency was not reflected in competitive displacement assays using this antibody (Trainer and Baden, 1991).
Work has also advanced in the preparation of a reliable monoclonal antibody enzyme-linked immunosorbent assay (ELISA). Trainer and Baden (1991) developed an ELISA method utilizing brevetoxin coupled to either horseradish peroxidase or to urease with a goat antibody to purified brevetoxin. A potential ELISA system for brevetoxin detection from extracts of dinoflagellates or fish has been established with a limit of detection of 0.04 pM. The toxin can be linearly quantified from 0.04 to at least 0.4 pM brevetoxin per well. In initial trials BSA-linked PbTx-3 was used as the antigen and an antiserum was produced in goats, which was found to bind competitively to PbTx-2 and PbTx-3 (Cembella et al., 1995). Since the assay is structural rather than functional, the antibody also binds to non-toxic PbTx derivatives with similar binding activity. When keyhole limpet hemocyanin (KLH) was used instead of BSA, more efficient antibody production occurred (Baden et al., 1988). Recent studies on epitopic recognition using naturally occurring and synthetic brevetoxin derivatives with two different anti-PbTx sera indicated that single antibody assays may not be adequate for detecting NSP toxin metabolites. Tests are being developed to utilize more than one antibody specifically for recognition of different regions of the polyether ladder (Baden et al., 1988; Levine and Shimizu, 1992; Poli et al., 1995; Trainer and Baden, 1991). In a later study (Baden et al., 1995) further modifications of the ELISA method are reported which resulted in improved specificity and detectability. Brevetoxin in fish tissue could not be measured until 1995 by the ELISA because brevetoxin is covalently conjugated via well-known cytochrome P450-monooxygenase detoxification pathways, and glutathione-S-transferase activities are also induced. Normal tissue extraction will not release bound toxin in fish tissue. The ELISA was entirely satisfactory for detecting and quantifying brevetoxins in dinoflagellate cells, requiring as few as 10 to 50 cells. Shellfish tissue could be analysed with ELISA but at the expense of the detectability. The modifications and alternative techniques reported by Baden et al. (1995) made it possible to use the ELISA for brevetoxin detection in dinoflagellate cells, in shellfish and fish seafood samples, in seawater and culture media, and in human serum samples.
Naar et al. (1998) reported the improved development of
antibody production to PbTx-2 type brevetoxins and developed a new
radioimmunoassay. The detection limit for PbTx-3 was 0.33 picomoles with a
detectability range between 0.01 and 1100 picomoles. In a later study, Naar
et al. (2001) described the production and characterization of mice
polyclonal and monoclonal antibodies (MAbs) specific for PbTx-2 type toxins
using PbTx-3-carrier-conjugates prepared at the nanomolar level in a reversed
micellar medium. The authors considered this first report on MAbs production to
PbTxs most promising for the development of MAb-based assays to poorly available
marine polyether-type potent neurotoxins. In 2002, Naar et al. reported
the development of a competitive ELISA for the detection of brevetoxins in
seawater, shellfish extract or homogenate, and mammalian body fluid (urine and
serum without pretreatment, dilution or purification) using goat anti-brevetoxin
antibodies obtained after immunization with keyhole limpet hemocyanin-brevetoxin
conjugates, in combination with a three-step signal amplification process. The
detection limit for brevetoxins in spiked oysters was
2.5 µg/100 g
shellfish meat.
Garthwaite et al. (2001) developed a group ELISA for ASP, NSP, PSP and DSP toxins including yessotoxin as a screening system for contaminated shellfish samples. The system detects suspected shellfish samples. Thereafter the suspected samples have to be analysed by methods approved by international regulatory authorities. Alcohol extraction gave good recovery of all toxin groups.
5.2.3 Chemical assays
MEKC detection
Micellar electrokinetic capillary chromatography (MEKC) with laser-induced fluorescence (LIF) detection was used to measure four brevetoxins (PbTX-2, PbTx-3, PbTx-5, PbTx-9) at sub-attomole levels. Brevetoxins were isolated from cell cultures and fish tissue and the method detection limit in fish tissue was approximately 4 pg/g (Shea, 1997).
Electrospray LC/MS
Reversed-phase liquid chromatography-electrospray ionization mass spectrometry was successfully applied to separation and identification of brevetoxins associated with red tide algae. The detection limits for PbTx-9, PbTx-2 and PbTx-1 were 600 fmol, 1 pmol and 50 fmol, respectively. Furthermore a number of unknown compounds (totally six components were detected) among which possibly an isomer of PbTx-9, were detected. An advantage of this method is that co-eluting compounds can be much more readily noticed and possibly identified via mass spectral information (Hua et al., 1995).
In a follow-up study, the application of this reversed-phase liquid chromatography-electrospray ionization mass spectrometry (LC-ESI-MS) method was expanded for the first time to investigate the distribution of brevetoxin compounds in red tide blooms collected from Sarasota Bay, Florida. PbTx-2, PbTx-1 and PbTx-3 were detected at 60, 10 and 5.7 mg/L levels, respectively, in natural red tide bloom samples. This distribution differed quantitatively from that found in red tide culture extract samples. PbTx-9 was not detected either in red tide bloom extracts or in red tide culture extracts (Hua et al., 1996).
Ionspray LC/MS
An ion-spray LC-MS method was developed by Quilliam in 1996. Mass detection limits as low as 10 pg (10 femtomole) can be achieved using selected ion monitoring of the (M+H)+ ions. All principal toxins as well as some new minor components in a crude extract of G. breve were detected with this method. Recently the method was extended to the more polar metabolites identified in New Zealand shellfish. Analyses by LC-MS can be very rapid (as low as two minutes in some cases) and can be totally automated (Quilliam, 1998b).
LC/MS/MS
A fish tissue procedure based on gradient reversed-phase LC/tandem mass spectrometry (LC/MS/MS) was used for the detection of PbTx-2 in fish tissue. The detection limit in fish flesh was at least 0.2 ng/g (Lewis et al., 1999).
5.2.4 In general
The brevetoxins are a multi-component family of toxins. In addition to 10 brevetoxins, four metabolites have been identified, occurring in cockles and greenshell mussels in the New Zealand case. Whereas these metabolites are not ichthyotoxic, they exhibit also a potency to activate Na channels. Depending on the type of analytical method employed, they therefore may have a significant effect on the results of analytical measurements and thus on the comparability of the various analytical methods. In whelks and clams from a contaminated area in Florida, USA, the presence of metabolites was also demonstrated (Poli et al., 2000). In this study indeed a different sensitivity to metabolites between the RIA assay and the receptor binding assay was seen. Dickey et al. (1999) reported that the neuroblastoma cytotoxicity assay appears to overestimate the composite toxicity due to increased sensitivity to brevetoxin metabolites as compared to the mouse bioassay. Furthermore, the extraction solvents used in the different assay methods could have affected the test results probably due to a higher polarity of the brevetoxin metabolites than that of the parent toxin (Personal communication S. Hall). For example Dickey et al. (1999) showed that, in a cytotoxicity assay (in mouse neuroblastoma cells), a 2.5-fold and 4-fold greater PbTx-3 equivalent toxicity was yielded with methanol and acetone extracted samples, respectively, than with diethylether extracted samples. The discrepancy in estimates of PbTx-3 equivalent toxicity and the moderate correlation of different assays appear to result in part from: a) the presence and temporal distribution of metabolites in shellfish; b) the efficiencies of the different extraction solvents; and c) the different sensitivity of the assay systems to the brevetoxin metabolites. All in all, this may have important implications for seafood safety and regulation because the active metabolites are likely to be the true cause of NSP (Poli et al., 2000).
Each of the methods of analysis that are used to determine brevetoxins suffers from certain disadvantages (see also Hannah et al., 1998):
The mouse bioassay, although still commonly used, is not specific and uses experimental animals.
The ELISA uses antibodies raised against PbTx-2 only, is not able to assay fish tissue and has only a limited sensitivity to shellfish tissue.
The neuroblastoma cell assay, although sensitive, suffers from interferences.
The receptor binding assay is rapid, sensitive and specific, but radiolabeled compounds are needed.
A sensitive and specific LC/MS method is available, detecting individual components, but the method requires very expensive equipment.
Furthermore reference materials (both calibrants and matrices) for the brevetoxins and their metabolites are chronically lacking.
5.3.1 Source organism(s)
The motile form of G. breve produces several neurotoxins, collectedly called brevetoxins (Viviani, 1992). Ten brevetoxins have been isolated and identified from field blooms and G. breve cultures (see Figure 5.1) (Benson et al., 1999). Four brevetoxin analogues (see Figures 5.2 and 5.3) isolated from contaminated shellfish only, and not from field blooms or G. breve cultures, were considered to be metabolites formed from the brevetoxins within the shellfish (Ishida et al., 1995; Morohashi et al., 1995, 1999; Murata et al., 1998). Besides the neurotoxic brevetoxins G. breve also produces, in a lesser amount than the brevetoxins, hemolytic toxins. Massive fish kills seen during Florida red tides are mainly due to exposure to neurotoxic brevetoxins with a possible contribution of the hemolytic fraction. The G. breve organism is relatively fragile and is readily broken down in wave action along beaches releasing the toxins. During an active in-shore red tide, the aerosol of contaminated salt spray will contain the toxins and organism fragments both in the droplets and attached to salt particles and can be carried in land depending on wind and other environmental conditions (Fleming and Baden, 1999).
Furthermore, brevetoxin-like toxins were produced by four algal species belonging to the class Raphidophyceae (raphidophytes). Three neurotoxic compounds were isolated from Chattonella antiqua cultures, namely CaTx-I, CaTx-II and CaTx-III, which appeared to correspond to brevetoxins PbTx-2, PbTx-3 and oxidized PbTx-2 (same Rf values at thin layer chromatography and same retention times in HPLC). The quantity of each toxin fluctuated according to the age and growth stage of the culture.
Five neurotoxic components were tentatively identified from cultures of the red-tide producing species Fibrocapsa japonica, namely FjTx-I, FjTx-II, FjTx-IIIa, FjTx-IIIb and FjTx-IV. These neurotoxic components corresponded with PbTx-1, PbTx-2, PbTx-9, PbTx-3 and oxidized PbTx-2, respectively. The quantity of each component also fluctuated with the age and growth stage of the culture.
In 1995 an unusual large-scale red tide of Heterosigma akashiwo occurred in Kagoshima Bay, Japan causing massive fish kills. Four neurotoxic components, HaTx-I, HaTx-IIa, HaTx-IIb and HaTx-III corresponding to PbTx-2, PbTx-9, PbTx-3 and oxidized PbTx-2, respectively, were isolated. Four neurotoxic components were isolated from Chattonella marina and were identified to be PbTx-2, PbTx-3, PbTx-9 and oxidized PbTx-2 (Van Apeldoorn et al., 2001).
5.3.2 Predisposing conditions for growth
G. breve blooms on the west coast of Florida occur from summer to winter, and most frequently in the autumn. Changes in bloom occurrence correlate with wind and sea surface temperature. Blooms typically were initiated offshore in the summer when the winds are weakest. However, they appear and continue at the coast during the autumn, a period of strong easterly (offshore) winds (Stumpf et al., 1998).
G. breve blooms may also be transported inshore by currents. G. breve blooms consume low levels of nutrients. In coastal bays, the blooms may last longer if provided with additional nutrients from human-made sources. It was once believed that G. breve stayed almost exclusively in the Gulf of Mexico from Yucatan to the Texas coast (sightings have also occurred in Alabama, Mississippi, and Louisiana waters). Researchers have delineated a gigantic dead zone of low-oxygen waters in the Gulf of Mexico at depths of 0.5 to 20 m. After the Great Mississippi Flood of 1993, which poured huge amounts of agricultural nutrients from Midwest farms into the Gulf, the size of the dead zone doubled from 3 500 square miles to 7 000 square miles. In recent years, transport of the dinoflagellate from the Gulf has documented. In 1987 and 1988, the Gulf Stream carried G. breve to the east coast of Florida and pushed it farther north to North Carolina. In January 1998, G. breve was again transported from the Gulf of Mexico to Palm Beach County on Floridas east coast (Tibbetts, 1998).
C. marina belonging to the raphidophytes and reported to produce brevetoxins also, occurred in brackish coastal areas rich in organic material (Hallegraeff and Hara, 1995). Optimal growth was seen at temperatures of 20 to 25 °C, salinities of 20-30 , light intensities of 60 to 140 mE m-2 s-1 and at pH 7.5 to 8.5. Growth did not occur at temperatures below 15 °C or above 30 °C, and at salinities below 10 (Van Apeldoorn et al., 2001).
H. akashiwo, also belonging to the raphidophytes and producing brevetoxin-like toxins, was found in coastal and brackish water in the Pacific and Atlantic (Hallegraeff and Hara, 1995). H. akashiwo blooms require metals, such as iron and manganese, in addition to nitrogen, phosphorus and vitamin B12. Runoff, formation of bottom water having low oxygen content, and wind-induced turbulence of bottom sediments supplied these nutritive substances.
H. akashiwo has a high growth potential (up to five divisions per day) causing the production of red tides in a short period. Raphidophytes occurred in Japanese coastal waters where about 16 °C is the minimum water temperature. In 1991, for the first time, raphidophytes, namely C. antiqua, C. marina and F. japonica, were also found in Dutch coastal waters, where, except in summer, the temperature is well below the temperature of Japanese coastal waters. During warm periods, the same conditions prevail in the Dutch Wadden Sea and the estuarine south of the river Rhine as in Japan. Species adapted to the cooler environment of the North Sea may be present. Optimal growth of raphidophytes occurred in Japan at salinities varying from 11 to 20 which is the same range as measured in the Dutch Wadden Sea and the estuary south of the river Rhine. The small bloom of Chattonella in May 1993 in the south of the central North Sea at salinity 25 to 28 was therefore not expected. Even cysts of raphidophytes may be present in Dutch coastal waters. Investigations revealed that encystment took place frequently whenever environmental conditions are unfavourable for normal growth. Encystment-stimulating factors such as nutrient depletion, the presence of solid surfaces for cyst adhesion and low light intensities occasionally occur in Dutch coastal waters (Van Apeldoorn et al., 2001).
C. marina and C. antiqua have a diplontic life cycle in which smaller pre-encystment cells were observed besides cysts. However, these cells and cysts are not known from Dutch coastal waters possibly for lack of an adequate sampling scheme. C. antiqua grew maximally at 25 °C, at salinities between 25 and 41 and under light intensities above 0.04 ly min-1 (1 ly=700W). At the pH range tested (7.6 to 8.3) no significant effects on growth of C. antiqua were seen and maximal growth was observed.
Temperature and salinity affected also the shape and motility of C. antiqua cells. Light intensity did not influence morphology at the range of intensities tested (20-180 mE/m2/s) whereas good motility was seen at 60-180 mE/m2/s. Growth of C. antiqua was supported by nitrate and ammonium, and by urea to a limited extent, but not by glycine, alanine and glutamate. Orthophosphate served as a good P source but not glycerophosphate. Fe3+ promoted growth as did vitamin B12. Glucose, acetate and glycolate did not improve growth in the light nor in the dark (Van Apeldoorn et al., 2001).
5.3.3 Habitat
G. breve occurs regularly in the Gulf of Mexico but G. breve or G. breve-like species have also been reported from the West Atlantic, Spain, Portugal, Greece, Japan and New Zealand. It is uncertain whether the G. breve-like species occurring outside the Gulf of Mexico and the Western Atlantic region should be assigned to G. breve or if represent different, closely related species (Smith et al., 1993; Taylor, et al., 1995). An atoxic form of G. breve was found in Inland Sea, Japan (Viviani, 1992).
In New Zealand G. breve was identified in 1993 in waters off the North Auckland coast following the NSP incident at Orewa and in the Bay of Plenty. G. breve was also present in the Coromandel region (cell counts up to 70 000 per litre) and in Bream Bay (cell counts up to 100 000 per litre) in January 1993. Cell counts declined during February and March to less than 300 cells per litre in April in Coromandel (Smith et al., 1993).
In the summer of 1995 to 1996, a severe aerosol toxin problem was reported in South Africa viz. in False Bay, which later spread to the coastal resort of Hermanus in Walker Bay. The aerosol toxin was linked to a bloom of a toxic dinoflagellate species Gymnodinium, first recorded in False Bay in 1988. Despite the species having bloomed on several occasions since then, the noxious effects in humans were never before as evident as in 1995-96. Faunal mortalities were however small, with the exception of larval mortalities experienced by several land-based abalone farmers in the Walker Bay area. Along the South African coast, the dinoflagellate Gymnodinium nagakiense is usually implicated in NSP. Most outbreaks have been reported from False Bay, where they are responsible for the olive-green discolouration of the seawater during autumn (Van der Vyver, 2000).
The presence of Heterosigma akashiwo, and Fibrocapsa japonica in coastal waters of Tampa and Florida Bays in Florida was demonstrated in 1986-87. In addition, Chattonella species (subsalsa and marina) were reported to be present in 1990. All these species are known to produce brevetoxin-like toxins. The presence of these species in Florida waters extended their distribution to warm temperate regions at lower salinities (<32) and higher temperatures (>28 °C) than previously reported (Van Apeldoorn et al., 2001).
In the Peter the Great Bay (Sea of Japan, the Russian Federation) massive blooms of Heterosigma akashiwo and Chattonella sp. were recorded in May-September 1995-1996 (Orlova et al., 1998). In Japan, Fibrocapsa japonica formed heavy red-tides in the coastal areas of Ehime Prefecture in 1972 and this raphidophyte was later reported from Atsumi Bay, the Seto Inland Sea and Harima Nada. F. japonica has also been reported from the Dutch part of the North Sea and from New Zealand, at the east and west coasts of the North Island and east coast of the South Island (Van Apeldoorn et al., 2001). In addition, Hallegraeff and Hara (1995) reported that F. japonica occurred in coastal waters of Australia, California, North America and France.
Off the coast in the Hauraki Gulf in New Zealand F. japonica and the fish killing Heterosigma akashiwo appeared to dominate red blooms which were reported during October and November 1992. F. japonica persisted in low numbers in the Hauraki Gulf and Bay of Plenty through to mid January 1993 (Smith et al., 1993).
Red tides of H. akashiwo occurred in temperate and subtropical embayments in Japan, the Republic of Korea, Singapore, Canada, New Zealand, England, eastern and western areas of North America and Bermuda (Van Apeldoorn et al., 2001). According to Hallegraeff and Hara (1995) H. akashiwo is a problem organism for finfish aquaculture in British Columbia, Chile, New Zealand and possibly Singapore.
Heavy red tides formed by Chattonella antiqua were reported from the coastal regions of Japan (Khan et al., 1996). Also in Southeast Asia, C. antiqua caused massive fish kills (Hallegraeff and Hara, 1995).
In Boston Bay, Southern Australia high levels of brevetoxins were found in the livers of farmed bluefin tuna fish (Thunnus maccoyii) sampled at different times, at a mortality episode. Chattonella marina was found in the water column (Munday and Hallegraeff, 1998). According to Hallegraeff and Hara (1995) C. marina occurred in brackish coastal areas from India, Australia and Japan, which were rich in organic material. Several extensive blooms caused by potentially toxic Chattonella spp. cells occurred from the German Bight to the almost north Skagen between late March and first half of May 1998, 2000 and 2001 (Douding and Göbel, 2001)
5.4.1 Uptake and elimination of NSP toxins in aquatic organisms
There are little quantitative data on rates of accumulation and depuration of brevetoxins in bivalves. Oysters accumulate the toxins in less than four hours in the presence of 5 000 cells/ml and depurate (60 percent) the accumulated toxins in 36 hours. Potency of depuration is species-specific and highly variable, even under controlled laboratory conditions (Viviani, 1992).
Crassostrea virginica depurated brevetoxins two to eight weeks after a bloom. Biotransformation is species-specific and may lead to more potent derivatives. When Gulf toad fish (Opsanus beta) received orally 14C- PbTx-3 in fishmeal slurry, 72 hours later the hepatobiliary system contained 40 percent of body burden confirming the key role of this system in detoxification and elimination of brevetoxin. Muscle tissue contained 27 percent of body burden, followed by gastrointestinal tract with 25 percent. When Gulf toad fish (Opsanus beta) received intravenously (via an implanted indwelling cannula in caudal vein) 0.5 mg 3H-labelled PbTx-3/kg bw, radioactivity in blood declined rapidly with a T1/2 of 29 minutes. Toxicokinetics were best described by a three compartment open model with the central compartment representing blood. Distribution to tissues was rapid. One hour after dosing radioactivity was detected in all tissues examined with highest proportions in muscle, intestine and liver (40.2, 18.5 and 12.4 percent of body burden). Through 96 hours radioactivity in liver remained constant (7.8 percent), while levels in bile, kidney and skin increased (34.5, 13.8 and 6.7 percent, respectively) and levels in all other tissues decreased, particularly in muscle (15.9 percent). Approximately 24 percent of the administered radioactivity had been excreted into the gall bladder by 96 hours. Extraction of the bile revealed both aqueous-soluble and organic-soluble metabolites of PbTx-3 (>94 percent of radioactivity in bile). No metabolites have been identified (Van Apeldoorn et al., 2001)
Immature red fish (Scianops ocellatus) receiving orally 1.5 or 2.5 mg PbTx-3/100 g bw in a fishmeal slurry by gavage showed significantly increased activity of the hepatic P450 enzyme ethoxyresorufin O-deethylase (EROD) at the high dose. The activities of the hepatic P450 enzyme pentoxyresorufin O-depentylase (PROD) and the cytosolic enzyme, glutathione S-transferase (GST) were not affected. Total cytochrome P450 was not higher in treated fish. (Van Apeldoorn et al., 2001)
In the striped bass (Morone saxatilis) the effects of PbTx-2 on xenobiotic metabolizing enzymes and the possible identification of potential biomarkers of exposure were examined. Seven striped bass were exposed orally by gavage for four days to a 0.5 g/100 g body weight of a toxin laden slurry (~50 mg/100 g bw). A negative control group received control slurry and a positive control group received intraperitoneally b-naphthoflavone (5 mg/100 g bw). Hepatic microsomal and cytosolic fractions were assayed for EROD, UDP glucuronosyl transferase, microsomal epoxide hydrolase, and four isozymes of glutathione-S-transferase (GST). No significant effect on body weight was seen in PbTx-2 treated fish. In PbTx-2 treated fish a larger hepatosomatic index was seen and both microsomal and cytosolic proteins in the liver were significantly lower. PbTx-2 caused a three fold increase in EROD activity whereas b-naphthoflavone caused a 30-fold increase. PbTx-2 caused a 35 and 50 percent increase in the activity of two gluthathione S-transferase (GST) isozymes. These increases seen in GST isozymes make them potentially useful biomarkers. PbTx-3 induced cytochrome P-450IA, a key Phase I enzyme, and glutathione S-transferase, an important Phase II enzyme. Possible pathways of metabolism include epoxidation at the H-ring double bond, hydrolysis of the epoxide to form the hydrodiol, cleavage of the A-ring lactone, and formation of glutathione conjugates either at the alcohol functionality of PbTx-3 or at Phase I metabolites (Van Apeldoorn et al., 2001).
5.4.2 Shellfish containing NSP toxins
Major seafood containing brevetoxins is shellfish (Viviani, 1992). Several species (such as oysters, clams and mussels) have been reported to accumulate brevetoxins. While fish, birds and mammals are all susceptible to brevetoxins, oysters, clams and mussels are not susceptible to these toxins and may appear perfectly healthy (Fleming and Baden, 1999).
PbTx-2 and PbTx-3 were detected in the oyster Crassostrea gigas in New Zealand (Ishida et al., 1996). Four brevetoxin analogues were detected (see Figures 5.2a and 5.2b) viz. BTX-B1 in cockles (Austrovenus stutchburyi) (Ishida et al., 1995) and BTX-B2, BTX-B3 and BTX-B4 in greenshell mussels (Perna canaliculus) (Morohashi et al., 1995, 1999; Murata et al., 1998). These analogues were found only in contaminated shellfish and not in G. breve field blooms or G. breve cultures and therefore were considered as brevetoxin metabolites formed by the shellfish itself (Morohashi et al., 1999). This shellfish from New Zealand was derived from NSP incidents. BTX-B1, BTX-B2 and BTX-B4 did not show ichthyotoxicity but they retained their potency to activate Na channels (Ishida et al., 1995; Murata et al., 1998; Morohashi et al., 1999). BTX-B3 did not kill mice at intraperitoneal injection of 300 mg/kg bw (Morohashi et al., 1995). No data on the ichthyotoxicity of BTX-B3 are available.
Whelks (Busycon contrarium) and clams (Chione cancellata and Mercenaria spp.) collected from Sarasota Bay, Florida (an area in which NSP occurred in three people in 1996) were analysed for brevetoxins by a radioimmunoassay and a receptor binding assay. Activity consistent with brevetoxins was seen in the shellfish samples. HPLC analysis of the shellfish extracts demonstrated the presence of PbTx-2 and PbTx-3 as well as the presence of conjugated metabolites of PbTxs. The structure of these metabolites was not yet determined (Poli et al., 2000).
5.4.3 Other aquatic organisms containing NSP toxins
Brevetoxins from G. breve were traced under laboratory conditions, through experimental food chains from the dinoflagellate, through copepod grazers, to juvenile fish. Three different combinations of copepods and species of juvenile fish were used:
a) the copepod Temora turbinata and the spotted majarra, Euchinostomus argenteus, and the striped killifish, Fundulus majalis.
b) the copepod Labidocera aestiva and the pinfish, Lagodon rhomboides
c) the copepod Acartia tonsa and the spot, Leiostomus xanthurus
None of the four fish species died after eating copepods fed on G. breve.
In the experiment under (a) brevetoxins (PbTx-2 and -3) in the fish were detected only when copepods were fed on cultures with 600x103 G. breve cells/L. With cultures of 8x103 and 20x103 cells/L no toxin was found in the fish. Roughly a 10 percent transfer from copepods to fish (viscera) over a two hours digestion time was found. Also in experiments under (b) transfer of the brevetoxins from copepod to fish (viscera) was observed within two hours (after 40-50 minutes of feeding with copepods). Toxin level in viscera decreased up to eight hours; no toxin was detected in fish muscle tissue. Under (c) again toxin in the fish was detected. Highest toxin level in fish viscera was measured after two hours, while after two to six hours to 25 hours toxin transferred to fish muscle (Tester et al., 2000).
Brevetoxins have been quantitatively detected in Muir birds from the coast of California, in some tuna samples from Australia and in menhaden and mullet from the coast of Florida (Bossart et al., 1998; Quilliam, 1999).
5.5.1 Mechanism of action
Brevetoxins are depolarizing substances that open voltage gated sodium (Na+) ion channels in cell walls. This alters the membrane properties of excitable cell types in ways that enhance the inward flow of Na+ ions into the cell; this current can be blocked by external application of tetrodotoxin (Fleming and Baden, 1999). The brevetoxins act on binding site 5 in a 1:1 stoichiometry (Rein et al., 1994). The toxin appears to produce its sensory symptoms by transforming fast sodium channels into slower ones, resulting in persistent activation and repetitive firing (Watters, 1995).
Conformational analysis revealed that the unsaturated H-ring of brevetoxin B (see Figure 5.1) favours the boat-chair conformation as does the saturated G-ring of brevetoxin A (see Figure 5.1). Upon reduction, the H-ring of brevetoxin B shifts to a crown conformation. This subtle change in conformational preference induces a significant change in the gross shape of the molecule, which is believed to be responsible for the loss of binding affinity and toxicity (Rein et al., 1994).
Respiratory problems associated with the inhalation of aerosolized brevetoxins are believed to be due in part to opening of sodium channels. In sheep, bronchospasm could be blocked by atropine. In addition, there appears to be a role for mast cells; in sheep the bronchospasm could be effectively blocked by cromolyn and chlorpheniramine. It was reported that brevetoxin could combine with a separate site on the gates of the sodium channel, causing the release of neurotransmitters from autonomic nerve endings. In particular, this can release acetylcholine, leading to smooth tracheal contraction, as well as massive mast cell degranulation (Fleming and Baden, 1999).
Since brevetoxins are also enzymatic inhibitors of the lysosomal proteinases known as cathepsins found in phagocytic cells such as the macrophages and lymphocytes, it is also possible that acute and chronic immunologic effects (including the release of inflammatory mediators that culminate in fatal toxic shock) may be associated with exposure to aerosolized brevetoxins, especially with chronic exposure and/or susceptible populations (Bossart et al., 1998) although Fleming and Baden (1999) doubt on the cathepsin mechanism.
5.5.2 Pharmacokinetics
studies in laboratory animals
oral administration
Male F344 rats received a single oral dose of 3H-labeled PbTx-3 and were killed after six, 12, 24, 48, 96 or 192 hours. Tissues were collected and analysed for radioactivity. Another group of animals received a bolus dose of 3H-PbTx-3 orally and urine and faeces were collected at 24 hour intervals for a period of seven days. PbTx-3 distributed widely to all organs and concentrations decreased gradually with time. Highest PbTx-3 level was found in the liver at all sampling times. Based also on the intravenous studies below, it can be concluded that the liver received PbTx-3 from the portal as well as the hepatic circulation and so continued to accumulate PbTx-3. Seven days after receipt of the oral bolus dose approximately 80 percent of the dose was excreted via urine and faeces, with equivalent amounts in each. However, during the first 48 hours, more PbTx-3 was cleared through the faeces, whereas afterwards, most toxin was cleared through urine (Cattet and Geraci, 1993).
intravenous administration
Intravenous studies in male Sprague-Dawley rats with 3H-labeled PbTx-3 showed a rapid clearance of PbTx-3 from bloodstream (less than 10 percent remained after one minute) and distribution to the liver (18 percent of the dose after 30 minutes), skeletal muscle (70 percent of the dose after 30 minutes) and gastrointestinal tract (8 percent of the dose after 30 minutes) (T½ distribution phase approx. 30 seconds). Heart, kidneys, testes, brain, lungs and spleen each contained less than 1.5 percent of the dose. By 24 hours radioactivity in skeletal muscle decreased to 20 percent of the dose while radioactivity in liver remained constant and radioactivity in stomach, intestines and faeces increased suggesting biliary excretion as an important route of elimination. By day six, 14.4 percent of radioactivity had been excreted in urine and 75.1 percent in faeces, with 9.0 percent remaining in carcass. Thin layer chromatography of urine and faeces indicated biotransformation to several more polar compounds.
Studies with isolated perfused livers and isolated hepatocytes confirmed the liver as site of metabolism and biliary excretion as an important route of toxin elimination. PbTx-3 was excreted into bile as parent toxin plus four more-polar metabolites, one of which appeared to be an epoxide derivative. Whether this compound corresponds to PbTx-6, to the corresponding epoxide of PbTx-3 or to another structure is unknown (Van Apeldoorn et al., 2001).
dermal application
The in vitro percutaneous penetration of 3H-labeled PbTx-3 in human and guinea pig skin was examined and the effects of three vehicles (water, methanol and dimethylsulfoxide=DMSO) were compared. Epidermal surfaces with PbTx-3 in water were occluded for the entire duration (48 hours) of the experiment in order to reduce evaporation. Epidermal surfaces with PbTx-3 in methanol or DMSO were exposed to ambient conditions (incubation of diffusion cells at 36 °C). Total penetration through the isolated human skin was 0.43, 0.14 and 1.53 percent of the dose with water, methanol and DMSO as vehicle, respectively. Total penetration through guinea pig skin was 1.5, 3.4 and 10.1 percent of the dose with water, methanol and DMSO as vehicle, respectively. Penetration through guinea pig skin was significantly faster than through human skin with methanol and DMSO as vehicles. Analysis of the receptor fluid indicated that more than 80 percent of radioactivity was associated with unchanged PbTx-3 (Kemppainen et al., 1989).
Dermal penetration and distribution of 3H-labeled PbTx-3 into pig skin (0.3-0.4 mg/cm2 of skin) was studied in in vivo and in vitro studies. DMSO was used as vehicle. In the in vivo studies the application site was covered with a non-occlusive protective patch. In the in vitro studies the epidermal surfaces were exposed to ambient air (22 °C). In vivo studies revealed a mean cutaneous absorption of 11.5 percent of the administered dose during 48 hours of topical application (calculated by dividing percentage of dose excreted following topical administration by percentage of dose excreted following subcutaneous administration and multiplying by 100). In in vitro studies mean cutaneous absorption during 48 hours after application was 1.6 percent (based on accumulation of radioactivity in receptor fluid) or 9.9 percent (based on receptor fluid and dermis). Penetration through the epidermis into the dermis was rapid; maximal dermal accumulation was seen at four hours (9.1 percent in vivo and 18 percent in vitro). At 24 hours the amount in the dermis decreased to 2.3 and 15 percent in vivo and in vitro, respectively. In the in vitro study, more than 95 percent of radioactivity in the receptor fluid was unchanged PbTx-3 (Kemppainen et al., 1991).
intratracheal instillation
Because a major route of human exposure to brevetoxins is via the respiratory tract, an intratracheal study in rats with PbTx-3 was performed to study the toxicokinetics of this brevetoxin.
3H-Labeled PbTx-3 was administered to male F344 rats by intratracheal instillation. The animals were killed at 0.5, 3, 6, 24, 48 or 96 hours after exposure and urine, faeces and tissues were collected. Over 80 percent of the dose was cleared rapidly (within 0.5 hour) from the lung and distributed throughout the body, chiefly to the carcass (skeletal muscle) (49 percent), intestines (32 percent) and liver (8 percent); only 6 percent was found in the lung after 0.5 hour. Blood, brain and fat contained the lowest levels. About 20 percent of the initial level in tissues was retained for seven days. The majority of PbTx-3 was excreted within 48 hours in faeces and urine with approximately twice as much in faeces (60 percent) as in urine (30 percent). The identity of metabolites has not been determined. The results of this study suggested that the potential health effects associated with inhaled brevetoxins might extend beyond the transient respiratory irritation seen in humans exposed to sea-spray during red tides (Benson et al., 1999).
5.5.3 Toxicity to laboratory animals
acute toxicity
Table 5.1 Acute toxicity of brevetoxins in Swiss mice
|
brevetoxins |
route |
observation time (hours) |
LD50 value mg/kg bw |
vehicle |
reference |
|
PbTx-1 |
intraperitoneal |
24 |
> 100 |
0.9% saline + 0.1% Tween 60 |
Dechraoui et al., 1999 |
|
PbTx-3 |
oral (females) |
24 |
520 |
0.9% saline |
Baden and Mende, 1982 |
|
PbTx-3 |
intraperitoneal (females) |
24 |
170 |
0.9% saline |
Baden and Mende, 1982 |
|
PbTx-3 |
intravenous (females) |
24 |
94 |
0.9% saline |
Baden and Mende, 1982 |
|
PbTx- |
oral (females) |
24 |
6 600 |
0.9% saline |
Baden and Mende, 1982 |
|
PbTx-2 |
intraperitoneal (females) |
24 |
200 |
0.9% saline |
Baden and Mende, 1982 |
|
PbTx-2 |
intravenous (females) |
24 |
200 |
0.9% saline |
Baden and Mende, 1982 |
Table 5.2 Acute intraperitoneal toxicity of brevetoxin analogues in mice
|
brevetoxin analogues |
route |
survival time |
minimum lethal dose mg/kg bw |
vehicle |
reference |
|
BTX-B1 |
intraperitoneal |
< 2 hours |
50 |
methanol |
Ishida et al., 1995; 1996 |
|
BTX-B2 |
intraperitoneal |
< 1 hour |
306 |
water |
Morohashi et al., 1999; Murata et al., 1998 |
|
BTX-B3 |
intraperitoneal |
no deaths within 24 hours |
>300 |
unknown |
Morohashi et al., 1995 |
|
BTX-B4 |
intraperitoneal |
6-24 hours |
100 |
1% Tween 60 |
Morohashi et al., 1999 |
symptoms of poisoning
Brevetoxins produce a variety of centrally and peripherally mediated effects in vivo; these include a rapid reduction in respiratory rate, cardiac conduction disturbances, and a reduction in core and peripheral body temperatures (Van Apeldoorn et al., 2001).
In orally dosed mice, PbTx-3 caused tremors, followed by marked muscular contractions or fasciculations, Straub tail phenomenon, a period of laboured breathing and death. Mice injected with PbTx-3 exhibited the SLUD syndrome i.e. salivation, lacrimation, urination and defecation. Hypersalivation was the most pronounced symptom, while copious urination and defecation were also common. Compulsory chewing motions and rhinorrhea were occasionally present at higher dosages. Intravenous dosing to mice produced immediate effects whereas intraperitoneal and oral dosing caused latent (30 minutes and 5 hours, respectively) responses. The two-fold more potency of PbTx-3 after intravenous dosing compared to intraperitoneal dosing pointed to partial detoxification or excretion in the bile during the first passage to the liver (Baden and Mende, 1982). In rats, gasping-like respiratory movements, head-bobbing, depression, ataxia, and, in some animals, the development of a head tilt were observed (Van Apeldoorn et al., 2001).
Brevetoxin analogues BTX-B2 and BTX-B4 caused paralysis of hind limbs, diarrhoea, dyspnea and convulsion after intraperitoneal injection in mice (Morohashi et al., 1999) and BTX-B1 irritability, hind and/or hind-quarter paralysis, severe dyspnea and convulsions prior to death due to respiratory paralysis (Ishida et al., 1995; 1996).
antidotes
In a prophylactic study conscious tethered (catheters in
carotid artery and jugular vein) male rats were pre-treated with 1 ml of
anti-brevetoxin IgG (PbAb) or control IgG by a 10 minutes intravenous infusion.
Twenty minutes thereafter the rats were infused with PbTx-2 (25 mg/kg bw = sublethal dose) over one hour. Rats
pre-treated with control IgG showed signs of brevetoxin toxicity. These signs
were absent in rats pre-treated with PbAb. In a therapy study rats were infused
over 1 hour with 100 mg/kg bw PbTx-2
(=LD95) followed immediately by
2 ml of either PbAb or control IgG
infusion over 30 minutes. During PbTx-2 infusion, both groups showed signs of
brevetoxin intoxication. Rats treated with control IgG died within six hours. In
rats treated with PbAb, respiratory rates began to return toward baseline almost
immediately and fewer neurological signs were seen. After 24 hours, nearly all
neurological signs had disappeared and both core and peripheral temperatures had
returned to normal. All animals treated with PbAb survived at least eight days.
There was a time differential between two groups of signs, suggesting high and
low accessibility compartments for the antibody representing probably central
and peripherous nervous system (Van Apeldoorn et al., 2001).
intravenous dosing
The intravenous LD50 in mice of the hemagglutinative fraction separated from red tides of Chattonella marina, appeared to be 2-4 mg/kg bw. The mice showed respiratory paralysis (Van Apeldoorn et al., 2001).
Groups of four male rats received after surgical preparation and a 24 hour recovery, an intravenous infusion during one hour with vehicle only or with 12.5, 25, 50 or 100 mg PbTx-2/kg bw and were monitored for six hours or until death. All animals at the 100 mg/kg bw dose level died within two hours. One out of four animals at 50 mg/kg bw died during the six hours study; the remainder of the animals survived. Within 90 minutes the respiratory rates at 12.5 mg/kg bw fell to near 60 percent of baseline value and at 25, 50 and 100 mg/kg bw to 20 percent of baseline value. Recovery to normal respiratory rates occurred six hours after exposure except in the 50 mg/kg bw group which recovered to only 60 percent of baseline value. During the first two hours, dose-dependent decreases in core body temperature occurred in all treated groups and a significant decrease in peripheral body temperature was seen in all but the 12.5 mg/kg bw group. An average decrease in peripheral body temperature of 0.5 °C was seen in the 12.5 mg/kg bw group. Blood gas values remained normal, except terminally. Electrocardiography showed at doses ³25 mg/kg bw heart block, premature ventricular contractions and idioventricular rhythms (Van Apeldoorn et al., 2001).
Catheterized male Hartley guinea pigs received an intravenous infusion with PbTx-3 at a rate of 0.63 mg/kg/min until death of the animal. The mean time until respiratory failure was 25 minutes. The mean dose of PbTx-3 at that time was 15.8 mg/kg. PbTx-3 caused lactic acidosis of unknown etiology which began early in the infusion period and was compensated for by increased minute volume. Airways resistance was not increased, nor was dynamic compliance decreased during intoxication, suggesting that neither central airways (upper airways, trachea and second-third generation airways) nor peripheral airways responded significantly (Van Apeldoorn et al., 2001).
intraperitoneal dosing
Intraperitoneal injection of the hemagglutinative fraction separated from red tides of Chattonella marina, in mice at a dose of 2.5 mg did not cause any abnormal sign (Van Apeldoorn et al., 2001).
repeated dose toxicity
No data
teratogenicity/reproduction
No data
mutagenicity
No data
in vitro studies with brevetoxins
The effects of PbTx-3 on various parameters of hepatic metabolism were evaluated in mouse liver slices. PbTx-3 inhibited oxygen consumption and increased Na+ content and presumably intracellular Na+ concentration of liver slices. PbTx-3 also activated a pathway that mediated K+ efflux. No effect of PbTx-3 on the Na+-K+ pump activity was observed. The effect of PbTx-3 on liver slices Na+ content was abolished by the sodium channel blocker tetrodotoxin. Tetrodotoxin also antagonized the inhibition of oxygen consumption. The effect of PbTx-3 on K+ movements was not affected by tetrodotoxin, suggesting that two distinct ion channels or pathways were activated by PbTx-3. The results of this study suggest that PbTx-3 can induce effects in the liver that appear to be similar to those observed in nerve and muscle membranes (Van Apeldoorn et al., 2001).
The effects of PbTx-3 on hepatic cell structure were studied also in mouse liver slices. Light microscopy revealed hypertrophy and increased vacuolation of hepatocytes, and an increase in basophilia in the perivenous area of the lobules. Ultra-structurally, the vacuolation was related to swelling of the rough endoplasmic reticulum with water and/or protein retention without accumulation of fat droplets. Accumulation of proteins and/or degranulated ribosomes accounts for the increased basophilic reaction of the cells, especially in the perivenous area, an area where lipids are normally processed. Swelling in smooth endoplasmic reticulum, degranulation of rough endoplasmic reticulum, the deformities and lytic cristae in the mitochondria, and the presence of active lysosomes are evidence of the effects of PbTx-3 upon liver cells (Van Apeldoorn et al., 2001).
Positive inotropic and arrhythmogenic effects on isolated rat and guinea pig cardiac preparations were seen at concentrations between 1.25 x 10-8 and 1.87 x 10-7 M PbTx-2. The studies suggested that PbTx-2 is a potent cardiotoxin and exerted its effects by increasing sarcolemnal sodium permeability, and by releasing catecholamines from sympathetic nerve endings (Van Apeldoorn et al., 2001).
Crude preparations of brevetoxin produce airway contraction; however, it was unknown if this mechanical response was coupled to changes in airway smooth muscle membrane potential, either to direct action on the airway smooth muscle cell membrane or indirectly via the release of endogenous acetylcholine at peripheral nerve terminals. Therefore membrane potentials and contractility of in vitro canine trachealis smooth muscle preparations were measured before and during exposure to either the crude toxin (0.01-1.2 mg/ml), or the purified fractions PbTx-2 and PbTx-3 (0.01-0.07 mg/ml). Membrane potentials in cultured airway smooth muscle cells were similarly studied. The crude fraction of brevetoxins produced concentration-dependent depolarizations in airway smooth muscle preparations in vitro as did the purified fractions PbTx-2 and PbTx-3 however with an approximately 10-fold higher potency than the crude brevetoxins. In all cases, depolarizations stabilised within four minutes. There was no significant difference in concentration-response relationship between PbTx-2 and PbTx-3. The effects of crude and purified toxins were fully reversed within 30 minutes of their washout from tissue bath. The results of this study suggested that brevetoxins did not produce direct depolarizing effects on airway smooth muscle cells, as brevetoxins were without any significant effect in in vitro preparations treated with tetrodotoxin, or in cultured cell preparations. Brevetoxin induced bronchoconstriction is probably due to the depolarizing effect of endogenous acetylcholine, which is released from peripheral nerve terminals, on the airway smooth muscle cell (Van Apeldoorn et al., 2001).
5.5.4 Toxicity to humans
oral exposure
When brevetoxins are accumulated in shellfish, consumption of the raw or cooked shellfish can cause NSP, a toxic syndrome somewhat similar to PSP and ciguatera intoxication but less severe. The symptoms of NSP occur within 30 minutes to three hours, last a few days and include nausea, vomiting, diarrhoea, chills, sweats, reversal of temperature, hypotension, arrhythmias, numbness, tingling, paresthesias of lips, face and extremities, cramps, bronchoconstriction, paralysis, seizures and coma. No mortality or chronic symptoms are reported (Cembella et al., 1995; Fleming et al., 1995; Tibbets, 1998). Treatment is primarily supportive (Fleming and Baden, 1999).
dermal exposure
Due to the relative fragility of the G. breve organism (G. breve is a naked organism having no outer shell of polysaccharide plates like other dinoflagellates) it is easily broken open in the rough surf releasing the toxins. During swimming direct contact with the toxic blooms may take place and eye and nasal membrane irritation can occur (Cembella et al., 1995; Fleming and Baden, 1999; Tibbets, 1998).
inhalation exposure
Due to the relative fragility of the G. breve organism, inhalation exposure to brevetoxins may also occur causing respiratory distress, as well as eye and nasal membrane irritation. (Cembella et al., 1995; Fleming and Baden, 1999; Tibbets, 1998).
G. breve toxins stimulate post-ganglionic cholinergic fibres which may result in respiratory irritation, conjunctival irritation, copious catarrhal exudates, rhinorrhea, non-productive cough, and bronchoconstriction when exposed to aerosolized surf or its red tides. Some people also report other symptoms such as dizziness, tunnel vision and skin rashes. In the normal population, the irritation and bronchoconstriction are rapidly reversible by leaving the beach area or entering an air conditioned area. However, asthmatics are apparently particularly susceptible. Furthermore, there are anecdotal reports of prolonged lung disease, especially in susceptible populations such as the elderly or those with chronic lung disease (Fleming and Baden, 1999; Watters, 1995). Furthermore PbTx is supposed to cause chronic immunosuppression, possibly mediated by interaction with an additional pharmacological target, cysteine cathepsins, present in immune cells and involved in antigen presentation (Van Dolah et al., 2001).
PtBx-3 was indicated to be the primary toxin responsible for respiratory discomfort in humans (Benson et al., 1999).
5.5.5 Toxicity to aquatic organisms
C. marina strongly inhibited the proliferation of marine bacteria, Vibrio alginolyticus, in a plankton/bacteria co-culture. The growth inhibition of bacteria caused by C. marina was related to the density and the metabolic potential of C. marina. Ruptured plankton showed no toxic effect on the bacteria. Furthermore, the toxic effect of C. marina on V. alginolyticus was completely suppressed by the addition of catalase and superoxide dismutase. In addition to these radical scavenging enzymes, a chemical scavenger, sodium benzoate, also had a protective effect. These results suggest that oxygen radicals are important in the toxic action of C. marina (Van Apeldoorn et al., 2001).
Incubation of the sea urchin (Lytechinus variegatus) and the sea trout (Cynoscion nebulosis) in the sea-surface microlayer collected off the Florida Keys, particularly when taken from slicked areas, affected early embryogenesis of both the invertebrate and the fish. Samples of underlying subsurface water elicited almost no adverse responses in cultured embryos. Results from a partial toxicity identification evaluation procedure indicated that an organic compound containing a non-polar functional group was the primary determinant of toxicity. While subsequent GC-MS failed to identify a specific compound, it did rule out common xenobiotics such as organochlorine pesticides, as potential toxicants. Preliminary tests indicated that two of the most toxic sea-surface microlayer samples contained a brevetoxin. However the identification of any toxic agent remains speculative without a complete toxicity identification evaluation (Van Apeldoorn et al., 2001).
According to Viviani (1992) fish usually start to die when G. breve counts reach the 250 000 cells/litre range. However, other authors report that fish kills will occur at counts of ³100 000 cells/litre (Landsberg and Steidinger, 1998).
Ichthyotoxic symptoms included violent twisting and corkscrew swimming, pectoral and caudal fin analysis progressing to a loss of equilibrium, and subsequent respiratory paralysis and death. These symptoms are believed to begin with the binding of PbTx-3 to specific receptor sites in fish excitable tissues (Van Apeldoorn et al., 2001).
Toxicity tests with five to six month old juvenile red sea bream (Pagrus major) were performed in 1-l cultures of Chattonella antiqua, Fibrocapsa japonica and Heterosigma akashiwo. In the early growth phase C. antiqua was hardly toxic to the red sea bream until cell density reached approximately 1.95x103 cells/ml. In low density cultures (on the second day) fish did not die but showed abnormal movements for about 30 to 45 minutes, recovered gradually and swam normally within a few hours. Beyond that point the increase in toxicity appeared to be a function of cell density. The highest toxicity per cell was seen during early to mid-log-arrhithmic growth phase. In the late logarithmic growth phase, there was a gradual decrease in toxicity. In the early logarithmic phase CaTx-II (~PbTx-3) content was 14 times higher than the PbTx-3 content in the logarithmic growth phase of C. marina cultures whereas the CaTx-III (~oxidized PbTx-2) content was only two times higher than the oxidized-PbTx-2 content in C. marina. As PbTx-3 is 10 times more ichthyotoxic than oxidized PbTx-2 C. antiqua appears to be much more ichthyotoxic than C. marina. No toxicity of F. japonica cultures to the red sea bream was detected until cell density reached 4.1x103 cells/ml. Ichthyotoxicity also appeared to vary with the growth phases and increased with age; it was highest on the eighth day. Thereafter toxicity began to decline to low levels as the cells entered the early stationary phase. In H. akashiwo cultures the red sea bream showed no abnormal behaviour at a cell density of 34 000 cells/ml but exhibited a violent paralysis, leading to death, when the cell density surpassed 120 000 cells/ml. When exposed to a red tide of H. akashiwo at a cell density of 30 000 cells/ml, the red sea bream showed a transient, but not fatal, paralysis. The red tide in Kagoshima Bay in Japan killed fish at a cell density >100 000 cells/ml (Van Apeldoorn et al., 2001).
Medaka fish (Oryzias latipes) eggs which were micro-injected (six to eight hours post-fertilization) with doses of 0.1-8.0 ng PbTx-1/egg, showed a dose-dependent inhibition of hatching (half maximal effect at about 3 ng/egg) and larval survival (half maximal effect at about 4.5 ng/egg). A dose-related increase in muscular activity (hyperkinesis) was seen after embryonic day four at doses from 0.1 to 0.9 ng/egg onwards. Upon hatching morphologic abnormalities were found at the following LOAELs: 1.0 to 3.0 ng/egg lateral curvature of spinal column, the severity of which was dose-related; 3.1 to 3.4 ng/egg herniation of brain and meninges through defects in the skull; and 3.4 to 4.0 ng/egg malpositioned eye and lack of a frontal skull. Hatching abnormalities (head-first instead of tail-first) were seen at doses ³2.0 ng/egg and doses ³4.1 ng/egg produced embryos which failed to hatch (Kimm-Brinson and Ramsdell, 2001).
H. akashiwo red tides caused damage to fish culture operations in Japan (yellow tail and red sea bream for the Seto Inland Sea), New Zealand, British Columbia and Chile (salmon) (Van Apeldoorn et al., 2001).
Several extensive blooms caused by potentially toxic Chattonella sp. cells occurred from the German Bight to the almost north Skagen between late March and first half of May 1998, 2000 and 2001 and caused fish killing (Douding and Göbel, 2001).
In April and May 1996, an estimated 1 700 tonnes of cultured bluefin tuna (Thunnus maccoyi) were killed in South Australia after a bloom of Chattonella marina (Van Apeldoorn et al., 2001).
Toxicity of PbTx-1, 2, 3, 6 and 9 for female mosquito fish (Gambusia affinis) was studied. The LC50 (24 hour) values were 2.57, 14.3, 15.8, 77.7 and 31.4 nM for PbTx-1, 2, 3, 6 and 9, respectively (Rein et al., 1994).
A neurotoxic, a hemolytic and a hemagglutinative fraction were isolated from red tides of Chattonella marina. Juvenile red sea bream (Pagrus major) were exposed to the three fractions (0.02 percent) in beakers of seawater. The fish died within seven to nine minutes at exposure to the neurotoxic fraction showing conspicuous edema on their second lamellae. At exposure to the hemolytic and hemagglutinative fractions fish died within 20 to 50 minutes with a marked mucous release on their gill filaments (Van Apeldoorn et al., 2001).
Exposure of red sea bream (Pagrus major) to C. marina red tide water significantly decreased the heart rate, presumably resulting in anoxia from reduced blood circulation in the gill. Since atropine restored the depressed heart rate, the cardiac disorder seemed to occur neurogenously in association with the intrinsic cardiophysiology of the fish. The heart rate of fish is largely controlled by the vagal nerve. The vagal nerve has a parasympathetic character and depresses the heart rate under depolarization. It has been reported that the function of the vagal nerve is inhibited by atropine. Neurotoxin fractions of C. marina depolarised the vagal nerve of fish, and hence induced the reduction of the heart rate. Histological examination showed little branchial damage due to neurotoxin fractions (Van Apeldoorn et al., 2001).
During the autumn and winter from 1987 to 1988, the third year of an eight-year larval fish study, a bloom of G. breve occurred in the coastal waters of North Carolina. Densities of nine species of larval fishes (Paralichthys albigutta, Citharichthus spilopterus, Micropogonias undulatus, Lagodon rhomboides, Brevoortia tyrannus, Paralichthus lethostigma, Leiostomus xanthurus, Mugil cephalus, Myrophis punctatus) in the years 1987 and 1988 were compared to their densities in the two seasons prior to and five seasons after the bloom. No severe impact on the larval fish community as a whole was evident during the year of the bloom. However, there were species specific differences in response to the presence of G. breve. Two species (Micropogonias undulatus and Lagodon rhomboides) showed generally normal, or above normal densities, both during the bloom and for the remainder of the larval recruitment season. Two species (Paralichthus albigutta and Citarichthus spilopterus) had consistently low densities throughout their normal period of recruitment, suggesting that their estuarine recruitment may have been impacted by the effects of G. breve even after the bloom ended. The remaining five species (Brevoortia tyrannus, Paralichthus lethostigma, Leiostomus xanthurus, Mugil cephalus and Myrophis punctatus) had low densities during the bloom, but increased markedly later in the season (Warlen et al., 1998).
In 1996, at least 149 manatees (Trichechus manatus latirostris) died in an unprecedented epizootic along the southwest coast of Florida. At the same time a bloom of G. breve was present in the same area. Exposure of the manatees occurred via inhalation and oral ingestion (Bossart et al., 1998). One of the likely vectors for the toxin is being filter-feeding sea squirts (Marsden, 1993). Grossly, severe nasopharyngeal, pulmonary, hepatic, renal, and cerebral congestion was present in all cases. Nasopharyngeal and pulmonary edema and haemorrhage were also seen. Consistent macroscopic lesions were catarrhal rhinitis, pulmonary haemorrhage and edema, multi-organ hemosiderosis, and non-suppurative leptomeningitis. Immunohistochemical staining using a polyclonal primary antibody to brevetoxin, showed intensive positive staining of lymphocytes and macrophages in the lung, liver and secondary lymphoid tissues. Additionally, lymphocytes and macrophages associated with the inflammatory lesions of the nasal mucosa and meninges were also positive for brevetoxin. These findings implicate brevetoxicosis as a component of and the likely primary etiology for the epizootic. The data suggested that mortality resulting from brevetoxicosis might not necessarily be acute but might occur after days or perhaps weeks after inhalation and/or ingestion of brevetoxins. Neurological signs including muscle fasciculations, incoordination, and inability to maintain a righting reflex were reported from four manatees rescued alive from the epizootic. Immunohistochemical staining with interleukin-1-b-converting enzyme showed positive staining with a cellular tropism similar to brevetoxin. This suggests that brevetoxicosis may initiate apoptosis and/or the release of inflammatory mediators that culminate in fatal toxic shock (Bossart et al., 1998).
Brevetoxin (PbTx-3) was shown to be bound to isolated nerve preparations from manatee brain with similar affinity as that reported for a number of terrestrial animals. In vitro studies with 3H-PbTx-3 showed binding to manatee brain synaptosomes with high affinity and specificity. The binding was saturable, there was competition of specific binding, and temperature dependence (decreased toxic-receptor affinity and lower measured percentages of specific binding as temperature increases from 0 to 37 °C) (Van Apeldoorn et al., 2001).
The brevetoxin analogues (or metabolites) found in New Zealand cockles (Austrovenus stutchburyi) (BTX-B1) and in New Zealand greenshell mussels (Perna canaliculus) (BTX-B2 and BTX-B4) did not show ichthyotoxicity against the fresh water fish Tanichthys albonubes at 0.1 mg/L unlike brevetoxins (Ishida et al., 1995; Morohashi et al., 1999; Murata et al., 1998).
Mortality among the double-crested cormorant (Phalacrocorax auritus) caused by brevetoxins, was observed along the Florida gulf coast (Fleming and Baden, 1999). Brevetoxin was the cause of a summer mortality in common murres (Uri aalge) in California (Fleming and Baden, 1999).
5.5.6 Toxicity studies with a phosphorus containing G.breve component
Besides potent brevetoxins, some phosphorous containing toxic components have also been isolated from G. breve. One phosphorus containing (ichthyotoxic) component was isolated and subsequently its structure has been determined. The chemical name is O,O-dipropyl(E)-2-(1-methyl-2-oxopropylidene)-phosphorohydrazidothioate(E)oxime. This component has a chemical structure similar to an organothiophosphate (Van Apeldoorn et al., 2001).
mice
The acute intraperitoneal toxicity (i.p.) of the above mentioned oxime (synthetic) and some analogues was investigated in mice with special attention to acetylcholinesterase (AChE) inhibition (IC50) in both cerebral and peripheral tissue. The oxime appeared to be a more potent inhibitor of AChE in vivo than the analogues, whereas higher toxicity is associated with some analogues suggesting involvement of other factors than AChE inhibition, affecting the toxicity. The mice exposed to the oxime and its analogues exhibited hyperactivity, tremors and convulsions which were not very severe. Generally these symptoms appear in animals exposed to AChE agents when more than 40 percent inhibition of brain AChE is observed. In this study, brain AChE activity was inhibited by 36.6 percent after intraperitoneal dosing of the oxime. Such inhibition might cause only mild symptoms (Van Apeldoorn et al., 2001).
rats
Anesthetized male Wistar rats received a single intravenous injection with 16, 24, 48 or 72 mg/kg bw of the oxime. A dose-dependent cardiovascular depressant activity was observed as demonstrated by a dose-dependent decrease in mean arterial blood pressure as well as in heart rate. A time related recovery was only seen at the two lowest doses (16, 24 mg/kg bw). At higher doses the toxin caused irreversible hypotension and bradycardia. The animals died of cardiac arrest immediately after intravenous administration of 72 mg/kg bw. The effects were not accompanied by constriction or spasm in tracheobronchial response. The hypotension and bradycardia occurred even in artificially ventilated rats. The cardiovascular effects were antagonized by tetraethylammonium while blockade of cholinergic and histaminergic receptors or inhibition of prostaglandin synthesis failed to modify these effects. These findings indicated that the cardiovascular effects are probably mediated through a-adrenergic and ganglionic blockade accompanied by modulation of K+ channel activity (Van Apeldoorn et al., 2001).
cats
An intravenous study with the oxime in anesthetized cats was performed to study the effects on mean arterial blood pressure, ECG pattern, unit discharge of baroreceptors and respiratory activity. Intravenous doses of 0.25 to 1.5 mg/kg caused a dose-dependent fall in blood pressure which was associated with bradycardia. Initial respiratory apnoea followed by increased rate and depth of respiration (hyperapnoea) was seen. The hypotensive effect was accompanied by a decrease in aortic baroreceptor activity per heart beat recorded from the cervical aortic afferents. The ECG showed atrioventricular conduction block, arrhythmia and depression of S-T segment and T wave which indicated coronary insufficiency. The vasodepressor property of the toxin is presumably muscarinic in nature as atropine counteracted the vasodepression (Van Apeldoorn et al., 2001).
fish
The oxime, appeared to be very ichthyotoxic (0.9 mg/L against Lebistes reticulatus) (Van Apeldoorn et al., 2001).
5.6.1 Depuration
detoxification of shellfish
The loss rate of toxins from bivalves depends upon the site of accumulation, which may differ between phycotoxins. Scallops are the most intensively studied species and a two-phase detoxification was suggested: an initial rapid loss similar to the accumulation rate followed by a slower phase. During this process, the toxin profile may change between tissues such as kidney and mantle, with toxic transfer between tissue compartments or organs before excretion or secretion into the environment. The most usual way of depurating bivalves is self-depuration, achieved by moving shellfish stock to clear water. Cooking and freezing is ineffective. One of the most promising treatments appeared to be ozone which has been shown to assist in the depuration of mussel tissue of NSP (Van Apeldoorn et al., 2001).
Oysters accumulate brevetoxins in less than four hours in the presence of 5 000 cells/ml, and depurate 60 percent of the accumulated toxin in 36 hours. Potency of depuration is species-specific and highly variable, even under controlled laboratory conditions. Commercial bivalves are generally safe to eat one to two months after the termination of any single bloom episode. Canning cannot be a way to decrease brevetoxin concentration in bivalves (Viviani, 1992).
In Crassostrea virginica depuration of brevetoxins
occurs two to eight weeks after the bloom has dissipated. Using a half-factorial
experimental design, G. breve cells were cultured and fed to Pacific
oysters (Crassostrea gigas) at rates of between 10 and 25 million cells
per oyster over 24 hour periods. Thereafter the oysters were detoxified in
various laboratory tanks over five-day periods. Mouse bioassays showed initial
levels between 25 and 100 mouse units (MU) per 100 g drained oyster meat with
larger oysters accumulating more toxin than the smaller ones. Experimental
factors were temperature (15 and 20 °C), salinity (24 and 33-34 ),
filtration
(5 ìm) versus no filtration, and treatment with ozone (to a
redox potential of 350 mV in the shellfish tanks) versus passive UV light
sterilization. Two experiments compared oysters that had been fed G.
breve over five days (5.0 or 3.5 million cells per oyster/day) with those
fed for 24 hours (10 or 25 million cells per oyster). With the exception of one
(four tanks), all treatment combinations resulted in an initial decline of the
brevetoxin level reaching a minimum <20 MU per 100 g by day three regardless
of the initial toxin level or whether the toxin had accumulated over one or five
days. The three-day period of decline was followed by a period of minimal
reductions. None of the experimental factors had any statistically significant
effect on the final toxin levels suggesting that oysters will detoxify
regardless of the conditions once they are placed in an environment free from
toxic algae. Final brevetoxin levels just above 20 MU per 100 g (20.6 MU per 100
g) were observed in some samples of four treatments (Van Apeldoorn et
al., 2001).
decrease of G.breve cells and reduction of toxins
Cell cultures of G. breve in artificial seawater were subjected to microwave irradiation at 2 450 MHz. Irradiation was for four 60 seconds intervals separated by five minutes intervals of cooling at 25 °C. A decrease in number of cells was seen. As a function of power (0-0.113 kJ/ml culture) the decrease in surviving cells was about 14 percent. A pronounced decrease or threshold effect was evident at energy levels above 0.08 kJ/ml of culture (Van Apeldoorn et al., 2001).
The effect of ozonated artificial seawater on G. breve cells and toxins was studied. When artificial seawater which was ozonated for 60 seconds, was added to G. breve cultures the number of surviving cells decreased approximately 80 percent (t1/2=10 seconds). When cultures of G. breve in artificial seawater were directly ozonated for 60 seconds, non intact cells were found (t1/2=2.5 seconds). Experiments carried out in artificial seawater demonstrated that extracted G. breve toxins (PbTx-1, -2, -3, -5, -7 and -9) reintroduced into artificial seawater as well as toxins in whole cell cultures of G. breve in artificial seawater at exposure to ozone for 0, 1, 5 or 10 minutes, displayed a marked reduction as ozone exposure increased. Total toxin concentration was reduced 99.9 percent after 10 minutes ozonisation as determined by HPLC analysis. Bioassays with the fish Cyprinodon variegatus confirmed the toxin reduction. In both experiments (with extracted brevetoxins and brevetoxins from whole cells) a slight increase of PbTx-7 was seen after one minute of ozone exposure probably caused by the reduction of PbTx-1, the aldehyde form of type A brevetoxins, to PbTx-7, the alcohol form of the same skeleton. As ozone exposure was increased to five minutes, total amounts of all toxins were reduced (Van Apeldoorn et al., 2001).
Doucette et al. (1999) studied the role of algicidal bacteria active against G. breve. Two bacterial strains isolated from the Gulf of Mexico appeared to be lethal to G. breve. The algicidal activity of one of these two strains was characterized. The strain was isolated from waters without G. breve cells, suggesting that such bacteria are part of the ambient microbial community and are not restricted to areas of high G. breve abundance. The bacterial strain examined, produced (a) dissolved algicidal compound(s) that was (were) released into the growth medium, and the algicide was effective against the four Gulf of Mexico G. breve isolates tested as well as to a closely related HAB species that also occurred in this region: G. mikimotoi.
Pérez et al. (2000) remarked the discovery of several algae that produce allelopathic chemicals, termed APONINs, which can affect adversely G. breve. A dynamic computer model, based on laboratory studies, was designed to evaluate the effectiveness of treating a G. breve bloom with the allelopathic alga, Nannochloris oculata, which produces the cytosolic substance APONIN-3, a substance that retards the growth rate of G. breve. However, certain boundary conditions and/or assumptions are involved. Under the conditions used, the model showed that N. oculata would eradicate a G. breve outbreak in a little less than two days. The model demonstrated that N. oculata is a potential management method for G. breve blooms, but further experiments need to be performed.
detoxification of brevetoxins
Brevetoxins containing an aldehyde functional group on the terminal tail side chain, are easily converted to dimethylacetal structures in acidic solutions, while acid reaction to form the methyl ester at the head-side lactone ring proceeds slowly. Reactivity of brevetoxins to acid attack shows the following order: PbTx-1>PbTx-2>PbTx-9. Under basic conditions, head-side lactone ring opening initiated by hydroxide ion attack proceeds to completion in 120 and 50 minutes for PbTx-2 and PbTx-9, respectively, while that for PbTx-1 did not reach completion after 120 minutes. Base hydrolysis proceeds faster than acid hydrolysis under comparable acidic or basic conditions. However, these acid and base hydrolyses can be reversible reactions and they may be not reliable for detoxification purposes. Brevetoxins are easily oxidized by potassium permanganate through double bond addition and then cleavage. Brevetoxin oxidation treatment is an irreversible process and proceeds relatively fast, so it can be a good means of brevetoxin detoxification (Hua and Cole, 1999).
5.6.2 Preventive measures
Toxic blooms of G. breve are generally detected by visual confirmation (water discolouration and fish kills), illness to shellfish consumers and/or human respiratory irritation with actual toxicity verified through time-consuming chemical analyses for brevetoxins within shellfish samples and by mouse bioassays. The exact environmental conditions that lead to harmful algal blooms is poorly understood. As a consequence it is extremely difficult to predict the occurrence and magnitude of a bloom, thereby ensuring an after-the fact management strategy dependent upon accurate water-quality evaluation. Monitoring programmes relying on microscopic identification and enumeration of harmful taxa in water samples generally suffice for preventing human intoxication. However microscopic based monitoring requires a high level of taxonomic skill, usually takes considerable time, and can be highly variable among personnel. Therefore, an alternative and/or complimentary evaluation system for predicting bloom occurrence and dynamics is highly desirable. Diagnostic pigment signatures and in vivo optical density spectra can effectively differentiate among most phylogenic groups of micro- and macroalgae, and sometimes, taxa with a variety of habitats. If such diagnostic pigments and/or spectra would allow for detecting the presence of harmful taxa prior to bloom status, a rapid, objective, and economical biomarker protocol could be developed. The gyroxanthin-diester may be a diagnostic pigment for G. breve within Florida coastal waters. This pigment only has been reported from Gyrodinium aureolum, Gymnodinium galatheanum and G. breve. Of these taxa, only G. breve can be considered as a warm water taxon and would be expected to occur in Florida coastal waters. Additionally, gyroxanthin-diester was a minor, yet stable, component of the total carotenoids in G. breve, being consistently detectable and quantifiable in populations exposed to all irradiance treatments.
The utility of photopigments and absorption signatures to detect and enumerate G. breve, was evaluated in laboratory cultures and in natural assemblages. The presence of gyroxanthin-diester provided for delineation of G. breve from other taxa within phytoplankton assemblages in Florida. In addition, the high correlation of this carotenoid with G. breve cell abundance allowed tracking of bloom development and senescence. However, the gyroxanthin-diester provides only a minor contribution to the cellular absorption and has absorption maxima similar to those of other carotenoids and chlorophyll c and its presence does not dramatically alter the absorption spectrum of a mixed assemblage. The technological advances in computer-based instrumentation will stimulate the increased usage of bio-optical methodologies for potentially detecting and characterizing harmful plankton (Van Apeldoorn et al., 2001).
Kirkpatrick et al. (2000) collected pigment and spectral absorption data from natural blooms in the eastern Gulf of Mexico between August 1995 and August 1997. Quantifying gyroxanthin-diester and chlorophyll a allowed the estimation of the fraction of the biomass in mixed populations associated with G. breve. Subsequent regression of the G. breve similarity indexes to the G. breve biomass fractions yielded a significant linear correlation. The liquid waveguide capillary cell appeared to be a promising technology for automating this technique.
Microphotometric methods were compared with conventional spectrophotometric methods for the assessment of spectral absorption of monospecies cultures. The feasibility of using microphotometry as a means of characterizing spectral absorption coefficients of a.o. G. breve was demonstrated. Subsequently, an approach for the detection of G. breve in a mixed population on the basis of spectral absorption signatures was evaluated. The development of improved hyperspectral in situ or air-borne sensors may enhance the ability to monitor the presence and evolution of harmful algal blooms. The phases of G. breve blooms include: a) offshore initiation; b) transport to mid-shelf; and c) growth. Several aspects of the biology and ecology of G. breve make it a likely bloom species to be detected and tracked via remote sensing. While a cell count of 5 000 cells/litre is sufficient to require closure of shellfish beds to harvesting, generally, visual detection of G. breve blooms by eye can be made only when cell concentrations approach 106 cells/litre, by which time respiratory irritation, shellfish contamination and fish kills already are manifested. While biomass concentration is patchy, chlorophyll a values from >1 to 100 mg/m3 make the resultant discoloured surface water detectable by colour sensors onboard satellites (Van Apeldoorn et al., 2001).
A minimum detection level of approximately 100 000 cells/litre was reported by remote sensing; 10 times more sensitive than visual detection. In this case, there could be a minimum of three to six days between bloom biomass detection and population growth to levels known to cause massive fish kills. In the mean time the presence of G.breve can be verified (Van Apeldoorn et al., 2001).
5.7.1 Europe
France
In France the presence of Fibrocapsa japonica was reported for the first time in October 1991 on the Channel coasts of Normandy (Van Apeldoorn et al., 2001). Video-recordings of H. akashiwo from the French coast showed a very high resemblance to specimens found in the Dutch North Sea in 1994 and German Wadden Sea in 1997 (Van Apeldoorn et al., 2001).
Germany
On 26 August and 15 December 1994, H. akashiwo was detected in the German Wadden Sea (Van Apeldoorn et al., 2001).
In Germany, Fibrocapsa japonica has been observed near Sylt in the summer of 1997. Since the summer of July 1995, F. japonica has been found in phytoplankton samples from the Wadden Sea near the harbour of Büsum on the west coast of Schleswig-Holstein. In 1996 and 1997, F. japonica was also listed in the messages of the German Algenfrühwarnsystem for the German Wadden Sea. At Büsum harbour, F. japonica concentrations increased from maximum numbers of 25 and 30 cells/cm3 in 1995 and 1996 respectively, to 115 cells/cm3 in 1997. The highest number of 327 cells/cm3 was recorded on 24 July 1997 (Van Apeldoorn et al., 2001).
In German waters, H. akashiwo was also observed namely in Friedrichskoog in the summer of 1997. Cell concentrations were difficult to count (Rademaker et al., 1997).
Several extensive blooms caused by potentially toxic Chattonella sp. cells occurred from the German Bight to the almost North Skagen between late March and first half of May 1998, 2000 and 2001 and caused fish killing (Douding and Göbel, 2001).
Greece
A species similar to G. breve has been reported from the Aegean Sea but with no adverse effects (Smith et al., 1993).
The Netherlands
The Raphidophyceae Fibrocapsa japonica, Chattonella antiqua and Chattonella marina were detected for the first time in 1991 and thereafter in 1992 and 1993 in the Wadden Sea, the North Sea and/or the Delta area south of the Rhine estuary. Harmful events caused by the Raphidophyceae have not yet been recorded in the Netherlands, but an outbreak cannot be excluded because the species detected can potentially be present each year (Van Apeldoorn et al., 2001).
In the summer of 1997, F. japonica was found in almost all samples from the Dutch Algal Bloom Programme along the Dutch Coast from Noordwijk to Borkum. In the samples, cell densities were 2 cells/cm3. The potentially toxic raphidophyte Heterosigma akashiwo was found for the first time in August 1994 in an algal bloom near Noordwijk with cell numbers of approximately 2 400 cells/cm3 (Van Apeldoorn et al., 2001).
Portugal
A species similar to G. breve has been reported from the Atlantic coast of Portugal but with no adverse effects (Smith et al., 1993).
The Russian Federation
In September 1987, a red tide caused by Chattonella sp. caused fish mortality in Amurskii Bay (Orlova et al., 1998).
Spain
A species similar to G. breve has been reported from the Atlantic coast of Spain but with no adverse effects (Smith et al., 1993).
The United Kingdom of Great Britain and Northern Ireland
Red tides of Heterosigma akashiwo have been reported from England and Bermuda causing mortality of cultured fish (Van Apeldoorn et al., 2001).
5.7.2 Africa
South Africa
In the summer of 1995 to 1996, a severe aerosol toxin problem was reported in False Bay, which later spread to the coastal resort of Hermanus in Walker Bay. Coughing, burning of the nasal passages, difficulty in breathing, stinging eyes and irritation of the skin were observed in beach goers and seaside residents. The aerosol toxin was linked to a bloom of a toxic dinoflagellate species Gymnodinium, first recorded in False Bay in 1988. Despite the species having bloomed on several occasions since then, the noxious effects in humans were never before as evident as in 1995-96. Faunal mortalities were however small, with the exception of larval mortalities experienced by several land-based abalone farmers in the Walker Bay area. Along the South African coast the dinoflagellate Gymnodinium nagasakiense is usually implicated in NSP. Most outbreaks have been reported from False Bay, where they are responsible for the olive-green discolouration of the seawater during autumn. Thirty tonnes of abalone were washed up in the HF Verwoerd Marine Reserve in 1989, following blooms of Gymnodinium nagasakiense (Van der Vyver et al., 2000).
5.7.3 North America
The presence of NSP toxins in North American ICES countries during the years 1991-2000 is illustrated in Figure 5.5.
Figure 5.5 Occurrence of NSP toxins in coastal waters of North American ICES countries from 1991 to 2000

Source: http://www.ifremer.fr/envlit/documentation/dossiers/ciem/aindex.htm
Canada
Red tides of Heterosigma akashiwo (belonging to the class Raphidophyceae) have been reported from embayments in Canada causing mortality of cultured fish (Van Apeldoorn et al., 2001).
The United States of America
East Coast
Brevetoxin-associated mortality was postulated in bottlenose dolphins (Tursiops truncatus) along the mid-Atlantic coast of the United States from 1987 to 1988 (Bossart et al., 1998).
G. breve was identified (6 x 106 cells per litre) from water samples taken off the North Carolina coast on 2 November 1987. This was the first recorded occurrence of G. breve north of Florida and extended the range of this toxic, subtropical dinoflagellate over 800 km northward. Before the end of this bloom three and a half months later, there were 48 cases of NSP reported in humans and over 1 480 km2 of shellfish (oyster and clam) harvesting waters were closed during prime harvesting season. In addition significant scallop mortalities were reported from some areas. It was suggested that the Florida Current Gulf Stream system transported G. breve northward to the coast of North Carolina in October 1987. During the bloom stages of G. breve in North Carolina total phytoplankton concentrations increased with time at all stations regardless of G. breve concentrations (up to 3.27x105 cells/litre) or the degree of bloom development. This is in contrast to blooms of G. breve in the Gulf of Mexico which were typically monospecific (Van Apeldoorn et al., 2001).
Red tides of Heterosigma akashiwo (belonging to the class Raphidophyceae) have been reported from embayments on the East Coast causing mortality of cultured fish (Van Apeldoorn et al., 2001).
Ten fish mortality events, involving primarily Atlantic menhaden, occurred from July through September 2000 in several bays and creeks in Delaware. Two events involved large mortalities estimated at 1.5 to 2 million fish in Bald Eagle Creek, Rehoboth Bay. The presence of Chattonella cf. vericulosa at a maximum density of 1.04 x 107 cells/litre was demonstrated. PbTx-2, PbTx-3 and PbTx-9 were detected (Bordelais et al., 2002).
Florida and the Gulf of Mexico
On 16 June 1996, three patients were diagnosed with NSP by Sarasota County Health Department, the Bureau of Environmental Epidemiology, the Florida Department of Environmental Protection and the FDA. All had eaten clams (Chione cancellata) and whelks (unidentified species) harvested from an area that had been closed to shellfish harvesting from 31 January 1996 through 8 June 1996 because of red tide of G. breve, and then closed again on 11 June. The clams had been cooked until they opened; cooking time for the whelks was unknown (Van Apeldoorn et al., 2001).
From early March to late April 1996, at least 149 manatees (Trichechus manatus latirostris) died in an unprecedented epizootic along approximately 80 miles of the southwest coast of Florida (Charlotte Harbour area). At about the same time, a significant red tide dinoflagellate bloom, largely composed of G. breve, producing brevetoxin, was present in the same geographic area as the manatee epizootic. Cell counts of G. breve were approximately 23.3 x 106 cells/litre. Autopsy showed neurointoxication facilitated by oral and inhalation exposure. There are three potential routes of intoxication: i) toxic aerosol inhalation; ii) toxic food ingestion; and iii) toxic seawater intake. Similar toxin-associated manatee mortality was speculated in southwest Florida in 1963 and 1982 (Bossart et al., 1998).
In Florida, poisoning of manatees by brevetoxins contained in salps attached to sea grass has been reported (Hallegraeff, 1995). Brevetoxins have also been detected in menhaden and mullet from the coast of Florida (Quilliam, 1999).
Brevetoxin-associated mortality was postulated in bottlenose dolphins (Tursiops truncatus) in southwest Florida in 1946 and 1947 (Bossart et al., 1998). This phenomenon was due to a bloom of G. breve which was identified in 1947 as the etiological agent and was considered the sole agent responsible for all the outbreaks described since 1844. In addition, brevetoxin-associated mortality in bottlenose dolphins was seen along the Atlantic coast in 1987 and 1988 (Bossart et al., 1998).
All red tides in Florida have been associated with mass mortality in marine animals. These phenomena were observed 24 times from 1844 to 1971 and the fact that they occurred before the development of agriculture, towns, industries and tourism indicated their natural origin. Health problems caused by the consumption of toxin-infested shellfish and by inhalation of wind-sprayed cells have been noticed (Viviani, 1992).
Mortality among the double-crested cormorant (Phalacrocorax auritus) has been observed along the Florida gulf coast (Fleming and Baden, 1999).
In late October 1996 to December 1996, a bloom of G. breve occurred for the first time in the low salinity waters of the northern Gulf of Mexico. Salinities were considerably lower than is typically for occurrences of G. breve. Oyster beds were closed from November 1996 to as late as April 1997 (Dortch et al., 1998).
West Coast
Brevetoxin was the cause of summer mortality in common murres (Uri aalge) in California (Fleming and Baden, 1999).
Red tides of Heterosigma akashiwo (Raphidophyceae) have been reported from embayments on the West Coast causing mortality of cultured fish (Van Apeldoorn et al., 2001).
5.7.4 Central and South America
Brazil
Chattonella sp. and Heterosigma akashiwo represent a risk at intensive shrimp cultures and shellfish cultures in Santa Catalina (Ferrari, 2001).
Mexico
In the Gulf of Mexico, G. breve is the dominating species, developing huge blooms almost every year during autumn, causing fish kills along the coasts of Veracruz and Tamaulipas states and sometimes affecting other states within the Gulf of Mexico. Since 1994, the events increased in permanence (reaching more than 100 days during autumn 1997), as well as in consequences on the environment and human health, with huge fish kills and many individuals affected by exposure to sea sprays or immersion in the seawater (Sierra-Beltrán et al., 1998).
5.7.5 Asia
China, Hong Kong Special Administrative Region
The first harmful bloom of raphidophytes in waters of the Hong Kong Special Administrative Region was caused by Heterosigma akashiwo in Yim Tim Tsai in March 1987. A bloom of Chattonella marina occurred in 1991. The blooms caused fish killings. Chattonella antiqua was also identified. These blooms of raphidophytes can pose a serious threat to finfish aquaculture (Songhui and Hodgkiss, 2001).
Japan
Red tides of Heterosigma akashiwo have been reported in embayments causing mortality of cultured fish (caged young yellowtail = Seriola quinqueradiata) (Van Apeldoorn et al., 2001).
Red tides of Fibrocapsa japonica were reported first from coastal areas of Ehime Prefecture in 1972 causing heavy mortalities of caged young yellowtail (S. quinqueradiata) and were later reported from Atsumi Bay (1973), the Seto Inland Sea (1987) and Harima Nada (1989) (Van Apeldoorn et al., 2001).
Chattonella antiqua formed heavy red tides in coastal regions of Japan killing large numbers of cultured fish (caged yellowtails) (Van Apeldoorn et al., 2001).
The Republic of Korea
Red tides of Heterosigma akashiwo have been reported in embayments causing mortality of cultured fish (Van Apeldoorn et al., 2001).
Malaysia
Red tides of Heterosigma akashiwo have been reported from embayments in Singapore causing mortality of cultured fish (Van Apeldoorn et al., 2001).
5.7.6 Oceania
Australia
In Boston Bay, Southern Australia, high levels of breve-like toxins (up to 142 mg/100 g) were found in the livers of farmed bluefin tuna (Thunnus maccoyii) sampled at different times at a main mortality episode. Plankton samples revealed a bloom of the raphidophyte Chattonella marina (up to 66 000 cells/L). Exposure to C. marina both before and, for at least a month after, the main mortality episode had occurred. Pathology of the tuna gills showed marked epithelial swelling, lifting of the epithelium and copious mucus production. Supporting evidence for the involvement of a toxic microalga was the typical pathology, the high gill area to bodyweight ratio and the extreme high ventilation volume of tuna which would maximize exposure to the toxic effects of C. marina. The fact that the farmed tuna received the highly-oxidized baitfish as feed would have been depleted endogenous antioxidants in the tuna fish and would have caused an exquisite sensitivity of the fish to activated oxygen radicals. C. marina is known to be toxic to fish by at least two mechanisms, the production of reactive oxygen radicals and production of ichthyotoxic brevetoxins (Van Apeldoorn et al., 2001). In January 1994, mussels from Tamboon Inlet on the Gippsland coast of Victoria contained a NSP toxin level of 27.5 MU/100 g in association with a G. breve type bloom (ANZFA, 2001).
New Zealand
Human and animal illnesses during the summer of 1992/1993 were associated with marine biotoxins in shellfish. Although the presence of four different types of toxin was demonstrated, only NSP and possibly DSP were associated with clinical illness. Algae similar but not identical to G. breve were considered to be responsible for typical NSP symptoms and for an acute respiratory irritation associated with aerosols of fragments of the alga. Throughout New Zealand 186 cases of NSP were recorded (Van Apeldoorn et al., 2001). During the 1993 shellfish poisoning outbreak, NSP toxin level reached 592 MU/100 g for edible shellfish (ANZFA, 2001). Over the period September 1994 to July 1996, 0.2 percent of samples of shellfish taken around the coastline of New Zealand on a weekly basis showed a NSP toxin level above the regulatory limit during a total of 10 NSP events (maximum level 26 MU/100 g (various shellfish species)). There was one widespread outbreak of human NSP poisoning involving 186 cases in the northeast of the North Island (see also above) (Sim and Wilson, 1997).
Fibrocapsa japonica was found on the east and west coasts of the North Island and on the east coast of the South Island in early 1993 (Van Apeldoorn et al., 2001).
Red tides of Heterosigma akashiwo have been reported from embayments in New Zealand causing mortality of cultured fish (Van Apeldoorn et al., 2001).
Immediately after a series of fish and marine fauna kill episodes and outbreaks of human respiratory illness being reported off Wairarapa coast and Hawke Bay on the North Island east coast, Wellington Harbour experienced a severe toxic outbreak that persisted from mid-February to April 1998. The outbreak decimated almost all marine life (including seaweeds) in the harbour. During this unusual outbreak, eels and flounders were first noticed as the major harbour kills, which then spread across to kills of other pelagic fish and marine invertebrates. Eighty seven people in Wellington Harbour reported suffering from respiratory illness; beach goers, swimmers, and wind-surfers all complained of a dry cough, a severe sore throat, running nose and skin and eye irritations. Furthermore, hatchery workers and divers complained among other symptoms also of severe headaches and a facial sunburnt sensation. The unprecedented bloom was found to be dominated by a non-described Gymnodinium sp. (33.3 x 106 cells/litre). The morphological characters of this new species look like the Japanese Gymnodinium mikimotoi. The Wellington Harbour toxin was stable in both alkaline and acidic conditions, but was not stable in weak acid. This makes it less likely to pose any human healthy risk when it is eaten. When heated to 100 °C the toxin lost most of its toxicity. The toxin is also highly oxidisable and therefore can be destroyed by ozonation. One of the notable features of the 1998 Wellington Harbour bloom was the build-up of extensive sea-foam, persisting for several weeks. The impacts of this new Gymnodinium sp. on marine life certainly are more severe than those caused by G. mikimotoi from Japan, G. breve from the Atlantic coast of the United States, G. cf. mikimotoi from Western Europe and G. galatheanum from the North Sea. In terms of impacts of airborne and waterborne toxins on humans, this new Gymnodinium sp. is quite like those of G. breve from the Atlantic coast of the United States and Gymnodinium sp. recently reported for South Africa (Van Apeldoorn et al., 2001).
5.8.1 Europe
Denmark
A monitoring programme exists for several algal species a.o. Gymnodinium spp. At 5.105 cells per litre (depending on species) fishery product harvesting areas are closed (Van Egmond et al., 1992; Shumway, 1995)
Italy
NSP producing algae are monitored, and fishery product harvesting areas are closed at the simultaneous presence of algae in water and toxin in mussels. In Italy, the provision of the law is based on the mouse bioassay and established not detectable in shellfish (Van Egmond et al., 1992; Viviani, 1992).
5.8.2 North America
The United States of America
A level of 80 mg PbTx-2/100 g of shellfish tissue (0.8 mg/kg or 20 MU/100 g or 4 mg/mouse) analysed by the mouse bioassay in shellfish triggers regulatory action by FDA (FDA, 2000). The regulatory application of information derived by using the mouse bioassay is based upon studies conducted in the 1960s that compared the incidence of human illness with the incidence of death in mice injected with crude extracts from shellfish in diethylether (Van Apeldoorn et al., 2001).
Florida and the Gulf of Mexico
The Florida Department of Natural Resources has run a general control programme since the mid-1970s. Only in 1984, G. breve blooms were specifically noted in control regulations. Closures of shellfish beds are made when G. breve concentrations exceed 5 000 cells/litre. Closures will take a few weeks up to six months. Two weeks after G. breve concentrations drop below 5 000 cells/litre, the first mouse bioassays of shellfish are carried out. When levels are below 20 MU/100 g the grounds are reopened. The bioassay system is slow; results take nearly one week. A field assay kit is under development (Viviani, 1992). The measures above should prevent cases of NSP related to consumption of contaminated shellfish in most of the Florida human population, but will not prevent the respiratory irritation associated with exposure to aerosolized red tide toxins. Although other states like Texas have done otherwise, in Florida where the red tides are almost a yearly occurrence, beaches are not closed to recreational or occupational activities, even during very active near-shore blooms (Fleming and Baden, 1999).
5.8.3 Central and South America
Argentina
Argentina has a national monitoring programme of mussel toxicity in each coastal province involving regional laboratories and one fixed station in Mar del Plata (Ferrari, 2001).
Brazil
Brazil had a pilot monitoring initiative during one year but does not have a national monitoring programme (Ferrari, 2001).
Uruguay
Uruguay has a national monitoring programme on mussel toxicity and toxic phytoplankton (Ferrari, 2001).
5.8.4 Oceania
New Zealand
Since the detection of NSP in early 1993, New Zealand has rapidly evolved a management strategy. All commercial and non-commercial shellfish harvesting areas around the entire coastline are sampled on a weekly basis throughout the year. Most major commercial growing areas have weekly phytoplankton sampling programmes and a library system of harvest sampling for the purpose of addressing the temporal and spatial spread of toxic events has been initiated. A mouse bioassay (APHA method) is in force and 20 MU/100 g is employed as an acceptable level. This level corresponds to a survival time in mice of six hours (Trusewich et al., 1996).
Currently shellfish testing involves mouse bioassay screen testing for NSP toxins with confirmatory testing (Busby and Seamer, 2001).
A new Biotoxin Monitoring Programme providing data that is highly accurate, in a shorter time and without the use of mouse bioassays is being developed. This new programme will implement test methods based on LC-MS providing chemical analytical data in place of bioassay screen test results. The development and implementation of new test methods are in discussion including funding, method validation, testing regulations, availability of analytical standards, comparison to existing tests, type of instrumentation and international cooperation (McNabb and Holland, 2001).