Es importante entender el fenómeno de Campylobacter spp. termófilo, y específicamente de Campylobacter jejuni en pollos para asar, tanto desde el punto de vista de la salud pública como del comercio internacional. Para adquirir tal conocimiento se realizó una evaluación de esta combinación de patógenos y producto utilizando un método de evaluación cuantitativa de los riesgos.
Las primeras fases de este proceso -determinación del peligro, caracterización del peligro, y el modelo conceptual para la evaluación de la exposición- se presentaron en una consulta de expertos celebrada en julio de 2001, y se resumieron en el informe de la misma[4]. En el modelo de evaluación de la exposición se describía la vía que seguían, desde la producción hasta el consumo, los pollos para asar sin despojos frescos y congelados que se preparaban y consumían en el hogar.
La fase final - la caracterización del riesgo- integra información sobre la exposición y datos de dosis-respuesta con objeto de tratar de cuantificar el riesgo para la salud humana atribuible a Campylobacter spp. termófilo patógeno en pollos para asar. El modelo y los resultados de la evaluación de riesgos se entregaron a la presente consulta de expertos en el documento de trabajo MRA 02/01. Se tuvieron en cuenta las recomendaciones de modificaciones y/o esferas para un desarrollo ulterior del modelo de evaluación de la exposición surgidas en la consulta de 2001 que en la medida de lo posible se incorporaron en la preparación del informe MRA 02/01. En la sección relativa a la evaluación de la exposición se indican las recomendaciones que no fueron incorporadas.
El objetivo del trabajo era elaborar una evaluación de riesgos que permitiera entender cómo influyen diversos factores en la incidencia de la campilobacteriosis humana durante la cría, la elaboración, la distribución, el almacenamiento para la venta al por menor, la manipulación por el consumidor, la preparación de la comida y, por último, el consumo de los pollos. Una ventaja de este enfoque es que permite examinar la gama más amplia posible de estrategias de intervención. En la caracterización del riesgo se estima la posibilidad de enfermedad, por cada ración de pollo, como consecuencia de la presencia de Campylobacter spp. termófilo en pollos para asar sin despojos, enteros, frescos y congelados, con la piel intacta, cocinados en el hogar para su consumo inmediato. En la Figura 5.1. se ofrece una representación esquemática de la evaluación de riesgos.

FIGURA 5.1: Representación esquemática de la evaluación de riesgos en relación con la presencia de Campylobacter spp. en pollos para asar.
5.1.3.1 Determinación del peligro
Campylobacter spp. termófilo es una de las principales causas de enfermedades intestinales zoonóticas en la mayoría de los países desarrollados (Friedman et al., 2000[5]). Las enfermedades en el ser humano suelen ser provocadas por C. jejuni, y, en menor medida, Campylobacter coli. La información sobre la carga de la campilobacteriosis humana en los países en desarrollo es más limitada (Oberhelman & Taylor, 2000[6]). No obstante, se ha informado de que la infección asintomática con C. jejuni y C. coli es frecuente en los adultos. En los niños de menos de dos años de edad C. jejuni, C. coli y otras bacterias Campylobacter spp. se asocian a enfermedades intestinales.
Campylobacter spp. puede transferirse a los seres humanos por contacto directo con animales o canales de animales contaminados, o indirectamente por la ingestión de alimentos o agua contaminados. Campylobacter spp. termófilo suele encontrarse en el aparato digestivo de mamíferos y aves, silvestres y domésticos. Campylobacter spp. se encuentra comúnmente en las aves de corral, el ganado bovino, porcino y ovino, en los animales y en las aves silvestres, y en los perros y gatos. También pueden estar contaminados los alimentos, incluidos los productos avícolas, de carne de vacuno, carne de porcino y otros productos cárnicos, la leche cruda y los productos lácteos y, con menor frecuencia, el pescado y los productos pesqueros, los mejillones y las hortalizas frescas (Jacobs-Reitsma, 2000[7]). Las conclusiones de los estudios analíticos epidemiológicos se contradicen. Según algunas, la manipulación de aves de corral crudas y la ingestión de productos de aves de corral constituyen factores de riesgo importantes para la aparición esporádica de campilobacteriosis (Friedman, et al., 2000[5]), mientras que, según otras, el contacto con esos productos en el hogar es un factor de protección (Adak et al., 1995[8]).
La información utilizada para la sección sobre identificación del peligro se compiló a partir de la literatura publicada y de datos inéditos presentados a la FAO y a la OMS por organismos de salud pública y otras partes interesadas.
5.1.3.2 Caracterización del peligro
La caracterización del peligro ofrece una descripción de las consecuencias en la salud pública de una infección, incluidas las secuelas, las características del patógeno que influyen en la capacidad del organismo para desencadenar infecciones y enfermedades, las características del huésped que influyen para que contraiga la infección, y los factores relacionados con los alimentos que pueden comprometer la supervivencia de C. jejuni en el aparato gastrointestinal humano. Se elaboró un modelo de dosis-respuesta que describe matemáticamente la relación entre el número de organismos que podrían estar presentes en un alimento y ser consumidos con el mismo (la dosis), y las consecuencias en la salud humana (la respuesta). Para este fin, se reunieron datos de ensayos sobre alimentación humana (Black et al., 1988[9]) relativos a dos cepas de C jejuni y se utilizaron para obtener estimaciones de la posibilidad de infección (colonización del aparato gastrointestinal sin síntomas manifiestos), y la posibilidad de que después de la infección se produjera enfermedad. La campilobacteriosis se da predominantemente en casos esporádicos (Friedman, et al., 2000[10]), y, por consiguiente, casi no existen datos sobre la relación dosis-respuesta procedentes de investigaciones sobre brotes.
Se hizo una estimación sobre la posibilidad de infección tras la ingestión de una dosis de C. jejuni, aunque cabe señalar que para ella se utilizaron datos procedentes de un estudio sobre alimentación en el que participaron voluntarios sanos y se utilizó una matriz de leche y un número limitado de cepas de Campylobacter. Con los datos de las pruebas de alimentación no pudo determinarse si la posibilidad de contraer infección y/o enfermedad eran distintas para las personas con un buen sistema inmunitario o para las personas más vulnerables a las enfermedades (por ejemplo, personas inmunodeficientes, muy jóvenes, etc.) comparadas con los voluntarios. Asimismo, sobre la base de estas investigaciones se estimó la posibilidad de que se produjera una enfermedad tras la infección y se dio por supuesto que era independiente de la dosis. Una vez más, la influencia de otros factores - como la vulnerabilidad- en la posibilidad de que se produzca una enfermedad no puede cuantificarse debido a la falta de datos epidemiológicos adecuados y de resolución a este nivel. La evolución de la enfermedad hacia consecuencias más graves y la aparición de algunas secuelas puede estimarse groseramente a partir de las proporciones aproximadas indicadas en la literatura, pero éstas no se incluyeron en el presente trabajo. A los efectos de este modelo, se dio por supuesto que C. coli tiene las mismas propiedades que C. jejuni.
5.1.3.3 Evaluación de la exposición
En el modelo de exposición se describen las etapas de la cría y el transporte, el sacrificio y la elaboración, la preparación y el consumo (Figura 5.1). Mediante este enfoque modular se estima la prevalencia y la concentración de Campylobacter spp. termófilo, así como los cambios de éstas asociados con cada etapa de elaboración del producto, con el almacenamiento del producto refrigerado y congelado y con la manipulación del producto por el consumidor.
En los estudios epidemiológicos se han determinado las vías que contribuyen a la introducción inicial de Campylobacter spp. en una bandada de aves de corral[11] de una explotación agrícola. No obstante, poco se entiende de esas vías y el fenómeno puede deberse a múltiples factores; de ahí que el modelo de colonización se basara en una vía de introducción sin especificar. Pese a todo esto, se ha creado un módulo epidemiológico como suplemento del modelo, que permite la evaluación de intervenciones destinadas a cambiar la frecuencia con que surgen los factores de riesgo. Como tales factores de riesgo suelen ser interdependientes y pueden ser específicos de un país, no era adecuado incorporar este módulo al actual modelo de riesgo: aun así, el módulo sirve para ilustrar cómo puede utilizarse esa información en una situación concreta.
En el modelo se evalúan los efectos de la refrigeración y la congelación, y la adición de cloro al agua de refrigeración de los pollos. Los efectos de reducción de la contaminación por Campylobacter spp. en canales de aves alcanzados mediante otros tratamientos de elaboración, como por ejemplo con ácido láctico e irradiación, no se evaluaron explícitamente porque no existían datos cuantitativos: ahora bien para cualquier tratamiento es el que pueda cuantificarse el nivel de reducción resultante de modificaciones que produce la elaboración, las repercusiones en el riesgo podrán evaluarse fácilmente mediante el modelo de riesgo.
En el módulo de preparación en el hogar se examinaron dos vías de ingestión de organismos viables: el consumo de carne de pollo contaminada e insuficientemente cocida, y la contaminación cruzada, a partir de aves de corral crudas contaminadas, de otro alimento que se come sin cocinarse de nuevo o directamente a través de las manos (Figura 5.2). Como resultado de las recomendaciones de la consulta de expertos anterior[12], se seleccionaron el enfoque de las "zonas protegidas" para la cocción y el del modelo por goteo de líquidos para la contaminación cruzada. En el enfoque de las "zonas protegidas" para crear un modelo de la fase de cocción se considera que las células de Campylobacter pueden estar situadas en partes de la canal del animal que llegan a la temperatura de cocción más lentamente que otras. El modelo por goteo de líquidos para la contaminación cruzada se relaciona con la propagación de las células de Campylobacter a partir de las canales crudas mediante el goteo de líquidos.
5.1.3.4 Caracterización del riesgo
La etapa de caracterización del riesgo integra la información recopilada durante las etapas de identificación del peligro, caracterización del peligro y evaluación de la exposición para hacer una estimación de los efectos nocivos que pueden producirse debido al consumo de pollo (Figura 5.1). Esta etapa vincula la posibilidad y la magnitud de la exposición a Campylobacter asociada al consumo de pollo con los resultados nocivos que podrían producirse. El riesgo resultante se expresa como riesgo individual o como riesgo por ración de pollo. Aunque este modelo no aborda el riesgo para una población concreta, pueden incorporarse al mismo los datos sobre las cantidades de pollo consumidas para llegar a estimaciones del riesgo relativo a la población.

FIGURA 5.2: Representación esquemática del módulo de preparación en el hogar.
Con el modelo actual no puede hacerse una estimación central del riesgo debido a una incertidumbre virtualmente sin límites[13] respecto de los dos componentes fundamentales del modelo, a saber: las consecuencias de la cocción insuficiente y las repercusiones de la contaminación cruzada. Puesto que estos procesos son el determinante último de la exposición final del consumidor, el hecho de que la incertidumbre no tenga límites ni solución dificulta el establecimiento de una estimación central del riesgo para el consumidor. Además, el modelo todavía no se ha aplicado para estudiar las estimaciones máxima y mínima del riesgo que se desprenden de la incertidumbre. No obstante, constituye un medio útil para estudiar las posibles vías de exposición el modo en que contribuyen al riesgo de enfermedad que plantea Campylobacter en los pollos para asar.
La caracterización del riesgo incluye los siguientes elementos:
1) Modelo básico
Se estudió detalladamente un modelo básico para aclarar las relaciones datos-resultados entre los diferentes módulos del modelo, y también para analizar la credibilidad del mismo. El modelo básico se definió como la elaboración de canales frescas pertenecientes a bandadas positivas y negativas (con una prevalencia general en la bandada del 80%), que son refrigeradas por aire al final del sacrificio.
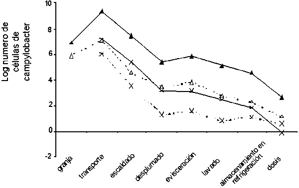
El modelo indicaba que la carga exterior de Campylobacter por pollo aumentaba durante el transporte y la evisceración y disminuía en las demás etapas de elaboración estudiadas, con una reducción global de la carga media, de la granja al plato, situada entre 4 y 5 logaritmos (Figura 5.3). La prevalencia de pollos contaminados por Campylobacter procedentes de bandadas positivas parece reducirse del 100 por ciento en las aves vivas al 20 por ciento en las raciones de carne de pollo (Figura 5.4). En cuanto a las bandadas negativas, la prevalencia aumenta durante el transporte, el desplumado y la evisceración, lo que indica el efecto de la contaminación cruzada durante la elaboración. Después, la prevalencia se reduce a un valor de aproximadamente el 3 por ciento de las raciones en el momento del consumo.
Se ha hecho un gráfico de la correlación entre los datos y los resultados de los modelos de las distintas etapas de elaboración para ilustrar la variabilidad de la carga por ave a lo largo del proceso. Esos gráficos indican que la carga de un pollo en las etapas previas a la evisceración no parece ser una variable adecuada para predecir la carga final ni, por tanto, el riesgo por ración de esa canal de pollo concreta.
2) Análisis de escenarios
En un análisis de escenarios, los efectos de las alteraciones en el modelo básico se estudian modificando uno o dos de los parámetros del modelo. De esta manera, pueden estudiarse las repercusiones de la incertidumbre en las estimaciones del parámetro y puede evaluarse el potencial de las estrategias de reducción del riesgo.
Se estudiaron nueve hipótesis posibles a fin de ilustrar la capacidad de este modelo para estudiar los efectos de los cambios en los datos específicos que en él se utilizan. Cada escenario suponía el cambio específico de un parámetro, de la siguiente manera:
Escenarios relacionados con la reducción del riesgo
Escenarios basados en otros supuestos
Para profundizar aún más el análisis del modelo y determinar los efectos de diferentes tipos de medidas de mitigación, se llevaron a cabo cinco series de simulaciones. Utilizando la configuración del modelo básico, en cada serie de simulaciones se modificó uno de los siguientes parámetros:
prevalencia de la bandada;
carga de Campylobacter en las canales después del transporte; carga de Campylobacter en los intestinos ciegos;
carga de Campylobacter tanto en los intestinos ciegos como en las canales después del transporte;
carga de Campylobacter en las canales después de la evisceración.
Se encontró una relación lineal entre la prevalencia en la bandada y la posibilidad de enfermedad. En consecuencia, a una reducción doble de la prevalencia en la bandada correspondería una reducción doble de la posibilidad de enfermedad. Este efecto se debe principalmente a una reducción del número de comidas positivas respecto de Campylobacter. Tanto la contaminación externa como la colonización deben reducirse simultáneamente para lograr efectos sustanciales en el riesgo. Esto se debe a la posibilidad de que un gran número de células de Campylobacter contamine la canal como resultado del daño a la víscera en la evisceración, socavando así los beneficios alcanzados mediante la reducción de los valores de la contaminación externa en una etapa previa de elaboración. Con la utilización del modelo se han establecido dos maneras clave de conseguir esta reducción: 1) reducir la colonización lo suficientemente pronto para influir en la contaminación externa y 2) intervenir después de la evisceración para reducir la contaminación de la canal.

FIGURA 5.3: Número de células de Campylobacter por canal durante la elaboración mediante refrigeración por aire de canales frescas, de bandadas positivas y negativas. (Las bandadas negativas se contaminan durante el transporte). Se indican la media de los logaritmos y el logaritmo de las medias. (Las diferencias entre ambas obedecen a la asimetría[15] de la distribución de los valores y al hecho de que no se puedan incorporar valores "cero" a los cálculos de la media de los logaritmos (que por tanto se refiere únicamente a las canales positivas)).
|
|
media de logaritmos de las bandadas positivas |
|
|
logaritmo de la media de las bandadas positivas |
|
|
media de logaritmos de las bandadas negativas |
|
|
logaritmo de la media de las bandadas negativas |

FIGURA 5.4: Prevalencia de Campylobacter en canales frescas de pollos para asar refrigeradas por aire procedentes de bandadas que en la granja resultaban positivas y negativas respecto de Campylobacter.
Bandadas positivas
respecto de Campylobacter en la granja
Bandadas negativas respecto de
Campylobacter en la granja
a. muchos parámetros inciertos (falta de datos e información para calcular los parámetros del modelo),
b. un nivel elevado de incertidumbre (falta de datos e información para preparar la descripción matemática del funcionamiento del sistema, incluidas las relaciones causales y de dependencias), o
c. un modelo de simulación de evaluación de riesgos de carácter complejo (limitaciones en la capacidad de cálculo para realizar la cuantificación).
En el caso de la presente evaluación de riesgos, se dan estas tres propiedades. Aunque existían numerosas incertidumbres cuantificables, se estimó que las incertidumbres del modelo (punto b anterior) dominarían la incertidumbre total. La magnitud de las incertidumbres del modelo era tal que la magnitud de las incertidumbres cuantificables pasaría a ser irrelevante.
En el presente documento sobre la evaluación de riesgos también se abordó la cuestión de si es posible que los países en desarrollo apliquen los conceptos y utilicen los componentes de este modelo para realizar su propia evaluación de riesgos cuantitativa. Se reconoció la relativa complejidad del modelo actual. Es aplicable a las aves de corral producidas y elaboradas en condiciones similares a las descritas en la evaluación de riesgos y, por lo tanto, puede ser aplicable, en particular, a los sistemas de producción en gran escala y de elaboración en los países en desarrollo. No obstante, muchos de los elementos de la exposición en los países en desarrollo - las pautas de consumo, los procesos de sacrificio y las prácticas agrícolas - pueden ser bastante diferentes de los descritos aquí, lo que limita la aplicabilidad de la evaluación de riesgos. Por otra parte, existen pocos datos, o ninguno, sobre las vías de exposición, los factores de riesgo y las enfermedades humanas asociadas con Campylobacter en los países en desarrollo. Así pues, la posibilidad de realizar una evaluación cuantitativa nacional de los riesgos microbiológicos puede exigir una capacidad que actualmente no existe en muchos países en desarrollo. Existen medidas que los países en desarrollo pueden tomar para ayudar a los futuros esfuerzos de evaluación de riesgos. Es importante conocer las actividades de gestión de riesgos, que inician y facilitan el proceso de evaluación de riesgos. Las Directrices para incorporar la evaluación de riesgos cuantitativas en la elaboración de normas, directrices y textos afines sobre higiene mcrobiológica de los alimentos[16] que actualmente están elaborando la FAO y la OMS, incluyen orientaciones sobre las actividades preliminares de gestión de riesgos que son decisivas para estructurar el proceso de evaluación de riesgos. Se prestó especial atención a la recopilación de datos, una de las actividades conexas más importantes, y se centró el interés en las principales tareas que deben llevarse a cabo.
La consulta de expertos determinó las características de la evaluación que tenían repercusiones en la aceptabilidad del modelo y la oportunidad de utilizarlo. Se elaboró el modelo de tal forma que no fuera representativo de ningún país o región específicos. Aun así, muchos de los insumos del modelo estaban basados en datos y en prácticas de elaboración de un país. Antes de utilizar el modelo para pronosticar los riesgos de un país concreto, deben utilizarse datos representativos de ese país para determinar los insumos del modelo.
Se examinó un escenario de base para evaluar las relativas ventajas de las estrategias de control de Campylobacter en los pollos para asar. Este escenario consiste en un compromiso entre los supuestos de insumos obtenidos de una serie de países. Los resultados obtenidos del escenario de base no deben utilizarse para sacar conclusiones sobre una nación o región particular. Para sacar conclusiones específicas sería necesario recopilar datos que fueran directamente pertinentes para una población de interés determinada.
Si bien se tuvo en cuenta la incertidumbre asociada a varios parámetros de la ración de consumo de la evaluación de riesgos, no se realizó un análisis completo de la incertidumbre estadística y del modelo. Este aspecto se explica en la Sección 5.1.4. (apartado 2).
Los datos disponibles para generar la curva de respuesta a la dosis se limitaban a un estudio con una prueba de alimentación (véase la Sección 5.1.3.2). Una alteración de nuestra interpretación actual de la relación dosis-respuesta, que podría producirse si, por ejemplo, surgiera información adicional sobre dosis-respuesta, produciría modificaciones de las estimaciones del riesgo generadas por el modelo.
Durante la realización de esta evaluación de riesgos se descubrió que no siempre se disponía de datos apropiados, lo que limitó las posibilidades de completar la evaluación de riesgos. A continuación se exponen las principales carencias de datos descubiertas.
Evaluación de la exposición: En la granja
Datos de encuestas sobre la prevalencia de bandadas positivas respecto de Campylobacter destinadas al sacrificio, que incluyan información sobre el tamaño de la muestra, los métodos de ensayo, etc.
Datos sobre la probabilidad de contaminación de las aves durante el transporte.
Estudios sobre la dinámica de transmisión de Campylobacter dentro de la bandada.
Datos sobre las vías de infección por Campylobacter en los pollos para asar.
Evaluación de la exposición: Elaboración
Datos de prevalencia y recuento de Campylobacter en las canales antes y después de las distintas fases de elaboración, como el escaldado, el desplumado, la evisceración, el lavado y la refrigeración.
Datos de prevalencia y recuento de Campylobacter en las canales comparando varios métodos de refrigeración (por ejemplo, refrigeración por aire, refrigeración por agua, refrigeración por agua con cloro).
Datos de prevalencia y recuento de Campylobacter en las canales comparando diferentes temperaturas de escaldado u otras configuraciones de escaldado (por ejemplo, sistemas de escaldado en varios tanques).
Datos que describan la contaminación cruzada efectiva entre bandadas positivas y negativas, y dentro de las bandadas durante los diferentes procesos de sacrificio.
Evaluación de la exposición: Después de la elaboración y manipulación por el consumidor
Datos adicionales sobre la cocción del pollo que abarquen zonas del mismo en las que Campylobacter puede estar protegido del calor.
Datos de encuestas y de observación directa sobre las prácticas del consumidor en la preparación y manipulación del pollo, que indiquen especialmente detalles sobre la posible frecuencia y Ámbito de aplicación de la transferencia de Campylobacter y su ulterior ingestión.
Caracterización del peligro
Datos sobre la variabilidad de las cepas en relación con la virulencia/patogenicidad y la supervivencia durante la elaboración.
Estudios sobre los mecanismos de infectividad, virulencia/patogenicidad de Campylobacter en el huésped humano.
Información cuantitativa sobre los índices de infección y de enfermedad con dosis bajas de C. jejuni, y también con diversas dosis de diferentes cepas de C. jejuni y de C. coli, de 100 a 10[9] organismos.
Datos epidemiológicos completos de estudios sobre brotes, incluido el recuento de Campylobacter termófilo en productos alimenticios sospechosos o en el agua potable, el número de personas expuestas, las tasas de ataque y la demografía de las personas expuestas, especialmente de los grupos de población inmunodeficientes y de niños de menos de cinco años de edad.
Datos que describan los efectos y la longevidad de la inmunidad adquirida a consecuencia de la exposición reciente a Campylobacter termófilo.
La Consulta de Expertos examinó el documento titulado "Informe preliminar - Proyecto de evaluación de riesgos de Campylobacter spp. en pollos para asar" (MRA02/01) y la presentación de datos adicionales por el grupo de redacción. Reconoció la amplia labor realizada por el grupo de redacción sobre evaluación de riesgos y examinó los componentes del documento sobre evaluación de riesgos, cuyo resultado se resume más adelante.
La Consulta de Expertos destacó la importancia de incluir en la introducción del documento final sobre evaluación de riesgos una descripción sucinta y clara del historial de la misma: quién la inició, qué informes se escribieron y cuándo. Deberían indicarse más claramente los objetivos de la evaluación de riesgos, mencionando quién los propuso. También deberían indicarse los objetivos que han sido excluidos específicamente. Sería útil señalar si se ha alcanzado cada uno de los objetivos y, en caso contrario, especificar el motivo. Esto facilitaría una mayor comprensión del trabajo y de por qué se desarrolló de esa manera. En esa sección no debería figurar una descripción de los métodos y los enfoques.
Para los usuarios finales sería útil que se incluyese un párrafo a modo de conclusión en el que se sugiriera qué medidas tomar una vez concluida con éxito esta iniciativa, y en el que se insistiera también en que ningún modelo de evaluación de riesgos será completo mientras existan carencias de datos.
El documento final sobre evaluación de riesgos exigirá un examen actualizado de la identificación del peligro asociado con Campylobacter spp. y con la campilobacteriosis en los seres humanos y en los animales.
5.2.3.1 Campylobacter en las aves de corral en la explotación agrícola y durante el transporte:
Las principales características de este módulo son:
Un modelo de una única fuente de infección en el lugar de cría de los pollos para asar. Este modelo se puede adaptar para investigar otras fuentes en caso de que se dispusiera de nuevos datos.
Una herramienta para estimar la posibilidad de que un ave elegida al azar resulte positiva respecto de Campylobacter en el momento del sacrificio.
Un modelo de la contaminación externa de las aves durante la captura y el transporte.
En esta parte del modelo se da por supuesto que:
Todas las cepas tienen las mismas posibilidades de colonización y la misma persistencia en el intestino del pollo: con el nivel actual de conocimientos ésta es la única hipótesis que se puede formular, pero podría no ser cierta.
Sólo existen tres hipótesis de transmisión.
Las aves permanecen en sus grupos sociales durante la recolección. Sin embargo, se sabe que las aves se desplazan durante la recolección, por lo que no es probable que se mantengan los grupos sociales.
Deficiencias en los datos y recomendaciones para mejorar el modelo
Es evidente que la reducción o eliminación de la colonización por Campylobacter en la bandada es sumamente importante. En la explotación agrícola existen estrategias limitadas para alcanzar ese objetivo. Entre los enfoques existentes se cuentan la prevención de la exposición de la bandada mediante medidas de bioseguridad o la reducción de la sensibilidad de las aves a la colonización mediante medidas como la vacunación o el tratamiento de exclusión competitiva (Newell & Wagenaar, 2000[17]). Estos últimos enfoques todavía no están disponibles comercialmente y, por lo tanto, la bioseguridad es la única estrategia actualmente viable. Para los responsables de la gestión de riesgos sería extremadamente útil contar con un módulo para evaluar la importancia relativa de las fuentes de colonización, módulo que ya ha sido iniciado. Sin embargo, el grupo de redacción sobre evaluación de riesgos consideró que por el momento no existían datos suficientes sobre las fuentes de infección de las bandadas para la utilización de un módulo de esas características.
La parte del modelo que se ocupa de la influencia de los que realizan la captura en la contaminación de la parte externa de las aves podría, con alguna modificación, adaptarse para elaborar un modelo de los efectos de la disminución (eliminación temprana de una parte de las aves), que se considera una importante fuente de colonización de los pollos para asar.
Mediante la utilización de datos sobre la prevalencia de Campylobacter entre bandadas y dentro de la bandada, puede estimarse la posibilidad de que un ave elegida al azar resulte positiva respecto de este patógeno. Con el modelo también se demuestra que la probabilidad de la colonización depende de la edad que, lo es coherente con los datos disponibles (Newell y Wagenaar, 2000[17]). Aunque el modelo puede indicar la influencia de diversas fuentes genéricas en la transmisión, por el momento no permite una evaluación de las fuentes de exposición para facilitar estrategias precisas de intervención.
5.2.3.2 Elaboración
Las principales características de este módulo son:
Un modelo que reproduce los cambios del nivel de contaminación después del escaldado, el desplumado, la evisceración y la refrigeración.
Una disposición del modelo para diferenciar los efectos de la refrigeración por aire, la refrigeración por agua y el empleo de la supercloración.
Una estimación de la prevalencia de productos contaminados
Una disposición para elaborar un modelo de los cambios del nivel de contaminación después del almacenamiento a 4 oC o la congelación a -20 oC.
En esta parte del modelo se da por supuesto que:
Campylobacter no prolifera fuera del intestino del huésped. Esto coincide con la mayoría de las pruebas científicas (Jacobs-Reitsma, 2000[18]).
Existe un número finito de lugares de contaminación cruzada en una planta. Sin embargo, hay muchos más lugares con potencial de contaminación cruzada dentro de una planta de elaboración, además de los dedicados al escaldado, desplumado y evisceración aunque, según parece en éstos se hallarían las fuentes más importantes (Mead 1989[19]).
Deficiencias en los datos y recomendaciones para mejorar el modelo
La industria de la producción de aves de corral ha mejorado sustancialmente el control de la higiene en los últimos 30 años. Muchos de los cambios pueden influir en los datos incorporados al modelo, como por ejemplo la introducción del escaldado plurifásico y nuevas máquinas de evisceración que separan la víscera de la canal. Si existen datos o pruebas de que tales cambios tienen un efecto significativo en la contaminación de las canales por Campylobacter, entonces deberá considerarse la introducción de los cambios oportunos en el modelo.
En general, los mayores efectos de la propagación de la contaminación desde el contenido intestinal de aves positivas se dará en el nivel de contaminación de la superficie externa de las aves. No obstante, a medida que la proporción de bandadas negativas aumenta, la importancia de la contaminación cruzada se hace más notoria. Se están recopilando datos sobre el nivel de contaminación en las canales a partir de bandadas negativas respecto de Campylobacter. Estos datos deberían estar disponibles en un futuro próximo y la consulta de expertos recomendó que en ese momento deberían, si es posible, incorporarse al modelo.
El modelo debería tener en cuenta los datos publicados e inéditos que indican que los organismos adheridos a la superficie de la canal son resistentes a los efectos ambientales. (Notermans y Kemplemaker, 1975[20]; G. Mead, comunicación personal, 2002).
En la parte posterior a la elaboración de este módulo solo se consideraron el almacenamiento por congelación y por refrigeración. Según datos recientes no confirmados, el envasado en atmósfera modificada influye en los niveles de contaminación por Campylobacter en los productos de aves de corral. La Consulta de Expertos recomendó que, una vez que estos datos se hicieran del dominio público, deberían, en la medida de lo posible, incorporarse a este módulo.
Cada vez hay más pruebas de que existe una variación en la supervivencia de las cepas de Campylobacter durante la elaboración (Newell et al., 2001[21]). Esto puede tener repercusiones considerables en el modelo, especialmente si la capacidad de supervivencia de Campylobacter spp. se asocia a la virulencia de la cepa. Actualmente no existen métodos sencillos para evaluar la capacidad de supervivencia, pero hay modelos de esta propiedad y se están reuniendo datos sobre el particular. La Consulta de Expertos recomendó que, una vez que se disponga de estos datos, deberían, si es posible, incorporarse a este módulo.
5.2.3.3 Manipulación y cocción por el consumidor
Las principales características del modelo son:
Estimaciones de la proporción de células de Campylobacter poco adheridas asociada a las aves de corral.
Estimaciones de la concentración de células de Campylobacter en el goteo de líquidos de una canal refrigerada en húmedo, elegida al azar.
Un modelo de los efectos que tienen la temperatura, el tiempo de exposición y la localización en un lugar protegido sobre la supervivencia de Campylobacter.
En esta parte del modelo se da por supuesto que:
10-20% de las células de Campylobacter se encuentran en lugares protegidos. La Consulta de Expertos consideró esta hipótesis sorprendentemente alta.
Deficiencias en los datos y recomendaciones para mejorar el modelo
Se requiere más información sobre las prácticas del consumidor en la cocina del hogar. Se necesita información sobre las vías y los modos de transmisión de Campylobacter en la cocina. También se requiere información sobre los factores que influyen en la supervivencia de Campylobacter en el ambiente de una cocina.
Debido a la falta de datos nuevos sobre la relación dosis-respuesta en lo que se refiere a Campylobacter, no se puede avanzar más en esta esfera. De modo análogo, existe actualmente una penuria de datos acerca de la proporción de cepas de Campylobacter en las aves de corral que son virulentas en los seres humanos y a las que éstos son sensibles.
Como se destacó en la Sección 5.1.3.4, existe una gran cantidad de incertidumbre asociada al modelo actual, debido principalmente a la falta de información sobre las repercusiones de la cocción insuficiente y de la contaminación cruzada en la exposición del consumidor a Campylobacter. La consulta de expertos no prevee una reducción significativa de esta incertidumbre en un futuro cercano. No obstante, pese a esta situación, la Consulta de Expertos observó que el modelo podía aplicarse para estudiar la sensibilidad de las estimaciones del riesgo a una amplia gama de modelos y parámetros plausibles. Además, debería facilitarse a los responsables de la gestión de riesgos y a los investigadores de esta esfera toda la información contextual posible sobre la incertidumbre y sus consecuencias, para que pueda examinarse cómo atenuar esa incertidumbre.
El modelo sigue siendo muy útil para estudiar la plausibilidad biológica y sistemática de otras hipótesis relativas a estas vías de exposición, y contribuirá a la comprensión del riesgo que se presenta a través de estas dos vías.
La Consulta de Expertos señaló que para determinadas combinaciones de parámetros del modelo una reducción décupla de la posibilidad de infección de una sola ración tenía consecuencias radicales en la posibilidad de enfermedad (aproximadamente el cuádruple). No obstante, solo se disponía de resultados preliminares, ya que estaba llevando a cabo una labor de perfeccionamiento de esta sección. Durante este trabajo, la Consulta de Expertos recomendó que se evaluaran también las medidas de mitigación de efectos combinados (por ejemplo, vacunación y congelación) utilizando el modelo.
Se apuntó que el problema de la campilobacteriosis en los países en desarrollo, desde el punto de vista de la salud pública nacional, podía ser considerablemente diferente al de los países desarrollados (Oberhelman y Taylor, 2000[22]). Las características epidemiológicas de la campilobacteriosis son claras y de ellas se desprende que se dan exposiciones más frecuentes de varias fuentes. Existen pruebas sustanciales y crecientes de que la inmunidad derivada de una exposición repetida desempeña un papel importante en la protección frente a la campilobacteriosis (Cawthraw et al., 2000[23]), lo que puede ser de particular relevancia en los países en desarrollo (Newell & Nachamkin, 1992[24]). Se recomendó que esos países tuvieran en cuenta este factor cuando aplicaran el modelo.
Una de las cuestiones más importantes para los países en desarrollo es decidir si la aplicación del modelo de evaluación de riesgos es apropiado. El modelo puede adaptarse de modo útil para la industria exportadora de aves de corral en esos países, puesto que se prevé que esas operaciones comerciales sean similares a las de los países desarrollados. Sin embargo, a los efectos de la salud pública nacional, el actual modelo de evaluación de riesgos exigiría una considerable adaptación. En particular, las prácticas de elaboración del pollo pueden estar menos normalizadas y ser más variables. Además, es probable que cambien los hábitos alimentarios y es de prever que la situación inmunitaria de la población sea diferente.
Existen numerosas carencias de datos que han impedido la elaboración de un modelo del riesgo completo. Así pues, la consulta de expertos aceptó la omisión deliberada del análisis de la incertidumbre en el modelo.
Se reconoció que evidentemente se necesitaban nuevos datos para un ulterior desarrollo del modelo y también para facilitar la selección de medidas de intervención apropiadas por parte de los responsables de la gestión de riesgos.
La Consulta de Expertos estableció las prioridades de investigación indicadas a continuación. Sin embargo, es fundamental señalar que las prioridades de investigación variarán dependiendo de la cuestión concreta de gestión de riesgos que se esté abordando en la evaluación de riesgos.
A. Evaluación de la exposición
Información sobre la influencia de la variación por cepa específica en la supervivencia de Campylobacter en la carne de aves de corral.
Información sobre las prácticas del consumidor y de la venta al por menor en relación con el riesgo de transferencia de Campylobacter de los productos de aves de corral a las superficies de la cocina y a otros alimentos.
Datos sobre las vías de colonización por Campylobacter de los pollos para asar en la granja, para dirigir de manera apropiada las intervenciones en las mismas.
B. Caracterización del peligro
Datos adicionales de dosis-respuesta.
Datos sobre la variabilidad de las cepas en relación con la virulencia y la patogenicidad.
La Consulta de Expertos reconoció que esta evaluación de riesgos constituía un recurso que podían utilizar muchas partes, incluidas las autoridades nacionales. El documento actual proporciona un marco para realizar la evaluación de riesgos de Campylobacter spp. termófilo en pollos para asar, un enfoque de modelación que puede adaptarse a diversas situaciones y una fuente única de datos y de otra información pertinente. Si bien no obvia la necesidad de crear un equipo de evaluación de riesgos a nivel nacional, reducirá considerablemente la carga de trabajo de ese equipo y el tiempo que necesita para realizar una evaluación de riesgos. Este ejercicio también ha servido para determinar qué tipos de datos se necesitan para la evaluación de riesgos. Aunque se señaló que la recopilación de tales datos dependería del objetivo para el que se realiza la evaluación de riesgos, la evaluación de riesgos destaca una serie de esferas en las que puede que sea necesario centrar las actividades de generación de datos.
Por otra parte, los responsables de la gestión de riesgos pueden usar el modelo en su forma actual para ayudarse a tomar decisiones sobre la conveniencia de intervenciones concretas. Una vez que se recibe información sobre la eficacia de una intervención, puede evaluarse la reducción relativa del número de casos posibles de enfermedad. Más adelante se dan más detalles sobre otras cuestiones concretas en relación con la utilidad de esta labor.
Aplicabilidad del modelo a diferentes sistemas de producció
El modelo descrito en la evaluación de riesgos se ha creado para estimar el riesgo de Campylobacter termófilo en los pollos para asar producidos en un determinado sistema de producción. El modelo es un ejemplo de cómo puede realizarse una evaluación de riesgos y ofrece detalles de modelos matemáticos que podrían utilizarse para describir las prácticas de producción. Para poder utilizar el modelo en diferentes países, es necesario modificarlo a fin de reflejar las prácticas usuales.
Utilidad del modelo para los responsables de la evaluación de riesgos
El modelo contiene todos los elementos necesarios para permitir que quienes elaboran modelos del riesgo puedan realizar una evaluación de riesgos para su propio sistema de producción. El enfoque modular utilizado permite a los que elaboran modelos utilizar varios componentes del modelo individual o colectivamente. Cuando finalmente se presenta el modelo, debe estar estructurado de modo claro y conciso. Esto es importante si se va a utilizar el modelo como instrumento para ayudar a quienes lo elaboran a realizar una evaluación de riesgos.
Utilidad del modelo para los responsables de la gestión de riesgos
La comunicación es un elemento decisivo para garantizar que el modelo de evaluación de riesgos es útil para los responsables de la gestión de riesgos. Los responsables de la gestión de riesgos no deberían utilizar el modelo sin la ayuda y el asesoramiento de evaluadores de riesgos competentes, que puedan explicar los supuestos y las incertidumbres asociadas al modelo. Por ejemplo, en el esquema actual la cocción y la contaminación cruzada no se modelan con datos "reales", porque todavía no se dispone de ellos. La consulta de expertos señaló las limitaciones en la utilidad del modelo debidas a la falta de pruebas y de consenso entre los expertos sobre la importancia relativa de la contaminación cruzada.
Como señaló la anterior Consulta de Expertos sobre Campylobacter spp. en pollos para asar[25], las preguntas sobre gestión de riesgos planteadas por el CCFH no se adaptaban al problema particular de Campylobacter en los pollos.
En una reunión del grupo de redacción del CCFH[26], establecido por el Comité para elaborar un documento de debate sobre las estrategias de gestión de riesgos relacionados con Campylobacter spp. en aves de corral, se consideró que la prestación de orientación a los responsables de la gestión de riesgos sobre la eficacia relativa de las estrategias de mitigación sería un resultado provechoso de la evaluación de riesgos. Habida cuenta de esto, se decidió que se investigarían las intervenciones en diversos puntos del proceso general en lugar de investigar cualquier estrategia concreta de mitigación.
Se seleccionaron cinco escenarios, uno relativo a las repercusiones de modificar la prevalencia en la bandada y otros cuatro relativos a las de reducir la carga de Campylobacter, bien en la parte externa de los pollos en el momento del sacrificio, bien en el intestino antes del mismo. El resultado de estos escenarios se presenta en las secciones Caracterización des riesgos y Resultados más importantes (secciones 5.1.4.4 y 5.1.5).
La aplicación de la evaluación de riesgos de Campylobacter a determinadas regiones o zonas exigirá la recogida e introducción de datos específicos para las condiciones locales. De modo análogo, puede que el modelo de evaluación de riesgos requiera adaptación. El modelo de evaluación de riesgos debería utilizarlo un equipo de análisis de riesgos, que incluya a evaluadores de riesgos. Deben considerarse las necesidades de los responsables de la gestión de riesgos e, igualmente, las limitaciones impuestas por prioridades económicas, políticas, de los consumidores y de las partes interesadas.
El modelo de evaluación de riesgos utiliza un enfoque modular que es aplicable a toda la cadena de suministro de aves de corral. Es de uso flexible y puede abordar una serie de cuestiones relativas a la contaminación por Campylobacter y a su control en las aves de corral desde la producción hasta el consumo. La actividad descrita en el informe abarcó tanto el desarrollo conceptual del modelo como la evaluación de los datos necesarios para demostrar su valor. Sin embargo, para su aplicación práctica, habrá que modificar el modelo, adaptarlo o incluso volver a elaborarlo para que se adecue a las diferentes circunstancias de cada usuario. El modelo no tiene en cuenta la incertidumbre porque faltan datos sobre este aspecto. En lo que se refiere a los países en desarrollo, el modelo es especialmente adecuado a las condiciones de producción y elaboración intensiva que se dan cuando se exporta carne de aves de corral. Si bien también podría adaptarse a los "pollos de campo" criados al aire libre, que son una característica de muchos países en desarrollo, la Consulta de Expertos no disponía de datos sobre un riesgo para la salud pública asociado a este tipo de ave.
La Consulta de Expertos reconoció las incertidumbres que rodeaban la importancia relativa de la cocción insuficiente y de la contaminación cruzada en la cocina pero, basándose en las pruebas epidemiológicas, consideró que la contaminación cruzada era el factor más importante.
La Consulta de Expertos formuló una serie de recomendaciones destinadas a mejorar la transparencia y la utilidad del documento sobre la evaluación de riesgos, a saber:
Debe aclararse cuál va a ser el formato de presentación del documento.
Deben enumerarse los principales supuestos formulados en el estudio.
Deben explicarse de forma completa los beneficios que se derivarían de la aplicación del modelo para la industria de las aves de corral.
Debería facilitarse una descripción simplificada del modelo a los responsables de la gestión de riesgos.
Debe hacerse hincapié en que la aplicación práctica del modelo, en cualquier forma posible, exigirá la capacitación y la orientación de los supuestos usuarios, particularmente en los países en desarrollo.
En el informe deben indicarse las posibles formas de intervención, para ilustrar las medidas que podrían tomar los responsables de la gestión de riesgos.
Es necesario actualizar los detalles técnicos señalados en la información básica sobre producción y elaboración.
| [4] OMS. 2001. Informe de la
Consulta Mixta FAO/OMS de Expertos sobre la Evaluación de Riesgos
asociados a los Peligros Microbiológicos en los Alimentos; Identificación
de peligros, evaluación de exposición y caracterización
de peligros de Campylobacter spp. en pollos para asar y Vibrio
spp. en mariscos. Oficina Central de la OMS, Ginebra, Suiza 23 - 27 de julio
de 2001. OMS 2001. http://www.fao.org/es/ESN/food/risk_mra_campylobacter_es.stm
/ http://www.who.int/fsf/Micro/index.htm [5] Friedman, C., Neimann, J., Wegener, H. & Tauxe, R. 2000. Epidemiology of Campylobacter jejuni infections in the United States and other industrialized nations. In Campylobacter 2nd Edition, pp. 121-138. Edited by I. Nachamkin & M. J. Blaser. Washington DC: ASM Press. [6] Oberhelman, R. & Taylor, D. 2000. Campylobacter infections in developing countries. In Campylobacter 2nd Edition, pp. 139-154. Edited by I. Nachamkin & M. Blaser. Washington DC: ASM Press. [7] Jacobs-Reitsma, W. 2000. Campylobacter in the food supply. In Campylobacter 2nd Ed., pp. 467-481. Edited by I. Nachamkin & M. J. Blaser. Washington DC: ASM Press. [8] Adak, G. K., Cowden, J. M., Nicholas, S. & Evans, H. S. 1995. The Public Health Laboratory Service national case-control study of primary indigenous sporadic cases of campylobacter infection. Epidemiology and Infection 115, 15-22. [9] Black, R. E., Levine, M. M., Clements, M. L., Hughes, T. P. & Blaser, M. J. 1988. Experimental Campylobacter jejuni infection in humans. Journal of Infectious Diseases 157, 472-9. [10] Friedman, C., Neimann, J., Wegener, H. & Tauxe, R. 2000. Epidemiology of Campylobacter jejuni infections in the United States and other industrialized nations. In Campylobacter 2nd Edition, pp. 121-138. Edited by I. Nachamkin & M. J. Blaser. Washington DC: ASM Press. [11] Una bandada es un grupo de gallinas de edad similar que se crían y alojan juntas. [12] OMS. 2001. Informe de la Consulta Mixta FAO/OMS de Expertos sobre la Evaluación de Riesgos de asociados a los Peligros Microbiológicos en los Alimentos; Identificación de peligros, evaluación de exposición y caracterización de peligros de Campylobacter spp. en pollos para asar y Vibrio spp. en mariscos. Oficina Central de la OMS, Ginebra, Suiza 23 - 27 de julio de 2001. OMS 2001. http://www.fao.org/es/ESN/food/risk_mra_campylobacter_es.stm / http://www.who.int/fsf/Micro/index.htm [13] Como se desconocen los límites superiores e inferiores de los valores con que se describen las repercusiones de la cocción insuficiente y de la contaminación cruzada, la distribución de los valores posibles es potencialmente infinita y, por consiguiente, carece de límites. [14] Entre bandadas se refiere a diferentes grupos de gallinas (es decir, a diferentes bandadas). [15] Asimetría es un término estadístico que se aplica a la distribución. [16] El proceso de elaboración de las Las Directrices para incorporar la evaluación de riesgos cuantitativas en la elaboración de normas, directrices y textos afines sobre higiene mcrobiológica de los alimentos de la FAO/WHO comenzó en una consulta convocada en Kiel, Alemania, del 18 al 22 de marzo de 2002. El proyecto de directrices se está concluyendo actualmente y podrá consultarse en el sitio Web de la FAO y de la OMS a finales de 2002. http://www.fao.org/es/ESN/food/risk_mra_riskmanagement_en.stm / http://www.who.int/fsf/Micro/index.htm [17] Newell, D. G. & Wagenaar, J. A. 2000. Poultry infections and their control at the farm level. In Campylobacter, 2ªEd., pp. 497-509. Editado por I. Nachamkin & M. J. Blaser. Washington DC: ASM Press. [18] Jacobs-Reitsma, W. 2000. Campylobacter in the food supply. In Campylobacter 2nd Ed., pp. 467-481. Edited by I. Nachamkin & M. J. Blaser. Washington DC: ASM Press. [19] Mead G.C. 1989. Hygiene problems and control of process contamination. In: Processing of poultry (ed Mead G.C.) Chapman Hall, London. pp 183-220. [20] Notermans S. and Kamplemaker E.H. 1975. Heat destruction of some bacterial strains attached to broiler skin. British Poultry Science, 16: 351-361 [21] Newell, D. G., Shreeve, J. E., Toszeghy, M., Domingue, G., Bull, S., Humphrey, T. & Mead, G. 2001. Changes in the carriage of campylobacter strains by poultry carcasses during processing in abattoirs. Applied and Environmental Microbiology. 67, 2636-40. [22] Oberhelman, R. & Taylor, D. 2000. Campylobacter infections in developing countries. In Campylobacter 2nd Edition, pp. 139-154. Edited by I. Nachamkin & M. Blaser. Washington DC: ASM Press. [23] Cawthraw, S. A., Lind, L., Kaijser, B. & Newell, D. G. 2000. Antibodies, directed towards Campylobacter jejuni antigens, in sera from poultry abattoir workers. Clinical and Experimental Immunology 122, 55-60. [24] Newell, D. & Nachamkin, I. 1992. Immune responses directed against Campylobacter jejuni. In Campylobacter jejuni: Current staus and future trends, pp. 201-206. Edited by I. Nachamkin, M. Blaser & L. Tompkins. Washington DC: ASM Press. [25] OMS. 2001. Consulta Mixta FAO/OMS de Expertos sobre la Evaluación de Riesgos asociados a los Peligros Microbiológicos en los Alimentos; Identificación de peligros, evaluación de exposición y caracterización de peligros de Campylobacter spp. en pollos para asar y Vibrio spp. en mariscos, Oficina Central de la OMS, Ginebra, Suiza, 23 - 27 de julio de 2001. OMS 2001. http://www.fao.org/es/ESN/food/risk_mra_campylobacter_es.stm / http://www.who.int/fsf/Micro/index.htm [26] Informe de la 34ª reunión del Comité del Codex sobre Higiene de los Alimentos, Bangkok, Tailandia, 8 - 13 de octubre de 2001 ALINORM 03/13 párrafo 77. http://www.codexalimentarius.net/reports.asp |