by
M.O. Akoroda
Agronomy Department, University of Ibadan, Nigeria
Summary
This paper is in 12 sections. 1. Estimating production should be based on known administrative units (AU) within which data can be collected by resident agents of government or other agencies; 2. Population of farms, farm-families, inputs, and tools commonly in use; 3. Terrain and Time analysis of soil and weather by year by AU by period is important for each season so as to determine if the production data reflect what is expected for each AU; 4. Known fresh tuberous root yield from real farms (survey) over a wide area and for different conditions will produce a data bank of real yields against which other data can be cross-referenced and checked before being used in the development of the overall estimate of crop production; 5. Extrapolation of farming systems data: from local units usually realised by farmers so that the units are standardised and be repeatedly estimated whenever they are referred to in the data brought to the particular estimation process; 6. Crop life estimates: based on time series from plant to harvest is important in estimating how much of the final yield of a mature crop would be obtained if harvested before full-term of crop development and maturation; 7. Deductions of losses arising from floods/damages can be used to more finely bring the estimates in line with the truth of measurement (accuracy); 8. Record of varieties and their potential yields by AUs to enable a better estimation of cases of mixed varieties especially where the ratios of varieties in farms are not known; 9. Crop area and planting time data, along the season over the 365 days of the year, so that the date of maturity of each batch of planted field can be incorporated in the overall output estimation process thereby avoiding over-estimation; 10. Estimates are constructed bit by bit/in a realistic manner; 11. Recall surveys of how the season was from farmers especially because they do not keep regular records that could be used in the estimation process; and 12. Permanent estimation office where the job of continued development of accurate data on crop production can be undertaken.
Résumé
Cette communication contient 12 sections. 1. Evaluation de la production - celle-ci doit s'appuyer sur des unités administratives (UA) connues au sein desquelles la collecte des données peut être effectuée par des agents résidents de l'administration publique ou d'autres organismes. 2. Population des fermes, familles agricoles, intrants et outils courants. 3. Analyse du sol et du climat par année et par UA - ce diagnostic doit être réalisé pour chaque saison afin de déterminer si les données relatives à la production correspondent à ce que l'on anticipe pour chaque UA. 4. Banque de données - les rendements réels connus des cultures sarclées (par sondage) dans une vaste zone et pour différentes conditions seront intégrés dans une banque de données sur les rendements réels, qui permettra de comparer et vérifier d'autres données avant de les utiliser dans le cadre d'une estimation globale de la production vivrière. 5. Extrapolation de données relatives aux systèmes de culture provenant d'unités locales - habituellement réalisée par les agriculteurs, de façon à normaliser les unités et à les évaluer de manière répétée chaque fois qu'elles sont mentionnées dans les données alimentant un processus d'estimation particulier. 6. Estimations de la durée de vie des cultures - basées sur une série chronologique depuis la plantation jusqu'à la moisson; permet d'estimer le rendement final possible d'une culture arrivée à maturité si elle est récoltée avant l'achèvement de son développement et de sa maturation. 7. Déduction des pertes causées par des inondations - les dégâts peuvent être pris en compte afin d'affiner les estimations. 8. Relevé des variétés et de leur rendement potentiel - à établir par les UA pour une meilleure estimation des cas de variétés mixtes, en particulier là où les ratios de variétés dans les fermes ne sont pas connus. 9. Données relatives à la surface cultivée et à la période de plantation - tout au long de la saison et 365 jours par an, de manière à ce que la date de maturité de chaque parcelle plantée puisse être incorporée dans le processus d'estimation de la production globale, permettant ainsi d'éviter une surestimation. 10. Elaboration des estimations - s'effectue progressivement, d'une façon réaliste. 11. Enquêtes de rappel sur la saison écoulée - menées auprès des agriculteurs, surtout parce que ces derniers ne tiennent pas des registres régulièrement actualisés qui pourraient être utilisés dans le processus d'estimation. 12. Bureau d'estimation permanent - chargé d'entreprendre de manière continue le traitement de données précises sur la production vivrière.
Introduction
Cassava and sweetpotato production estimates are at best, only approximations that can be used to obtain fairly reasonable data needed for practical decision-making. Total census of actual output is an ideal that is too costly and not needful because the output is an ever-changing variable as time passes. Consequently, it will be necessary to adopt strategies for accumulation data on a regular basis. In this way, a fuller grasp of the complex system involved in cassava and sweet potato production systems. Data is a guide for decision making. To this account it would be important to relate cost to data acquisition and the use to which the data will be used. World-wide statistics are generated and compiled with very margins of error. However, they are been helpful in system management in combination with other factor of socio-economic milieu. If the science of agriculture is a principal occupation of the vast majority of sub-Saharan Africans, then its failure or success will depend on good statement of the outcome of farmers in each season of farm work. Consequently, agronomic estimates of farm activity for a defined area over an interval of time would be a much-needed piece of information for planning and management of food supplies.
1. Estimate production based on known administrative units (AU)
Agriculture is zone-specific. Thus, the latitude and longitude of an administrative area (AU) or unit is important in properly defining the productivity of the farming process. The definition of the locality of the farm enterprise is therefore the first definite input (Appendices 5, 6, 10). Government policies on agriculture as well as traditions and ethno-cultural practices also often vary from AU to AU.
Data is habitually collected on the basis of AU. So it would be important to operate from those units so as to obtain the benefit of knowledge of local staff. The most important aspect of using AUs is that time for planting and harvest vary between AUs resulting in differing yields (Appendix 1). So, it is important to get detailed information on the timing of rains and other agro-ecological variables in the normal crop season from start to cessation of field operations for each crop of interest.
When the boundaries of the AU change politically, it would become a cause for re-computation to remove error if not considered in the development of the estimates of crop output for the composite region. Even where the boundaries of the units are agreed rather than political, they will still serve to disintegrate the data into smaller more relevant zones for which more accurate estimates can be obtained or computed (Appendix 4).
2. Population of farms, farmers families, inputs and tools
Population of all farms is a variable that is difficult to ascertain except through laborious methods. The common assumption that requires four men to work a hectare suggests we could get the rough estimate of farmed area from the population of persons. Where machines are used, then human work can be enhanced. Exact population data for each AU from the last census or adjusted data can used to estimate the farming population. A recent estimate can always be sufficiently achieved through surveys and ancillary data sources. When did farmers plant, how many did so by each week of the crop season? Which input was used? The patterns of the farming system in each AU should be known, e.g. annual additions of manure or fertilisers and their types/amounts (Appendix 8 and 9). What quantity and when were they used? (Appendix 11). A family-wise estimate is best. These come from surveys well executed in the season to enable a good estimate. How many people of each age group do we have in each farm-family? This will help in the assessment of the person-days available for the work of the hectares of farmland that have been said to be under cultivation if no hired labourers were used. The extent of commercialisation and market in the locality greatly improves the readiness of farmers to adopt and use inputs as well as the volume of inputs towards improving the yields from their farms.
Chheda (1990) found a mean fresh cassava root yield of 18.3 t/ha from 34800 small plot trials in southern Nigeria. The mean yield rose to 23.8 t/ha when farmers adopted recommended variety, fertiliser, spacing or a combination of these. The 30 % change in yield is due to new agronomic inputs that the farmer can employ or may not. A change of this magnitude in estimates is significant if care is not taken in applying mean figures extrapolated from some trials that is differ in conduct from those under real farms.
What machines are in use in the AU? As labour and farm work energy seem very related in many areas, there is need to capture the extent of animal and machine engagements in farm operations.
State-wide share of land under cropping per farm family (FF) can be worked out to guide the estimates for each crop in each AU. Olayide and Adegeye (1982) found just 26859 million out of 70640 million hectares of arable land of the total land area of 942000 million hectares of Nigeria were cultivated in any one year under shifting cultivation. Thus, only 28-35% of all arable land was cultivated in any one year when each FF had 5.135 ha of arable land (Appendix 4). Furthermore, the amount of arable land available for annual cultivation changed depending on the interval of rotation of farm land was adopted within each AU (Appendix 3).. Each AU must be considered with regard to its predominant land use system, so that the number of years for which cassava is grown can be assessed.
3. Terrain and Time analysis: soil and weather by year by AU by months
Soil and weather are major determinants of the output of any crop. Thus, a map of soil classes and their prevalent associated weather/climate is needed for developing estimates. The terrain may be sloppy, flat, with shallow or deep soil, irrigated or not. The hectares of the area under each soil class should be determined. These are essential in adjusting yield estimates. The inherent soil fertility or constraints of each AU should be known. A compendium of research results on soils and crops in the AU should be sought and used to improve production estimation. The level of fertiliser and manure used in the season for the crop is an important input that should not only be described but also be quantified as to type and quality. When was the soil amendment applied to the crop or the soil? Was the full effect of the amendment realised by the crop in the during the particular crop season?
Growth phases as shown for 18 months in Appendix 2 are not all applicable to every cropping system in farms. Thus, when the crop life terminates after 12 months, only some of the phases are observed. Where a 12-month farming cycle is adopted, to fit the average pattern of annual rainfall, production estimation should tally with the timing of field operations in each AU.
For what period is the estimate of output intended? Is it from January to January or March to March of one year to that of the other year? Once the period is decided, it should be the same for all AUs across the country. This is because the agro-ecological diversities in terrain will make the time limits cut across different phases of the crop growth in the different AU that make up the estimation domain. If the varieties over an area are repeatedly grown over the years, it suggests that a good mean value can be used for estimation where a large number of measurements of field cuts have been made.
4. Known fresh tuberous root yield from real farms (survey)
A real farm is piece of land that is cultivated by a farmer not by researchers (who do not get their livelihood from farming). Asher et al. (1980) noted that exceptional cassava fresh root yields of over 80 t/ha/year occur but that under favourable growing conditions, around 18t/ha of dry roots or 30 t/ha of fresh roots are obtained in 12 months of growth, and that higher yields are seldom attained in practical farming. Thus, true yield data from farms in each AU are basic to production estimation. No yield data actually obtain from fields of farmers together with its associated variables is useless towards production estimation. Notes should be taken of the soil, rainfall, seed rate, health status of the seed, surviving plant stands, fertiliser applied, number of weeding or other weed control practices executed will determine the yield for each variety of crop. Because the timing of the practices is critical for their influence on yield development, it is important that ideal crop conditions should be found for each AU so that the yields can be related to the reference ideal yield for that AU. An accumulation of the real yield data would be a veritable guide to any quoted yield range. A custom of very accurately measuring root yields from any mature farm in the area will be a good step towards accumulating the data that would form the basis of current and later estimation exercises. Yields for many farmers come from about 0.25 ha the average farm size for most farmers in Nigeria. Yet research data comes from four replications each of 40 plants in each of four replications (160 m2). This area is only about a 16th part of the actual field area of farmers. A real farm would have tree shades at differing levels, rock outcrops, fallen trees, timber logs, and other interference that not only restrict both area given to the planted crop and the process of yield development, but also the productivity through incomplete solar capture. Several studies have shown that real farm yields are usually 37-67 % of the on-station research fields in many parts of sub-Saharan Africa.
Akoroda (1998) computed a mean fresh root yield of 18.7 t/ha for a 12-month crop growth period from a wide collection of 1754 trials that received no manure or fertiliser representing many genotypes, sites, and years. Assume we use this general mean as estimate of the yields of all varieties in an area for which the cumulative hectares is known, we would not be far from a good estimate of the output from the farms in that area. This sort of broad-based average should be sought for each AU.
The data in Appendix 7 shows that seasons and location and fertiliser can greatly alter the level of production of cassava. Thus, information on each of these would be needed. Any attempt to try to weigh every production field is out of the way. It is an impossible task.
5. Extrapolation of farming systems data: from local units realised
The weighing of tuberous roots harvested are done on the same day of harvest to get the yield. In practice, weights are taken several days after harvest. Some people select sellable or marketable roots and others do not. Every root should be weighed and the different classes of roots sorted afterwards. In many areas, volumetric units of measures are used. The traditional or local units do not give constant weights and must be standardised for use in computations. Local units vary from area to area and their metric equivalents should be found so also is their margin of error. Long storage before the weighing of the yield is a common factor hindering the exact output of the field.
What are the common crop mixtures in each AU? What is the share of cassava or sweetpotato as regards area and plant population, nutrient application or pest control/management, etc.? What levels of yield have been obtained under such mixes in the past?
6. Crop life estimates: based on time series from plant to harvest
The time at which harvest is taken affects the yield. The yield will depend on the stage of the sigmoidal curve of growth of the crop attained at the day of harvest (Table 1). This will determine the stage of root yield development reached (Appendix 1, 2, and 12). Thus, it would be higher if it is near the final stage of root yield development. The exact time to harvest is difficult to ascertain but for many cassava varieties harvest begins 7-9 months after planting. But regular field inspection will be needed to closely pinpoint the date of harvest so as to get the best yield. Too late or too early will give unrealistic yields and affect the estimates if they differ from expectations. Dates of planting and harvest are important in estimating crop yields (see Table 1). What proportion of a usual crop life has been expended at the time the harvest was taken?
Table 1. Change as percent of the final root yield of sweetpotato for 10-day intervals after planting.
|
10-day intervals after planing |
g/m2 Japan (Agata) |
Percent of final root yield |
Percent of final root yield in Nigeria |
|
|
S.Guinea Savanna |
Humid Forest |
|||
|
1 |
0 |
0 |
0 |
0 |
|
2 |
0 |
0 |
0 |
0 |
|
3 |
0 |
0 |
0 |
0 |
|
4 |
0 |
0 |
0 |
0 |
|
5 |
44 |
2.4 |
3.1 |
2.1 |
|
6 |
89 |
4.8 |
10.9 |
10.6 |
|
7 |
189 |
10.1 |
20.3 |
21.3 |
|
8 |
267 |
14.3 |
34.4 |
36.2 |
|
9 |
756 |
40.5 |
53.1 |
53.2 |
|
10 |
933 |
50.0 |
70.3 |
72.3 |
|
11 |
1133 |
60.7 |
81.3 |
83.0 |
|
12 |
1289 |
69.0 |
93.8 |
93.6 |
|
13 |
1467 |
78.6 |
98.4 |
97.8 |
|
14 |
1600 |
85.7 |
100.0 |
100.0 |
|
15 |
1778 |
95.2 |
|
|
|
16 |
1867 |
100.0 |
|
|
Wilson (1982) found for six sweetpotato varieties that roots were initiated 0-8 WAP and gained 0.4-7.6 g/plant/week, mean 3.9 g; and had a rapid linear tuber bulking over 8-24 WAP (8-16, mean 13 weeks) with weight gains of 26-47 g/plant/week, mean 33 g. In this second period, about 90 percent of the root weight is accumulated. Overall, root yield were 16.3-31.6 t/ha, mean of 23.4 t/ha).
In Appendices 1 and 12, the graph of root dry matter progressively increased over 360 days shows some tuberous roots can be harvested as from 3 months after planting depending on variety. From Table 1, it is possible therefore to approximate the percentage of the crop harvested as: Pd × Sa × Ef; where Pd is the percentage of the final yield harvested on a decade of harvest, Sa the proportion of sweetpotato area in the farm, Ef is the expected final yield under the local condition. This also assumes that spacing of sweetpotato varies, being 45-100 cm by 20-45 cm depending on the cropping conditions and the size of final roots desired.
7. Deductions of losses: floods/damages
Un-harvested plants, the partial harvest of some others (broken tuberous roots), the incomplete collection of all roots from the field to the barn or weighing site cause root losses. Floods occur at times in the developmental scheme and as such can be measured as to the retardation in the yield development process. Amount and frequency of animal damage can be assessed in each area and then used to adjust the amount of losses to be deducted from the estimated output. Rodents, theft, erosion removal of parts of the plot, and other such losses are very difficult to estimate. Only the farmer can give the estimate of such losses that is why it is good to have a recall survey.
The magnitude of losses at all stages of the production process is important in assessing the level of output. Failure to fairly adjust the estimated production has led to a false information in or an over-estimation of the productive ability of local agriculture. Farm based attempts only are not enough because the stages/steps of losses are from the production field to the consumption point. But for production purpose, we shall stop the operations at the farm-gate. Thus, measures must be put in place to enable us capture the damages and losses of this season and other seasons so that a pattern of damage and loss can be established so that in the estimation process, these would be incorporated.
8. Record of varieties and their potential yields by AUs
Yields of crop varieties change from farmer to farmer and from season to season among farmers even in the same AU. The ratio of varieties combined in one plot or field is also an ever-changing variable. The list of all varieties currently being grown should be assembled by AU. Their potential maximum yields in the AU (present and past) can be used to evaluate the consistency of the estimates. Multi-locational yield trials conducted in the past at different sites should be kept (Appendix 7). One big problem is the issue of small areas and the estimation based on a sum obtained from combining the areas of all farms in the area. It just does not usually add up. Small plots that are only small fractions of the hectare are not to be treated as hectares in yield estimation. Yields per squared meter are higher in the small plots than in big plots. So, appropriate adjustment is needed. Yield has to be well-defined. Does the yield include all tuberous roots or just those that can be sold? What of shoot weight that is simultaneously harvested for feeding livestock? It has been reported that roots are 50% of the fresh weight of the whole plant for many varieties and about 35% of the dry weight (Asher et al. 1980).
9. Crop area and planting time data and evolution along the season
A planted area has boundaries on the ground. Measuring such areas on the field is a tedious work. Poles, compass, chain, and ropes are used to demarcate and measure angles of inclination of lines. The plot of the land is then drawn on paper and the area computed geometrically. This has to be done for all plots for all farmers. This is, however, achieved by representation of a small sample of farmers' fields. What proportion of the field is taken up by a single crop if there is an inter-crop? Perhaps, the most difficult information to obtain is the time sequence and flow of work from start of planting to harvest for each crop in the mixture. This will determine the proportions of the overall area of cultivated field that is mature as at the first day of harvest. An interval of 7-10 days is best so that it tallies with the rainfall decade. Data of cropped area of each small farm where there are no measuring tools will be a major problem. One way around this is the use of pacing coefficients (average pace length). A pace around, or length and breadth of the farm or the diagonal of a rectangle or other forms of it could be used to generate the nearest size of the farm. From such estimates, combined with the plant population of a small area or the units of yield in traditional measures (sacs, head-pans, standard baskets, etc.) can be used in re-computing the output of the farm. The extension agent should be well-versed in these methods so that better precision in data gathering is achieved.
10. Estimates are constructed bit by bit in a realistic manner
The model for arriving at the estimate of overall output is a multi-dimensional issue. Only a well-loaded construct with as many simple-to-collect variables can give us the most reliable estimates. Actual field weighing is faulted by poor scale balance data due to malfunction or wrong reading of the dial. Weighing balances should be calibrated and reference weights always used to check them. What is a mature tuber of sweetpotato? Any tuberous root can be eaten depending on the level of food shortage and hunger status in the community. Thus, the harvest as tuber yield depends on if the farmer does a one-time harvest or piecemeal harvests to suit the frequency of home needs or the periodicity of local market days. Piecemeal harvests are difficult to measure when no dates of harvest are kept.
11. Recall surveys of how the season was
Recall of how the season was by farmers in relation to the immediate past season(s) would give us a useful reference for comparison. This will help the estimation of the output of the new crop season. Recalls are good guides as it is an overall assessment of the general productivity of the crop in the particular season in the area. Where record keeping is not a well-established practice among farmers, early recall soon after the season can give a good feel/relative measure of the season's productivity. Through recall, a more complete yield picture is built. The harvest of leaves (frequency and amount), petty sales of small amounts of roots, gifts of some roots to relatives and friends, that occur periodically throughout crop life can be remembered and recorded so as to enable a more complete accounting for the yield from farmers fields.
12. Permanent estimation office
Estimation process is a continuing exercise that is assisted by field supervisors who observe and record actual farm-work in each representative zone. Data from different sources (weather data from the meteorological service, population statistics, land-use and survey office, would also be collected and used to continuously adjust an earlier estimate. This will give good reason for any adopted estimate. New data from seemingly unrelated studies may be used to test and confirm the validity of the estimates arrived at on the basis of one-line and one-time survey. Recording of data and recopying have also been sources of errors especially during data transfer from small to larger record files or notes. A study of some cases will show wrong records that can alter the final figures of yield and output. The best way to estimate yield will do with a deep grasp of the production variability over a long time. Such time series data help in better assessing the verity of new data (Anderson et al. 1987).
References
Agata W. 1982. The characteristics of dry matter and yield production in sweetpotato under field conditions. Pages 119-127 in Sweetpotato: First International Symposium on Sweetpotato. AVRDC, Taiwan, China.
Akoroda MO. 1998. Sustainable root yields and cassava breeding in Africa. Proceedings of Sixth symposium of ISTRC-AB at Lilongwe, Malawi in 1995. Pages 271-276.
Akoroda MO. 1999. Study of the contribution of cassava and sweetpotato to total food availability in Malawi. 60 pages. USAID, Lilongwe, Malawi.
Aladejana K. 1985. Guidelines on National Policy on Agricultural Land Resources. P. 98-110. In: Efficient use of Nigerian land resources. Proceedings of the First National Seminar on Agricultural land Resources. Kaduna. Federal Department of Agricultural land Resources. Lagos.
Anderson JR, Peter BR, Hazell and LT Evans. 1987. Variability of cereal yields: sources of change and implications for agricultural research and policy. Food Policy 12 (3): 199-212.
Asher CJ, Edwards DG and Howeler RH. 1980. Nutritional disorders of cassava. Australian Center for International Agric. Research (ACIAR), Bundaberg, Australia. 48 p.
Buringh P. 1985. The land resource for agriculture. Philosophical Trans. Royal Soc. London B 310: 151-159.
Chheda HR. 1990. Building bridges on the road to sustained agricultural growth. Valedictory Address, Federal Agricultural Coordinating Unit, Ibadan. Nigeria. 21 pages.
Edelman J and Fewell A. 1985. Commodities into food. Philosoph. Trans. Royal Soc. London B 310: 317-325.
Ekanayake IJ. 1993. Growth and development of cassava: a simplified phasic approach. Tropical Root and Tuber Crops Bulletin 7(1): 4-5. IITA, Ibadan, Nigeria
Larbi A, Nwokocha HN, Smith JW, Anyawu, Gbaraneh LD, and Etela I. 1998. Sweetpotato for food and fodder in crop-livestock systems. ILRA-NRCRI Collaborative Research. 1997 Ann. Report. ILRI, Ibadan, Nigeria.
Olayide SO and Adegeye AJ. 1982. The economics of the existing land use practices in Nigeria and Prospects for improvement p301-315. In: Efficient use of Nigerian land resources. Proc. First National Seminar on agricultural land resources. Kaduna. Federal Dept of Agricultural land Resources. Lagos.
Nnodu EC, Okeke JE, Dixon AGO. 1998. Evaluation of newly inproved cassava varieties for Nigerian Ecologies. Proc. 6th ISTRC-AB Symp., Malawi. ISTRC-AB, IITA, Ibadan, Nigeria.
Veltkamp HJ 1986. Physiological causes of yield variation in cassava (Manihot esculenta Crantz) Agric. University Wageningen Papers 85-6. The Netherlands. 103 p.
Wilson LA. 1982. Growth and tuberisation. Pages 79-94 127 in Sweetpotato: First International Symposium on Sweetpotato. AVRDC, Taiwan, China.
Wholey DW and Cock JH. 1974. Onset and rate of root bulking in cassava. Experimental Agric. 10: 193-198.
Howeler RH and Cadavid LF. 1990. Short- and long-term fertility trials in Colombia to determine the nutrient requirement of cassava. Fertiliser Research 26: 61-80.
List of Appendices
1. Total and root dry matter yield of several cassava clones at different times of planting (vertical line = LSD (P < 0.05) (Veltkamp 1986)
2. Phasic development (phenology) of cassava to a uni-modal rainfall pattern: I. Establishment phase; II. storage (tuberous) root initiation phase; IIIa. Slow storage root bulking phase; IIIb. Rapid storage root bulking phase, IV. Recovery phase; and V. second storage root bulking phase (Ekanayake 1993)
3. Change in the availability of arable land as the interval of rotation from two, three, four to five years in Nigeria (Olayide and Adegeye 1982)
4. State-wise land area available to each farm family showing the variation between states in Nigeria (Olayide and Adegeye 1982)
5. and 6 Partitioning of land resources to enable the estimation of land available for farming communities for the different crops and forest land (Alafejana 1985)
7. Variation of fresh cassava root yields in nine locations with and without fertiliser application in Nigeria. Note the variation even for the same variety across locations and fertiliser input use (Nnodu et al. 1998)
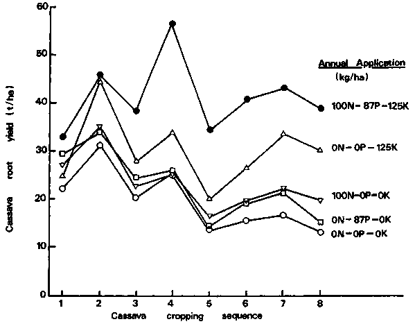
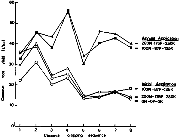
8 and 9. Effect of various levels of annual application of N, P, K fertilisers on cassava root yield during 8 consecutive croppings in a long-term NPK trial conducted in CIAT-Quilichao (Howeler and Cadavid 1990). Note the decline in yields as one time or no annual application of fertiliser to compensate for nutrient export with the removal of plant materials each annual harvest.
10. Partitioning of land area into different forms of constraints to arable use of the land will permit the land extension approaches to be well appreciated during decision making (Buringh 1985).
11. Age distribution is a fundamental instrument for assessing the workforce available for doing crop cultivation in each administrative unit of land. A shift of this distribution is to be monitored as often as is possible. (Edelman and Fewell 1985)
12. Increase in fresh root weight of 12 cassava varieties after 2, 3, 5, 7 months of growth (vertical lines show significant differences (P < 0.05) between regression on Y = a + bx2 (Wholey and Cock 1974)
Appendices 1 and 2


Appendix 3
NIGERIA: POSSIBLE LAND UNDER ROTATION SYSTEM CROPING PER YEAR
|
STATES |
Area Under Shifting Cultivation @ 38% of Arable Land |
Biennial Rotation of Arable Land |
Triennial Rotation of Arable Land |
Quadriennial Rotation of Arable Land |
Quinquennial Rotation of Arable Land |
|
Anambra |
0.725 |
0.954 |
1.278 |
1.430 |
1.526 |
|
Bauchi |
1.342 |
1.766 |
2.366 |
2.649 |
2.286 |
|
Bendel |
1.799 |
2.367 |
3.171 |
3.550 |
3.786 |
|
Benue |
1.450 |
1.098 |
2.556 |
2.861 |
3.052 |
|
Borno |
0.832 |
1.095 |
1.467 |
1.643 |
1.752 |
|
Cross River |
1.342 |
1.766 |
2.366 |
2.649 |
2.286 |
|
Gongola |
1.020 |
1.342 |
1.798 |
2.013 |
2.147 |
|
Imo |
0.671 |
0.883 |
1.183 |
1.325 |
1.413 |
|
Kaduna |
3.275 |
4.309 |
5.774 |
6.464 |
6.894 |
|
Kano |
2.013 |
2.649 |
3.550 |
3.974 |
4.238 |
|
Kwara |
3.463 |
4.557 |
6.106 |
6.835 |
7.290 |
|
Lagos |
0.161 |
0.212 |
0.284 |
0.318 |
0.339 |
|
Niger |
1.315 |
1.731 |
2.319 |
2.596 |
2.769 |
|
Ogun |
1.020 |
11.342 |
1.798 |
2.013 |
2.147 |
|
Ondo |
1.100 |
1.448 |
1.940 |
2.172 |
2.317 |
|
Oyo |
1.342 |
1.766 |
2.366 |
2.649 |
2.826 |
|
Plateau |
1.557 |
2.049 |
2.745 |
3.073 |
3.278 |
|
Rivers |
0.895 |
1.131 |
1.515 |
1.696 |
1.809 |
|
Sokoto |
1.557 |
2.049 |
2.745 |
3.073 |
3.278 |
|
NIGERIA |
26.859 |
35.324 |
47.237 |
52.983 |
56.513 |
Source: Olayide, S.O. Primer of Green Revolution in Nigeria, CARD University of Ibadan Nigeria, 1980 (In Press)
Appendix 4
NIGERIA: ESTIMATED POPULATION AND LAND SITUATION
|
STATES |
Proportion of Nation's Land Area |
Area in million Hectares |
Arable land @ 75% of total land (Million Ha) |
Farmer Population in 1980 (Million) |
Arable land per Farmer (Ha) |
|
Anambra |
0.027 |
2.543 |
1.907 |
0.608 |
3.137 |
|
Bauchi |
0.050 |
4.709 |
3.532 |
0.660 |
5.352 |
|
Bendel |
0.067 |
6.310 |
4.733 |
0.618 |
7.659 |
|
Benue |
0.054 |
5.086 |
3.815 |
0.699 |
5.458 |
|
Borno |
0.031 |
2.920 |
2.190 |
0.755 |
2.901 |
|
Cross River |
0.050 |
4.709 |
3.532 |
0.961 |
3.675 |
|
Gongola |
0.038 |
3.579 |
2.684 |
0.420 |
6.390 |
|
Imo |
0.025 |
2.355 |
1.766 |
1.323 |
1.335 |
|
Kaduna |
0.122 |
11.491 |
8.618 |
1.084 |
7.950 |
|
Kano |
0.075 |
7.064 |
5.298 |
1.528 |
3.467 |
|
Kwara |
0.129 |
12.150 |
9.113 |
0.424 |
21.493 |
|
Lagos |
0.006 |
0.565 |
0.424 |
0.292 |
1.452 |
|
Niger |
0.049 |
4.615 |
3.461 |
0.768 |
4.507 |
|
Ogun |
0.038 |
3.579 |
2.684 |
0.384 |
6.990 |
|
Ondo |
0.041 |
3.861 |
2.896 |
0.722 |
4.012 |
|
Oyo |
0.050 |
4.709 |
3.532 |
1.378 |
2.563 |
|
Plateau |
0.058 |
5.463 |
4.097 |
0.362 |
11.318 |
|
Rivers |
0.032 |
3.014 |
2.261 |
0.409 |
5.528 |
|
Sokoto |
0.058 |
5.463 |
4.097 |
0.362 |
11.318 |
|
NIGERIA |
1.000 |
94.185 |
70.640 |
13.757 |
5.135 |
Source: Olayide, S.O.; Eweka, J.A. and Bello-Osagie Nigerian Small Farmers. CARD, University of Ibadan Nigeria, 1980, PP 1 - 15
Appendices 5 and 6
Table 1 Land Use Pattern as Revealed by the NIRAD Forestry Project in 1978.
|
Land Use |
Area (000 ha.) |
% of Total Land Area |
|
|
Forest and other wooded area: |
|
|
|
|
|
Forest |
31,339 |
33.9 |
|
|
Open woodland |
35,786 |
38.8 |
|
Arable and land under permanent: |
|
|
|
|
|
Crops |
24,605 |
26.6 |
|
|
Others |
647 |
0.7 |
|
|
Total |
92,277 |
100.0 |
Table 2. Forest Reserves by Vegetation Zones
|
Vegetation Zone |
Area of reserve (000 ha.) |
% of total area of reserve |
|
|
Sahel |
257 |
3 |
|
|
Sudan |
3,124 |
32 |
|
|
Guinea Savanna |
3,827 |
40 |
|
|
Derived Savanna |
320 |
3 |
|
|
Moist Forests: |
|
|
|
|
|
(a) Ferruginous soils |
710 |
7 |
|
|
(b) Ferralitic soil on basement complex |
432 |
5 |
|
|
(c) Ferralitic soil on sedimentary formation |
903 |
9 |
|
Fresh water swamp |
25 |
0.3 |
|
|
Mangrove |
53 |
0.7 |
|
|
Total = |
9,651 |
100.00 |
|
Source: Technical Report No. 3, NIR/71/546.
Appendix 7
Appendices 8 and 9


Appendices 10 and 11
Table 4. Crop Production Constraints of The Land Area of the World (Millions of Hectares)
|
constraint |
area |
percentage |
|
|
ice covered |
1490 |
10 |
|
|
too cold |
2235 |
15 |
|
|
too dry |
2533 |
17 |
|
|
too steep |
2682 |
18 |
|
|
too shallow |
1341 |
9 |
|
|
too wet |
596 |
4 |
|
|
too poor |
745 |
5 |
|
|
|
subtotal |
11622 |
78 |
|
low productive |
1937 |
13 |
|
|
medium productive |
894 |
6 |
|
|
highly productive |
447 |
3 |
|
|
|
subtotal |
3278 |
22 |
|
|
total |
14900 |
100 |
(Source: various data from literature cited and the F.A.O.-Unesco soil map of the world.)
TABLE 1. U.K. age distribution of total population
|
|
(a percentage of population) |
||
|
age range |
1901 |
1981 |
|
|
0-5 |
11 |
6 |
|
|
5-14 |
21 |
15 |
|
|
15-45 |
48 |
42 |
|
|
45-65 |
15 |
22 |
|
|
65-75 |
3 |
9 |
|
|
75-plus |
1 |
6 |
|
|
|
Total population |
38.2M |
55.1M |
a: Source: Central Statistical Office (1984).
Appendix 12
