Racines et tubercules en République Démocratique du Congo - Importance dans la sécurité alimentaire Contribution à l'amélioration de la production des statistiques
Par
NGONDE NSAKALA Robert
Ingénieur Agro-Economiste
Directeur du Service National des Statistiques Agricoles
Summary
In the DRC, cassava is the main staple food amongst root and tuber crops. It offers various products (fresh roots, cosettes, paste, chikwangues) which are consumed almost in all provinces and, therefore, it forms an important part of the food habits of 70% of the population in the country.
Cassava is often cultivated in association with other crops. The need to assure food security explains the choice of cultivating cassava as dominant crop in mixtures with other crops since it constitutes the main staple food used by the entire population, due also to the fact that both roots and leaves are consumed.
With respect to producing statistical data, the assessment of cassava production has been made since long and the estimation of that production has gone through various stages of methodological development which have evolved over time.
Even though DRC has a long tradition of assessing crop production, the reliability of data on cassava production has always raised concern. Whilst the production of fresh roots might be known, that of the leaves is not, despite the fact that cassava leaves are ranked at the forefront of vegetable consumption by the Congolese population. It is therfore useful for statistics on cassava production to take into account the production of leaves.
The improvement of the estimation of cassava production and leaves depends on:
(i) an assessment of the fresh root production and leaves by regular visits to the producers (weekly or monthly) in order to capture the existing fluctuations in the harvested quantities of those products throughout all provinces.
(ii) Taking into account the local units of measurement used in transporting products from the harvest area to the village. A constant calibration of these units is needed.
(iii) Taking into account different varieties. Since the yields are different for the different varieties, it is not apprpriate to apply a single average yield to cassava in general.
Resumé
Des racines et tubercules en RDC, le manioc est la culture vivrière la plus importante. Il offre des produits (racines fraîches, cosettes, feuilles, pâtes, chikwangues) qui sont consommés dans presque toutes les provinces et entre, de ce fait, dans les habitudes alimentaires de plus ou moins 70 % de la population totale.
Le manioc est souvent cultivé en associations avec d'autres cultures. L'objet de la sécurité alimentaire prime dans le choix des différents types d'associations où l'on trouve toujours le manioc en tête, en tant qu'aliment de base de la population par ses racines et ses feuilles.
Néanmoins, sur le plan de la production des statistiques, l'évaluation de la production du manioc est faite depuis des lustres et l'estimation de la production de ce dernier fait l'objet des méthodologies qui ont évolué dans le temps.
Quoique la RDC ait une assez longue tradition des évaluations de la production, la fiabilité des données produites pour le manioc peut toujours soulever des interrogations. Si la production des racines fraîches semble être connue, celle des feuilles ne l'est pas. Cependant les feuilles de manioc se placent au premier rang des légumes- feuilles consommés par la population congolaise. Il est donc utile que les statistiques de la production du manioc prennent aussi en compte les feuilles.
L'amélioration de l'estimation de la production du manioc et des feuilles passe par:
(1°). Une évaluation de la production des racines fraîches et des feuilles par des visites régulières (hebdomadaires ou mensuelles) auprès des producteurs de façon à tenir compte de la fluctuation observée dans la récolte de celles-ci dans la plupart des provinces.
(2°). Une prise en compte des unités locales de mesure servant au transport des produits des lieux de récolte au village. Quitte à assurer un calibrage régulier de celles-ci.
(3°). Une prise en compte des variétés. Les rendements étant différent selon les variétés, il ne semble pas opportun d'appliquer un rendement moyen unique à tout ce qui est manioc.
I. Introduction
Les racines et tubercules principalement produites en République Démocratique du Congo sont le manioc, la patate douce, l'igname, le taro et la pomme de terre. S'il faut se référer aux les statistiques officielles des cinq années (1992 - 1996), la situation de la production des racines et tubercules se présente de la manière suivante:
Tableau 1: Production des racines et tubercules (en 000 tonnes)
|
Produits\Année |
1992 |
% |
1993 |
% |
1994 |
% |
1995 |
% |
1996 |
% |
|
1. Igname |
288,500 |
1.4 |
289,540 |
1.5 |
294,300 |
1.5 |
88,732 |
0.5 |
90,315 |
0.5 |
|
2. Manioc |
19779,900 |
96.6 |
18890,386 |
96.0 |
19101,683 |
96.0 |
16870,522 |
97.6 |
16886,771 |
97.2 |
|
3. Patate douce |
402,800 |
2.0 |
401,381 |
2.0 |
407,359 |
2.0 |
168,834 |
1.0 |
238,785 |
1.4 |
|
4. Pomme de terre |
- |
|
112,924 |
0.5 |
115,826 |
0.5 |
86,687 |
0.5 |
87,465 |
0.5 |
|
5. Taro |
- |
- |
- |
- |
- |
- |
67,739 |
0.4 |
69,623 |
0.4 |
|
Total Production |
20471,200 |
100.0 |
19694.231 |
100.0 |
19.919.218 |
100.0 |
17282.519 |
100.0 |
12372,959 |
100.0 |
Source: Ministère de l'Agriculture et de l'Elevage, «Annuaire des Statistiques Agricoles», 1997 p. 7 et calcul personnel.
Les données présentées sur la période indiquée ci-dessus proviennent de l'Enquête Annuelle de Production menée par le Service National des Statistiques Agricoles sur l'ensemble du territoire de la RDC.
Ces données montrent que dans la production des racines et tubercules, le manioc représente à peu près 97 %, la production des autres spéculations (Igname, Patate douce, Pomme de terre et Taro) peut, dans l'ensemble, être considérée comme marginale (3 %).
Cette considération justifie l'intérêt que l'on va porter sur la seule culture du manioc dans le présent exposé.
Les lignes qui suivent comprennent les points suivants: (1°) le manioc et la sécurité alimentaire, (2°) la production des statistiques sur le manioc et (3°) une contribution à l'amélioration de la production des statistiques sur le manioc.
II. Le manioc et la sécurité alimentaire
II.1. Généralités
Les statistiques agricoles officielles en RDC indiquent que le manioc est la culture vivrière la plus importante du pays. Il occupe la première place en volume et représente près de 75% de la production vivrière totale. Il est produit, transformé, commercialisé et consommé dans toutes les provinces avec toutes les indications de revenus induits par les différents produits et services occasionnés.
Le manioc entre dans les habitudes alimentaires de plus ou moins 70 % de la population totale. Sa consommation moyenne annuelle par habitant est estimée à 450 Kg de racines fraîches. Elle est la plus élevée des pays de la SADC et probablement aussi la plus élevée au monde.
Dans cet espace, la consommation moyenne annuelle par habitant évaluée au cours de la période 1995 - 1997 est présentée dans le tableau suivant:
Tableau 2: Tendances dans la production de manioc en Angola, Malawi, Mozambique, Tanzania, Zambia et Zimbabwe et Kg par habitant par an
|
Pays |
Kg/hab./an |
|
1. Angola |
213 |
|
2. Malawi |
20 |
|
3. Mozambique |
267 |
|
4. Tanzania |
199 |
|
5. Zambia |
65 |
|
6. Zimbabwe |
13 |
Source: «Food security and diversification in SADC countries: the role of cassava and sweetpotato», Fév. 1999 p. 30.
Le manioc représente environ 70 % des apports glucidiques de la ration quotidienne de 95% des congolais. Il lui est cependant reproché une certaine toxicité surtout lorsque la transformation n'est pas correctement effectuée. Sa récolte échelonnée pendant toute une année et parfois plus, fait qu'il soit la plus importante réserve de nourriture.
Les racines tubéreuses peuvent être consommées crues, bouillies, grillées ou transformées. Les feuilles constituent un légume de base très apprécié par les congolais.
En outre, le manioc est une culture de rente qui permet aux ménages agricoles de se procurer plus de 85 % de revenus dans certaines zones rurales du pays.
II.2. Les systèmes de culture
Le manioc est souvent cultivé par les petits producteurs du secteur informel. Il se retrouve généralement en association avec d'autres cultures.
Les provinces du Bas-Congo, de Bandundu et Kinshasa fournissent 30% de la production totale du manioc en RDC; 88.2% des paysans font du manioc en association avec d'autres cultures et 6.8% le font en culture pure[10]. Il est fort possible que cet ordre de grandeur se retrouve un peu partout dans les aires de production de manioc.
Les principales associations de cultures observées dans ces provinces sont[11]:
Manioc et arachide
Manioc, arachide et maïs
Manioc et cajanus cajan
Manioc et patate douce
Manioc et tomate
Manioc et courge
Manioc et haricot
Manioc et vigna
Manioc, riz et maïs
L'objet de sécurité alimentaire prime dans le choix des différents types d'associations où l'on trouve toujours le manioc en tête, en tant qu'aliment de base de la population par ses feuilles et ses racines.
Dans la province du Bas-Congo, le manioc est principalement associé avec l'arachide ou le haricot ou la patate douce ou le maïs. Le port rampant de la patate douce assure une bonne protection du sol. Le haricot couvre rapidement le sol et le protège. L'arachide (tout comme avec le haricot), offre une association bénéfique pour le sol et procure un rendement financier supplémentaire non négligeable.
Le manioc vient habituellement en fin de rotation mais sur des sols pauvres ou en cas de forte demande, il est placé en tête de rotation.
Dans la province de Bandundu, les productions d'arachide, de millet et de courge sont les plus vendues en savane et de ce fait viennent en tête de rotation pour permettre l'acquisition d'un revenu devant servir à la satisfaction des besoins de base. Le manioc intervient après et reste longtemps au champ pour garantir la disponibilité et la stabilité d'approvisionnement en aliments de base. En forêt, on arrive à mettre ensemble l'arachide, la courge et le maïs suivi du manioc, association et rotation qui exploitent au maximum le sol et mettent en danger l'environnement, compte tenu de la pression démographique sur les terres cultivables.
Dans tous les cas, les dates de semis et de plantation sont souvent échelonnées afin de garantir la sécurité alimentaire et monétaire.
Dans les deux provinces citées ci-dessus et Kinshasa, une quinzaine de variétés (parmi les plus importantes) est utilisée par les paysans avec des rendements moyens variables selon la variété. Ces variétés se répartissent comme suit:
Bas-Congo: Nsumbakani, Nsiangi-Nsiangi, Mvuama, Mpelo-longi et Pululu
Bandundu: Kinkongolo, Mundjoko, Muzesu, Madelene et F100
Kinshasa: Mankanu, Ngamanza, jaune, 02864, F100 et RAV.
Les raisons de l'appréciation de ces variétés par les paysans sont: le rendement (29 %), le goût (2.5%), la matière sèche (2.5%) et la maturation précoce (1.2%). Néanmoins, il y a lieu de noter que le rendement est le facteur le plus important dans le choix d'une variété de manioc.
Le manioc est principalement planté au début de la saison des pluies (saison A). Occasionnellement, il est planté au début de la saison culturale B (janvier et février).
Tableau 3: Période de plantation de manioc par province
|
Province |
Saison A |
Saison B |
Saison sèche saison c |
Saisons A + B |
|
1. Bandundu |
85.77 % |
15.42 % |
|
|
|
2. Bas-Congo |
81.73 % |
17.78 % |
1.92 % |
0.4 % |
|
3. Kinshasa |
60.91 % |
34.48 % |
4.59 % |
2.29 % |
Source: Rapport de l'étude de la filière manioc en RDC, EARRNET, 2001
Le temps de culture peut varier entre dix et dix-huit mois ou plus selon la variété et les conditions écologiques. Si les tubercules sont laissées dans le sol après cet optimum, la teneur en amidon continue à accroître jusqu'à 30 - 35 % et la lignification du tubercule s'enclenche.
II.3. Les principaux produits du manioc
Etant donné l'importance du marché de manioc dans la capitale de la RDC, le présent exposé se réfère essentiellement aux principaux produits acheminés et distribués à Kinshasa.
1° Feuilles de manioc
Les feuilles de manioc constituent le plus important légume en RDC en général et à Kinshasa en particulier. En volume comme en valeur, elles se placent au premier rang de tous les légumes -feuilles consommés à Kinshasa. Elles représentent un potentiel de développement énorme en tant que produit d'un marché local et international.
Comparativement aux racines, les feuilles de manioc sont riches en protéines, en fer, en calcium, en vitamines A et C. L'incorporation du poisson, de haricot ou de viande dans leur préparation permet d'améliorer la qualité de la ration alimentaire. La consommation des feuilles de manioc peut contribuer à prévenir certaines déficiences nutritionnelles.
Ainsi les feuilles et les produits à base des racines tubérisées de manioc émergent de plus en plus comme une des catégories des produits de base appelés à jouer un rôle déterminant dans les échanges internationaux et capables de générer des devises pour le pays.
La stratégie globale de développement de la culture de manioc place les feuilles de manioc parmi les produits figurant à l'avant plan des domaines dans lesquels peuvent porter des innovations pour le marché.
2° Cossettes de manioc
Les cossettes sont la forme la plus courante sous laquelle le manioc est rencontré sur le marché. Après broyage, émiettage ou pillage des cossettes, on obtient la farine de manioc que l'on vend à longueur de journée et voire un peu plus tard dans la soirée.
3° Pâtes
La pulpe rouie, défibrée, émiettée, parfois légèrement pétrie et égouttée du manioc fait l'objet d'un commerce intense à Kinshasa. C'est le produit de base à la fabrication des chikwangues.
4° Chikwangues
Les chikwangues sont aussi produites en ville bien qu'une importante quantité provienne des milieux ruraux de la périphérie de Kinshasa.
5° Manioc frais et doux
Les sites approvisionnant Kinshasa en feuilles de manioc sont pratiquement les mêmes que ceux qui pourvoient cette ville en racines fraîches des variétés douces consommées crues.
III. Production des statistiques sur le manioc
III.1. La mesure de la production
Les différentes périodes de plantation et la flexibilité dans la période de récolte fait que le manioc est récolté pendant toute l'année. Par conséquent, la mesure de la production, de la commercialisation et des variations saisonnières éventuelles nécessitent un suivi régulier des ménages pendant toute une année de récolte.
La récolte des racines fraîches couvre toute l'année pour certaines provinces avec des mois d'intense activité de récolte. C'est le cas des provinces du nord et sud du pays. A l'Est par contre, la récolte de manioc se fait en une fois pour la plupart des contrées.
La fréquence de récoltes est journalière pour des ménages qui, pour des besoins alimentaires arrachent chaque jour quelques tubercules. Elle peut être aussi mensuelle ou encore en une seule fois. Pour ce dernier cas spécialement, le ménage récolte tout son champ pour constituer son stock alimentaire après transformation ou pour vendre aux commerçants.
La récolte des feuilles aussi se fait soit progressivement en fonction des besoins de consommation du ménage ou en une fois (sur tout le champ) quand l'exploitant destine le produit de la récolte à la vente.
Avant de procéder à l'estimation de la production, toutes les unités locales de mesure ayant servi à transporter le manioc du champ vers le village sont inventoriées et calibrées. Ces unités sont souvent homogènes dans une contrée donnée mais diffèrent d'une contrée à une autre dans la même province et d'une province à l'autre. Le calibrage de ces unités de mesure locales a permis la conversion de celles-ci en une unité standard (le kilogramme).
Un répertoire de toutes ces unités et leur calibrage est en préparation au Service National des Statistiques Agricoles. Le tableau ci-dessous présente quelques unités locales utilisées dans les provinces du Bas-Congo, de Bandundu et Kinshasa pour la production des racines fraîches.
Tableau 4: Unités de mesure locales de la production des racines
|
N° |
PROVINCE |
Nom de l'unité de mesure |
Poids moyen (en Kg) |
|
01 |
Kinshasa |
Grand bassin |
60,00 |
|
Bassin moyen |
40,00 |
||
|
Grand sac |
98,00 |
||
|
Mbadi (sac moyen) |
44,00 |
||
|
02 |
Bas-Congo |
Grand bassin |
47,50 |
|
Bassin moyen |
30,00 |
||
|
Petit bassin |
24,00 |
||
|
Corbeille petit format |
25,00 |
||
|
Corbeille grand format |
30,00 |
||
|
Panier grand format |
40,00 |
||
|
Panier petit format |
35,00 |
||
|
03 |
Bandundu |
Kitunga |
35,00 |
|
Mutete |
35,00 - 40,00 |
||
|
Dilonga |
35,00 |
||
|
Sac moyen |
28,00 |
Source: «Enquête Annuelle de Production», Service National des Statistiques Agricoles.
L'estimation de la production des feuilles du manioc n'est jamais faite. Cette tâche ne semble pas aisée d'autant plus que les feuilles récoltées pour des besoins alimentaires d'un ménage ne font l'objet de pesage. Néanmoins, les feuilles récoltées en quantités importantes pour des besoins de commercialisation sont conditionnées en bottes dont le poids moyen peut varier d'une contrée à une autre.
Toutefois, sur base des indications du Programme National Manioc de l'INERA/Centre de Mvuazi (Bas-Congo, 1998), le couvert foliaire du manioc dans l'arrière pays économique de Kinshasa pourrait atteindre un rendement d'une tonne à l'hectare.
III.2. Méthodologie de l'estimation de la production.
III.2.1. Evolution des approches méthodologiques
Les approches méthodologiques utilisées dans l'évaluation des productions vivrières en général et dans celle du manioc en particulier ont été différents d'une période à une autre.
a) Enquête exploitation agricole
Dans le cadre de la mise en place d'un système permanent de collecte des statistiques agricoles, une enquête exploitation agricole était menée de 1988 à 1989 sur l'ensemble du territoire national. Cette enquête faite par sondage a concerné un échantillon de 15000 ménages agricoles exploitants.
Elle devrait permettre entre autres, d'estimer la production végétale à travers deux composantes: la superficie et le rendement.
Compte tenu des systèmes de culture en place, l'enquête exploitation agricole a procédé au calcul de la superficie imputée et de la superficie attribuée.
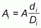
Pour calculer la superficie imputée, il suffisait de connaître la valeur de la culture considérée (le manioc, par exemple) en peuplement mixte et sa valeur moyenne en peuplement pur (une valeur théorique standard était prise). On convenait de procéder comme suit:
|
Soit |
A: l'aire du champ |
|
|
i: le numéro d'ordre de la culture entrant dans la combinaison |
|
|
di: la valeur numérique de la densité de la culture i en peuplement mixte |
|
|
Di: la valeur correspondante de la densité de la même culture en peuplement pur. |
La superficie imputée Ai à la culture considérée est alors égale à

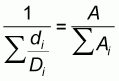
La superficie attribuée ou affectée à une culture i étant proportionnelle à la superficie imputée, on calculait le facteur de conversion à appliquer pour que la somme des superficies attribuées aux différentes cultures de la combinaison soit égale à l'aire du champ.
Ce facteur valait donc:

et la superficie A'i attribuée à la culture i était donnée par la formule:

La valeur des différentes densités ayant servi à imputer ou à attribuer les superficies à chacune des cultures d'une combinaison était déterminée par comptage du nombre de plants contenus dans les coupes-échantillons matérialisées par les carrés de densité posés dans les différentes parcelles.
L'estimation de la production était faite par la combinaison de la valeur de la superficie affectée à la culture i et la valeur du rendement théorique de la recherche agronomique.

Malgré la particularité de la culture du manioc par rapport à certaines autres cultures vivrières (maïs, arachide, soja, riz, etc.), la production du manioc était évaluée de la même manière avec celle d'autres spéculations végétales.
b) Enquête production-commercialisation
L'enquête s'est faite auprès d'un échantillon de 2345 ménages dont 1305 ménages dans la province de Bandundu d'octobre 1987 à septembre 1988 et 1040 ménages dans la province du Bas-Congo d'octobre 1988 à septembre 1989.
Des enquêteurs villages ont collectés des données sur la production et sur la commercialisation auprès des exploitants du secteur informel par des visites hebdomadaires pendant douze mois.
Cette enquête a été faite dans le cadre des travaux du Projet «commercialisation des produits agricoles» exécuté par l'Université catholique de Leuven (Belgique) de 1987 à 1989 avec la collaboration du Système permanent de collecte des statistiques agricoles.
Les travaux de cette enquête vont être présentés par le Professeur Eric Tollens qui en a assuré la coordination.
c) Enquête annuelle de production agricole
L'Enquête annuelle de production exécutée de 1990/91 à 1996/97 avait pour objectif principal de fournir les données de production des principales cultures vivrières (manioc, arachide, riz, banane plantain, maïs, etc.). L'enquête était faite par sondage auprès d'un échantillon de quelques quatre mille cinq cents exploitants du secteur informel. Elle couvrait l'ensemble du territoire national.
L'évaluation de la production se basait sur la déclaration du producteur. Ce dernier déclarait sa ou ses récolte(s) de manioc de la campagne agricole précédente.
Dans l'estimation de la production, les variables suivantes étaient prises en compte:
forme du produit
nom de l'unité locale de mesure utilisée pour la récolte
poids moyen de l'unité
nombre d'unités locales
coefficient de conversion
poids réel en kilogramme
poids total du produit récolté
Le poids total du manioc récolté est égal au poids du produit récolté après conversion multiplié par le total de fréquences de récolte déclarées. Il est à noter que dans l'interview, il arrivait que le producteur ne se réfère qu'aux produits du manioc (cossettes, chikwangues, pâtes, etc.). Dans ce cas, un coefficient de conversion était appliqué pour revenir aux racines fraîches.
Les facteurs de conversion utilisés étaient les suivants:
|
· De la pâte à des racines
fraîches: 2.03 |
III.3. Observations
Lorsqu'il fallait évaluer la production du manioc dans l'enquête exploitation agricole (1988 à 1989), le rendement moyen appliqué à la superficie affectée au manioc ne tenait pas compte de la différence entre les variétés.
Il s'avère que dans un espace de cultures donné, il arrive souvent que plusieurs variétés de manioc soient utilisées par des paysans producteurs. Les rendements de manioc sont différents selon les variétés et aussi selon les conditions écologiques. Ces différences peuvent être importantes d'une variété à une autre. Par exemple, la variété Kinuani présente un rendement allant de 20 à 25 T/Ha, la F100, de 15 à 20 T/Ha et la Tshilobo, de 15 à 25 T/Ha.[12]
A l'idée que cette réalité se retrouve aussi en milieu réel, on peut penser avec raison que les évaluations de la production de manioc peuvent avoir connu des sous-estimations importantes.
L'évaluation de la production du manioc basée sur la déclaration du producteur sur sa ou ses récolte(s) de la campagne agricole précédente peut être influencée par la période du passage de l'enquêteur; la récolte du manioc étant elle même influencé par certaines autres activités agricoles.
A titre indicatif, dans les provinces citées plus haut, l'activité de récolte est intense en saison sèche et connaît une baisse parfois sensible lorsqu'il y a une offre d'autres produits vivriers (maïs, arachide, riz, etc.). C'est à dire que lorsque le producteur a d'autres produits agricoles à placer sur le marché, le manioc est gardé au sol comme nourriture de réserve.
IV. Contribution à l'amélioration de l'estimation de la production des statistiques sur le manioc
Les pistes de solution à l'amélioration de l'estimation de la production du manioc peuvent se situer entre (1°) l'approche de l'enquête production- commercialisation. Cette approche prend en compte la fluctuation de la récolte du manioc dans l'année (effet saisonnier éventuel) et (2°) l'approche de l'enquête annuelle de production dont l'évaluation de la production est basée sur la déclaration du producteur.
Dans la première approche, il y a lieu de retenir l'aspect visites régulières. Dans l'évaluation de ses récoltes, le paysan fait appel à sa mémoire. Des visites régulières peuvent permettre une collecte des renseignements beaucoup plus fiables.
Dans la deuxième approche, il y a lieu de considérer l'aspect calibrage des unités de mesure locales et déclaration du producteur. La déclaration du producteur pouvant être corrigée par des mesures objectives (superficie et rendement) limitées à quelques producteurs de l'échantillon éventuellement tiré.
La prise en compte des éléments cités ci-dessus peut déboucher sur des options utiles à lever dans le cadre d'une recherche méthodologique dont l'objectif serait l'amélioration de l'estimation de la production du manioc.
|
[10 ]Selon une étude
sur la filière manioc en RDC financée par le Réseau de
recherche sur les plantes à racines de l'Afrique de l'Est et du centre
(EARRNET), 2001. [11 ]Indications tirées de « Baseline survey of a cassava based farming system in the Bas-Congo and Bandundu provinces of the DRC, USAID - SECID, july - September 2002, draft [12] Tiré du site Internet de l'INERA |