P A P E R S P R E S E N T E D
D O C U M E N T S P R E S E N T E S
by/par
J.L. Turner
Fishery Expansion Project
Lilongwe, Malawi
|
The status of a number of multi-species fisheries in the Great Lakes of Africa has been examined on the basis of catch and effort data. A fishery was considered as moderately fished when the present catch rate was within ± 15 percent of one-half the initial catch rates. All the gill net and longline fisheries examined in the three lakes are classified as heavily fished. The purse seine, lift net and bottom trawl fisheries are either lightly or moderately fished. The species composition of catch has drastically shifted toward smaller species in all the fisheries except the purse seine fishery for Sarotherodon species in Lake Malawi. The shift to smaller species does not appear to have affected the catch per effort or total catch except in the purse seine fishery of Lake Tanganyika where both indices increased following a major reduction in the predator population. These changes in the gill net and bottom trawl fisheries are probably due to the size selective nature of the mesh of the different gears, resulting in excessive fishing mortality for the larger species. A simple stock production model, based on catch and effort data, can in a few years' time provide valuable information for management decisions on multi-species fisheries in African natural lakes. Résumé Situation d'un certain nombre de pêcheries multi-spécifiques dans les grands lacs africains sur la base de données de captures et d'effort. On a considéré qu'une pêcherie est modérément exploitée lorsque les captures actuelles atteignent la moitié de prises initiales, à 15 pour cent près. On considère que les trois lacs sont fortement exploités au filet maillant et à la palangre. La pêche à la senne coulissante et au carrelet, ainsi que le chalutage sur le fond, sont faibles à modérés. La composition des captures par espèces a subi des modifications importantes, toutes les formes d'exploitation donnant des poissons de plus petites dimensions, sauf pour les espèces de Sarotherodon pêchés à la senne coulissante dans le lac Malawi. Il ne semble pas que cette diminution de la taille des espèces ait affecté les captures par unité d'effort ou les captures totales, en dehors des prises réalisées à la senne coulissante dans le lac Tanganyika, où l'on a constaté une augmentation aussi bien pour les captures totales que par unité d'effort, à la suite d'une réduction sensible de la population de prédateurs. Ces modifications des taux de pêche au filet maillant et au chalut de fond sont sans doute ímputables à la sélectivité du maillage des différents engins, qui entraîne une mortalité par pêche excessive pour les grosses espèces. Un modèle simple de production des stocks, fondé sur des données de captures et d'effort, pourra d'ici quelques années fournir des informations très utiles aux fins de la prise de décisions en matière d'aménagement des pêcheries multi-spécifiques dans les lacs. |
Fisheries research, and particularly fish population dynamics, have been built on the analysis of the population of a single species of fish. Most fisheries in the Great Lakes of Africa are for a number of species which are usually so evenly mixed on the fishing grounds that it is difficult to single out individual species. One example of this is the demersal trawl fisheries of Lake Malawi where a single haul may take over 30 species and the total number of species caught is over 150. Separate single species analyses of more than a small portion of the catch are clearly impossible.
In addition, it is extremely difficult to age tropical species because of the apparent lack of seasonal marks on scales, vertebrae or other parts of the fish. Ageing is necessary to determine growth patterns and natural mortality rates required of some single species population models.
One approach in studying a multi-species population is to manage the entire catch of the fishery as a single unit. The total biomass of fish is treated as though it were a single species and a surplus production type model is applied to the catch and effort data of the entire complex. Although more unprecise than some models, it does provide guidelines for management much earlier than any scheme which may depend on separate or selected individual species analysis.
Stock production models assume that the yield produced is a function of stock size and, in general, production of maximum surplus occurs at approximately one-half the maximum stock size that can be carried by a particular environment. Data input requires only catch and effort statistics and does not require that the fish be aged. Further, information on growth, natural mortalities or other biological parameters are not required.
Gulland (1969) presents a simplified model in which the catch per effort in one year is plotted against some weighted mean of the fishing effort in previous years, the number of years equal to a species expectation of life in the exploited phase. Gulland (1969, 1974), Rothschild (1971) and Alverson and Paulik (1973) discuss some of the necessary assumptions that production models must meet and some of their limitations. I have attempted to apply Gulland's model to some major fisheries in Lakes Victoria, Tanganyika and Malawi where there appears to be sufficient data for the past 10 to 15 years. The reliability of the results vary considerably with no verification of their accuracy. In some instances neither total catch nor total effort were available, but catch per effort data at selected areas was. This is presented to demonstrate catch trends.
A bottom trawl fishery was started in Lake Malawi in 1968 and presently nine trawling units are engaged in the fishery. Most of the trawling has been conducted in the southernmost tip of the lake defined as area A. No restrictions are placed on codend mesh sizes and all the trawlers use a 25 mm stretch mesh codend.
Turner (1977a) applied a production model to the bottom trawl fishery in area A, where a large community of cichlids comprises the bulk of the catch both by numbers and weight. All species were combined in the total catch. Catch per effort in tons/boat/day was plotted against mean effort in boat days over a two-year period, assuming this to be the average time for a species in the exploitable stage. The results showed a linear relationship over an eight-year period with a decrease in catch per effort with increasing effort. The total catch declined with increasing effort in 1971/72 but has recovered as a result of reduced effort since then. See Turner (1977a) for additional details.
Major changes in the species composition of catch have occurred over this time period (Turner, 1977a and 1977b). A decline occurred in the catch rate of Bagrus meridionalis and clariid catfish, the major non-cichlid species. They are quite large compared to the cichlid species. In addition, a dramatic change has occurred in the catch of cichlid species from one dominated by large species over 20 cm maximum length to one dominated by small species less than 20 cm. Catch data from area B, which is just north of area A and has been fished for only three years, also show signs of change in species composition.
Three Sarotherodon species presently comprise approximately 98 percent of the total catch of the purse seine or ring net fishery of Lake Malawi. These species have a semipelagic shoaling habit and are caught in the open waters. The nets in current use are 590 m long by 57 m deep with a 102 mm minimum mesh size. Turner (1977c) has plotted catch per effort against a weighted mean of net pulls over a three-year period. The results over a 24-year period suggest a stabilized fishery with a yield of approximately 2 000 tons at an effort of 9 000 net pulls. There is little information on changes in species composition.
Information is unavailable on gill net mesh sizes in Lake Malawi for the earlier days of the fishery. Most of the present gill nets have a stretch mesh of 90 to 102 mm. Walker (1977) presents trends in the gill net and longline fisheries based on catch per effort information at various fishing areas. The gill net catch rates for the three areas show a continuous decline over time. The catch rate in the Southeast Arm declined from 40 kg per net in the early 1950's to approximately 5 kg in the early 1970's; the Southwest Arm from 20 kg in the mid-1950's to 3.5 kg in the early 1970's; and in the Domira Bay area from 10.5 kg in the mid-1960's to 4 kg in the early 1970's.
Three major categories of fish species are recorded: Sarotherodon spp., catfish spp., and Labeo spp. The decline in catch rate in each area was due almost entirely to the declining catch of Labeo and catfish species. Sarotherodon catch rates have remained fairly constant throughout all areas.
Similar declines were noted in the catch rates with longlines for catfish from the mid-1960's to the early 1970's.
Several large fisheries operate in Lake Tanganyika for an open-water resource consisting primarily of two pelagic clupeids, several Lates species and Luciolates stappersii. Fishing is carried out by lamp fishing at night with large purse seines operated from powered boats. The nets are up to 400 m long by 150 m deep with a bag mesh size of 6 mm bar.
Turner and Herman (1977) present a summary of the total catch and purse seiner effort for the Burundi fishery from 1967 to 1975 using an average weight of 40 kg per box of fish. Some question exists as to the average weight per box of fish being 30 or 40 kg for the period prior to 1967. The entire catch data from 1956 to the present was plotted assuming a mean weight of 40 kg per box (Figure 1). The results show the data falling into two groups: one from 1956–65 and the second from 1966–75. The relationships are parallel with the second group at a higher level of catch than the first. Assuming a linear relationship for each time period, the potential yield from 1966–75 is approximately 1.4 times that of the earlier period.
Coulter (1970) and Mann et al., (1975) noted a major change over time in the predatorprey ratio for the Burundi and Zambia fisheries, particularly from 1962 to 1972, with a large increase in the percentage of prey species. The change in species composition from a predator to prey trophic level may have created the increase in total catch which was observed.

Figure 1 Relation between effort and catch/effort data for purse seiner fishery in Lake Tanganyika (Burundi)
Lift net fishing is carried out at night with lamps and lift nets from canoes or catamarans. The nets vary in size and usually have a 5–6 mm bar mesh net. Catch data are available only from Burundi at the north end of the lake (Turner and Herman, 1977). A common unit of fishing effort for the two types of boats was developed by comparing the ratio of the catch per effort for the catamarans and canoes from 1967–75, and adjusting the number of canoes to catamaran units. Catch per effort and effort were plotted with the results suggesting a linear relationship with an estimated yield of approximately 10 000 tons at 1 040 catamaran units of effort.
Kendall (1972) provides gill net catch information from Zambian waters of Lake Tanganyika from 1964–72 at three fishing camps (Kasenga, Chezi and Chisanza) which he considered typical of the open lake. Little information is available on total catch or total effort but the catch per effort data are over a sufficient period of time to show marked declines in the catch rate at all three camps (Figure 2).
Kendal (1972) recorded the changes in mean numbers of the major species. These were plotted against the maximum length of individual species as recorded by Poll (1953, 1956). A significant relationship is evident with an increase in the smaller and decrease in the larger species (Figure 3).
![]() | ![]() |
Figure 2 Changes in catch/effort over time for gill net fisheries of Lake Tanganyika (Zambia) | Figure 3 Changes in mean number of fish caught by species from 1961 to 1969–72 and maximum length of each species for gill net fisheries of Lake Tanganyika (Zambia). Correlation coefficient is in upper right-hand corner |
Catch and effort data are available over a long time period from the Tanzanian waters of Lake Victoria (Kudhongania, 1972; Tanzania Fish.Ann.Repts.). The fishery encompasses the inshore area of the Tanzania portion of Lake Victoria. The data provides overall catch trends in this portion of the lake with the results varying considerably from one area to another. This analysis covers the time period from 1963 to 1973.
The catch data are recorded as total catch for all types of gear; however, the fishery is predominantly a gill net fishery with a trend towards decreasing gill net mesh sizes; 13 percent of nets were less than 3" stretch mesh in 1965 and 30 percent less than 3" mesh in 1970. The number of both seines and longline fishing has increased over this time period.
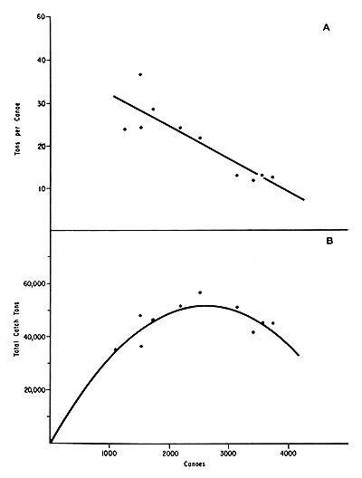
Total effort was available both in total canoes and total length of gill nets. Total canoes was decided on as the best measure of effort because they were felt to be a better indicator of increasing number of seines and longlines as well as gill nets. Catch per canoe was plotted against the average number of canoes over a two-year period (Figure 4A), judging the average exploitable age of the fish to be two years. The results suggest a maximum yield of 51 000 tons with 2 600 canoes (Figure 4B). A decrease in total catch with increasing effort has occurred from 1969 to 1973, the last years of available data.

Figure 4 Relation between effort and catch/effort and corresponding relation between effort and catch for gill net fishery in Lake Victoria (Tanzania)
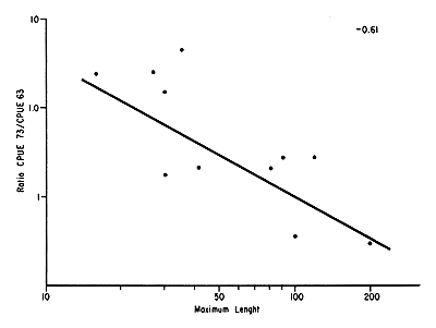
The change in abundance of each individual species was determined by fitting a linear trend line to their change in catch per canoe from 1963 to 1973. The calculated catch per effort for 1973 was divided by the catch per effort for 1963 and the ratio was compared with the maximum length of each species as recorded by Greenwood (1966). The results show a significant increase in the smaller species and decrease in the larger species (Figure 5).

Figure 5 Changes in catch per effort (1973 as a proportion of 1963) for different species in the gill net fishery of Lake Victoria as a function of the maximum length of each species. Correlation coefficient is in upper right-hand corner
Most of the available data from African lakes suggest a linear relation between effort and catch per effort. Under these circumstances the maximum yield would occur at one-half the initial catch rate. Fisheries were considered as moderately fished when the catch per effort was within ±15 percent of one-half of the calculated or initial catch rate, lightly fished when the catch rates were higher and heavily fished when lower. Under heavily fished conditions the total catch declines with increasing effort. An estimate of initial catch rate can be calculated by extrapolation when total catch and effort are available. The highest catch rate for any one year is considered the initial catch rate when only catch per effort trends are available. The highest catch rate recorded for an older fishery is undoubtedly much lower than the catch rate for a new fishery.
With this system all the gill net fisheries and the longline fishery in Lake Malawi would be classified as heavily fished (Table 1). The remaining fisheries would be judged as moderately or lightly fished.
Table 1 Summary of present status of various fisheries based on catch and effort data
| Fishery | Lake | Location | Years of data | Status | ||
| Lightly fished | Moderately fished | Heavily fished | ||||
| Gill net | Malawi | S.E. Arm | 1953–72 | x | ||
| Malawi | S.W. Arm | 1955–72 | x | |||
| Malawi | Domira Bay | 1964–72 | x | |||
| Tanganyika | Zambia | 1964–73 | x | |||
| Victoria | Tanzania | 1963–73 | x | |||
| Longline | Malawi | S.E. Arm | 1965–73 | x | ||
| Malawi | S.W. Arm | 1965–73 | x | |||
| Lift net | Tanganyika | Burundi | 1967–75 | x | ||
| Purse seine | Malawi | S.E. Arm | 1951–73 | x | ||
| Tanganyika | Burundi | 1956–75 | x | |||
| Tanganyika | Kigoma | 1974–75 | x | |||
| Tanganyika | Zambia | 1962–75 | x | |||
| Bottom trawl | Malawi | S.E. Arm | 1968–75 | x | ||
The purse seine fishery for Sarotherdon species in Lake Malawi is the only fishery examined that the species composition does not appear to have greatly changed. The fishing effort in this fishery has been fairly well controlled and a 4" minimum mesh size enforced. The three species of Sarotherodon involved are open water species and have considerable seasonal movements believed to be related to their food supply (Fryer and Iles, 1972), which make them difficult to over-exploit. These same Sarotherodon species are the only ones that have not declined in the gill net catch in Lake Malawi.
The species composition has shifted towards smaller species in all other fisheries. Regier and Henderson (1973), Regier and Loftus (1972), and Regier (1973) felt that the stresses of excess fishing and/or pollution work to force the composition of fish communities towards dominance by smaller, more pelagic and short-lived opportunistic species. Christie (1974) feels that future invaders of the Laurentian Great Lakes will likely always be smaller in size than the present species in the catch because of excessive fishing effort. Smaller species of fish have certainly replaced or are replacing larger species in the African Great Lakes. It is unknown if there is a tendency towards dominance by pelagic species.
The yield from exploitation at an optimum level of effort would be expected to remain fairly constant even with a change in the species composition in a large multi-species fishery. Large and long-lived species may be too heavily harvested but small and short-lived species would be under-exploited. The reduction of one species would almost inevitably result in the increase of some other. The Great Lakes of North America have had a complete succession of a number of species and yet there have not been large changes in total catch. Beverton and Holt (1959) found in like groups of fish a relationship between maximum length and growth and mortality rates; smaller species have higher mortality and growth rates, both of which suggest a faster turn-over rate and higher yield.
A decrease in yield would occur if the primary productivity is funneled off into non-harvestable species unavailable as food or into species that are too elusive to be captured or too small to be taken with the present gear. Evidence from the bottom trawl fishery of Lake Malawi shows that a number of species that have become abundant may be too small to be caught effectively with even the present 25 mm mesh codend.
Any major change in species biomass from one trophic level to another would appear to have an effect on total yield. In a number of fisheries the larger predatory species are among the first to decline in abundance under heavy exploitation. This sometimes results in an increase in total yield of the prey species greater than that of the previous fishery for predator and prey. This would be of benefit to the fishermen if the prey were of equal acceptable quality. An example of this may be found in the Burundi purse seine fishery of Lake Tanganyika. The major predator, Lates, has declined well over 50 percent in this portion of the lake from the early 1960's to the early 1970's. The calculated potential yield from 1966–75 has increased 1.4 times that of the 1956–65 time period when a larger population of Lates was present. This may be a minimal increase as catch data for all years prior to 1967 was calculated on 40 kg per box rather than 30 kg per box which it may have been in the earlier fisheries (Mann, et al., 1975).
Ryder (1965) found, in a study of a series of lakes in Canada, no evidence that yield levels were higher in those lakes where the fisheries depended on stocks of fish at lower trophic levels. Christie (1974) suggests that the shorter food chains in the heavily fished (or heavily polluted) Laurentian Great Lakes do not produce higher yields than the original system did, simply because the new species arrays are not ecologically able to fully exploit the resources of the lake.
A simple stock production model, as suggested by Gulland (1969), can in a few years time provide very valuable information for management decisions on natural African lakes. The major input to the model is relatively accurate records of total catch, total effort and catch per effort; only two of the three quantities need to be estimated independently because of their inter-relationship. The model is easy to understand and the results can soon provide information as to whether it is wise to encourage more fishing or introduce restrictive regulations.
Alverson, D.L. and G.J. Paulik 1973 Objectives and problems of managing aquatic resources. J.Fish.Res.Board Can., 30(12):1936–1947
Beverton, R.J.H. and S.J. Holt 1959 A review of the lifespans and mortality rates of fish in nature, and their relation to growth and other physiological characteristics. In CIBA Foundation Colloquia on Ageing, ed. by G.E.W. Wolstenholme and M. O'Connor. Vol.5:142–148. J. & A. Churchill, London
Christie, H.J. 1974 Changes in the fish species composition of the Great Lakes. J.Fish.Res.Board Can., 31:827–854
Coulter, G.H. 1970 Population changes within a group of fish species in Lake Tanganyika following their exploitation. J.Fish.Biol., 2:329–353
Fryer, G. and J.D. Iles 1972 The cichlid fishes of the Great Lakes of Africa, their biology and evolution. Oliver and Boyd, Edinburgh. 641 p.
Greenwood, P.H. 1966 The fishes of Uganda. Kampala, Uganda. 131 p.
Gulland, J.A. 1969 Manual of methods for fish stock assessment. Part I. Fish population analysis. FAO Manual in Fish.Sci., 4:1–154
Gulland, J.A. 1974 Guidelines for fishery management. Indian Ocean Pro. 74/36. Rome. 84 p.
Kendall, P.L. 1972 The benthic gill net fishery of Lake Tanganyika, Zambia, Mimo Rept., Lusaka. 65 p.
Kudhongania, A.H. 1972 Past trends and recent research on the fisheries of Lake Victoria in relation to possible future development. Afr.J.Trop.Hydrobiol.Fish.Spec., II:93–106
Mann, M.J., F. Bashirwa, C.M.A. Ellis, J.B. Nahabokoweye and H.O. Enderlin 1975 Preliminary report on fish biology and stock assessment in Lake Tanganyika (Burundi). Mimo Rept. FAO, Rome. 58 p.
Poll, M. 1953 Poissons non cichlidae. Résult.scient.Explor Hydrobiol.lac Tanganyika (1946–1947), 3, Fasc.5a, 1–251
Regier, H.A. 1973 Sequence of exploitation of stocks in multispecies fisheries in the Laurentian Great Lakes. J.Fish.Res.Board Can., 30(12):1992–1999
Regier, H.A. and H.F. Henderson 1973 Towards an ecological model of fish communities and fisheries. Trans.Am.Fish.Soc., 102:56–72
Regier, H.A. and K.H. Loftus 1972 Effects of fisheries exploitation on salmonid communities in oligotrophic lakes. J.Fish.Res.Board Can., 29:959–968
Rothschild, B.J. 1971 A systems review of fishery management with some notes on the tuna fisheries. FAO Fish.Tech.Pap., 106:33 p.
Ryder, R.A. 1965 A method for estimating the potential fish production of north-temperate lakes. Trans.Am.Fish.Soc., 94:214–218
Turner, J.L. 1977a Some effects of demersal trawling at the southern end of Lake Malawi (Lake Nyasa) from 1968 to 1974. J.Fish.Biol., 10:261–271
Turner, J.L. 1977b Changes in the size structure of cichlid populations of Lake Malawi resulting from bottom trawling. J.Fish.Res.Board Can., 34(2):232–238
Turner, J.L. 1977c Sarotherdon ring net fishery of Lake Malawi from 1951 to 1973 Afr.J.Trop.Hydrobiol.Fish. (In press)
Turner, J.L. and C. Herman 1977 Status of the pelagic fishery of Lake Tanganyika (Burundi) based on catch and effort data. Working Paper 13. Lake Tanganyika Res.Proj., Bujumbura, Burundi
Walker, R.S. 1977 Recent trends in the gill net and longline fisheries of Lake Malawi. Afr.J.Trop.Hydrobiol.Fish. (In press)
par
C. Herman
Expert - Associée FAO
Service de pêche
Bujumbura, Burundi
|
L'historique de la pêche dans le lac Tanganyika révèle que le potential est important mais variable. Une libre circulation sur l'ensemble du lac permettrait non seulement une meilleure exploitation mais aussi une meilleure distribution des produits. La recherche doit être continuée sur les migrations et les aires de reproduction. Abstract The history of the fishery of Lake Tanganyika shows that the fishing potential is important but variable. Free circulation on the whole lake would facilitate not only its exploitation but also would ensure a better distribution of the fishery products. Research on migration and reproduction areas must be continued. |
Le lac Tanganyika, situé au Sud de l'équateur, dans la partie occidentale de la Rift-Valley, est le plus long (650 km) et le plus profond (1 470 m max) des lacs africains. Il est également célèbre par l'endémisme de sa faune. La pêche y est principalement basée sur l'exploitation de six espèces de poissons pélagiques endémiques du lac: les Clupéidés Stolothrissa tanganicae Regan, et Limnothrissa miodon Boulenger et les prédateurs Centropomidae: Lates mariae Steindachner, L. microlepis Blgr, L. angustifrons Blgr, et Luciolates stappersii Blgr. Ces poissons sont capturés durant les nuits sans lune, par les techniques de pêche à la lumière. Au Burundi, il existe trois types de pêches qui exploitent le stock de poissons pélagiques.
La pêche coutumière utilisant: pirogues, épuisette, lampe à pression. Elle se pratique par temps calme près des côtes et pêche principalement les Clupéidés (Collart, 1956–1958).
La pêche artisanale, introduite en 1957 par M. Collart, utilise un catamaran, deux ou trois lampes à pression, un carrelet à poche profonde (Collart, 1958, Haling 1974), capture principalement les Clupéidés et les jeunes de Luciolates, commercialisé sous le nom local de “Ndagala”.
La pêche industrielle. Une unité industrielle se compose d'un senneur, une barque auxiliaire et cinq port-lampes. La senne tournante a 250 à 400 m de long sur 50 à 110 m de profondeur (Collart, 1958, Andrianos, 1976). Ils capturent le “Ndagala”, les adultes de Luciolates et les Lates dans la zone pélagique.
Dans une perspective d'aménagement de la pêche, après une analyse de l'état de la pêche au Burundi, nous allons essayer de faire le point sur la situation de la pêche pour l'ensemble du lac Tanganyika.
La pêche industrielle fut introduite sur le lac Tanganyika en 1954 par les pêcheurs grecs.
La Fig. 1 représente les Prises par Unité d'Effort (PUE) de la pêche industrielle (tonnes/bateau/an) en “Ndagala”, Lates et Luciolates, enregistrées au Burundi depuis 1955 (Mann et al., 1973, modifié à 40 kg/caisse à partir de 1967 et le service des pêches burundais). Après les premières années d'exploitation et de mise au point de méthodes, les pêcheurs industriels du Nord du lac, négligent le “Ndagala” et se tournent vers une exploitation plus intensive des Lates et Luciolates, préférables du point de vue commercial (Collart, 1958; Andrianos, 1976; Hadjiandreou, Kalomeris, comm. pers.) (senne 80–100 m de profondeur, maille de 18 mm de côté).
L'indépendance du Zaïre en 1960 oblige les senneurs à se cantonner dans les eaux territoriales burundaises, partie Nord-Est du lac, réputées moins productives (Collart, 1958; Roest, 1977).
A cause de l'exploitation intensive, la PUE des Lates diminue fortement et ne reviendra jamais à son niveau des premières années de pêche (190 tonnes/bateau/an, en 1958, contre 42 tonnes/bateau/an, en 1961).
Ce n'est que vers 1963–1964 que les pêcheurs industriels reprirent l'exploitation du “Ndagala”, ainsi que des prédateurs (senne de 80–100 m de profondeur, maille de 6 à 8 mm de côté sur les 40 premiers mètres, puis de 16–18 mm en profondeur).
Un “over-fishing” des Lates fut également signalé après quatre années d'exploitation d'une zone restreinte des eaux territoriales zambiennes (région de Mpulungu) (Coulter, 1970). Il en suivit une augmentation de la PUE de “Ndagala”. Pour le Burundi, l'augmentation de la PUE observée à partir des années 1964 ne peut être attribuée à une diminution des prédateurs mais surtout à un changement de méthodes de pêches dictées par la commercialisation. Pour cette raison, l'étude de la relation proie-prédateur ne peut se faire qu'à partir des données de 1964.
Le second point important est la relation proie/prédateur. Mann et al. (1973) note que le taux des prises annuelles du “Ndagala” et du Luciolates semble croître et décroître alternativement (Fig. 1).
Henderson et al. (1972) souligne que les fluctuations observées dans les prises du “Ndagala” sont plus étroitement liées à l'abondance des prédateurs qu'au niveau de l'effort de pêche.
Chéné (1975) a calculé le coefficient de corrélation entre la proie et celle du prédateur avec des retards variables (données mensuelles de 1962 à 1971) et mis en évidence en plus d'une variation annuelle, un cycle de longue durée d'environ six ans.
Les minima et maxima pour les trois cycles sont les suivants:
| Minima | Maxima | |||
| 1959 à 1964 | 1959: | 20 tonnes/bateau/an | 1963: | 133 tonnes/bateau/an |
| 1965 à 1970 | 1965: | 26 tonnes/bateau/an | 1969: | 144 tonnes/bateau/an |
| 1971 à 1976 | 1971: | 12 tonnes/bateau/an | 1976: | 149 tonnes/bateau/an |
Cependant, comme le montre la Fig. 1, le pic semble se déplacer vers la dernière année du cycle, donnant une chute de plus en plus rapide. Les données mensuelles montrent durant le premier cycle - 1959 à 1964 - une période d'abondance de Luciolates, de décembre 1961 à Juillet 1964, plus ou moins continue. La PUE n'est qu'une fois inférieure à 5 t/bateau/an. Durant le second cycle - 1965 à 1970 - la période d'abondance est plus longue, mai 1967 à juillet 1970 mais moins constante. Il y a une alternance de 6 à 8 mois durant lesquels les PUE ne sont pas inférieures à 5 t/bateau/an avec deux mois de plus faibles prises (novembre, décembre 1967 - septembre, octobre 1968 - août, septembre 1969). Le troisième cycle - 1971 à 1976 - montre une alternance de périodes d'abondances avec des périodes de 1 à 7 mois de très faibles prises. Les PUE pondérées et les prises totales pour les différents cycles sont:

Fig. 1 PUE annuelle de la pêche industrielle au Burundi de 1956 à 1976
| PUE | Prises totales du Burundi | |
| 1959 à 1964 | 63 tonnes/bateau/an | 3 446 tonnes |
| 1965 à 1970 | 89 tonnes/bateau/an | 5 590 tonnes |
| 1971 à 1976 | 67 tonnes/bateau/an | 7 310 tonnes |
L'augmentation de l'effort de pêche durant la période 1971 à 1976 est probablement responsable du changement de ce troisième cycle et de la diminution observée dans la PUE.
Les Luciolates représentent suivant les années 3 à 38 pour cent des prises de la pêche industrielle au Burundi.
En ce qui concerne les Lates, nous avons déjà signalé l'over-fishing dans les eaux burundaises à partir de 1960–1961. Les Lates représentent 2 à 12 pour cent des prises de la pêche industrielle durant la période 1964–1976. La Fig. 1 suggère un cycle de 9 ans avec les minima en 1956, 1965 et 1974.
Comme précisé plus haut, les deux Clupéidés Stolothrissa et Limnothrissa ainsi que les jeunes de Luciolates sont pêchés en même temps et commercialisés sous le nom de “Ndagala”. Le “Ndagala” représente 56 à 91 pour cent des prises annuelles de la pêche industrielle (période 1964–1976) et 80 à 99 pour cent des prises de la pêche artisanale et coutumière au Burundi. Des trois espèces constituant la “Ndagala”, Stolothrissa est l'espèce la plus importante. Elle représente de 20 à 96 pour cent du poids des prises. Stolothrissa est aussi la proie principale des Luciolates et des grands Limnothrissa. C'est une espèce à cycle de vie court (15 mois). L∞95 mm; K = 0,2031/mois; taille à la première maturité = 70 mm pour les mâles et 75 mm pour les femelles (Roest, 1977; Ellis, 1971).
Nous reprenons également de M. Roest, le schéma illustrant les différentes étapes de la vie de Stolothrissa dans les eaux septentrionales du lac Tanganyika, Fig. 2. Il est donc important de souligner les migrations latérales (côtes-larges) que semble effectuer ce poisson. La pêche artisanale et coutumière qui exploite la zone côtière et la pêche industrielle qui exploite la zone pélagique, pêchent donc le même stock de poisson mais à un stade différent de sa vie. Les fluctuations mensuelles des PUE s'expliquent par les variations dans le recrutement (Roest, 1977).
Une étude récente (Turner et Herman, 1977) fut faite sur le niveau d'exploitation des stocks pélagiques des eaux burundaises du lac, étude basée sur les données des captures de 1967 à 1975 de “Ndagala”, Lates et Luciolates et de l'effort de pêche correspondant. Les différences observées dans les quotients des PUE annuelles des différents types de pêches n'a pas permis de les traiter ensemble. L'analyse fut faite à partir des captures totales (Ndagala, Lates et Luciolates) d'une part pour la pêche industrielle, et d'autre part pour les pêches artisanale et coutumière prises ensemble.
Le rendement potentiel moyen (dans le sens de Gulland, 1970) fut estimé à 7 000 tonnes pour la pêche industrielle et 10 000 tonnes pour les pêches artisanale et coutumière, soit 17 000 tonnes pour une superficie de 186 000 ha, donc 90 kg/ha (Turner et Herman, 1977).

Fig. 2 Schéma illustrant les différentes étapes de la vie de Stolothrissa dans les eaux septentrionales du lac Tanganyika (Roest, 1977)
Le modèle simple appliqué à l'aménagement des pêcheries, ne s'applique, comme le fait remarquer Gulland (1970) qu'à un “stock dont la dynamique est décrite par les lois classiques de la croissance des populations (Volterra, 1931), la courbe sigmoïde de Graham (1939)…”. Son application ici n'est pas entièrement justifiée et ne nous donne que des résultats provisoires. Cette analyse est reprise ici en introduisant:
Anciennement, les statistiques étaient fournies sur la base de 30 kg/caisse. Le poids de 40 kg/caisse fut introduit par M. Haling en juillet 1969 (comm. pers.). Renseignements pris auprès des armateurs, ils augmentèrent la dimension des caisses en 1967 (Hadjiandreou et Kalomeris, comm. pers.). C'est pour cette raison que l'analyse faite en september 1976 ne porta que sur la période de 1967 à 1975 et sur la base de 40 kg/caisse.
Tableau 1
Effort de pêche et estimation des prises de la pêche industrielle - Lac Tanganyika, Burundi, 1967–1976
| Effort nombre de senneurs | 40 kg/caisse | 45, 42.5 et 38.5 kg/caisse | |||
| Prises t | PUE t/bateau/an | Prises t | PUE t/bateau/an | ||
| 1967 | 8.25 | 4 940 | 599 | 5 447 | 660 |
| 1968 | 9.75 | 5 047 | 518 | 5 538 | 568 |
| 1969 | 11.00 | 4 761 | 433 | 5 183 | 471 |
| 1970 | 13.08 | 5 457 | 417 | 5 974 | 457 |
| 1971 | 14.92 | 6 053 | 406 | 6 739 | 452 |
| 1972 | 13.00 | 4 327 | 333 | 4 808 | 370 |
| 1973 | 13.92 | 5 621 | 404 | 6 237 | 448 |
| 1974 | 14.92 | 6 211 | 416 | 6 901 | 463 |
| 1975 | 17.83 | 6 144 | 344 | 6 748 | 378 |
| 1976 | 22.14 | 8 702 | 393 | 9 504 | 429 |
Les poids moyens de 45 kg/caisse de “Ndagala”, 42,5 kg/caisse de Luciolates et 38,5 kg/caisse de Lates sont plus proches de la réalité (Mann, 1973; Lopez et Taon, comm. pers.). Cette correction étant apportée au relevé des captures (Tableau 1) ne change pas le nombre optimum de bateaux mais augmentent le rendement potentiel moyen de 6 à 12 pour cent. L'analyse fut faite de trois façons différentes:
Effort et captures de 1967 à 1975
Effort et captures de 1967 à 1975 moins les données de 1972, année où la zone de pêche fut réduite à cause d'événements politiques dans le pays
Effort =
et capture au temps t; pour tenir compte de la remarque de
Gulland (1969). La durée de vie du Stolothrissa, principal constituant du
“Ndagala” dans sa phase exploitée est de 1 an (tr = 4,29 ± 0,46 mois - durée
de vie, à peu près 15 mois (Roest, 1977) et celle de Luciolates d'environ
5 ans. Or, le “Ndagala” représente 80 à 99 pour cent des prises de la pêche
artisanale et coutumière, tandis qu'il représente 56 à 91 pour cent des prises
de la pêche industrielle. L'application de cet effort moyen est donc plus
justifiée pour la pêche industrielle que pour les pêches artisanale et coutumière.
Le Tableau 2 A reprend les coefficients de corrélation de la droite de régression PUE/effort, les valeurs des rendements potentiels moyens et les nombres optimum de bateaux. Les coefficients de corrélation sont tous au moins significatifs à 95 pour cent et pour la période de 1967 à 1975, à 99 pour cent.
La même analyse, faite pour la période de 1971 à 1975, période pour laquelle nous pouvons exprimer l'effort en nombre de nuits de pêche, donne des résultats significatifs lorsque nous éliminons les données de 1972.
Fin 1975, début 1976, cinq nouvelles unités industrielles furent mises en service soit une augmentation de l'effort de pêche de 24 pour cent. Les prises de 1976 furent très élevées: 8 702 t (40 kg/caisse). La PUE augmenta de 344 t/bateau/an en 1975 à 393 t/bateau/an en 1976. Le Luciolates représentant 38 pour cent des captures totales. Suite aux recommandations de la FAO (1976), l'effort de pêche fut réduit en Janvier 1977 à 18 unités industrielles en immobilisant à tour de rôle cinq bateaux durant cinq jours.
L'introduction des données de 1976 dans les calculs (Tableau 2) donne un nombre optimum de bateaux de 23–26 contre 16–17 pour la période 1967–1975. Le niveau de 23 bateaux fut atteint au Burundi en début d'année 1976. Le rendement potentiel moyen passe de 5 500 t à 6 000 t pour la période 1967–1976 à 7 000–8 000 t en y ajoutant les données de 1976.
La transformation de la courbe de rendement/effort en valeur des prises/coût de la pêche, permet de calculer la position de l'optimum économique (Gulland, 1970). La transformation a été faite en actualisant sur la base des prix 1975. Le coût d'une unité industrielle au Burundi en 1975 fut calculé de la façon suivante (d'après les renseignements de MM. Hadjiandreou et Bowman).
(1) Investissements exprimés en F. Bu. × 1 000 (100 F.Bu. = U.S.$ 1.12)
| bateau | 4 786 amorti en 20 ans | = | 239,3 | = | 11,8 pour cent |
| moteur | 914 amorti en 10 ans | = | 91,4 | = | 4,5 pour cent |
| senne | 1 650 amorti en 3 ans | = | 550,0 | = | 27,1 pour cent |
| camion | 2 295 amorti en 33 ans | = | 765,0 | = | 37,1 pour cent |
| 8 pour cent d'intérêt sur la valeur d'investissement | = | 385,8 | = | 19,0 pour cent | |
| 2 031,5 | |||||
(2) Frais de fonctionnement annuel (F.Bu. × 1 000)
| salaires | 1 449 |
| taxes | 598 |
| carburant | 1 022 |
| entretien du véhicule | 373,6 |
| entretien du bateau | 272 |
| entretien du filet et lampes | 355 |
| divers d'exploitation | 280 |
| frais généraux (banque, assurances, médecin, etc.) | 162,9 |
| 4 512,5 |
| Coût annuel : | Investissement | 2 031,5 | = | 31 pour cent |
| Fonctionnement | 4 512,5 | = | 69 pour cent | |
| 6 544,0 F.Bu. × 1 000 | ||||
Tableau 2
La pêche industrielle sur le Lac Tanganyika, Burundi - période 1967–1976
| A. Estimation du rendement potential moyen | ||||||
| 1967–1975 | 1967–1976 | |||||
| r | Rendement potentiel moyen | Nombre de senneurs | Rendement potentiel moyen | Nombre de senneurs | ||
| 1. Prises estimées sur base de 40 kg/caisse | ||||||
| 0,84 | 6 000 | 16 | 0,67 | 7 034 | 23 | |
| moins 1972 | 0,92 | 6 000 | 16 | 0,78 | 7 154 | 23 |
![]() | 0,85 | 5 560 | 17 | 0,65 | 7 176 | 26 |
| 2. Prises estimées sur base de 45, 42,5 et 38,5 kg/caisse | ||||||
| 0,82 | 6 358 | 16 | 0,68 | 7 740 | 23 | |
| moins 1972 | 0,91* | 6 567 | 16 | 0,71* | 7 784 | 24 |
![]() | 0,82* | 6 207 | 17 | 0,65 | 7 945 | 26 |
| 3. 1971, 1973, 1974, 1975 PUE en kg/sortie | ||||||
| 0,90* | 6 832 | 17,36 | ||||
| B. Estimation de l'optimum économique (nombre de senneurs) | ||||||
| Optimum Economique | Valeur= | coût : Valeur = frais de fonctionnement | ||||
| 1967–1975 moins 1972 | 9,17 | 19,87 | 23,69 | |||
1967–1975 ![]() | 10,0 | 19,25 | 23,92 | |||
| 1967–1976 (moins 1972) | 12,5 | 23,0 | 31,0 | |||
| 1971, 1973, 1974, 1975 PUE en kg/sortie | 10,7 | 20,94 | 26,0 | |||
Le valeur des prises fut calculée sur la base des prix moyen/kg en 1975, soit 20,8 F.Bu./kg.
La Fig. 3 A, représente le rapport PUE/effort pour la période 1967–1975 (moins 1977 et sur base de 45, 42,5 et 38,5 kg/caisse). La Fig. 3 B représente le rapport entre les prises totales calculées/effort, obtenu à partir de la droite de régression de la Fig. 3 A. La Fig. 3 C représente le rapport de la valeur des prises/coût de la pêche, actualisé aux prix de 1975 et obtenu à partir de la courbe de la Fig. 3 B.
Pour ces calculs, nous avons utilisé les courbes, prises totales calculées/effort marquées d'un astérisque dans le Tableau 2 A. Les résultats obtenus, c'est-à-dire l'optimum économique, le point pour lequel les valeurs des prises égalent le coût total de la pêche ou les frais de fonctionnement, sont repris dans le Tableau 2 B et exprimés par l'effort de pêche - nombre de senneurs.
L'optimum économique de la pêche industrielle au Burundi serait atteint pour 9 à 13 senneurs. Cependant, “les coûts et les valeurs ne demeurent pas constants, si bien que l'intensité optimale de la pêche s'accroîtrait chaque fois que les coûts diminuent ou que la valeur unitaire augmente ou inversement”. (Gulland, 1970). Le point où la valeur égale le coût total de la pêche (19 à 23 senneurs pour le Burundi) représente l'équilibre à long terme atteint par la pêche en absence de réglementations (Gulland, 1974) et le point où la valeur égale les frais de fonctionnement (23 à 31 senneurs pour le Burundi), représente l'équilibre à court terme de la pêche (Gulland, 1974).
Tenant compte de ce qui précède et du fait que la pêche industrielle est la seule à approvisionner le marché de Bujumbura, maintenir le niveau de cette pêche à 18 unités semble une mesure raisonnable à l'heure actuelle pour le Burundi.
L'étude de la relation PUE/effort pour les pêches artisanale et coutumière prises ensemble, donne les résultats suivants en comptant 2,5 pirogues = 1 catamaran (Turner et Herman, 1977). Les coefficients de corrélation sont au moins significatifs à 95 pour cent.
| r | Rendement potentiel moyen | Nombre optimum d'unités | ||
| 1967 à 1975 | moins 1972 | 0,74 | 10 163 tonnes | 1 350 unités |
| 1967 à 1975 | moins 1972 | 0,84 | 9 441 tonnes | 1 200 unités |
![]() | ||||
| 1967 à 1976 | moins 1972 | 0,67 | 10 871 tonnes | 1 450 unités |
| 1967 à 1976 | moins 1972 | 0,79 | 9 848 tonnes | 1 250 unités |
![]() |
Le niveau de la pêche artisanale et coutumière en novembre 1976 était de 930 unités catamaran dont 800 en action.
Un programme de développement de la pêche artisanale, financé par la Banque mondiale est prévu de 1977 à 1981.
| FIG. 3 PECHE INDUSTRIELLE AU BURUNDI |
![]() |
| A. Rapport entre Effort et Prise par Effort |
![]() |
| B. Rapport entre Effort et Prises |
Fig. 3 La pêche industrielle au Burundi 1967–1976
A. Rapport entre l'effort et prise par effort
B. Rapport entre effort et prise

Fig. 3 La pêche industrielle au Burundi 1967–1976
C. Rapport entre coût de la pêche et valeur des prises
D'autre part, pour des raisons politiques depuis novembre 1976, les autorités Zaïroises ont interdit en partie, et depuis mai 1977 totalement la pêche artisanale et coutumière dans leurs eaux territoriales.
Ces deux points ne manqueront pas d'avoir une répercussion sur l'effort de pêche au Burundi et cela à la veille d'atteindre le nombre optimum d'unités.
La transformation de la courbe PUE/effort en valeur des prises/coûts de la pêche, fut également calculée sur la base des prix 1975 et en considérant que tout l'effort de pêche est constitué de catamarans en bois non motirisés. Le coût de la pêche fut obtenu auprès de la coopérative de Minago.
| Coût d'une unité complète 125 000 F.Bu., amortie en 4 ans | 31 250 |
| Frais de fonctionnement annuel (pétrole - entretien matériel) | 30 000 |
| Salaires 1 000 F.Bu. × 12 mois × 4 personnes | 48 000 |
| Total | 109 250 F.Bu. |
| Le prix moyen au kg de poisson pour l'année 1975 et sur l'ensemble de la côte = 11.44 F.Bu. |
Ces données introduites dans la courbe prises totales calculées/effort (1967 à 1975 moins 1972 et 1967 à 1976 moins 1972) donne un optimum économique pour 500 unités.
Valeurs des prises = coût total de la pêche pour 1 000 à 1 050 unités
Valeurs des prises = frais de fonctionnement + salaires pour 1 450 à 1 575 unités.
Fig. 4: Rapport valeur des prises/coût de la pêche artisanale et coutumière au Burundi, actualisé sur la base des prix de 1975. Il faut remarquer que les 1 000 F/mois/personne de salaire sont probablement supérieurs à la réalité, et que nous n'avons pas tenu compte de la ration journalière de poisson prélevé sur les prises par les pêcheurs.
Au Burundi, la pêche est l'un des secteurs les mieux surveillés. Depuis 1955, il existe un système de récolte des statistiques de pêche. Des quatre pays riverains du lac Tanganyika, le Burundi est le seul qui exploite intensivement ses eaux territoriales (8 pour cent de la superficie du lac).
Cette situation est principalement due à:
la présence du seul marché important sur l'ensemble des rives du lac, à savoir Bujumbura et ses environs (200 000 habitants). Ce marché a toujours attiré la pêche industrielle;
une route qui longe la côte burundaise et qui permet l'exploitation de l'ensemble des eaux territoriales du pays.
Dès les premières années de la pêche industrielle, des mesures ont été prises afin de protéger la pêche artisanale et coutumière, à savoir:
interdiction pour les pêcheurs industriels de pêcher à moins de 5 km des côtes;
obligation pour les pêcheurs industriels de vendre la totalité de leurs prises sur les marchés de Bujumbura.
Ces deux mesures protègent et la zone de pêche et les marchés (côtes) de la pêche artisanale et coutumière.

Fig. 4 La pêche artisanale et coutumière au Burundi Rapport entre coût total de la pêche et valeur des prises
A l'heure actuelle, la pêche industrielle est la seule capable d'approvisionner le marché de Bujumbura, dont la capacité journalière est estimée à 40–45 tonnes. Plus de 1/6 des frais de la pêche industrielle proviennent de l'acheminement par camion du poisson vers la capitale. La redistribution du poisson frais dans la plaine de la Ruzizi se fait par des moyens peu onéreux (porteurs, vélos, camionnettes). La combinaison bateau/camion amène une plus grande mobilité à la pêche industrielle et leur permet d'exploiter même les zones situées à 125 km de Bujumbura et cela malgré la contrainte horaire due à la commercialisation (ouverture du marché de 6 à 12 heures). C'est cette mobilité de la pêche industrielle qui explique probablement en partie les différences importantes en nombre de nuits de pêche/unité/mois entre les trois types de pêche. La pêche industrielle est capable de se rendre là où est le poisson, mais cela augmente fortement son coût de revient (Tableau 3).
La pêche artisanale et coutumière, répartie sur les 180 km de côtes que compte le Burundi, produit du travail à temps partiel pour près de 4 000 personnes et fournit 58 pour cent de la production totale du pays (1976). Leurs prises sont principalement constituées de “Ndagala” vendu frais sur la côte ou séché sur le sable et ensuite acheminé vers d'autres localités. La durée de conservation du produit sec est de 15 jours à un mois.
La législation burundaise interdit l'utilisation du filet à “maille inférieur à 10 mm, maille étiré, filet mouillé”. De telles mailles retiennent à 100 pour cent les Stolothrissa de 61,5 mm de long (Roest, 1977). La plupart des mailles utilisées sont de 10 et 12 mm pour la pêche artisanale et de 12,5 mm pour la pêche industrielle.
La pêche s'est développée en d'autres points du lac. Les conditions locales passées et présentes, politiques, commerciales et de pêche ne sont pas suffisamment précises pour pouvoir analyser les données statistiques actuellement disponibles. Les résultats présentés ici sont provisoires.
Le Zaïre et la Tanzanie possèdent respectivement 45 et 41 pour cent de la superficie du lac, le Burundi et la Zambie 8 et 6 pour cent (superficie totale 32 900 km2, Welcomme, 1972).
Cependant, la majorité des côtes sont difficilement accessibles et les facilités d'exploitation peu nombreuses (Fig. 5).
Il y a:
A l'extrémité Nord du lac, 300 km de côtes longées par une route Baraka-Uvira - Bujumbura-Rumonge-Nyanzalac, un marché important Bujumbura, des voies d'accès vers l'intérieur du Burundi-Rwanda et du côté Zaïrois vers Bukavu. C'est une région à très forte densité de population.
A l'extrémité Sud du lac, un terminal routier important Mpulungu (Zambie).
Deux terminaux de chemin de fer Kigoma en Tanzanie et Kalemie au Zaïre.
Quelques terminaux de pistes ou routes secondaires, qui sont souvent fermées durant la saison des pluies:
trois en Tanzanie: Karema, Mtakuya-Kipili, Kasanga
deux au Zaïre: Moba, Moliro (peut-être Kabimba, Pala)
un en Zambie: Nsumbu
Les accès au lac sont limités et laissent d'immenses zones non exploitées.
Tableau 3
Comparaison entre les trois types de pêche au Burundi
| Pêche coutumière | Pêche artisanale | Pêche industrielle | |
| Nombre d'unités en action - Novembre 1976 | 633 | 540 | 22 |
| Nombre d'emploi/unité | 2,5 temps partiel | 4,5 temps partiel | 35 plein |
| Investissement - Prix 1975 - F.Bu. × 1 000 | 25 | 125 | 9 645 |
| Frais de fonctionnement annuel F.Bu. × 1 000 | ? | 30 (non compris salaires) | 4 512,5 |
| Marché principal | Côte | Côte | Bujumbura |
| PUE 1976 tonnes/bateau/an | 5,51 | 15,99 | 393,60 |
| Nombre de sorties/bateau/an | 105,7 | 170 | 294 |
| Prises totales 1976 - tonnes | 3 694 | 7 925 | 8 714 |
| Prises 1976 en % du total Burundi | 18% | 39% | 43% |
| Valorisation des prises 1976 (F.Bu. × 1 000) | 45 505 | 104 457 | 170 885 |
| Valorisation 1976 en % du total Burundi | 14% | 33% | 53% |
| Prises de “Ndagala” en % des prises totales Burundi 1976 | 13% | 34% | 24% |
| Prises de “prédateurs et autres”, en % des prises totales Burundi 1976 | 5% | 5% | 19% |
| Zone exploitée | Côtière | Côtière et pélagique | Pélagique |

Fig. 5 Voies d'accès au lac Tanganyika
L'utilisation du catamaran et du carrelet à poche profonde est surtout répandu au Nord du lac, celle de la senne de plage pour capturer le “Ndagala” durant la journée et à certaines saisons surtout au Sud.
La pêche à l'épuisette semble se pratiquer partout et les filets dormants surtout dans les eaux peu profondes des deux extrémités du lac (Chapman et Bazigos, 1975).
En plus des voies d'accès citées plus haut, les côtes tanzaniennes et zambiennes étaient desservies par un bateau de gros tonnage: le LIEMBA. Ce bateau a travaillé jusqu'en 1969. Il est depuis lors en réparation et serait remis en service dans le courant de l'année 1977.
Voici résumées certaines données concernant l'effort de pêche.
| Pirogues | Catamarans | ||
| Burundi | |||
| novembre 1976, Unités en action | 633 | 540 | |
| nombre total d'unités | 876 | 573 | |
| Tanzanie | |||
| juillet 1973 (Chapman et Bazigos 1974) | 7 396 | - | |
| août 1975 (Sasidharan, 1976) | 5 233 | - | |
| Zaîre - Kivu Sud | |||
| 1975 (Kahindo in Hall et al., 1975) | 161 | 174 | |
| septembre 1976 (Bill Brownell, comm. pers.) | 161 | 42 | |
| mars 1977 (Bill Brownell, comm. pers.) | 192 | 46 | |
| - Shaba | ? | ? | |
| Zambie | |||
| août 1974 (Bazigos et al., 1975) | 635 | 2 chiromila | |
Pour le Burundi, seules les unités “en action” rentrent en ligne de compte pour l'estimation des captures, mais pour pouvoir comparer les données du Burundi avec celles des autres pays, il faut prendre le nombre total d'unités. L'effort total de la pêche artisanale et coutumière pour tout le lac devrait être de 8 500 à 10 000 équivalents pirogue.
Voici également quelques données concernant les PUE exprimées en tonnes/bateau/an. Elles concernent la pêche artisanale et coutumière dans son ensemble, quel que soit le mode de pêche (épuisette, filet dormant, senne de plage, etc.).
| PUE Pirogue | PUE Catamaran | ||
| Burundi | |||
| 1973 | 4,40 | 13,84 | |
| 1974 | 4,68 | 16,91 | |
| 1975 | 5,04 | 14,13 | |
| 1976 | 5,51 | 15,99 | |
| Tanzanie (Sasidharan, 1976) | |||
| Avril 1975 à Novembre 1976 | 10,19 | ||
| Zambie (Bazigos et al., 1975) | |||
| 1973 | 2,4 tonnes/an | ||
| 1974 | 2,9 tonnes/an | ||
| Zaîre (Hall et al., 1975 extrapolé des données du Burundi) | |||
| 1975 | 3,5 | 17,5 | |
| Trimaran = 35,0? | |||
Il nous est impossible de commenter les différentes PUE renseignées ici, ne connaissant pas la situation dans les autres parties du lac ni le crédit qu'il faut accorder à ces données.
Pour pourvoir se développer, la pêche artisanale et coutumière ont le plus grand besoin d'un approvisionnement régulier en matériel de pêche et d'un système de récolte des produits traités. Un système standardisé de récolte des statistiques d'effort et de captures est primordial pour toute surveillance de la pêche et toute perspective de développement.
La pêche industrielle au Burundi a toujours fonctionné sur la base de l'association bateau/camion/vente du poisson frais à Bujumbura. La pêche industrielle à Kalemie et Mpulungu est plutôt centrée sur l'association bateau/usine/vente des produits traités (congélation, salage, séchage). La pêche industrielle à Kigoma est caractérisée par la vente en frais sur le marché local.
Il y a eu ou il y a encore quelques unités industrielles à Uvira, Baraka, Moba Maliro (Zaîre), Nsumbu (Zambie). Seules les flottes de Bujumbura et Kalemie se sont réellement développées (plus de 15 unités).
On se référera à l'article d'Andrianos (1976) pour plus de renseignements concernant la pêche industrielle et les possibilités de son développement en Tanzanie. Nous ne donnerons pas ici le “timing annuel” des prises de la pêche industrielle, mais uniquement la PUE annuelle moyenne en kg/sortie de pêche.
| Burundi | (1971–1976) | PUE = 1 343 | Sx = 144 |
| Kalemie | (1965–1973 un bateau, armateur Léonard Léon, comm. pers.) | PUE = 2 222 | Sx = 284 |
| Kalemie | (1971–1975 deux compagnies) (rapport Service des Eaux et Forêts - Kalemie) | PUE = 1 505 | Sx = 148 |
| Mpulungu | (1962–1968 une compagnie) (Coulter, 1970) | PUE = 2 806 | Sx = 272 |
| Mpulungu | (1964–1972 deux compagnies) (Kendall, non publié) | PUE = 2 550 | Sx = 385 |
Le rendement potentiel moyen calculé pour le Burundi à 18 000 tonnes pour 186 000 ha (96,77 kg/ha) donne un rendement total extrapolé de 318 000 tonnes/an pour le lac Tanganyika. Ceci est un minimum si on se réfère aux PUE de la pêche industrielle observées à Mpulungu et Kalemie.

Fig. 6 Corrélation entre la biomasse mesurée par échosondage et la PUE de la pêche industrielle
| PUE | Rendement potentiel total Tanganyika | ||
| Burundi | 1 343 kg/sortie | 97 kg/ha | 318 000 tonnes |
| Kalemie - Zaîre | 2 222 kg/sortie | 160 kg/ha | 526 000 tonnes |
| Kalemie | 1 505 kg/sortie | 108 kg/ha | 356 000 tonnes |
| Mpulungu - Zambie | 2 806 kg/sortie | 202 kg/ha | 664 000 tonnes |
| Mpulungu | 2 550 kg/sortie | 184 kg/ha | 604 000 tonnes |
Il existe d'autres estimations du rendement potentiel du lac qui sont résumées ci-dessous. Il est important de se référer aux articles des différents auteurs pour prendre connaissance des méthodes et des paramètres utilisés, ainsi que de leurs commentaires.
| Rendement potentiel pour tout le lac Tanganyika | ||
| kg/ha | tonne/an | |
| 1. Kufferath (in Capart et Kufferath 1956), composition chimique de l'eau | 30 à 35 | 100 000 |
2. Coulter (1977) | 122 à 138 | 400 000 450 000 |
3. Coulter (1977) | 600 | 1 956 000 |
4. Coulter (1977) | 22 | 72 000 |
5. Roest (1977) | ||
| Johannesson nov. 73 = 2 6000 000 → 1 580 000 | 291 | 948 000 |
Mathissen mai 75 = 467 000 → 700 000 | 122 à 138 | 400 000 450 000 |
| Mathissen nov. 76 = 680 000 → 900 000 | 166 | 540 000 |
Depuis 1972, deux projets FAO de recherches sur le lac Tanganyika travaillent à l'évaluation des stocks. Dans le cadre de ces projets, plusieurs campagnes de mesure directe de la biomasse de poisson pélagique du lac, par échosondage eurent lieu. Les résultats sont repris dans le Tableau 4. Ces résultats ont montré la dispersion hétérogène des poissons pélagiques et les changements rapides dans leurs distribution horizontale et verticale (Johannesson, 1974; Chapman, 1976).
De plus, les deux échosondages de Mathissen (mai 1975 et novembre 1976) montrent que le Sud du lac est plus riche que le Nord, résultats confirmés par les PUE de la pêche industrielle. Cependant, les PUE de Zambie sont doubles de celles du Burundi et les résultats de l'échosondage montrent des biomasses onze fois supérieures! Cette différence est peut-être en partie expliquée par la capacité des bateaux ou la limitation des prises dues à la commercialisation.
Tableau 4
Mesures par échosondages de la biomasse du lac Tanganyika
| Superficie mesurée en km2 | Johannesson | Mathissen | Mathissen | |||||
| novembre 1973 | kg/ha | mai 1975 | kg/ha | novembre 1976 | kg/ha | |||
| Burundi 3°20' – 4°30' Sud | 2 394 | 120 000 260 000 | 501 *1 086 | 11 300 | *47 | 14 900 | *62 | |
| Kigoma 4°30' – 5°40' | 4 836 | 360 000 | 744 | 45 100 | 93 | 134 000 | *277 | |
| Lagosa - Kalemie 5°40' – 6°30' | 3 845 | 340 000 | *884 | 45 800 | *119 | 43 700 37 100 | 114 96 | |
| Kipili - Karema 6°30' – 8°00' | 8 390 | 1 700 000 | 2 026 | 221 100 | 264 | 300 100 294 700 | 358 351 | |
| Zambie 8°00' – 8°45' | 2 686 | 80 000 | 298 | 144 000 | 536 | 193 000 | 719 | |
| TOTAL TANGANYIKA | 22 151 | 2 600 000 2 740 000 | 1 174 1 237 | 467 000 | 211 | 685 700 673 700 | 310 304 | |
| Enderlein 1974 kg/ha | ||||||||
| Burundi - Nyanza Lac 3°20' – 4°30' | 3 931,25 | avril | 159 000 | *404 | ||||
| mai | 339 000 | 862 | ||||||
| juillet | 181 000 | *460 | ||||||
| sept. | 178 000 | *453 | ||||||
| novemb. | 171 000 | 435 | ||||||
Tableau 5
Biomass mesurée par échosondage et PUE de la pêche industrielle
| Biomasse kg/ha | PUE - Pêche Industrielle | |
| Burundi novembre 1973 | 1 086 | 2 390 |
| Burundi mai 1975 | 47 | 772 |
| Burundi novembre 1976 | 62 | 994 |
| Kigoma novembre 1976 | 277 | 975 |
| Kalemie novembre 1973 | 884 | 1 479 |
| Kalemie mai 1975 | 119 | 1 351 |
| Burundi avril 1974 | 404 | 1 054 |
| Burundi juillet 1974 | 460 | 775 |
| Burundi septembre 1974 | 453 | 1 044 |
Nous avons calculé la corrélation entre les biomasses obtenues par échosondage et exprimées en kg/ha et les PUE de la pêche industrielle de l'endroit lorsque les données étaient disponibles (Fig. 6).
Sur 12 observations, nous avons dû éliminer trois concernant le Burundi: octobre 1973, mai 1974 et Novembre 1974.
Y = 749,17 + 1,08 X (r = 0,774 significatif à 99 pour cent; n = 9)
X = biomasse mesurée par échosondage et exprimée en kg/ha
Y = PUE de la pêche industrielle exprimée en kg/nuit de pêche.
Le coefficient de corrélation et la pente de la droite plaident en faveur de la validité des échosondages, par contre, la signification de la constante 749 n'est pas claire.
Chapman (1976) a calculé la corrélation entre la biomasse et les prises par coup de senne et donne les équations suivantes:
Kigoma : log Y = 2,10150 + 0,35946 log X P = 0,01
Tanzanie : log Y = 1,65471 + 0,37658 log X
X = biomasse mesurée en mm (1 mm = 8,8 kg/ha)
Y = prix par coup de senne en kg
La PUE (kg/coup de senne) de l'équation de Kigoma est obtenue à partir des prises faites autour de cinq porte-lampes ayant servi à attirer le poisson toute la nuit (prenons de 17h00 à 5h00 = 8 h).
La PUE de l'équation de Tanzanie est obtenue à partir des prises faites autour de quatre porte-lampes ayant attiré le poisson pendant environ quatre heures (Chapman 1976). Les PUE de la pêche industrielle sont exprimées en kg/nuit de pêche, qui représente trois à quatre coups de senne par nuit: Mpulungu: 2,77 (Kendall, non publié) - Kigoma 1974–1975: 2,75 (Andrianos, 1976).
Pour obtenir des PUE équivalentes, repartons donc 3 X la valeur de Y obtenue avec l'équation de Kigoma et 6 X la valeur de Y obtenue avec l'équation de Tanzanie (Fig. 6).
Pour une biomasse de 0 à 1 500 kg/ha, les deux équations de Chapman encadrent la droite de régression biomasse échosondage/PUE pêche industrielle. Ceci prouverait en plus que l'efficacité de la lampe (lamparo) est proportionelle à la durée de son attraction sur les poissons.
Si nous traitons les données d'échosondage relatives au Nord du lac en 1974, comme l'a fait M. Roest en ce qui concerne les trois échosondages pour l'ensemble du lac, c'est-àdire corriger les biomasses mesurées par rapport aux PUE de la pêche industrielle du mois et à la PUE moyenne annuelle, nous obtenons les résultats suivants:
| Biomasse mesurée en kg/ha | Biomasse moyenne annuelle (kg/ha) | Rendement potentiel = 60% biomasse | |
| avril 1974 | 404 | 581 | 348 |
| mai 1974 | 862 | 2 572 | 1 543 |
| juillet 1974 | 460 | 900 | 540 |
| septembre 1974 | 453 | 658 | 395 |
| novembre 1974 | 435 | 252 | 151 |
Il est difficile à l'heure actuelle de se prononcer aux sujets de toutes ces estimations de rendements potentiel ou de biomasse. Un rendement potentiel de 100 kg/ha et représentant 60 pour cent de la biomasse semble être un minimum.
Le rendement potentiel du lac Tanganyika semble important mais la variabilité dans les quantités et la composition des prises en un endroit du lac rend difficile toute planification.
Les caractéristiques topographiques du lac ne sont pas favorables à une exploitation optimum de l'ensemble du lac sans une libre circulation sur celui-ci. Ce dont les pêches artisanale et coutumière ont le plus besoin, c'est d'un bateau de gros tonnage qui servirait au ramassage du “Ndagala” sec et d'un centre d'approvisionnement en matériel de pêche. Le centre du lac et les côtes non peuplées seraient exploitées par un type de pêche industrielle accompagné d'un bateau-usine, laissant à d'autres unités l'approvisionnement en poissons frais des gros centres.
Les quatres pays riverains bénéficieraient de cette mise en commun de leurs ressources. La libre circulation sur l'ensemble du lac permettrait une redistribution des produits, vers tous les comptoirs commerciaux et donc un approvisionnement plus constant.
La tâche des biologistes n'est pas terminée. Les résultats obtenus dans le Nord et le Sud du lac, sont-ils applicables au centre? Quelles sont les migrations effectuées par les poissons? Oû se situe leur aire de reproduction?
Il est également temps que les politiciens prennent connaissance des possibilités offertes par le lac et agissent en conséquence.
Andrianos, E.D., 1976 Commercial purse seine fishing on Lake Tanganyika. Lake Tanganyika Fishing Research and Development Project. UNDP/SF/URT/71/012 No.30, 51 p.
Bazigos, G.P., C. Grant et Williams, 1975 Revised fisheries time series of natural waters of Zambia (1966–1974). Fisheries Training Development Project, ZAM/73/009/sts/3:66 p.
Capart, A. et J. Kufferath, 1956 Recherches hydrobiologiques au Congo Belge et leurs résultats pratiques. Bull.agric.Congo Belge, 47(4): 1–27
Chapman, D.W. et G.P. Bazigos, 1975 Preliminary appraisal of the canoe fishery of Lake Tanganyika (Tanzania). Lake Tanganyika Fishery Research and Development Project, Working Paper, 26 p.
Chapman, D.W., 1975 Characteristics of layers and school of pelagic fish in Lake Tanganyika. Lake Tanganyika Fishery Research and Development Project. URT/71/012/16, Working Paper No.16:10 p.
Chapman, D.W., 1976 Acoustic estimates of pelagic ichtyomass in Lake Tanganyika with an inexpensive echo sounder. Trans.Am.Fish.Soc., No.5:581–7
Chéné, G., 1956 Etude des problèmes relatifs aux fluctuations piscicoles au Lac Tanganyika - mémoire de Licence - Université de Liège: 108 p.
Collart, A., Note sur la pêche au Ndagala au Lac Tanganyika. Bull.agr.Congo Belge, 47(4): 12 p.
Collart, A., 1958 Pêche artisanale et pêche industrielle au Lac Tanganyika. Bull.agric.Congo Belge, 49(5):1169–1268
Coulter, G.W., 1970 Population changes within a group of fish species in Lake Tanganyika following their exploitation. J.Fish.Biol., 2:329–53
Coulter, G.W., 1977 Approaches to estimating potential fish yield in Lake Tanganyika - Burundi fishery research on Lake Tanganyika DP/BDI/73/020/12:20 p.
Ellis, C.M.A., 1971 The size at maturity and breeding season of sardines in Southern Lake Tanganyika. Afr.J.Trop.Hydrobiol.Fish, 1(1):59–66
Gulland, J.A., 1969 Manuel des méthodes de l'évaluation des stocks d'animaux aquatiques - première partie - analyse des populations. Manuels FAO de sciences halieutiques no. 4:154 p.
Gulland, J.A., 1970 L'aménagement des pêcheries et la limitation de la pêche. FAO Fish.Tech.Pap., 92:14 p.
Gulland, J.A., 1970 La notion de rendement maximal constant et l'aménagement des ressources halieutiques. FAO Fish.Tech.Pap., 70:12 p.
Gulland, J.A., 1974 Guidelines for fishery management - Indian Ocean Fishery Commission IOFC/Dev/74/36:84 p.
Hall, G., E. Seay, T. Kowalski, L. Madimba et S. Lubanzadio, An evaluation of proposed USAID project for improvement of Lake Tanganyika's fishery resources in Zaîre: 69 p.
Haling, G., 1974 Improved artisanal fishing techniques on Lake Tanganyika, FI:DP/BDI/70/508/4: 13 p.
Henderson, H.F., G.W. Coulter, M.J. Mann et G. Wetherall, 1972 Predator-prey relationships and the pelagic fishery potential in Lake Tanganyika with particular reference to the purse-seine fishery of Burundi. Draft MS of working paper, FAO, Rome
Johannesson, K.A., 1974 Evaluations quantitatives préliminaires de stocks de poissons pélagiques du lac Tanganyika au moyen de méthodes d'intégration d'écho. EIFAC/74/1/Symp. 54: 16 p.
Mann, M.J., 1973 F. Bashirwa, C.M.A. Ellis, J.B. Nahabakomeye et H.O. Enderlein, Burundi, preliminary report on fish biology and stock assessment. FAO, Rome: 58 p.
Mann, M.J., et N. Ngomirakiza, Evaluations of the pelagic resources in the Burundi waters of Lake Tanganyika and the evaluation of the fisheries. Afr.J.Trop.Hydrobiol. Fish., Special Issue I 135–141
Mathissen, O., 1977 Rapports des échosondages mai 1975 et novembre 1976
Roest, F.C., 1977 Rapport préliminaire sur la dynamique des populations et l'évaluation des stocks de Stolothrissa tanganicae dans les eaux burundaises du Lac Tanganyika et projet de formation de biologistes des pêches. 27 p.
Sasidharan, V.K., 1976 Lusenga and Kipe fishery of Lake Tanganyika (Tanzania). Lake Tanganyika Fishery Research and Development Project URT/72/012/43, Working Paper No. 43: 12 p.
Turner, J.L. et C. Herman, 1977 Status of the pelagic fisheries of Lake Tanganyika (Burundi) based on catch and effort data. Burundi Fishery Research on Lake Tanganyika Project. FI:BDI/73/020/14:7 p.
Welcomme, R.L., The inland waters of Africa. CIFA Technical Paper No. 1:117 p.
Welcomme, R.L., Service des Pêches à Bujumbura pour toutes les données concernant le Burundi
Nous voudrions remercier tout particulièrement M. F. Roest, biologiste des pêches FAO Bujumbura, pour son aide et les nombreuses discussions que nous avons eues. Nous le remercions également pour avoir relu ce papier. Nous voudrions aussi adresser nos remerciements à Helga Diedrichsen, MM G. Bowman et J.B. Nahabakomeye, ainsi qu'à toute l'équipe du Projet Pêche de Bujumbura pour leurs aides et services; M. Kleve, Conseiller au Premier Ministère et Ministère du Plan qui nous guida dans l'analyse économique de la pêche. Nous adressons aussi nos remerciements à MM M. Mann, J. Turner, D. Chapman, F. Henderson et G. Bazigos pour nous avoir initiés dans le métier. Enfin, on ne peut passer sous silence la collaboration des armateurs grecs, M. N. Hadjiandreou, E. Kalomeris, E. Andrianos, la mission de Minago et tous les pêcheurs du Burundi qui facilitèrent notre travail ainsi que M. Léonard Léon (Kalemie) qui nous a remis le carnet de prises de son bateau. Nous les remercions tous vivement ainsi que les amis qui ont porté un intérêt à notre travail.