by
H. J. SQUIRES
Fisheries Research Board of Canada Biological Station
St. John's, Newfoundland, Canada
Abstract
Pandalus borealis, the deep-water prawn or the pink shrimp, is abundant in waters deeper than 100 fm (200 m) near Newfoundland. Some of the P. borealis populations live throughout the year in temperatures close to 5°C. Individuals from such populations apparently become females in their fourth year and spawn annually in the next two or three years that they live. The proportion of females in all samples from these populations is high, and propagation would possibly be enough to maintain large numbers if they were fished. On the other hand, some populations live in temperatures close to 0°C. The proportion of females in these is consistently low and natural mortality may ensue before most males become females. These cold-water populations appear to be scarcely self-propagating and are not likely to withstand intensive fishing. The warm-water populations, however, appear suitable for commercial exploitation.
INFLUENCE DE LA TEMPERATURE SUR LA CROISSANCE ET LA REPRODUCTION DE Pandalus borealis EN TERRE-NEUVE
Résumé
Pandalus borealis, crevette d'eau profonde ou crevette rose, se rencontre en abondance près de Terre-Neuve à une profondeur supérieure à 200 mètres. Certaines populations de P. borealis vivent toute l'année dans des eaux où la température est proche de 5°C. Dans ces populations, il semble que les individus deviennent des femelles au cours de leur 4ème année d'existence et pondent au moins deux fois en deux ans. La proportion de femelles de tous les échantillons de ces populations est élevée, et il est possible que leur reproduction soit suffisante pour assurer le maintien d'un stock important de crevettes si elles faisaient l'objet d'une exploitation commerciale. Par contre, certaines populations vivent à une température proche de 0°C. La proportion de femelles est alors toujours faible et la mortalité naturelle peut intervenir avant que la plupart des mâles ne changent de sexe. Il semble que ces populations d'eau froide arrivent à peine à maintenir leurs effectifs et ne se prêteraient pas à une exploitation intensive. Les populations d'eau chaude cependant, se prêteraient à une exploitation commerciale.
RELACION DE LA TEMPERATURA CON EL CRECIMIENTO Y LA AUTOPROPAGACION DEL Pandalus borealis EN TERRANOVA
Extracto
El camarón de aguas profundas (Pandalus borealis) abunda en Terranova en aguas cuya profundidad es superior a las 100 brazas (200 m). Algunas poblaciones de P. borealis viven durante todo el año en aguas con temperaturas aproximadas a los 5°C. Ejemplares de dichas poblaciones se transforman, aparentemente, en hembras en su cuarto año y desovan anualmente en los dos o tres años futuros de su ciclo de vida. La proporción de hembras en todas las muestras de estas poblaciones es elevada, y la propagación sería posiblemente suficiente, si se pescaran, para mantener grandes cantidades de las mismas. Por otra parte, existen algunas poblaciones que viven en aguas con temperaturas cercanas a 0°C. La proporción de hembras en estas últimas poblaciones es considerablemente baja y la mortalidad natural suele suceder antes de que la mayoría de los machos se transformen en hembras. Estas poblaciones de agua fría no parecen autopropagarse mucho y no es probable que resistan a una pesca intensiva. Las de agua templada, sin embargo, aparecen convenientes para su explotación comercial.
1.1 Survey of Newfoundland area for shrimp grounds in 1957 and 1958
During the summers of 1957 and 1958 a survey was made to determine the distribution of fishable quantities of Pandalus borealis (deep-water prawn or pink shrimp). Deep-water areas (100 to 200 fm, (200 to 365 m)) only were surveyed near Newfoundland (Squires, 1961).
1.1.1 Gulf of St. Lawrence and southwest of Newfoundland, warm-water channels The shrimp (P. borealis) was found in abundance, up to 400 lb (181.4 kg) per h, trawling in the deep-water channels (chiefly Mingan and Esquiman Channels) of the Gulf of St. Lawrence and southwest of Newfoundland as far east as Hermitage Bay. Catches were mostly composed of this one species of shrimp only. Because of penetration of Atlantic water into these level and soft bottom channels, temperatures remain moderately high (4 to 6°C) throughout the year.
1.1.2 South and east coasts of Newfoundland, cold-water bays Shrimps were also found but in less abundance (up to 130 lb (59 kg) per h, but generally much less) in Fortune, Placentia, Conception, Trinity and Bonavista Bays. Catches of shrimps were mostly composed of mixed species from these bays, the two abundant species being P. borealis and P. montagui. Bottom water temperatures in these bays were generally low. In some bays (Placentia and Conception Bays) the deep troughlike part of the bay is filled with cold Arctic water (close to 0°C) throughout the year. In the others deep bottom water of mixed Atlantic and Arctic origin have temperatures which are mostly below 1.5°C.
2.1 Sizes of shrimps from temperatures of 4 to 6°C
Shrimps from the warm areas were larger than those from cold areas. Random samples of the catches from southwest Newfoundland gave “heads on” counts of 45 to 62 per lb (99 to 136 per kg) and from the Gulf of St. Lawrence 52 to 83 per lb (114 to 183 per kg). Averages and ranges of carapace lengths from these areas were, respectively, 25 mm (16 to 32 mm) and 23 mm (14 to 31 mm) (Squires, 1965). Samples of P. borealis from the relatively warm-water areas had an almost equal number of females as males. In samples from 16 hauls at temperatures of 3.7 to 6.2°C the proportion of females in samples varied from 26 to 58 percent (Fig. 1).
2.2 Shrimps from temperatures near 0°C
Most shrimps from low temperature areas were small in size. “Heads on” counts were 97 to 163 per lb (213 to 359 per kg) in Placentia Bay, over 200 per lb (440 per kg) in Conception Bay, 70 to 232 per lb (154 to 510 per kg) in Trinity Bay and 204 to 271 per lb (449 to 596 per kg) in Bonavista Bay (Squires, 1961). The average and range of carapace lengths in Placentia Bay, for example, was 15 mm and 10 to 28 mm (Squires, 1965).
The proportion of female P. borealis in samples from these areas was consistently low: some had no females while others had only 4 to 14 percent females (Fig.1).
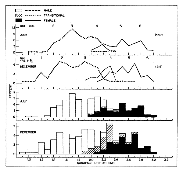
When specimens of P. borealis from subsamples were separated in heaps according to size, about four groups of males and three of females were apparent. Length frequencies of specimens taken monthly during 1947 to 1957 also exhibited size groups, and these were estimated to represent ages of two to four years in males and transitionals and four to six years in females (Fig. 2). However, discontinuities occurred between male and female length frequencies from different areas. For example a discontinuity represented by at least one year's growth appeared to occur between males from Trinity Bay and females from the Gulf of St. Lawrence (Fig. 3). When lengths of females from Trinity Bay were filled in, a difference in growth rate became evident. Shrimp from the warm-water area had apparently grown faster than those from the cold-water area.

Fig. 1 Proportion of females present in samples from populations of Pandalus borealis living in different prevailing temperatures (unchanging throughout the year).

Fig. 2 Estimated ages of Pandalus borealis in grouped data from several areas in Newfoundland collected in July and December, 1947 to 1957.
![]() | ![]() |
Fig. 4 Percent of ovigerous females annually in samples from P. borealis populations living in different prevailing temperatures (Unchanging throughout the year), 1957 and 1958. | |
Fig. 3 Estimated ages of P. borealis in A. males from Trinity Bay (July) and B. females from Gulf of St. Lawrence (June). C. females from Trinity Bay are added to show size distribution of females from comparatively low temperatures in 1957. |
Since the females from the cold-water area were relatively much fewer in number than those from warm water and also smaller in size, it is presumed that in the cold-water area the growth limit is reached before most males became females. Males would appear older than their sizes suggest and therefore, what would seem a four-year age group would perhaps be a five- or six-year group. The few females occurring could be accounted for by-faster growing individuals in the population.
4.1 Areas of high reproductive potential
In the warm-water areas where catch samples yielded as many females as males, almost all females would spawn annually (Fig. 4), in the two or three years of life as females. At such a rate of spawning these populations would most likely produce enough eggs and larvae to maintain their numbers. Also the configuration of the Gulf of St. Lawrence and the channels southwest of Newfoundland is such that, under prevailing winds, larvae would be most likely to settle near the bulk of the population producing them.
4.2 Areas of low reproductive potential
In cold-water areas, where P. borealis females occurred in much smaller numbers than males, less than 65 percent of them would spawn annually during the two or three years they would live (Fig. 4). With such a reduced rate of self-propagation, the populations of these shrimps would have difficulty in maintaining their numbers. They might owe their existence to larvae drifting from other populations. Presuming that larvae come to the surface of the sea after hatching in spring, they would be subjected to relatively low temperatures south and east of Newfoundland. They would, therefore, develop slowly while they were carried by prevailing currents south and westward. Some larvae from Conception and Trinity Bays might in this way eventually be deposited in Placentia Bay.
5.1 Comparison of shrimp samples from different areas
Because the P. borealis grounds near Newfoundland have not yet been fished, it has been possible to compare populations from 0°C waters with those from 4 to 6°C. These temperatures on the shrimp grounds prevail throughout the year. The low-temperature areas have P. borealis populations which appear to be scarcely self-maintaining. Under exploitation such populations are not likely to be able to yield commercial quantities of shrimps. The warm-temperature areas, on the other hand, appear to have P. borealis populations which are self-maintaining at high numbers. Reproductive potential in these is apparently high because females in samples were equally as plentiful as males and 100 percent of them would spawn annually.
Conditions in these areas are typically stable. Seasonal or other migrations of adult shrimps are shown to be unlikely by many samples of similar composition obtained from these unfished populations at different times in the year.
5.2 Recommendation to the fishing industry
While the fishing industry could be advised to fish the warm-water populations of P. borealis and to locate processing plants near these grounds, they had best be advised not to depend upon fishing the shrimp grounds where water temperatures were low throughout the year. The shrimp grounds near Newfoundland, where temperatures are 4 to 6°C throughout the year, would undoubtedly support a continued fishing effort.
Squires, H.J., 1961 Shrimp survey in the Newfoundland fishing area, 1957 and 1958. Bull.Fish.Res.Bd Can., (129):29 p.
Squires, H.J., 1965 Decapod crustaceans of Newfoundland, Labrador and the Canadian eastern Arctic. Manuscr.Rep.Ser.(biol.)Fish.Res.Bd Can., (810):212 p.