by
M. J. GEORGE, K. H. MOHAMED and N. N. PILLAI
Central Marine Fisheries Research Institute
Mandapam Camp, India
Abstract
Experiments were conducted to determine whether culture methods could be advantageously introduced into the existing prawn filtration practices in the paddy fields of Kerala, on the southwest coast of India. The pattern of the fishery is changing, with the demand for small prawns decreasing and that for large prawns increasing. The experiments indicated that culturing of juvenile prawns for about a month resulted in relatively better catches of large sized prawns than could be obtained by cultivation for longer periods. The yield of prawns appeared to be better during the spring tide period associated with the full moon than that associated with the new moon; this is correlated with the increased tidal gradient at full moon. The fishery mainly concerns four species of penaeid prawns, namely, Metapenaeus dobsoni, M. monoceros, M. affinis and Penaeus indicus. Recruitment to the fishery is continuous with a peak in March or April. The majority of the juvenile prawns brought into the field by a particular tide do not seem to move out of it when the tide recedes.
OBSERVATIONS SUR L'ELEVAGE DES CREVETTES DANS LES RIZIERS DE KERALA (INDE)
Résumé
Des expériences ont été faites pour déterminer s'il serait avantageux d'introduire des méthodes d'élevage dans les rizières de Kerala, sur le littoral sud-ouest de l'Inde, où les crevettes sont recueillies par filtration de l'eau. La pêcherie évolue, car la demande de petites crevettes diminue tandis que la préférence va de plus en plus aux grandes.
Des expériences ont prouvé que l'élevage de jeunes durant un mois environ permet de récolter comparativement plus de crevettes de grande taille qu'un élevage étendu sur une période plus longue. La production de crevettes a semblé plus forte durant la viveeau de pleine lune que pendant celle de nouvelle lune. Il y a corrélation avec l'augmentation du gradient de marée, qui caractérise la pleine lune. La pêcherie exploite actuellement quatre espèces de Pénéidés : Metapenaeus dobsoni, M. monoceros, M. affinis et Penaeus indicus. Le taux de “recrutement” est continu, avec une pointe en mars ou avril. La plupart des jeunes crevettes apportées dans les rizières par la marée semblent y demeurer lors du reflux.
OBSERVACIONES SOBRE LA FILTRACION DE CAMARONES EN LOS ARROZALES DE KERALA, INDIA
Extracto
Se realizaron experimentos para determinar la posibilidad de introducir con éxito métodos de cultivo en los procedimientos actuales de entrada de camarones por filtración en los arrozales de Kerala, en la costa sudoccidental de la India. Están cambiando las características de la pesquería, disminuyendo la demanda de camarones pequeños y aumentando la de camarones grandes. Los experimentos indicaron que el cultivo de camarones juveniles durante un mes aproximadamente, producía relativamente mejores capturas de camarones de tamaño grande que las que se podían obtener por medio de su cultivo durante períodos más largos. Se observó que la obtención de camarones era mejor durante el período de mareas vivas unidas a luna llena, que cuando aquéllas iban asociadas a luna nueva. Esto se atribuye a la mayor altura de las mareas cuando hay luna llena. La pesquería se ocupa principalmente de cuatro especies de camarones peneidos, a saber: Metapenaeus dobsoni, M. monoceros, M. affinis y Penaeus indicus. La pesquería se renueva constantemente, alcanzando el punto máximo de reclutamiento en marzo o abril. La mayoría de los camarones juveniles que penetran en los campos con una marea determinada parece que no los abandonan cuando la marea se retira.
Juvenile penaeid prawns are extensively fished from the paddy fields bordering the backwaters and estuaries of Kerala on the southwest coast of India. Nearly 4,500 ha of paddy fields are utilized for this purpose. In the past the huge demand from Rangoon for prawn pulp, locally called “chemmeen parippu”, has rendered it a very lucrative fishery. With the advent of the frozen prawn industry in this region, the demand for larger prawns has increased considerably, and the larger sizes from the paddy fields are now sorted out and channelled to the freezers. While the demand from the freezing industry has increased, the prawn pulp trade has decreased, mainly due to developments that have taken place in the countries to which this product was traditionally exported. It has therefore become necessary to find ways of increasing the sizes of prawns caught from the paddy fields, so that a larger proportion of the catches will be suitable for freezing and canning. A few experiments were therefore designed and carried out from 1964 to 1966 to determine whether some sort of culturing could be introduced into the present practice of prawn filtration to promote the growth of juvenile prawns before trapping.
A general account of this fishery has been given by Panikkar (1937), Menon (1954), Gopinath (1956) and Panikkar and Menon (1956). Menon (1954) has also carried out some preliminary experiments to assess the yield from these paddy fields and the rate of growth of two species of prawns. Kesteven and Job (1957) made a preliminary review of the prawn filtration practices of Kerala.
The prawn fishery is carried out from all the paddy fields lying adjacent to or having connection with the backwaters. The single crop of rice is harvested in September and October, then the paddy fields are leased out for prawn filtration. The size of fields varies from less than ½ ha to more than 10 ha. Water from the backwaters is allowed to flow freely in and out of the fields for a few days. The bunds separating the fields are now strengthened and sluice gates fixed, to regulate the flow of water into each field. Normally, each field is provided with one sluice gate which opens into the backwaters. The sluice gate is a rectangular wooden box-like structure, the size of which varies according to the area of the field. Adjustments of wooden shutterplanks at the mouth of the sluice regulate the flow of water. During high tide, water is let into the field by opening the shutters, which are closed when the water inside the field reaches the same level as outside. The juvenile prawns enter the fields with the inflow. While letting in water at night, a lamp is hung at the mouth of the sluice. At low tide, water is let out of the field by the same process, but a close bamboo screen is placed at the mouth of the sluice to prevent the prawns from escaping. This process is continued with every high and low tide throughout the fishing season.
Fishing is carried out by fixing a conical sluice net 6 to 7 m in length and with a mesh size of 5 to 12 mm, at the mouth of the sluice by means of a rectangular bamboo frame. At low tide, the shutter planks of the sluice are drawn up, and the water from the field is let out with great force through the net. The prawns collected at the cod end of the net are periodically emptied into a canoe. Special care is taken to see that the water level in the field does not fall too low by replacing the shutter planks of the sluice at the appropriate time.
Generally fishing operations are carried out at night during the spring tide period. Therefore fishing activity is restricted to 7 or 8 nights in a fortnight, i.e. 3 or 4 on either side of the full moon and new moon. The season of the fishery lasts from November to April every year. In April, before the field is handed over to the owner for paddy cultivation final fishing is carried out by completely draining the water from the field in the daytime, using cast and drag nets, and by hand picking. Generally the highest catch is obtained on this day, as the entire prawn population is fished out.
The prawns caught from the fields are mainly penaeids in their juvenile stages, and they comprise Metapenaeus dobsoni (Miers) (thelly chemmeen), M. monoceros (Fabricius) (choodan chemmeen), M. affinis (H. Milne Edwards) (kazhanthan chemmeen), and Penaeus indicus H. Milne Edwards (naaran chemmeen). A few species of palaemonids such as Macrobrachium rude (Heller), M. idae (Heller) and Palaemon styliferus H. Milne Edwards, and the atyid Caridina gracilirostris De man, are occasionally noticed in the catches, but never in commercial quantitites. Fishes like Mugil spp., Etroplus suratensis, E. maculatus, Ambassis spp., Ophichthys spp., Muraenesox cinereus, Platycephalus sp. and Panchax sp. also occur in the prawn fields, but are caught only on the final day, when the field is completely drained. The portunid crab Scylla serrata (Forskal) occurs in the fields in considerable numbers and occasionally causes damage to the bunds of the fields by burrowing into the mud.
Field experiments were designed and conducted to study the effects of retaining prawns in the paddy fields for different periods. A paddy field of 3.16 ha, situated about 4 km north of the town of Ernakulam and within the prawn fishing area of the locality, was taken on lease for the studies. The field was surrounded by backwaters on all sides. Extra bunds were provided to divide the field into two large compartments, each having an inside area of 14,400 m2, and a small compartment of 650 m2. The two larger compartments were provided with separate wooden sluice gates (438 cm long × 80 cm wide and 215 cm high) to regulate the flow of water to and from the backwater. Of these two compartments, the eastern was used for culture experiments while the western was kept as a control. The small compartment was used for marking experiments using biological stains and could be connected to the culture compartment through a small box sluice. The general depth of water inside the field was about 1 m at high tide and it was never allowed to fall below ½ m during any experiment; deeper channels ran across the field from the sluices. The bottom of the field was of soft mud, the depth of which ranged from 20 to 50 cm. The stumps of the rice plants, left after the harvest, decayed and provided a rich supply of organic detritus.
3.1 Design of experiments
Experiment I (February to May 1964) was to determine the growth and mortality resulting from culturing prawns for the entire period of the fishery and to compare the yield with the existing practice of trapping the small prawns. Juvenile prawns were let into both large compartments with the tide every day. While the prawns in the culture compartment were allowed to grow throughout the season, those in the control compartment were fished according to the local practice. The culture compartment was fished at the end of the experiment.
Experiment II (January to May 1965) was similar to the first experiment except that the culture compartment was fished at intervals of one month.
Experiment III (December to May 1966) was designed to compare the productivity of the experimental field with that of other prawn fields in the neighbourhood, and to compare yields from the two large compartments when fished according to local practice.
In all these experiments regular samples of prawns were taken from both compartments for recording their composition and size. When the experiment did not permit use of the sluice net in the culture compartment, samples were obtained with a cast net having the same mesh-size as that of the sluice net.
3.2 Hydrology
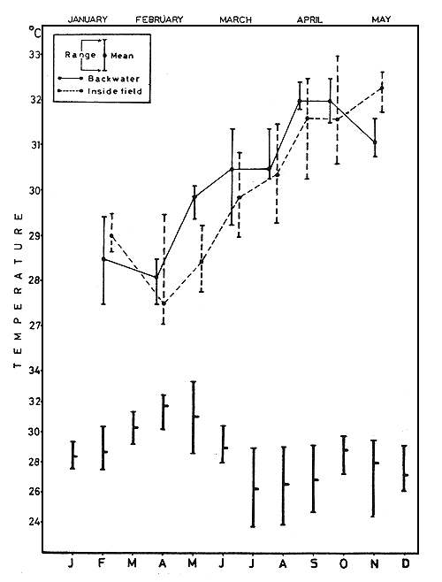
Surface salinity and temperature of the backwater near the experimental prawn field were recorded throughout the period from February 1964 to May 1966. These features were also recorded from inside the field during the periods of the experiments; the temperature was noted twice daily, at 0900 and 1500, and the salinity was estimated on alternate days.
The difference in water temperature between the backwater and the field was highest at the end of February. The generally lower temperature inside the field may have resulted from evaporation.
3.2.1 Salinity The fluctuations in salinity are shown in Fig. 1. As noticed by George (1958), Balakrishnan (1957) and George and Kartha (1963), the salinity of the backwater shows wide fluctuations, the pattern of which is the same each year. The water is almost fresh (salinity falling below 1.0‰) during the monsoon months of July and August, then the salinity rises to more than 30.0‰ by early April and maintains this high level until June.
During the experiments, the water inside the field remained more saline than that of the outside backwater. This was probably due to evaporation in the confined area.
3.2.2 Temperature As in the case of salinity, temperature also shows a minimum in the monsoon months of July and August, and increases thereafter (Fig. 1). Invariably the evening temperature was found to be higher than that of the morning. The range of temperature in the backwater was between 22.9 and 33.0°C.
During the experiments, the mean temperature inside the field was found to be slightly lower than that of the surrounding water, except in January and May. These were also the two months in which the range of temperature in the field was smallest.
3.3 Results
The details of catches obtained from the culture and control compartments of the field are shown in Table I.
TABLE I
Total catches of prawns from the culture and control compartments for three seasons
| Year | Catch in kg | ||
| Culture Compartment | Control Compartment | Total | |
| 1964 | 155 | 854 | 1,009 |
| 1965 | 787 | 966 | 1,753 |
| 1966 | 786 | 874 | 1,660 |
![]() | ![]() |
Fig. 1 Surface salinity (left) and temperature (right) in the experimental field and adjacent backwater. The lower part of each diagram above the monthly range and seen for the backwater for the period February 1964 to May 1966; the upper part above values for the field and the backwater for the months when experiments were in progress. | |

Fig. 2 Length-frequency distribution of Metapenaeus uobsoni in the culture and control compartments, 1964 to 1966.

Fig. 3 Length-frequency distribution of Metapenaeus monoceros in the culture and control compartments, 1964 to 1966.
The catch from the culture compartment was extremely poor in the first experiment, when the prawns were allowed to grow inside this compartment for four months before fishing. This was a surprise, as the physical conditions affecting the two compartments remained identical and the chances of entry of young prawns were the same, as similar procedures were followed for letting water into both compartments. Cast net samples showed that, during the initial stages of the experiment, large number of prawns were present in the culture compartment. The rather insignificant catch obtained from the culture field at the end of the experiment could only be due to mortality, probably brought about by overcrowding. The distribution of length-frequency of the different species of prawns obtained from culture and control compartments is shown in Figs. 2 to 5.
In the second experiment, when fishing in the culture compartment was carried out at monthly intervals, the catches were much better. The differences in the pattern of size distribution of prawns from the culture and control compartments were less marked than in the first experiment.
In the third experiment in which there was no attempt to culture prawns in either compartment, a higher return was again obtained from the control compartment. The yield from the compartment which had previously been used for culturing was the same as in the previous experiment (Table I). The patterns of size-distribution of the prawns caught from the two compartments in this experiments were identical, as was expected (Figs. 2 to 5).
The catches from the control compartment were uniformly better in all three years. This could probably be attributed to the topography of the field and the nature and depth of the backwater into which the sluice gates of the compartments opened.
The productivity of the whole field in relation to some of the fields in the neighbourhood, and the success or failure of the operations of these three years, may be judged from Table II. The first year's experiment no doubt reduced the overall prawn catch from the field but in the subsequent two years the yield realized was rather better than that of the adjacent fields. Menon (1954) obtained a maximum of 9.62 kg prawns per day per ha from a field at Narakkal, about 10 km north of the present field. It is therefore clear that the field had no inherent defect that would influence the results of the experiments.
TABLE II
Comparison of catches of other fields
| Field | Year | Area (ha) | No. of days fished | Total catch (kg) | Catch per day (kg) | Catch per day per ha (kg) |
| Experimental field | 1964 | 3.16 | 42 | 1,009 | 24.0 | 7.6 |
| " | 1965 | " | 49 | 1,753 | 35.8 | 11.3 |
| " | 1966 | " | 42 | 1,660 | 39.5 | 12.5 |
| Neighbouring field 1 | 1965–66 | 5.56 | 61 | 3,746 | 61.4 | 11.0 |
| " 2 | " | 3.23 | 48 | 1,532 | 31.9 | 9.9 |
1 Result of commercial operations in a field situated 1 km west of experimental field
2 Result of commercial operations in a field situated 6 km northeast of experimental field

Fig. 4 Length-frequency distribution of Metapenaeus affinis in the culture and control compartments, 1966.

Fig. 5 Length-frequency distribution of Penaeus indicus in the culture and control compartments, 1964 to 1966.

Fig. 6 Upper: fortnightly catch with phase of moon and tidal range, during experiments in each year, 1964 to 1966
Lower: percentage of each species in catches during experiments in each year, 1964 to 1966. Each experiment
is divided into fortnightly periods.
A perusal of these results indicates that culturing of prawns for long periods in paddy fields generally does not result in an increase in the weight of the catches. On the other hand, culturing for periods of about one month, as in experiment II, is likely to bring in better catches containing larger prawns.
The percentage composition of catches from control and culture compartments at fortnightly intervals is shown in Fig. 6. Of the four species of penaeids represented, M. dobsoni was by far the most important, accounting for more than 50 percent of the catch in most samples. M. monoceros and P. indicus each averaged about 20 percent of the catch, but showed considerable variation within each set of experiments and from year to year. M. affinis was represented in the catches by only very small numbers. In both 1964 and 1965, the years in which culturing took place, M. monoceros was scarce in the culture compartment in the second half of each experiment although it was plentiful in the control compartment. It may be that certain physical, chemical or biological conditions that are prevalent in the culture field towards the latter half of the season affect this species adversely. Such a suggestion, however, conflicts with the general impression that this is the hardiest of the four species of prawns.
That the phases of the moon may exert considerable influence over fishing conditions in respect of many a fishery is well known (Wheeler, 1937; Rounsefell and Everhart, 1953; Jayaraman et al, 1959; Racek, 1959). This is particularly so in the paddy field prawn fishery of Kerala, where the neap tide period is observed to yield such low catches as to render it unremunerative to carry out fishing operations. Consequently this fishery is active during the spring tide period only. Catches obtained from the control compartment during the present work are of interest in this context. Catches from the culture compartment are not considered since it was not fished throughout the season.
The trend of yield in relation to lunar phases, as shown in Fig. 6, indicates that the catches are invariably higher at the spring tide associated with full moon than those at the corresponding tide of the new moon period. This pattern is clearly repeated each year and is equally apparent in the overall catches of prawns as well as in the occurrence of all the constituent species. The effect is less apparent in the last catch of each season, but this is not strictly comparable with the other catches as the field is completely fished out by cast netting, hand picking, etc.
Menon and Raman (1961) observed higher catches at new and full moon and a couple of days following each, but did not notice any variation in catches between the darker and brighter phases of the moon in the stake net fishery of Cochin backwaters. Subramanyam (1965) recorded relatively better catches of prawns during the darker fortnights in the stake net fishery of the Godavari estuarine system on the east coast of India. The present observations, however, do not seem to be in agreement with this record, as in all the three seasons a comparatively better yield of prawns was realized during the brighter phase of the moon. The obvious physical characteristic of this phase of the moon is the amount of light, and the role of this as a factor influencing the behaviour of prawns has been discounted by Racek (1959), as a result of laboratory experiments. It is well known that the phases of moon influence the height of the tide. The prawn filtration practice under study is mainly dependent on tidal flow, therefore some relationship between the yield and the factor responsible for increased tidal flow is to be expected. The average tidal gradient for each of the periods of fishing is given, with the corresponding catches in Fig. 6. From this it appears that the higher catches noticed in each brighter fortnight were really brought about by the increased tidal gradient and the resultant increased rate of flow from the prawn field.
When the day to day fluctuations of catches are examined in relation to salinity and temperature, no significant correlation is evident.

Fig. 7 Length frequency distribution of incoming and outgoing prawns.
A perusal of the size frequency polygons shows that the recruitment to the fishery in the case of all the species is more or less continuous, with the smaller size-groups most prominent in the months of February, March and April. These recruits to the paddy field fishery probably come from the peak spawning in November and December.
The fishery is generally described as a mere process of trapping juvenile penaeius allowed into the paddy fields along with the tide and captured at the favourable low tide. (Panikkar, 1937; Menon, 1954; Gopinath, 1956; Kesteven and Job, 1957) In this context Kesteven and Job state “.… during the interval of a few hours or days that the trapped shrimps remain in the fields they utilize the food organisms within the field and those brought by the tidal water”. It would therefore appear that the prawns remain in the field only for a very short period. During the present study some experiments were conducted to find out whether these prawns are passively transported in and out of the field by the flow of tide or whether they remain inside the field for any length of time. Collections of 15 min duration were obtained using the same sluice net when the tide was flowing into the field and a few hours later when it was flowing out. The average size distribution of the prawns obtained during these operations is shown in Fig. 7. The modal sizes of the incoming and outgoing prawns were widely separated for each of the four species. The majority of the recruits brought into the field by the incoming tide therefore, do not seem to move out during the subsequent outgoing tide. In all the Metapenaeus species this disparity in the modal sizes of the incoming and outgoing prawns is 15 mm, and in the case of P. indicus the modal sizes are separated by 20 mm. Such size differences probably represent 5 or 6 weeks growth. It is suggested that the incoming small prawns seek shelter before the flow of tide reverses. It is quite possible that the incoming prawns get buried in the mud and settle down in the new habitat for some time. Therefore it would follow that these paddy fields are not merely a part of the trapping mechanism but that they also provide an active and suitable biological environment for the life and growth of these prawns.
Balakrishnan, A., 1957 Variation of salinity and temperature in Ernakulam Channel. Bull.Cent. Res.Inst.Univ.Kerala, (C) 5(2):7–9
George, M.J., 1958 Observations on the plankton of the Cochin backwaters. Indian J.Fish., 5(2):375–401
George, M.J., 1962 On the breeding of penaeids and the recruitment of their postlarvae into the backwaters of Cochin. Indian J.Fish., 9(1):110–6
George, M.J., 1963 and K.N.K. Kartha, Surface salinity of Cochin backwaters with reference to tide. J. mar. biol. Ass. India, 5(2): 178–84
George, M.J., (in press) and K. Raman and P.K. Nair, Observations on the offshore prawn fishery of Cochin. Indian J. Fish., 10
Gopinath, K., 1956 Prawn culture in the rice fields of Travancore-Cochin, India. Proc. Indo-Pacif. Fish.Coun., 6(3):419–24
Jayaraman, R., 1959 et al., Observation on the trawl fisheries of the Bombay and Saurashtra waters, 1949–50 to 1954–55. Indian J.Fish., 6(1): 58–144
Kesteven G.L. and T.J. Job, 1957 Shrimp culture in Asia and the Far East; a preliminary review. Proc.Gulf Caribb.Fish.Inst., 10:49–68
Menon, M.K., 1954 On the paddy field prawn fishery of Travancore-Cochin and an experiment in prawn culture. Proc.Indo-Pacif.Fish.Coun., 5(2):131–5
Menon, M.K. and K. Raman, 1961 Observations on the prawn fishery of the Cochin backwaters with special reference to the stake net catches. Indian J.Fish., 8(1):1–23
Panikkar, N.K., 1937 Prawn industry of the Malabar coast. J.Bombay nat.Hist.Soc., 39(2):343–53
Panikkar, N.K., and M.K. Menon, 1956 Prawn fisheries of India. Proc.Indo-Pacif.Fish.Coun., 6(3):328–44
Racek, A.A., 1959 Prawn investigations in eastern Australia. Res.Bull.St.Fish.N.S.W., 6:1–57
Rounsefell, G.A. and W.H. Everhart, 1953 Fishery science; its methods and applications. New York, John Wiley and Sons, 444 p.
Subramanyam, M., Lunar, 1965 diurnal and tidal periodicity in relation to the prawn abundance and migration in the Godavari estuarine systems. Fishery Technol., Ernakulam, 2(1):26–33
Wheeler, J.F.G., 1937 Further observations on lunar periodicity. J.Linn.Soc.(Zool.), 40(272):325–45
Acknowledgments
The authors are grateful to Dr. S. Jones for the interest shown during the progress of this work and to Dr. R. Raghu Prasad for his comments on the manuscript.