by
G. de S. NEIVA
Instituto de Pesca Marítima
Departamento da Produção Animal
Secretaria da Agricultura do Estado de São Paulo
Santos, Brazil
Abstract
This work presents some observations on the shrimp fishery of the central and southern regions of Brazil. It is based on the data collected at Santos, one of the principal fishing ports of this region. The species which have most attracted the attention of the fishing industry, and which offer the best prospects, are the pink shrimp (Penaeus aztecus1 and Penaeus brasiliensis), the sea bob shrimp (Xiphopenaeus kroyeri) and the white shrimp (Penaeus schmitti). A preliminary analysis of the data indicates that shrimp stocks are under-explored and that the motorized fleet is badly equipped and inefficient. Much of the fishery is from local non-motorized boats and the evaluation of production is difficult.
The deficiencies of the fishing ports, and of methods of unloading, storage and carriage of shrimps are reviewed. The small number of industries utilizing shrimp products could be expanded. Exploration of new fishing grounds in central and southern Brazil should have first priority.
OBSERVATIONS SUR LES PECHERIES DE CREVETTES DU LITTORAL BRESILIEN CENTRAL ET MERIDIONAL
Résumé
La communication présente quelques observations sur les pêcheries de crevettes du littoral central et méridional du Brésil, fondées sur les données recueillies à Santos, l'un des principaux ports de pêche de la région. Les espèces auxquelles s'intéresse le plus l'industrie des pêches et qui paraissent les plus intéressantes sont Penaeus aztecus et P. brasiliensis, Xiphopenaeus kroyeri et P. schmitti. Sur la base d'un premier examen des données, il semble que les stocks de crevettes soient sous-exploités et que les bateaux à moteur soient mal équipés et aient un rendement insuffisant. Le gros de la pêche s'effectue à partir de bateaux locaux non motorisés, et l'évaluation de la production est difficile.
La communication passe en revue les insuffisances des ports de pêche et les défauts des méthodes de débarquement, d'entreposage et de transport des crevettes. Les industries utilisant les crevettes sont peu nombreuses, pourraient être développées. La priorité devrait être accordée à la prospection de nouveaux fonds de pêche dans les eaux du Brésil central et méridional.
OBSERVACIONES SOBRE LAS PESQUERIAS DE CAMARONES DE LAS COSTAS CENTRALES Y MERIDIONALES DEL BRASIL
Extracto
Este trabajo presenta algunas observaciones sobre las pesquerías de camarones de las regiones centrales y meridionales del Brasil. Se basa en los datos recogidos en Santos, uno de los principales puertos pesqueros de esta región. Las especies que han atraido más la atención de la industria pesquera, y que of recen las mejores perspectivas, son el camarón rosado (Penaeus aztecus y P. brasiliensis), el camarón de siete barbas (Xiphopenaeus kroyeri) y el camarón blanco (P. schmitti). Un anàlisis preliminar de los datos indica que las poblaciones de camarones se hallan poco exploradas y que la flota motorizada está mal equipada y es poco eficaz. Gran parte de la pesca se realiza con embarcaciones locales no motorizadas y es difícil la evaluación de la producción.
Se examina la deficiencia de los puertos pesqueros, y de los métodos de descarga, almacenamiento y transporte. El pequeño número de industrias que emplean productos camarones podría ampliarse. Debe tener máxima prioridad la exploración de nuevos caladeros en el Brasil central y meridional.
Approximately 9 percent of the fish landings made at Santos consist of shrimp. As the value of the shrimp fishery is about 35 percent of the total, it is considered as one of the most valuable fishery resources of the central and southern regions of Brazil. Actually, the exploitation of these crustaceans appears to be a stimulating factor for the promotion and industrialization of the fishery. Already it has attracted private capital for its further exploitation.
There are four commercial categories of shrimp exploited by the shrimping fleet: the “camarão rosa” - Brazilian pink shrimp - (Penaeus aztecus and P. brasiliensis), the “camarão sete barbas” - sea bob - (Xiphopeneus kroyeri), the “camarão legitimo” - white shrimp - (Penaeus schmitti), and the “camarão sete barbas de Santana” (Hymenopenaeus muelleri). The last species is fished almost exclusively by the Guanabara fleet, on the north coast of the State of Rio de Janeiro. The other species are fished all along the Brazilian coast by the artesanal fishery, but the highest landings are taken in the central and southern regions by the motorized fleet. On the fishing grounds located in the extreme north of the country the pink shrimp are being exploited by foreign fishing fleets.
The medium price per kg (heads-on) of these various species fluctuates a little during the year. In Santos, during March 1967, the medium price per kg was:
| N Cr1 | US$ | |
| Pink shrimp | 5.00 | 1.85 |
| Sea bob shrimp | 1.50 | 0.56 |
| White shrimp | 4.00 | 1.48 |
It has been observed that the fleet tends to operate over the traditional fishing areas, situated near the principal market centers of São Paulo and Rio de Janeiro, where satisfactory catches can be obtained. Thus numerous other areas of greater potential production remain unexplored.
Observations have shown that shrimp exploration on the Brazilian coast can and should be urgently intensified, not only to contribute protein supply to our population, but also for export. Shrimp may become a source of significant importance to the economy of Brazil, comparable with or exceeding the lobster production of the north-east.
2.1 General considerations
On the Brazilian coast exist two species of shrimp that are captured together, thus establishing a commercial category known as the “pink” shrimp. On the central and southern coasts P. aztecus is the species prevailing in the catches, but occasionally P. brasiliensis predominates.
Observations have shown that the biology of these species is similar to that observed for other similar species in the North Atlantic. Spawning takes place in oceanic regions in depths of 50 m. Examination of samples obtained has shown females with ovaries ready to spawn and with characteristic spent ovaries. This fact, allied to the presence of penaeid larvae in plankton samples, confirms that the present fishing grounds are situated in the areas of spawning.
The larvae reach the coastal brackish waters, where they spend part of their lives. After some time they gradually move away from the estuarine waters appearing after some months with the adult stocks, some 25 to 30 mi (46 to 56 km) off the coast. Observations suggest that the spawning period is quite long, mostly in the second half of the year. This leads to concentrations of juveniles in estuarine waters in the first half of the following year.
2.2 The fishery
There are two types of fishery: an artesanal fishery, which concentrates principally on young shrimps (about 120 to 150 shrimps per kg, heads-on), when these are growing in estuarine waters; and a motorized fishery, responsible for capturing adult shrimp (about 15 to 25 shrimps per kg, heads-on) at a distance of approximately 30 mi (56 km) off the coast, at a depth of about 50 m.
The artesanal fishery employs a variety of gear, and is being practised all along the Brazilian coastline. In the center and south coast the largest catches of young shrimps take place in the Lagôa dos Patos, Rio Grande do Sul, and Laguna, Santa Catarina, during the summer and autumn. In the bays of São Francisco, Paranaguá, Cananéia, Santos and Guanabara, the fishing season is approximately the same. The motorized fishery extends from the State of Espírito Santo to the south of the State of Santa Catarina (Fig. 1).
The fleet consists principally of boats measuring about 17 m in length, but some are of only 12 m and others of 20 m or more. These concentrate on fishing adult pink shrimp. The boats are constructed of wood, with small cabins on the stern, and are generally poorly equipped. The side trawl system is used, and the nets are of synthetic fiber. The crew consists of 9 to 10 men. Fishing takes place during the night and occasionally during the day. During the night each boat executes 2 to 3 hauls, each of 4 to 5 h duration. The Santos fishing fleet consists of about 85 fishing boats of 16 to 20 m in length, 7 of nearly 12 m and 8 of more than 20 m. During certain periods of the year, the sardine boats (purse-seine) and the pair trawlers adapt their gear for the pink shrimp fishery.
The Guanabara fleet is similar but there are probably rather fewer boats. It operates in the same areas as the Santos fleet, but its landing data are unfortunately not controlled. In the States of Santa Catarina and Parana, thanks to Governmental action, a shrimping fleet has commenced to develop and production statistics are being recorded.
In addition to the pink shrimp, the boats obtain small quantities of fish, of small commercial value, the most common being the salmonete or trilha (Pseudomulloides carmineus). Frequently the catches contain small numbers of the shrimp Sicyonia typica and sometimes some lobsters, known as “sapatas” (Scyllarides brasiliensis) as well as octopus (Octopus sp.) and squids (Loligo spp.). When the boats fish some miles from the traditional grounds, they capture specimens of Lagostinho (Nephrops rubellus). Over certain fishing grounds, such as, for example, near the Lage de Santos and the Queimada islands (Fig. 1), the scallop (Pectinidae) is abundant.
2.3 Statistical data
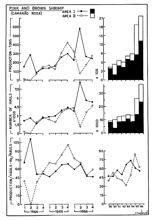
For a better analysis of the data, the central and southern regions have been separated into three areas (Fig. 1), taking into consideration the known positions of greater concentrations of pink shrimp, the fleet's radius of action and the localization of the principal ports of landing. Area I lies between 22° and 25°30'S; area II between 25°30' and 29° S; and area III beyond 29° S. Data on the motorized fleet fishing are available only from areas I and II. No information is available of pink shrimp catches from area III. Fig. 2 is based on landings made at Santos from areas I and II, and compares production, fishing effort (number of hauls) and production per haul (kg/haul) for the two areas. Quarterly data for 1964 to 1966 and annual data for 1959 to 1966 are given. On the basis of these the following observations can be made:
Production has increased with fishing effort. In 1965 production was nearly triple that of 1964, while the fishing effort nearly doubled. In 1966, production increased by 16 percent in relation to 1965, while the effort increased by 41 percent; this represents a drop of 18 percent in the yield of the average haul.
The fishing effort (number of hauls) has been higher in area I than in area II, due to the proximity of area I to the principal consumer centers and landing ports of Santos (São Paulo) and Rio de Janeiro (Guanabara). The annual average per haul in area II was inferior to that in area I until 1964, which may have been due to inadequate exploration of area II. In 1965 and 1966, however, the average annual yield per haul in area I was 61 and 57 kg, while in area II it was 85 and 63 kg, or 40 percent and 10 percent more respectively. This indicates that the ecological conditions of the areas II and III (still virgin for an oceanic fishery) are potentially more important than area I.
The average annual yield per haul was stable until 1963, then it improved a little with the introduction of nets made of synthetic fibres. In 1964 and 1965 yields remained at about the same level. In 1966 there was a drop of 18 percent.
The tendency of the fleet has been to concentrate in certain fishing areas, and an increase in effort in area I may result in a drop in effort in area II, and vice versa. The analyses of data suggest that variation in abundance relative to the fishing areas is not connected with the fishing effort.

Fig. 1 Areas and localities of the shrimp fishery in the central and southern regions of Brazil.

Fig. 2 Statistical data from the port of Santos referring to the pink shrimp fishery from areas I and II. Quarterly data for 1964–66 and annual for 1959–66, related to landings (tons), number of hauls, and production per haul (kg/haul).
3.1 General considerations
The “sea bob” (X. kroyeri), which is an abundant species on the Brazilian coast, becomes rare south of the State of Santa Catarina, and also in offshore grounds. Of all the shrimp landed in Santos it is the one which brings the lowest prices per kg. This factor and its abundance make it of significant importance as a source of protein to populations of the coastal regions.
All the sea bob landed in Santos come from the São Paulo coastline. It is found in shallow coastal waters, but, in contrast to pink and white shrimps, it does not enter brackish waters during its life cycle. It occurs in areas where the bottom is of mud or mud with sand. Biological observations show that this species has a prolonged period of spawning, particularly during summer and autumn. Their growth is rapid and their life lasts about 18 mo.
3.2 The fishery
Although this species is fairly abundant in other areas along the São Paulo coastline, it is fished in a relatively small area, within a radius of 20 mi from the mouth of the Santos Bay (Fig. 1), and in less than 30 m depth. One of the reasons that the fleet remains in this traditional fishing area is its location near the great consumer market of the State of São Paulo. This area does not yield extremely profitable catches, but the sea bob does not preserve well, even in ice, and the fishermen risk losing all their catch through deterioration if they fish on more distant grounds.
At the moment, approximately 80 boats fish sea bob regularly. The majority, known as “baleeiras”, are less than 12 m in length; they are equipped with small motors and operate otter trawls. Some operate as pair-trawlers or “parelhinhas”. The tendency in the last few years has been the transformation of the “parelhinhas” into “baleeiras”, possibly for economic reasons. Larger boats that pursue other types of fishing, and stay away from port for many days at a time, discard any sea bob that they catch. Occasionally such boats land this shrimp when it is caught on the last day of the trip. The crews of these boats vary from three men on the “baleeiras” to ten men on the “parelhinhas”. The nets used by the “baleeiras” are smaller than those used by the “parelhinhas” and the mesh in the cod end is approximately 12 mm between knots. Generally on the “baleeiras” the nets are hauled directly by hand, while on the “parelhinhas” they use a manual winch.
The catches of these fishing boats vary in composition, but the principal species is usually the sea bob, with individual weights between 1 and 10 g (heads-on), together with some white shrimp (P. schmitti). At certain times of the year young pink shrimps (P. aztecus and P. brasiliensis) are also captured, and fishes of commercial value, such as croakers (Macrodon ancylodon and Micropogon furnieri), stone croaker (Cynoscion petranus), various species of shark and other fishes of small size and value.
Fishing is carried out from “sun to sun”, that is the boats begin their operation at sun rise and terminate just before sun set of the same day. In general three hauls are made per fishing day, with an average duration of 2.5 h. The “parelhinhas” make fewer but longer hauls.
The fishing timetable appears to be correlated to the behaviour of the species. Some observations made at different points of the São Paulc coast showed that the yield decreased considerably during the night, becoming less at dusk, and improved at sun rise, suggesting that this species is more active during the day.
3.3 Statistical data
The quarterly (1964 to 1966) and annual data of the Santos Bay fishery based on catches made by “baleeiras” and “parelhinhas” are shown in Fig. 3.
The small pair-trawlers (“parelhinhas”) have the tendency to abandon the sea bob fishery and proceed to areas more distant from Santos, seeking better quality fish. Others continue to fish the sea bob, using otter trawls like the “baleeiras”. The analysis of this fishery indicates that the production, which increased with an increase in the effort, dropped abruptly in 1965 (by 56 percent) while the fishing effort (number of hauls) dropped by only 18 percent. The fall in the yield per haul was of the order of 46 percent. In 1966, the number of hauls rose by 10 percent in relation to 1965, and production also increased by 10 percent.
Studies already made suggest that the productivity of this area is limited, and that the fleet is already catching the maximum possible yield of sea bob.
4.1 General considerations
The “white shrimp” (P. schmitti), whose biological characteristics are similar to the white shrimp of the North Atlantic, occurs along the Brazilian coasts as far south as the State of Santa Catarina (Laguna). It is not as abundant as the same species in the North Atlantic. In the center and south coast of Brazil, it is fished in small quantities. It is a littoral species, occurring in areas with the same characteristics demanded by sea bob, tending to disappear, like the sea bob, away from the coast. Observations made at Santos show that this species spawns in depths of 25 m. The larvae reach the inshore waters where they find appropriate conditions for growth. After some months the young shrimps move off shore, mixing with the adult stock. It has been observed that spawning begins in August and lasts until January, providing concentrations of young shrimps in growth areas by the end and beginning of the year. In the Santos area the young shrimp begin to join the fishable adult stocks in the middle of the year.
4.2 The fishery
The white shrimp is taken with the sea bob, and some pair-trawlers of medium size (15 to 20 m) concentrate on the white shrimp and discard the sea bob because of its poor keeping qualities. During part of its life cycle, the white shrimp is taken in inshore waters, together with the pink shrimp, by the artesanal fishery, but the quantities obtained cannot be estimated. On these occasions both the white and pink shrimp are sold in Santos as live bait for fish.

Fig. 3 Statistical data from the port of Santos referring to the sea bob shrimp fishery in area I (Santos Bay). Quarterly data for 1964–66 and annual for 1959–66, related to landings (tons), number of hauls, and production per haul (kg/haul), for otter-trawlers and small pairtrawlers.
4.3 Statistical data
The relevant data on production and fishing effort of the small otter trawlers (baleeiras), small pair-trawlers (parelhinhas) and medium pair-trawlers that operate in areas I and II (Fig. 1) are shown in Fig. 4. The data are insufficient for a conclusive analysis. It has been observed that the biggest catches have been obtained by the medium pair-trawlers. In area I, production fluctuates considerably. It can be seen that in 1964 to 1966 the best catches were made in the second half of each year. This coincides with the spawning period, when the species moves to offshore grounds. This species appears to be taken in large quantities by the artesanal fishery on the coasts of Paraná and Santa Catarina and also in northern Brazil.
This investigation shows that the shrimp stocks of Brazilian waters have not been explored adequately. The partial statistical coverage of the shrimp fishery makes it impossible to give complete figures of total production, even of the central and southern areas of Brazil. Actually, the artesanal fishery produces more than the motorized fishery. Although the motorized fishery has a great tendency to expand, it is antiquated, badly equipped and utilizes techniques which do not permit full exploitation of the stocks. The annual shrimp production in the central and southern regions has been calculated to be between 20,000 and 25,000 tons. It is believed that 30 to 35 percent of this total is produced by the motorized fishery and 65 to 70 percent by the artesanal fishery. Production could increase further if fishing techniques improved and if more processing plants were set up to take advantage of the extra production.
The marine fishery in Brazil passes through decisive critical periods. The interest which has stimulated it recently can easily make it progress further in a very short time. The new code of Fisheries elaborated by governmental organizations and advised by FAO will be the basis for such progress.
On the basis of the above analysis it is permissible to comment on the following points:
Fishing fleet: It is expected that by the end of 1967 the fleet engaged on pink shrimp should double. The national ship-owners have shown great interest in obtaining modern and well-equipped boats, similar to the ones used at present in the Gulf of Mexico, and some of these are already operating in Brazilian waters. The advent of more boats in the traditional fishing areas will necessitate the exploration of new virgin areas, such as area III (Fig. 1), whose ecological conditions indicate abundant potential shrimp stocks. Governmental organizations must therefore increase exploratory and biological investigations on the principal shrimp species.
Fishing ports: The actual fishing ports do not meet the minimum technical or sanitary conditions required to support the forseeable development of the fishing industry. In view of the expanding fleet, it is becoming increasingly urgent to construct technically equipped fishing ports, capable of receiving and storing the fishery products.
Distribution: The uncertain and inadequate means of distribution within the country hinder development of the fishing industry. Exportation provides an alternative outlet for the shrimps and encourages the exploration of new grounds.
Industries: It has been observed that the present plants situated in the south of the country are insufficient to absorb the production of shrimp caught by the artesanal fishery, and this results in considerable wastage. In some productive areas, the Lagôa dos Patos and Laguna, the plants cannot utilize all the production of the young pink shrimp, and the low prices offered by the industry induce the fishermen to dump their production into the water.
The sea bob in Santos Bay is captured within a small area and is fished very intensively. Production per haul has fallen, and the fleet is maintained by raising the market price of shrimp. It is believed that if the Government were to encourage the establishment of industries for the processing of frozen sea bob on the north coast of the State of São Paulo, part of the fleet that now operates in Santos Bay would move to the areas near the new plant. This would relieve the overfishing in Santos Bay and would encourage the exploitation of unexplored regions.
Supply of trained fishermen: Another factor that has prevented the development of the shrimp fleet is the lack of qualified crew for the fishery. A shortterm solution to be considered would be the importation of fishery technicians (skippers), until Brazil could organize the training of its own fishermen.

Fig. 4 Statistical data from the port of Santos referring to the white shrimp fishery from areas I and II. Quarterly data for 1964–66 and annual for 1959–66, related to landings (tons), number of hauls, and production per haul (kg/haul).
CARPAS, 1964 Conocimientos actuales sobre la pesca y la biologia de las especies marinas de importancia comercial en el sur del Brasil. CARPAS Docum.tec., (1): 14 p.
Neiva, G de S., 1966 Alguns aspectos sôbre a biologia e a pesca do camarão “rosa” da região centro-sul do Brasil. Revta nac.Pesca S Paulo, (52):9–12
Neiva, G. de S. and J.P. Wise, 1963 The biology and fishery of the sea bob shrimp of Santos Bay, Brazil. Proc.Gulf Caribb.Fish.Inst., 16:131–9