by
D.A. HUGHES
Institute of Marine Sciences
University of Miami
Miami, Florida 33149, U.S.A.
Abstract
Postlarval shrimp move inshore on flood tides while juveniles move offshore on ebb tides. The mechanism whereby this discrimination between the tides is effected appears to be based on the respective responses of postlarvae and juveniles to changes in salinity.
Juveniles are positively rheotactic within a current of water. However, when the salinity of that water is decreased, downstream swimming ensues. This ensures that juveniles will, in nature, resist displacement in an inshore direction by the flood tide but will swim and be displaced in an offshore direction by the ebb tide. There is evidence that the responsiveness of juveniles to decreases in salinity is under rhythmic control.
The postlarvae respond to a decrease in salinity by dropping to the substrate, where they remain inactive and thereby evade displacement by the ebb tide. When the salinity increases (flood tide) they become active in the water column and are displaced inshore.
The apparent dependence of tide-associated movements on changes in salinity points to an explanation for the positive correlations that have been found between the extent of rainfall in the vicinity of “nursery” areas and the commercial catch of the following year.
OBSERVATIONS SUR LE MECANISME DES MOUVEMENTS DE Penaeus duorarum LIES A LA MAREE
Résumé
Les postlarves de crevettes s'approchent du littoral avec la marée montante tandis que les formes juvéniles s'éloignent avec le reflux en direction du large. Il semble que le mécanisme déterminant ces mouvements soit fondé sur la réaction des postlarves et des jeunes aux variations de la salinité de l'eau.
Les jeunes manifestent une rhéotaxie positive. Lorsque la salinité de l'eau diminue, l'animal nage dans le sens du courant. Dans les conditions naturelles, les jeunes luttent contre le flux qui tend à les rapprocher du rivage, mais se mettent à nager et sont emmenés vers le large lors du reflux. Selon certains indices, les réponses des jeunes à l'abaissement du taux de salinité sont soumises à un rythme régulier.
Les postlarves réagissent à une diminution de la salinité en se laissant tomber sur le substrat, où elles restent immobiles, évitant ainsi d'être entraînées par le reflux. Lorsque la salinité croît (flux), elles se remettent en mouvement dans l'eau et sont emportées vers la terre.
Ce rapport apparent entre les mouvements des crevettes liés à la marée et les modifications du taux de salinité fournit un élément d'explication de la corrélation positive qui a été constatée entre l'importance des chutes de pluie au voisinage des zones de développement des jeunes et les prises commerciales de l'année suivante.
SOBRE EL MECANISMO QUE RIGE LOS DESPLAZAMIENTOS DE Penaeus duorarum ASOCIADOS CON LAS MAREAS
Extracto
El camarón en su fase postlarval se mueve hacia tierra con la pleamar mientras que las formas juveniles se alejan de la costa con la bajamar. La razón de esta diferencia de desplazamiento en relación con las mareas parece basarse en las respectivas reacciones de las postlarvas y de las formas juveniles a los cambios de la salinidad.
Las formas juveniles son positivamente reotácticas dentro de una corriente de agua. Sin embargo, cuando disminuya la salinidad de dicha agua los ejemplares juveniles nadan aguas abajo. Esto asegura que las formas juveniles resistirán los desplazamientos en dirección hacia la tierra a que los someta la pleamar pero que nadarán y serán desplazados en direción hacia alta mar por la marea menguante. Hay pruebas de que la reacción de los juveniles a las disminuciones en la salinidad está sujeta a un control rítmico.
Las postlarvas responden a la disminución de la salinidad descendiendo al fondo en donde permanecen inactivas y evitan el desplazamiento a que las somete la marea menguante. Cuando la salinidad aumenta (pleamar) se mueven en la columna de agua y se desplazan hacia tierra.
La dependencia que existe al parecer entre los desplazamientos asociados con las mareas y los cambios en la salinidad parece sugerir la explicación de las correlaciones positivas que se han encontrado entre la amplitud de las precipitaciones fluviales en las vecindades de las zonas de cría y la captura comercial del año siguiente.
Penaeus duorarum Burkenroad, like many species of penaeid shrimp, spends a considerable part of its life cycle in shallow waters, often in estuaries and other regions of freshwater run-off from the mainland. The shrimp, having hatched in the open sea, reach these nursery areas as postlarvae (approximately 1 cm in length). They spend from 4 to 7 mo in the inshore waters before again moving out, as juveniles (6 to 10 cm total length), to deeper waters where they will eventually spawn.
In southern Florida, the principal nursery areas for the pink shrimp are probably the waters within and surrounding the Everglades, while principal spawning sites are located on the Tortugas fishing grounds 130 to 185 km to the southwest (Munro, Jones and Dimitriou, 1968).
The purpose of this paper is to indicate the mechanism whereby the postlarvae move into the nursery areas (often deep within the Everglades) and the juveniles move out to the deep offshore waters.
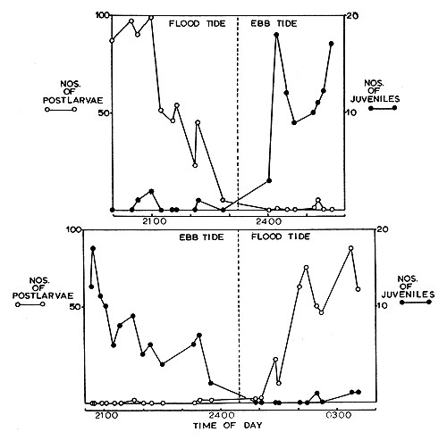
Sampling was conducted in a channel leading into the Everglades by suspending three ‘Discovery’ type plankton nets from a bridge crossing the channel. Samples, each of 10 min duration, were taken at frequent intervals over periods of 6 h or more which included either a low or a high water. The results, of which examples are given in Fig. 1, indicate that inshore transport of postlarvae and offshore transport of juveniles are associated directly with the flood and the ebb tides respectively. Postlarvae were collected predominantly in flood-tide samples, and juveniles were taken almost exclusively from ebb-tide samples. These results suggest that an important aspect of the movements carried out by postlarvae and juveniles is passively effected through displacement by the tides. Two important questions are raised however: what is the mechanism where by ebb and flood tide are distinguished? What is the mechanism whereby the shrimp make use of one tide while avoiding displacement by the other?
Water samples taken in the same channel from which the above results were obtained indicate that salinity changes occurring between the flood and ebb tides are seldom less than 7 to 10‰, especially in the summer months, and frequently are as great as 15 to 20‰ (Yokel, personal communication). Experiments were therefore carried out to assess the influence of changes in salinity on the behavior of both postlarvae and juveniles maintained in a current of water.
A plexiglass apparatus, similar to that designed by Creutzberg (1961) to study responses in migrating elvers, was used in these experiments. Essentially this is a cylinder 50 cm in diameter into which a second cylinder 25 cm in diameter is placed so that a channel of 12.5 cm in width is formed between them. A current is created in the channel by four paddles attached to a central axis, which is turned by a variable speed motor. There are small holes in the inner cylinder, with the result that any change in salinity within this cylinder produces a more gradual change in the salinity of the outer channel.
Shrimp were netted at night from a channel in the Everglades and placed several hours later in the current chamber. The following night their behavioral responses to varying current speeds and to salinity changes were recorded.
3.1 Juveniles
The juveniles usually showed a marked positive rheotaxis, orientating and swimming against the current. The swimming was effected in short hops off the sand substrate. They were able to maintain position against very strong currents, and, by partially burrowing under the sand, they could withstand any current which did not wash away the substrate.

Fig. 1 Tide associated movements of postlarval and juvenile shrimp. The results of samples collected from part of a consecutive ebb and flood tide and a consecutive flood and ebb tide respectively. The approximate time of slack water is denoted by the dotted line. Each point represents the total number of shrimp caught in 10 min.
When, however, the salinity of the water was reduced (either by draining and refilling the chamber with water of lower salinity or by running distilled water into the water of the inner cylinder) the shrimp reversed their direction and either drifted or actively swam downstream (Fig. 2). A salinity decrease of 2‰ would effect this response. An essential element was apparently the rate of decrease. A 2‰ decrease occurring over 20 min was effective but the same decrease over a period of 40 min was not necessarily so. The time at which the decreases were imposed also was important in this connection (see section 4). Studies have shown that the downstream swimming which occurs as a result of salinity decrease may continue for less than 30 min or for up to 3 h.
Evidence for the control of the response and its duration by a biological rhythm is presented later (section 4).
3.2 Postlarvae
Unlike juveniles, postlarvae are not capable of swimming against strong currents and are easily displaced when active in the water column. However, a clear response to salinity changes (Fig. 3) was apparent. After a period of acclimation to a particular salinity, they become active in the water column. A reduction in salinity results in a reduction in activity: the postlarvae settle and become inactive on the substrate until the salinity is once more increased.
3.3 Tide associated movements as a consequence of responses to salinity changes
In the light of these results, it is possible to understand how changes in salinity between ebb and flood tides will affect the behavior of both postlarval and juvenile shrimp, and how these changes in behavior are the basis of the mechanism whereby displacements are effected by the tides.
The salinity of the flood tide is higher than that of the ebb. Under conditions of high salinity, juveniles exhibit a positive rheotaxis, orienting and swimming against the current in a series of short hops from the substrate. They will therefore not be displaced inshore by the tide, but may even make progress offshore.
The postlarvae, responding to the increased salinity, will be active in the water column. Due to their inability to maintain themselves against even slight current, they will be displaced in an inshore direction.
Due to the freshwater run-off from the Everglades, the salinity is decreased during the ebb tide. This decrease reverses the sign of the rheotactic response in juveniles. Instead of swimming against the current, they will swim or drift with it and thereby be carried in an offshore direction. Downstream swimming also differs from upstream swimming in that instead of moving in a series of short hops from the substrate, the shrimp usually remain within the water column for long periods. Under experimental conditions in the narrow channel, this swimming may be oriented by sight or touch. In nature, however, the downstream displacement is probably less oriented, and the shrimp, having begun to swim actively with the current, are thereafter swept by it.
When the salinity decreases during the ebb tide, postlarvae will become less active, settle on the substrate, and thereby be able to maintain their position against the current. In this way they will not be displaced offshore.
The above discussion shows how the simple responses to salinity changes are responsible for the inshore displacement of the postlarvae on the flood tide and the offshore displacement of juveniles on the ebb; at the same time these responses enable the shrimp to resist displacement by tides which would take them in reverse directions.

Fig. 2 Reversal of the direction of swimming of juveniles subjected to a decrease in salinity. Arrow shows time when salinity decrease was initiated; line shows salinity in current chamber. Movement is recorded as number of shrimp passing a vertical mark on current chamber in upstream or downstream direction during a two minute period.

Fig. 3 Responses of postlarval shrimp to changes in salinity. The strength of the current was minimal and movement in either direction may be taken as an index of activity.
Results of preliminary experiments suggest that the response of juveniles to a decrease in salinity which is imposed at the time of the ebb tide elicits a more marked response than a decrease imposed at the time of the flood.
More conspicuous evidence of rhythmic influence is shown when downstream swimming occurs, even in the absence of a salinity decrease. This is shown in experiments where downstream swimming was observed in the early part of the evening on days following collection of the shrimp from an ebb tide occurring early in the evening, i.e. approximately 24 h after capture from an ebb tide occurring early in the evening, they would again swim downstream.
The results of these experiments have great relevance to the problems concerning the use of freshwater. These problems are being experienced by the Everglades and many estuaries, where agricultural usage and the drainage of rivers and marshes is reducing the freshwater flow through these areas. Salinity differences between the tides are apparently of great importance to the mechanisms whereby postlarvae are transported inshore on the flood tides and juveniles are transported offshore on the ebb tides. A reduction in salinity differences between the respective tides would probably result in a reduction in the effectiveness of postlarval and juvenile movements with possible far-reaching consequences to the commercial fishery.
Hildebrand and Gunter (1952) and Gunter and Hildebrand (1954) reported a close correlation between the commercial catch of Penaeus setiferus (Linnaeus) (= P. schmitt Burkenroad) in Texas waters and the rainfall of the area in the previous year. This may be explicable in terms of the above considerations. Similarly, Iversen (personal communication) has shown a correlation between the rainfall in Florida and the commercial catch of Penaeus duorarum during the following year.
Creutzberg, F. 1961 On the orientation of migrating elvers (Anguilla vulgaris Turt.) in tidal area. Neth.J.Sea Res., 1(3):257–338
Gunter, G. and H.H. Hildebrand, 1954 The relation of total rainfall of the state and catch of marine shrimp (Penaeus setiferus) in Texas waters. Bull.mar.Sci.Gulf Caribb., 4(2):95–103
Hildebrand, H.H. and G. Gunter, 1952 Correlation of rainfall with the Texas catch of white shrimp, Penaeus setiferus (Linnaeus). Trans.Am.Fish.Soc., 82:151–5
Munro, J.L., A.C. Jones and D. Dimitriou, 1968 Abundance and distribution of the larvae of the pink shrimp (Penaeus duorarum) on the Tortugas Shelf of Florida. Fishery Bull.Fish Wildl.Serv.U.S., 67(1):165–81
Acknowledgments
I gratefully acknowledge the generous financial support given to me by the National Geographic Society and I thank Dr. C.P. Idyll, Chairman of the Division of Fishery Sciences of the Institute of Marine Sciences, University of Miami, for the provision of facilities within his division.