| FAO Fisheries Synopsis No.106 | FRm/S106 SAST - Prawn |
prepared by
P. VEDAYASA RAO1
Central Marine Fisheries Research Institute
Mandapam Camp, India
1 Present address: Central Marine Fisheries Research Substation, Ernakulam, Cochin-16, India
Parapenaeopsis stylifera (H. Milne Edwards, 1837)
Penaeus styliferus H. Milne Edwards, 1837, Hist. nat. Crust., 2:418
Penaeopsis styliferus Bate, 1881, Ann. Mag. nat.Hist., (5)8: 183
Peneus (Parapeneopsis) styliferus Alcock, 1901, Descr. Catal. Indian Deep Sea Crust. Macr. Anom. : 14
Parapenaeopsis styliferus Nobili, 1903, Boll. Mus. Zool. comp. Anat. Torino, 18(452): 4
Parapeneopsis stylifera Alcock, 1906, Catal. Indian Decap. Crust. Coll. Indian Mus., 3(1):36
Parapenaeopsis stylifera de Man, 1911, Siboga Exped., mon. 39a:92
Parapenaeopsis stylifera stylifera Racek and Dall, 1965, Verh. K.ned. Akad. Wet. Natuurk., (2) 56(3): 98
Suprageneric
Phylum Arthropoda
Class Crustacea
Subclass Malacostraca
Series Eumalacostraca
Superorder Eucarida
Order Decapoda
Suborder Natantia
Section Penaeidea
Family Penaeidae
Subfamily Penaeinae
Generic
Parapenaeopsis Alcock, 1901, A descriptive catalogue of the Indian deep-sea Crustacea Decapoda Macrura and Anomala in the Indian Museum: 14. Type species, by original designation: Penaeus styliferus H. Milne Edwards, 1837. Gender: feminine.
Synonyms
Parapeneopsis Alcock, 1901 (incorrect original spelling).
Parapenaeopsis Nobili, 1903, Boll.Mus. Zool. comp.Anat. Torino, 18(452):4.
The original spelling Parapeneopsis has been corrected to Parapenaeopsis by action under plenary powers of the International.
Commission on Zoological Nomenclature in Opinion 864 (1969. Bull. zool. Nomencl., 25(4/5):138).
Racek and Dall (1965) have suggested the desirability of further detailed studies of the genera Parapenaeopsis and Trachypenaeus, since the former genus includes species having wide variations in general characters and the generic determination of these two genera, based on the presence or absence of epipodites on the third pereiopods, is insufficient.
Definition
“Rostrum dorsally toothed only. Carapace with longitudinal sutures not reaching as far as median posterior border of carapace and with transverse sutures at base at 3rd or 4th pereiopods. Cervical and orbito-antennal sulci rather feeble; hepatic sulcus present, usually welldeveloped anteriorly. Antennal and hepatic carinae often present. Pterygostomial angle without a spine. Telson armed with small spinules or unarmed. First segment of antennular peduncle without a spine on ventral distomedian border. Maxillulary palp usually with 2 segments, sometimes unsegmented. Exopods on all pereiopods. Petasma tubular, median lobes with simple spices or produced into laterally directed processes; lateral lobes with short simple spout-like or long, more or less complex distolateral projections and with proximolateral projections which may be very large. Appendix masculina with 2 or 3 segments, the proximal large in relation to distal segments. Thelycum with a broad, usually concave anterior plate, the posterior plate usually slightly broader than the anterior. Zygocardiac ossicle consisting of 3 large teeth and 2 irregular rows of much smaller teeth. Pleurobranchiae on 3rd-6th thoracic somites; a rudimentary arthrobranch on 1st, anterior and posterior arthrobranchiae on 2nd–6th, and posterior arthrobranch on 7th thoracic somites; mastigobranchiae on 1st, 2nd, sometimes on 4th and 5th thoracic somites. Carapace often minutely pitted.” (Dall, 1957).
Specific
Identity of type specimen
The type material, if still extant, should be in the collection of the Muséum National d' Histoire Naturelle, Paris.
Type locality: “Les environs de Bombay”, India.
Diagnosis
Rostrum with a strong double curve projecting beyond antennular peduncle, bearing 7–9 dorsal teeth proximally, the distal portion being styliform and unarmed; outer antennular flagellum as long as carapace (without rostrum) subhepatic ridge defining the anterior part of cervical groove is continued to the tip of the branchiostegal tooth; mastigobranchiae on 1st and 2nd pereiopods; 1st and 2nd pereiopods with basial spines; telson with a pair of fixed apical spines.
Artifical key to the Indo-Pacific species of Parapenaeopsis (modified after Dall (1957) and Hall (1962)).
| 1 | Mastigobranchiae on 1st and 2nd pereiopods................................................. 2 Mastigobranchiae absent on 1st and 2nd pereiopods................................................. 12 |
| 2 (1) | First pereiopods with basial spines…3 First pereiopods without basial spines.................................................11 |
| 3 (2) | Second pereiopods with basial spines 4 Second pereiopods without basial spines................................................. P. uncta (Alcock) |
| 4 (3) | Telson with a pair of fixed subapical spines… P. stylifera (H. Milne Edwards) Telson without fixed subapical spines, with or without lateral movable spines.................................................5 |
| 5 (4) | Petasma with a pair of long slender caliper-like distolateral projections directed forwards; thelycum with median tuft of long setae behind posterior edge of last thoracic sternite................................................. 6 Petasma with a pair of distolateral projections directed laterally or distolaterally usually short and spout-like................................................. 7 |
| 6 (5) | Third pereiopods ♀ with basial spine… .................................................P. maxillipedo (Alcock) Third pereiopods ♀ without basial spine .................................................P. cornuta (Kishinouye) |
| 7 (5) | Postrostral carina without groove, or if present ill defined .................................................8 Postrostral carina with groove .................................................P. probata Hall |
| 8 (7) | Postrostral carina reaching almost to posterior border of carapace.................................................9 Postrostral carina reaching ¾ carapace; petasma with a pair of distolateral projections directed laterally, cap-like distal projections absent ................................................. P. nana (Alcock) |
| 9 (8) | Thelycum with a median tuft of setae on posterior plate................................................. P. sculptilis (Heller) Thelycum without a median tuft of setae................................................. 10 |
| 10 (9) | Median plate of thelycum placed completely between the 4th legs, sub-rectangular, bounded on each posterolateral margin by a subtriangular plate about ⅔ size of the median plate ................................................. P. aroaensis Hall Median plate of thelycum overlapping the coxae of 4th legs, not bounded by any lateral plates................................................. P. hardwickii (Miers) |
| 11 (2) | Epigastric tooth present................................................. P. balli Burkenroad Epigastric tooth absent................................................. P. gracillima Nobili |
| 12 (1) | Epigastric tooth present.................................................13 Epigastric tooth absent.................................................14 |
| 13 (12) | Rostrum exceeding tip of antennular peduncle; longitudinal suture extending to about 0.9 length carapace from anterior edge P. hungerfordi (Alcock) Rostrum short, reaching tip of first segment of antennular peduncle; longitudinal suture reaching as far as hepatic spine ................................................. P. venusta de Man |
| 14 (12) | Anterior plate of thelycum V-shaped posterior edge, and 2 accessory ridges on anterior edge of posterior plate; rostrum with proximal ⅓ rising from carapace, remainder more or less horizontal ................................................. P. tenella (Bate) Anterior plate of thelycum with a more or less straight transverse posterior edge, no accessory ridges on anterior edge of posterior plate; rostrum inclined upwards at an angle to carapace for whole of its length.................................................P. acclivirostris (Alcock) Anterior plate with tongue-like posterior extension; a forwardly directed spine on each anterolateral corner of the posterior plate; rostrum slender and sigmoidal, distal ⅔ styliform and edentate; no mastigobranchiae on 3rd pereiopods ................................................. P. arafurica Racek and Dall |
Parapenaeopsis stylifera is the type species of the genus. There are 17 valid species included at present in the genus.
Alcock (1906) created a variety P. stylifera var. coromandelica, which differs from P. stylifera (H.Milne Edwards) in telsonic armature. Hall (1962) considered this difference as sufficient for specific discrimination and raised Alcock's variety to specific rank. Racek and Dall (1965) remarked: “our specimens examined are fully comparable with Alcock's illustrations of P.s. coromandelica, and differ from the true P. stylifera not only in the reduced, though more conspiouous, telsonic armature but also in the smaller number of rostral teeth. Since all other morphological criteria are in complete agreement in both these forms, and the petanmata and thelyca are indistinguishable, the specific separation of Alcock's variety from Milne Edwards' species can not be attempted. However, the present authors are fully aware that these two forms represent distinct, and geographically separated races, and consider it necessary to retain their taxonomic distinction at an infraspecific level. Consequently, the two subspecies P. stylifera stylifera (H. Milne Edwards) and P. stylifera coromandelica (Alcock) are herewith proposed.”
Even though the variety P. s. coromandelica is recognised, the extension of its geographical distribution to the west coast of India (Nataraj, unpublished) necessitates more detailed studies of the biological aspects for further confirmation of the validity of its taxonomic position.
Vernacular name: On the southwest coast of India, the species is locally called in Malayalam “Karikadi chemmeen”.
The species is illustrated in Fig. la.
Rostrum sigmoid with proximal crest bearing 5–9 teeth + epigastric tooth, distal portion styliform and edentate, strongly upcurved, projecting much beyond tip of antennular peduncle. Adrostral carina ending about halfway between epigastric and penultimate tooth; sulcus shallow. Postrostral carina distinct, extending almost to posterior border of carapace. Carapace finely punctate, with fine longitudinal suture running from orbit to gastric region, short transverse suture across branchiostegite at level of 3rd pair of pereiopods.
Orbital spine small, postocular sulcus moderately deep, at 45° to rostrum. Cervical sulcus shallow, short not quite reaching longitudinal suture. Antennal spine prominent, antennal carina ending below hepatic spine. Hepatic sulcus pronounced, sinuous, attaining horizontal position in its anterior ¼; hepatic carina distinct only for lower ½ sulcus, commencing below hepatic spine, reaching to sharp pterygostomian angle.
Antennular flagella subequal, slightly longer than carapace in both sexes.
Third maxilliped surpassing carpocerite by dactyl; 1st pereiopod reaching to the base of carpocerite, 2nd to tip of carpocerite; 3rd exceeding carpocerite by chela; 4th slightly exceeding carpocerite; 5th reaching almost tip of 2nd antennular segment. Mastigobranchiae and basial spines on first two pereiopods.
Abdominal carination beginning from posterior ⅓ of 3rd somite, carina on 6th ending in sharp spine; pair of lateral cicatrices on 6th abdominal somite only. Telson with more than 2 pairs conspicuous subapical fixed spines.
Petasma (Fig.1b) symmetrical, simple, tubular; distolateral projections slender, hornlike, straight, directed anterolaterally at 45° to petasmal axis, with ventral openings; distomedian projections small and curved ventrally. Proximal lateral enlargements of moderate size, evenly rounded.
Thelycum (Fig.10) consists of three squarish-cut lobes; large, concave, median lobe lies between 4th pair of pereiopods, fits by means of short stem between pair of smaller lateral lobes lying between 5th pair of pereiopods.
Colour in life: Latter part of body greenish brown, sides and appendages scarlet (Menon, 1956).

Fig. 1 Parapenaeopsis stylifera (H. Milne Edwards):
a, lateral view; b, petasma; c, thelycum.
(Figs. b and c from Shaikhmahmud and Tembe, 1958)
General distribution of the species is Karachi (West Pakistan), west coast of India, Palk Strait and Madras. In terms of the FAO areas code (Holthuis and Rosa, 1965) it occurs in part of sea area ISW and on some coasts of land areas 421(W), 423 and 424.
Main distribution is along the west coast of India between 8°N and 21°N. Adults occur in the coastal waters up to 30–40 m depths on soft muddy bottom.
Very little information is available on the distribution of eggs, larvae and juveniles. Menon (1953) believed that the eggs are liberated in shallow waters at a depth of 10–12 fath (18–22 m). Eggs which seem to belong to this species have been collected from the inshore waters of Cochin in the month of October. Early larval stages, including protozoea and zoea (mysis), occur from October to May in the inshore waters of Cochin. Postlarvae have been recorded in the months of December and January. These stages, unlike the corresponding stages of other commercial penaeid prawns of this coast, do not enter the backwaters.
Juveniles ranging in size from 10–20 mm have been captured in all months from December to June from Calicut waters (Menon, 1953).
On the west coast of India, the species is most abundant from Veraval to the Trivandrum coast, but moderately available in the Sind, Mekran and Kutch areas. It is only found in smaller numbers on the southernmost part of the west coast and on the east coast of India. It occurs all the year round on the west coast, the main seasons being October to December at Veraval; September, January to February and April to July in Bombay waters; April, July and August in the inshore fishery of Karwar; February to May along the Malabar coast and January, February, June and in September to October in the Cochin area (Menon, 1953; Shaikhmahmud and Tembe, 1960; George, Raman and Nair, 1968).
Unlike a number of other penaeids that migrate into estuaries and backwaters when quite young, P. stylifera is a purely marine form, spending all its life in the sea. Its higher concentration between Veraval and Trivandrum, its relative abundance during warmer months, the movement of large sized prawns away from the shore after the commencement of southwest monsoon (Menon, 1953) and the scarcity of postlarvae in the inshore waters appear to be due to their inability to tolerate reduced salinity.
P. stylifera is heterosexual. No instance of hermaphroditism has been recorded.
The male is distinguished from the female by its smaller size and bright colour. In the male, the endopodites of the 1st pair of pleopods are modified to form a copulatory organ, the petasma or andricum. The 2nd pleopod also shows an accessory structure, the appendix masculina. In the female, the most striking character is the presence of a ventral thoracic structure, the thelycum, situated between the last three pairs of thoracic legs. In addition to the above mentioned difference is the location of the openings of the genital ducts. In the female, they are situated on the bases of the coxae of the third pair of pereiopods, while in the male they are on the last pair. The development of petasma and thelycum of the species has been studied by George and Rao (1967).
Male and female reproductive systems are illustrated in Fig. 2 and are described in detail by Shaikhmahmud and Tembe (1958).
According to Menon (1953) males attain maturity at 65.0 mm and females at 75.0 mm. By statistical analysis Rao (1968) has shown that the minimum size (total length) at first maturity for females is 63.2 mm; the smallest mature female collected was 70.0 mm. Many prawns become mature in the first year of their life.
Based on the microscopical and macro-scopical studies of the ovary, Shaikhmahmud and Tembe (1961) and Rao (1968) have distinguished five maturity stages. These are:
The size frequency distribution of ova in different maturity stages is shown in Fig. 3.
P. stylifera is promiscuous. There is no observation on the actual mating of these prawns, but Menon (1953) believed that they mate freely and mating is not confined to any particular months, but probably occurs throughout the year. As in other penaeid prawns, copulation occurs between a hard male and a soft female.
Fertilization is external, at the time of egg-laying.
Rao (1968) has estimated that the species produces an average of 39 500 eggs at 70.0 mm and 236 000 eggs at 120.0 mm total length. The formula for the relationship between the fecundity and total length is given as Log F = -1.5746 + 3.3437 Log L where, F is the fecundity and L the total length. The coefficient of correlation (r) is 0.8079.
Number of spawnings per year
Chopra (1943) remarked that the species breeds a number of times before reaching maximum size. Menon (1953) stated that since the maximum life may not be more than 2–3 years, it is possible for an individual to breed 2 or 3 times during its lifetime. Spawning more than once in a year, as indicated by the structure of the ovary and the development of ova in mature individuals, has also been pointed out by Shaikhmahmud and Tembe (1958). Recently Rao (1968) has shown that the species breeds 3 times during its growth from 91–100 to 111–120 mm. Since females attain maturity at 70 mm, it is quite probable that they may spawn twice before growing to 91–100 mm. Thus the species may spawn 5 times during its lifetime. It has also been observed that there is a gap of 2 months between the successive spawnings, during which period the immature stock of ova grows to the final stage of maturity, ready for consequent spawning.

Fig. 2 Reproductive systems of male and female P. stylifera:
A, male system: AG, accessory gland; ALT, MLT, PLT,
anterior, middle and posterior lobes of testis; VD1–3,
proximal middle and distel parts of vas deferens;
VE, vas efferens.
B, female system: AL, ML, PL, anterior, middle and
posterior lobes of ovary.
C, spermatophore (diagrammatic).
D, spermatozoa: Hd, head; Bo, body; T, tail.
(From Shaikhmahmud and Tembe, 1958)
Spawning seasons
The species breeds throughout the year, but the peak spawning season seems to vary from place to place and from year to year. At Bombay, Shaikhmahmud and Tembe (1961) observed the peak period in March, April and May, but Mohamed (1967) found it extending from September to February. Along the Malabar coast, the peak occurs during October-December (Menon, 1953). At Cochin, November-January and April form the peak spawning times (George, Raman and Nair, 1968; Rao, 1968).
Spawning time of day
It is quite probable that spawning may take place at night, as developing eggs have been collected in the early morning in the plankton.
Sequence of spawning of individuals in a population
In the population, individuals of various sizes breed frequently with a short time between successive spawnings, which results in a prolonged breeding period in the population as a whole (Rao, 1968).
Factors influencing spawning time
A positive correlation between the intensive spawning and the increase in the bottom temperature of the fishing grounds has been pointed out by Rao (1968).
Relation of the time of breeding to that of related or associated species
In Cochin waters, October-January is the peak breeding time for all the five penaeid prawns of commercial importance, including P. stylifera.
Location and type of spawning ground
Menon (1953) believed that the species breeds in comparatively shallow water, not more more than 10–12 fath (18–22 m) in depth. Shaikhmahmud and Tembe (1960) commented “it would seem that M. affinis, P. stylifera and P. maxillipedo prefer areas of soft mud, rich plankton and shallow coastal waters where they mate and spawn”.
Ratio and distribution of sexes on spawning grounds
In the trawl fishing ground of Cochin, the female ratio is less in October to December, which is the peak breeding period of the species (George and Rao, 1967). The spawning females probably migrate to rather deeper water.
Reproductive isolation
George and Rao (1967) have suggested that there is segregated movement of females to deeper water during the spawning season.
No information is available on the eggs and their structure.
The spermatophores are oval transparent sac-like structures measuring about 0.06 mm in breadth and 0.3 mm in length (Fig. 2C). In each spermatophore, the sperms are arranged in 6–8 transverse compact rows. The sperm (Fig. 2D) is elongated and cylindrical, with a very short tail. The head-piece is slightly smaller than the body and tail. The whole spermatozoon appears to be enclosed in a thin transparent membrane which is produced into a spine-like process at the tail end (Shaikhmahmud and Tembe, 1958).
There is no published account of the larvae of this species. Mohamed et al. (1968) have described the first postlarval stage (Fig. 4), obtained from the marine plankton as well as reared in the laboratory from the mysis stages. Sizes ranged from 4.25 to 4.75 mm in total length and 1.290 to 1.315 mm in carapace length. This stage of larva can be distinguished from the corresponding stage of other commercial penaeids by the telson having 3 pairs of lateral and 11 posterior spines, the posterior margin between the outermost pair of posterior spines tapering towards middle region, the median posterior spine being very much longer than the adjacent spines, and the absence of median dorsal spines on the abdominal segments.
The rarity of the larvae in the inshore plankton and their complete absence in the backwater areas support the view that the species completes its life cycle in the marine environment and the larvae prefer offshore waters.

Fig. 3 P. stylifera, size-frequency distribution of developing ova. (A) Immature. (B) (C) Early maturing. (D)(E) Late maturing. (F) Mature. Numbers of specimens examined shown in brackets. (From Rao, 1968)

Fig. 4 First postlarval stage of P. stylifera.
(from Mohamed et al., 1968)
Little is known of the juvenile phase of the species. Postlarval prawns measuring from 10–20 mm and immature individuals below 60 mm have been recorded from December to June by Menon (1953).
Menon (1953) stated that the species lives for two years, but suggested that some may live longer.
The species is purely a marine form, and, as suggested by Menon (1953), the large prawns probably cannot tolerate the low salinity of the inshore waters during the rainy season, and they move away into deeper waters.
Metapenaeus dobsoni, which is abundant in the inshore and offshore prawn fishery of south-west India, is probably a competitor of P. stylifera.
The species has been recorded in the gut content of juvenile fish of the species Pseudosciaena diacanthus.
A bopyrid parasite has frequently been found infesting the branchial chambers of these prawns. It belongs to the genus Epipenaeon Nobili. A study of the gonads and external sexual organs of parasitized prawns has revealed that they may remain imperfectly developed or rudimentary even in specimens measuring over 100 mm. The parasite therefore seems to produce a marked inhibitory effect on the development of the sexual organs of the host (Menon, 1953).
Menon (1953) examined the stomach contents of several prawns ranging in size from 45–105 mm, and recorded remains of crustaceans, including copepods, cirripeds (cypris larvae), mysids, amphipods and larval decapods. Minute gastropods, bivalves and foraminifera are other groups whose remains have also been observed frequently. Vegetable matter other than diatoms has been noticed rarely. As in other penaeid prawns, the stomachs also contain a considerable amount of sand and mud.
Relative and absolute growth patterns and rates
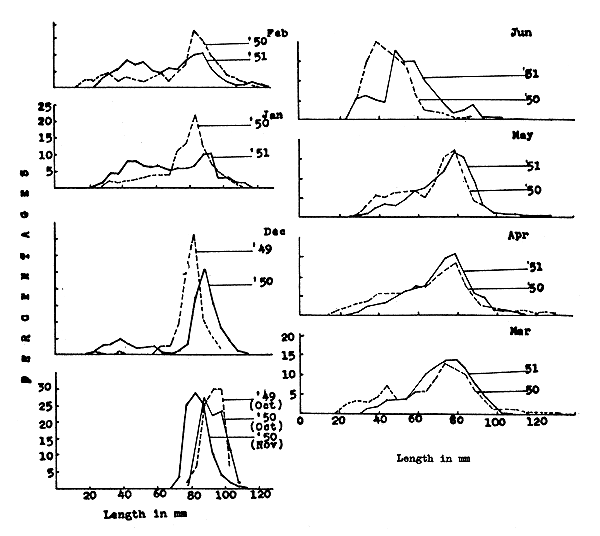
Menon (1953) estimated the growth by tracing the progression of modes in length-frequency distribution (Fig. 5). Prawns ranging in size from 10–20 mm were present in all months from December to June. In November 1950, no prawns measuring below 65 mm were caught, whereas in December of the same year 22 percent of the catches were below 66 mm. Most of the juveniles caught during December are regarded as belonging to the generation produced in the two preceding months, and the frequency curve shows two generations: the one-year-class with a modal length of 80–90 mm and 0-group without any well-defined mode. The subsequent growth of the 0-year-group was estimated from the frequency curves of the succeeding months. In January and February the curves were diffused because of the presence of considerable numbers of rapidly growing prawns of the 0-group and the reduction in growth of the first-year class. In March, the length frequency distribution showed the rapidly growing 0-year-group had reached a length of 70–80 mm and the one-year-class was dwindling due to fishing. In April and May, the modal size remained the same, though in the latter month the percentage of larger prawns showed some increase. In June, the larger prawns disappeared due to migration to deeper waters. These observations suggest that the prawns born probably in late October or early November grow to a length of 70–80 mm in the course of 4–5 months; the subsequent growth from April to October is slower. From this it is evident that one-year prawns attain an average length of 90–100 mm.
In the trawl fishery of Cochin (George, Raman and Nair, 1968) the dominent mode of the species in November is 81–85 mm in males and 86–90 mm in females. These modes shift gradually to 96–100 mm and 106–110 mm respectively by the middle of the season (February-March). The growth in the intervening period of 4 months works out to 15 mm for males and 20 mm for females.
In Bombay waters (Mohamed, 1967) the species appears to grow a little faster. In November 1957 the modes representing the youngest individuals were 51–55 mm for males and 61–65 mm for females. These modes progressively shifted to 81–85 mm and 91–95 mm mm in February, showing a growth of 30 mm in three months. The monthly growth-rate is therefore about 10 mm. The fresh recruits observed in November might have been born in May or June and they would have completed 5–6 months of life.

Fig. 5 Length-frequency distribution of P. stylifera for the years 1949 to 1951. (After Menon, 1953)
P. stylifera resembles other Indian commercial penaeids in that the males and females grow at different rates. Figure 6 shows length-frequency distributions for males and females separately for catches taken in November, January and March (Menon, 1953). In each case, the modal length for females was higher than that for males, showing that the females grow faster. George, Raman and Nair (1968), in their study of the Cochin offshore fishery, confirmed that the faster growth of females is continued after reaching maturity.
This is a species which does not enter the estuaries and backwaters, but in the sea it appears to perform annual migratory movements to and from the coast. The shoreward movement seems to commence in October. Towards the end of May, after the commencement of the southwest monsoon, the prawns begin to move into deeper waters. The large prawns are the first to leave the inshore waters, probably due to their inability to tolerate the lowering salinity, and these are followed by younger ones. As a result, from July onwards only occasional individuals have been captured near the shore. Females probably remain offshore for some time after the rains have stopped, and in some cases may not return until a year later. Males however return rapidly and practically all are caught (Menon, 1953, 1957).
George, Banerji and Mohamed (1968) studied the movements of this species in the fishing ground off Cochin. It is suggested that during April to June small prawns enter the 5–10 fath (9–18 m) area. Incursions of large prawns into this zone are observed from October to December. From March to May, these prawns move away from this zone.
The schooling habits of the species have not been observed. It is generally caught along with M. dobsoni.

Fig. 6 Length-frequencies of males and females in representative samples of November, January and March: A, of 22-11-50, B, of 30-1-51 and 0, of 27-3-51. (After Menon, 1953)
Table I is constructed from figures given by Menon (1957) from an examination of 3968 prawns of this species from commercial catches from the sea and backwaters of Narakkal. Most of the prawns in the smallest size-group considered (below 80 mm) were immature, while most of those in the other two groups were mature. There were consistently more males than females in the total samples and in both of the smaller size-groups but a great predominance of females among prawns of over 100 mm.
Shaikhmahmud and Tembe (1960), who studied variations in the sex ratio of the species in Bombay waters, pointed out that females are predominant for the six months from January to June, coinciding with the peak of the breeding season.
In the offshore catches of Cochin, George, Raman and Nair (1968) observed a predominance of females in most months, in both larger and smaller size-groups.
George and Rao (1967) studied the distribution of sex ratios of this species in monthly samples from the Cochin trawl fishery (Table II). They found a significant departure from the binomial distribution. Females were least common on the fishing ground from October to December.
Age composition of the population as a whole
The population is mostly composed of 0, 1 and 2 year-groups. The first two groups make up the bulk of the catches.
Age distribution of the catch
On the Bombay coast, the fishery is mainly supported by the O-year-group, while at Karwar and Mangalore, 1st and 2nd year-class prawns dominate the catch throughout the year. On the Malabar coast the fishery is sustained by prawns one year or less in age. First year-class prawns begin to appear in the catches in October, and by March the O-group begin to enter the catches in appreciable numbers. Along the Cochin and Alleppey coasts also, the fishery is supported by prawns belonging to the O-year and first year-classes (George, 1961).
In the offshore catches of Cochin, smaller groups come to the fishery in April, and from November to March larger groups predominate.
Variations in depth
Both Menon (1953) and George (1961) observed that the bigger specimens belonging to the second year-class disappear from the inshore fishery at the commencement of the south-west monsoon. (See also section 3.51).
Age at first capture
The smallest prawns caught on the Malabar coast are probably less than 2 months old (Menon, 1953), but in most regions where the species is fished the age at first capture is probably 5–6 months.
Age at maturity
Since the minimum size at first maturity is 65.0 mm and 70.0 mm for males and females respectively, the prawns become mature in the first year of their life.
Maximum age
Menon (1953) suspected that some specimens at least may be older than two years.
Length composition of the population as a whole
The recorded size range of the population as a whole is from 10.0 mm to 145.0 mm.
Length composition of the catch
At Veraval, sizes of these prawns vary from 61–130 mm. In October, 71–85 mm prawns dominate the catch, while in November and December slightly larger prawns measuring 90–100 mm for females and 80–90 mm for males occur in the catches. In March the 101–115 mm size group dominate the catch.
In Bombay, the 51–65 mm size-group is observed from September to November. In February this group attains 81–95 mm. In Karwar, from January to May prawns of 101–120 mm dominate the catches and in November to December and in June slightly smaller sizes are encountered. In most months males measure 86–90 mm.
At Mangalore, the dominant sizes for males and females in July are 81–90 mm and 91–105 respectively. At Cannanore during the peak fishery season in December to February, prawns measuring between 76–80 mm and 91–95 mm are landed.
On the Cochin coast, females measuring 96–100 mm and males 81–95 mm are caught from January to March. In April and May both the smaller as well as larger groups are present. The fishery commences in September, soon after the rainy season, when 91–100 mm prawns are caught, and in the succeeding months up to December 71–95 mm prawns are found in abundance.
TABLE I
Percentage (actual number in brackets) of females of P. stylifera in different size-groups and in different years. Samples from Narakkal, southwest India (Data from Menon, 1957)
| year | all sizes | under 80 mm | 80–100 mm | over 100 mm |
| 1952 | 41.4 (436) | 32.1 (191) | 45.0 (167) | 90.7 (78) |
| 1953 | 47.3 (719) | 43.4 (286) | 43.5 (326) | 95.5 (107) |
| 1954 | 49.3 (187) | 37.0 (47) | 40.3 (75) | 98.5 (65) |
| 1955 | 40.4 (411) | 35.1 (232) | 37.0 (102) | 96.2 (77) |
| 1952–55 | 44.2 (1753) | 37.0 (756) | 42.3 (670) | 95.0 (327) |
TABLE II
Percentage of females of P. stylifera in samples from the Cochin trawl fishery, 1962 and 1963 (Data from George and Rao, 1967)
| month | sample size | % females | sample size | % females |
| January | 33 | 73 | 41 | 59 |
| February | 43 | 81 | 29 | 45 |
| March | 108 | 57 | 141 | 54 |
| April | 49 | 49 | 251 | 87 |
| May | 401 | 57 | 31 | 58 |
| June | 818 | 48 | 24 | 58 |
| September | 515 | 54 | .. | .. |
| October | 778 | 46 | 125 | 36 |
| November | 574 | 39 | 177 | 33 |
| December | 326 | 48 | 18 | 22 |
Variations with depth
The size distribution of the species with depth has been studied by George, Banerji and Mohamed (1968). In the 5–10 fath (9–18m) area the size increased gradually to reach the mean size of 90.2 to 95.3 mm by January-February and then it declined. In the 10–15 fath (18–27m) area a mean size of 111.0 mm was recorded in February. In the deeper zones, the size was comparatively low, varying from 77.2 to 90.0 mm.
Size at first capture
Menon (1953) recorded a minimum size of 10.0 mm in catches on the Malabar coast.
Size at maturity
Minimum size at maturity for females is 63.2 mm and for males 65.0 mm.
Maximum size
Maximum size recorded is 145.0 mm (Shaikhmahmud and Tembe, 1960).
Estimates of population size are not available, but P. stylifera makes up approximately 18.0% of the annual prawn catches of India (Mohamed, 1967a).
George (1961) gave the hydrographical features of the sea water at Alleppey and Narakkal. During the peak of the fishing season, dissolved oxygen varies from 3.25 to 4.82 cc/l, salinity from 28.09‰ to 34.06‰, surface temperature 27.8 to 29.5°C and pH 8.30 to 8.38.
Landings per unit of fishing effort
(See section 5.41)
Variations with depth
In the inshore water the species is abundant at depths of less than 22 m. After the introduction of mechanised fishing for prawns, the species has been caught in appreciable numbers up to 40 m depth. In September, the species is generally encountered in deeper waters, and from October onwards it is caught in large numbers in shallow water areas between 11 to 20 m depth.
The abundance of the species with depth on the trawl fishery ground of Cochin has been studied by George, Banerji and Mohamed (1968). Very early in the 1961–62 season the species was comparatively scarce in shallow waters (0 to 9 m). Their abundance ranged from 124 to 2 608 (catch in numbers per trawl hour) between 9 and 18 m, with maximum numbers in October and minimum in January. In the 18–27 m area their abundance varied from 11 in December to 2 844 in June, and high numbers were recorded in September and October in deeper zones (27–45 m).
In the 1962–63 season, a maximum abundance of 1 036 was recorded in December and a minimum of 76 in May in the 9–18 m zone. In the 18–27 m area high numbers were obtained in October and November. In the deeper areas the maximum abundance was in September and June.
In the 1963–1964 season, large numbers were noticed from December to May in the 9–18 m area and in June in depths of 18–27 m. In deeper waters the catch was good in October only.
Seasonal variations in available stock
(See section 3.51)
Annual egg production rates
No estimate of annual egg production of the population is available. (See section 3.15).
(See section 3.16)
According to George (1961) the recruitment of young prawns takes place twice in a year, the younger prawns are recruited in April and again in September. From the observations of the offshore catches George, Raman and Nair (1968) arrived at the same conclusion.
In Bombay waters, fresh recruitment of younger prawns is observed in November (Mohamed, 1967).
Species composition of the community and relative sizes of their populations
The catch composition of the trawl fishery of Cochin and adjacent waters has been studied by Tholasilingam et al. (unpublished). The most abundant species caught with the prawns in the Cochin area are the fishes Nemipterus japonicus (8–14%), elasmobranchs (6–14%), Lactarius lactarius (1–2%) and miscellaneous fishes (50%). P. stylifera is usually found with Metapenaeus dobsoni, and the latter is generally the more common.
Changes in environmental factors and their effect on the population
(See section 3.32)
In the Bombay area, various sizes of bag net are used for catching prawns; these are made of either cotton yarn or hemp. Small nets, which vary in size from 35–50 ft (11–15 m) in length with a mesh size from ½–2 in (1–5 cm), are known as ‘bokshi’, whereas ‘dol’ nets may vary from 130–150 ft (40–46 m) in length. The details of the ‘dol’ net and its operation have been described by Setna (1949).
On the North Kanara coast, the prawns are caught by shore seine (yendi bale), the details of which are given by Pradhan (1956).
On the southwest coast of India, various types of boat seines (tangu vala, vatta vala, koru vala), shore seines (kamba vala, nona vala), drag nets (vadi vala) and cast nets are employed. On the east coast, the bottom drag net (thuri vala) is used. The detailed description and modes of operation of the various indigenous gears which are used for prawns and fish are described by Hornell (1925, 1938), Thyagarajan and Thomas (1962), Kuriyan et al. (1962) and Kurian (1965).
Ahmad (1957) described various gears employed in prawn fishing in East Pakistan.
Trawls for use from powered boats were introduced into India in 1947, and at present they are widely used for prawn fishing. The most common shrimp trawl is 2 to 4 seam trawl varying from 13 to 18 m in head-rope length and with mesh sizes of 76 mm, 50 mm, 38 mm and 25 mm for wing, body, throat and cod end respectively (Fig. 7). The trends in development in prawn fishing gear in India has been reviewed by Kuriyan (1965)
The first attempt at exploration of fishing grounds with a beam trawl was made in 1900 off the Bombay coast (Chidambaram, 1953). Subsequently, Burroughs (1958) suggested the design of a beam trawl suitable for operation from low-powered vessels. Various experiments conducted with beam trawls and their results were reported by Deshapande (1960), Kuriyan et al. (1962); Deshapande and Sivan (1962) and Deshapande et al. (1964).
Organised commercial otter trawling for prawns commenced in 1958. Several new designs of otter trawling gear have been introduced (Satyanarayana et al., 1962; Kuriyan et al., 1963), Miyanoto et al. (1963) reviewed the trends in the development of prawn fishing methods on the west coast of India.
Although indigenous gear is still employed for prawn fishing, the main gear for catching prawns at present is the trawl.
Echo sounding is used in some of the bigger commercial and Government owned vessels for bottom fishes and prawns.
The indigenous gears are mainly operated by dug-out canoes and plankbuilt boats with out-rigger. The mechanised fishing vessels are generally 7–11 m pablo boats, having 10–30 b.h.p. engines.
At present mechanised fishing vessels are widely used and there are about 5 000 mechanised fishing boats in India. The trend in development is to construct bigger vessels to suit the offshore prawn fishing ventures.
Karachi, west coast of India and east coast of India. Marine area, ISW (Fig. 8).
Distance from coast
P. stylifera is found in large shoals in the shallow waters on the west coast of India, and forms an important species both in the inshore and offshore fishery.
Areas of greatest abundance
(See section 2.22)
(See section 4.24)
The general fishing ground has a muddy bottom and the species prefers soft mud, rich plankton and shallow coastal waters.
P. stylifera occurs all the year round on the west coast of India, but is most common in the inshore waters from January to June and in the offshore waters in September to October.

Fig. 7 A 13.7 m four seam trawl net. (From Satyanarayana et al., 1962)

Fig. 8 Distribution and fishing areas for P. stylifera.
At Veraval, the species supports a good fishery during October to December. In Bombay, the fishery starts in September and the peak seasons are during September, October, January, February, April and May. At Karwar, April, July and August are the main seasons for the inshore fishery. At Mangalore, the peak season is from January to April. On the Malabar coast, the fishery starts in October and reaches its peak in February to May. At Alleppey, the fishery commences in November and reaches a maximum in December to January. At Chellanum, the percentage of the species in catches starts going up in October to reach a maximum in January. At Narakkal, the species is prominent in the post-monsoon months, September and October. In the trawl catches of Cochin, it is dominant during September to October and April to May.
Type of unit of effort
Most of the fishing trips are confined to single day cruises. A few larger commercial vessels stay out for 3 or 4 days. Most of the vessels use only a single net, except some of the vessels which operate ‘bull trawls’ (pair trawling).
Since the number of vessels operated during various seasons is not constant and most of the vessels perform single day cruises, the catch per trawling hour is considered as the unit of effort.
Landings per unit of effort
At Cochin, during the years 1957 to 1963, the annual fishing effort deviated from an average of 3 595 trawling h to 2 611 h in 1960 to 1961 and 4 944 h in 1961 to 1962. Corresponding total prawn yields exhibited fluctuations from an average of 184 t to 104 t and 318 t in the respective years. The annual averages of the prawn catch/h of trawling for the seasons 1957 to 1962 were 52.1, 60.5, 41.6, 39.8, 64.4 and 43.2 kg respectively (George, Raman and Nair, 1968).
Prawn fishing conducted by M.F.V. ‘Jheenga’ in Bombay waters during the years 1959 to 1963 showed that catch/h of trawling varied from 1.3 to 123 kg in 1959; 1.3 to 37.5 kg in 1960; 0.63 to 62 kg in 1961; 0.5 to 16.5 kg in 1962 and 0.2 to 31.3 kg in 1963.
Total fishing intensity
Since the shrimp industry of India is developing very fast, the number of powered fishing boats is increasing year by year. The progressive total number of mechanised fishing vessels in various maritime states of India has reached 5 073.
Satyanarayana (1965) has shown that trawls having different cod end meshes catch different size-groups of prawns (Fig. 9). Small prawns of mean length 77 mm are caught by net with cod end meshes of 23 mm in depths of 9–11 m, medium prawns of mean length 105 mm are retained by cod end meshes of 20–25 mm in a depth of 14 m, and big prawns of mean length 118 mm are caught in 22 mm cod end. The relation of length to breadth of prawn is worked out to be: Bp = 0.15 Lp - 1.50, where Bp and Lp are breadth and length respectively.
Deshapande and George (1965) studied the use of tickler chains on the catches and concluded that the catch of shrimp per hour of trawling is increased by about 71% due to the attachment of chains.
The results of operation of a 45 ft (14 m) otter trawl with and without long wings showed that the prawn catch was increased by 50% when wings were used. Another experiment conducted with and without long sweeps for the trawl net also showed that the long sweeps increased the catch of prawns by about 50% (Kuriyan, 1965).
Total annual yields
Separate landing figures for P. stylifera are not available. Tables III and IV give landings of total prawns for India as a whole and for individual states. P. stylifera contributes approximately 18% of the annual prawn catch of the country (Mohamed, 1967a).
Total annual yields from different fishing grounds
Wide fluctuations occur in the percentage contribution of this species to the total estimated landings of Bombay. During 1952–53 and 1954–55 it formed 26.4% of the total prawn catch landed at Sassoon Docks (Shaikhmahmud and Tembe, 1960), but it formed only 6.1% in the year 1965–66 when the prawn landings at this centre were estimated to be 1 525.3 t.
At Karwar, out of the total estimated landing of 10.24 t in 1965–66, P. stylifera contributed 0.8 t.
At Mangalore, the species formed 31.5% of the total estimated landings of 1 030.4 t. At Cochin, the average monthly catch of prawns landed by mechanised vessels has been estimated as 311 t and the percentage of P. stylifera varies in different months from 2.8 to 40.2.

Fig. 9 Percentage frequency distribution of prawns caught by nets with cod end of different mesh. (After Satyanarayana, 1965)
TABLE III
Prawn landings and their percentages among crustaceans and overall marine fish landings of India (from Mohamed, 1967a)
| Year | Prawn landings (tons) | Percentage of crustacean landings | Percentage of total marine landings |
| 1958 | 85,191 | 98.26 | 11.27 |
| 1959 | 65,436 | 96.90 | 11.19 |
| 1960 | 68,029 | 96.36 | 7.73 |
| 1961 | 62,768 | 96.85 | 9.18 |
| 1962 | 83,235 | 98.78 | 12.92 |
| 1963 | 81,593 | 97.54 | 12.45 |
| 1964 | 94,895 | 95.41 | 11.04 |
| 1965 | 78,544 | 97.08 | 9.64 |
| Average | 77,461 | 97.14 | 10.68 |
TABLE IV
Prawn landings and their percentages in different states of the west coast of India. (Average of 8 years) (from Mohamed, 1967a)
| State | Average prawn landings (tons) | Percentage of total marine landings |
| Gujaret | 6,983 | 9.07 |
| Maharashtra | 40,605 | 52.73 |
| Goa | 123 | 0.16 |
| Mysore | 950 | 1.23 |
| Kerala | 20,445 | 26.55 |
No regulatory measures exist at present.
Ahmad, N., 1957 Prawn and prawn fishery of East Pakistan. Dacca, East Pakistan, Government Press, 31 p.
Alcock, A., 1901 A descriptive catalogue of the Indian deep-sea Crustacea Decapoda, Macrura and Anomala in the Indian Museum, being a revised account of the deep-sea species collected by the Royal Marine Survey Ship “INVESTIGATOR”. Calcutta, India, 286 p.
Alcock, A., 1906 Prawns of the Peneus group. In Catalogue of the Indian decapod Crustacea in the collection of the Indian Museum. Part 3, Macrura. Fasc. 1. Calcutta, 55 p.
Bate, C.S., 1881 On the Penaeidea. Ann.Mag.nat.Hist., 5(8):169–96
Burroughs, J.L., 1958 Paper presented to the Gear Symposium, Central Institute of Fisheries Technology, Ernakulam, India.
Chidambaram, K., 1953 The experimental introduction of powered fishing vessels within India and Ceylon. Proc.Indo-Pacif.Fish.Counc., 4(2):225–33
Chopra, B.N., 1943 Prawn fisheries of India. Proc.Indian Sci.Congr., 30(2):153–73
Dall, W., 1957 A revision of the Australian species of Penaeinae (Crustacea Decapoda: Penaeidae). Aust.J.mar.Freshwat.Res., 8(2):136–231
de Man, J.O., 1911 The Decapoda of the Siboga Expedition. Part 1. Family Penaeidae. Siboga-Exped., 39a:131 p.
Deshapands, S.D., 1960 On the fishing experiments conducted with a 10 ft. beam trawl. Indian J.Fish., 7(1):174–86
Deshapande, S.D. and N.A. George, 1965 On the effect of tickler chain on the catches landed by a 55 ft. trawl net. Fishery Technol., Ernakulam, 2(1):82–86
Deshapande, S.D. and T.M. Sivan, 1962 On the effect of tickler chain on the catch of a 10 ft. beam trawl net. Indian J.Fish., 9(2):91–6
Deshapande, S.D, V. C. George and T. M. Sivan, 1964 Experiments and fishing with shrimp trawls. On the effectiveness of beam trawl net. Proc.Indo-Pacif.Fish.Coun., 11(2):191–3
George, M.J., 1961 Studies on the prawn fishery of Cochin and Alleppey coast. Indian J.Fish., 8(1):75–95
George, M.J., S. K. Banerji and K.H. Mohamed, 1968 Size distribution and movement of the commercial prawns of the south west coast of India. FAO Fish.Rep., (57)Vol.2:265–84
George, M.J., K. Raman and P.K. Nair, 1968 Observations of the offshore prawn fishery of Cochin. Indian J.Fish., (1963), 10A(2):460–99
George, M.J. and P. Vadavyasa Rao, 1967 Distribution of sex ratios of penaeid prawns in the trawl fishery off Cochin. Symp.Ser.mar.biol.Ass.India, 2(2):698–700
Hall, D.N.F., 1962 Observations on the taxonomy and biology of some Indo-west Pacific Penaeidae (Crustacea, Decapoda). Fishery Publs colon.Off., (17):229 p.
Holthuis, L.B. and H. Rosa, Jr., 1965 List of species of shrimps and prawns of economic value. FAO Fish.tech.Pap., (52):21 p.
Hornell, J., 1925 The fishing methods of the Madras Presidency. 1. The Coramandal coast. Madras Fish.Bull., 18(2):59–110
Hornell, J., 1938 The fishing methods of the Madras Presidency. 2. The Malabar coast. Madras Fish. Bull., 27(1):1–69
Kuriyan, G.K., 1965 Trends in development in the prawn fishing technique in India - A review. Fishery Technol., Ernakulam, 2(1):64–8
Kuriyan, G.K., S.D. Deshapande and N.A. George, 1962 Certain aspects about improved gear in prawn fishing. Indian Fish.Bull., 9(4):31–6
Kuriyan, G.K., V.C. George and T.R. Menon, 1963 Design and operation of the so-called ‘Thangu-Vala’ a single boat seine. Occ.Pap.Indo-Pacif.Fish.Coun., (63/9):16 p.
Menon, M.K., 1953 Notes on the bionomics and fishery of the prawn Parapenaeopsis stylifera (M. Edw.) on the Malabar coast. J.zool.Soc.India., 5(1):153–62
Menon, M.K., 1956 Identification of marine and inshore prawns of commercial value in India. Proc. Indo-Pacif.Fish.Coun., 6(3):345–6
Menon, M.K., 1957 Contributions to the biology of penaeid prawns of the southwest coast of India. 1. Sex ratio and movements. Indian J.Fish. 4(1):62–74
Miyamoto, H., S.D. Deshapande and N.A. George, 1963 Recent development in trawl-fishing for shrimps with trawls from small mechanised boats on the west coast of peninsular India. Proc.Indo-Pacif.Fish.Coun., 10(2):264–79
Mohamed, K.H., 1967 Penaeid prawns in the commercial shrimp fisheries of Bombay with notes on species and size fluctuations. Symp.ser.mar.biol.Ass.India, 2(4):1408–18
Mohamed, K.H., 1967a Prawn Fisheries.In Central Marine Fisheries Research Institute, Government of India, 20th Anniversary Souvenir, Mandapan Camp, pp. 75–81
Mohamed, K.H., P. Vedavyasa Rao and M.J. George, 1968 Postlarvae of penaeid prawns of southwest coast of India with a key to their identification. FAO Fish.Rep., (57)Vol.2:487–503
Nataraj, S., 1942 The prawns of Travancore. Part 1. Thesis, University of Travancore (Unpubl.MS)
Pradhan, L.B., 1956 Mackerel fishery of Karwar. Indian J.Fish., 3(1):141–85
Racek, A.A. and W. Dall, 1965 Littoral Penaeidae (Crustacea Decapoda) from northern Australia, New Guinea and adjacent waters. Verh.K.ned.Akad.Wet.(2), 56(3):119 p.
Rao, P. Vedavyasa, 1968 Maturation and spawning of the penaeid prawns of the southwest coast of India. FAO Fish.Rep., (57)Vol.2:285–304
Satyanarayana, A.V.V., 1965 Note on the size groups of prawns landed by shrimp trawls of four different cod end meshes. Fishery Technol.,Ernakulam, 2(1):87–97
Satyanarayana, A.V.V., G.K. Kuriyan and R.S. Nair, 1962 Commercial prawn trawling gear of Cochin (India). Proc.Indo-Pacif.Fish.Coun., 10(2):226–63
Setna, S.B., 1949 Bombay fishermen's ingenuity. J.Bombay nat.Hist.Soc., 36:887–97
Shaikhmahmud, F.S. and V.B. Tembe, 1958 Study of Bombay prawns: the reproductive organs of Parapenaeopsis stylifera (M.Edw.). J.Univ.Bombay, 27(3):99–111
Shaikhmahmud, F.S., 1960 Study of Bombay prawns: the seasonal fluctuation and variation in abundance of the commercially important species of Bombay prawns with a brief note on their size, state of maturity and sex ratio. Indian J.Fish., 7(1):69–81
Shaikhmahmud, F.S., 1961 A brief account of the changes in the developing ovary of penaeid prawn Parapenaeopsis stylifera (M.Edw.) in relation to maturation and spawning cycle. J.Univ.Bombay, 29(3–5):62–77.
Tholasilingam, T., et al., Exploratory trawl fishing and ground fish resources along the Kerala coast and adjacent waters. (Unpubl.MS)
Thyagarajan, S. and D. Thomas, 1962 Fishing craft and gear (Madras State). Indian Fish.Bull., 9(4):45–53