por
D. Bowman
Ministerio de Agricultura y Ganadería
Dirección General de Recursos Naturales Renovables
Servicio Piscícola
El Salvador
Extracto
Se planeó un estudio para comparar el crecimiento y la producción en estanques de Tilapia aurea y T. mossambica, y para determinar la superioridad de una de las dos especies cultivadas. Los experimentos realizados consistieron en cultivar tilapias en estanques fertilizados con gallinaza, con superfosfato, o sin ninguna clase de fertilizante, juntos y separadamente, y en combinación con la especie carnívora Cichlasoma managüense. Los resultados obtenidos mostraron una ligera superioridad de T. aurea sobre T. mossambica, produciendo la primera peces de mayor tamaño por unidad de producción.
Abstract
A study was planned to compare the growth and production of Tilapia aurea and T. mossambica, and to determine the superiority of one of the two species cultured. The experiments conducted consisted of culturing tilapias in ponds fertilized with poultry manure, with superphosphate, or without fertilization, jointly and separately, and in combination with the carnivorous species Cichlosoma managüense. The results obtained showed a slight superiority of T. aurea over T. mossambica, the first species producing fish of larger size per production unit.
1. INTRODUCCION
Los resultados preliminares de la experimentación llevada a cabo en la Estación Piscícola de Santa Cruz Porrillo y las observaciones de campo indican que la Tilapia aurea frecuentemente es superior a la T. mossambica como pez de estanque en El Salvador, y por lo tanto hay poca justificación para la T. mossambica en nuestro país. El tiempo, dinero, mano de obra, e instalaciones necesarias actualmente usadas para mantener T. mossambica podrían ser más efectivamente aplicadas en otras áreas para incrementar la piscicultura en El Salvador.
Este estudio fue diseñado para comparar el crecimiento y producción de las dos especies de tilapias. De esta comparación puede concluirse cuál, si alguna, de las dos especies puede ser eliminada sin afectar al programa de la piscicultura nacional.
2. REVISION DE LITERATURA
Tanto la T. aurea como T. mossambica probaron ser altamente eficientes como peces de estanque en Auburn, Alabama, EE.UU. La T. aurea produjo una cantidad un poco mayor de peces de tamaño cosechable y fue menos prolífica que T. mossambica. La T. aurea cesó de reproducirse a la densidad de siembra de 30 000/ha mientras que la reproducción de T. mossambica continuó a 40 000/ha, Swingle (1960). Sumwidjaja (1969) comparó los hábitos alimenticios, tasas de crecimiento, reproducción y producción de estas dos especies. Ambas tilapias tenían hábitos alimenticios similares, comiendo en su mayoría alimentos artificiales en forma de bolitas, desechos orgánicos y algas. La T. aurea creció más que T. mossambica, y los machos de ambas especies crecieron más que las hembras. Las tasas de crecimiento relativas de ambas especies disminuyeron a medida que el porcentaje de población de T. aurea aumentó. El peso total de peces cosechables aumentó con un aumento en el procentaje de T. aurea en la población. La producción neta fue mayor cuando ambas especies fueron sembradas juntas en una proporción de 2 a 1 (T. mossambica y T. aurea, respectivamente), que cuando estaban solas. Cuando ambas especies de tilapia se alimentaron con alimentos preparados, T. aurea mostró la conversión de alimento más económico al usar 1 por ciento del peso de su cuerpo y en T. mossambica el 2 por ciento (Shell, 1968).
Varios autores señalaron el uso de peces carnívoros para controlar la alta reproducción de tilapia (Bardach, 1971; Chimits, 1957; Denyoh, 1967; Huet, 1968; Lemasson y Bard, 1968; Meschkat, 1967; Swingle, 1968). Sin embargo, solamente pocos autores incluyeron en sus informes el porcentaje de siembra de tilapia-carnívoros o predadores por área (Rabanal, 1968; Semakula y Makiro, 1967; Swingle, 1960; Yashouv, 1961).
Tanto la T. aurea como T. mossambica tienen hábitos alimenticios diversificados y los alimentos utilizados por ambas revelan similitudes. Prowse (1962), asegura que T. mossambica digiere diatomeas, Oedogonium sp. y Anabaenopsis sp. pero no digiere efectivamente Spirogyra sp., Euglena sp., Chlorococcales sp., Microcystis sp., Oscilatoria sp., ni Anabaena sp. T. mossambica en los estanques de Alabama pareció digerir Anabaena sp. pero no diatomeas (Dandy et al., 1967), Hickling (1961) duda de la habilidad de T. mossambica en lagos africanos para digerir algas verde-azules. Semakula y Makoro (1967) aseguran que bajo “ciertas condiciones” T. aurea digerirá algas verde-azules. Hickling (1961) supone que T. aurea en el Lago Rudolf de Kenya creció más como resultado de la presencia de abundante alga verdeazul, pero no asegura que la tilapia es capaz de digerir esta clase de alga. El autor ha observado la misma relación entre abundante Anabaena spiroides y el mejor crecimiento de T. aurea en los estanques de El Salvador. Yashouv y Chervinski (1961) encontraron que los hábitos alimenticios de T. aurea cambian a medida que el pez crece. Sus trabajos muestran un espectro amplio de los organismos alimenticios utilizados por una población reproductiva de T. aurea: Cladocera, Copepoda, larvas de insectos, insectos acuáticos, Rotatoria, Chlorophyta, Cyanophyta, diatomeas, nanoplancton, Euglenophyta, algas filamentosas y plantas más superiores. A esta lista se pueden agregar desechos, lodo y posiblemente heces de otros peces.
3. MATERIALES Y METODOS
La experimentación aquí descrita se llevó a cabo en estanques de tierra de la Estación Piscícola de Santa Cruz Porrillo, localizada en el km 66 de la carretera litoral, Departamento de San Vicente. Los 11 estanques usados en estos experimentos varían entre 0,106 ha y 0,257 ha. Debido al limitado número de estanques disponibles, este programa de experimentación se extendió por un período de dos años. Además de los objetivos de los experimentos, la información obtenida sirvió como parte de las bases sobre las cuales establecer un Programa Nacional de Piscicultura.
La comparación de T. aurea y T. mossambica fué llevada a cabo en estanques fertilizados y en estanques con el carnívoro Cichlasoma managüense, guapote tigre. Los estanques fueron fertilizados con una mezcla de gallinaza seca, cáscaras de granos, desechos y tierra; o con triple superfosfato comercial, 0-46-0. El fertilizante se pesó lo más exactamente posible a 0, 1 lb (45,4 g). Los estanques de control no se fertilizaron. No se usó control para los estanques con las dos especies de tilapia y guapote tigre.
La gallinaza se aplicó a los estanques que contenían sólo tilapia, en una proporción de 9,35 kg/ha/día durante los primeros 90 días y se duplicó la cantidad (18,7 kg) para el resto del tiempo que duró el experimento. La gallinaza se aplicó esparcida por todo el estanque manualmente. El fosfato (p2O5) se aplicó a 12 kg/ha cada treinta días, suspendiendo el fertilizante en una bolsa de nylon en la superficie del estanque. Esta tasa de fertilización fué más baja que la que originalmente se intentó debido a un error de aplicación en las primeras tres réplicas; esto determinó el continuar con la misma proporción de fertilizante en las restantes réplicas. Los estanques con tilapia y guapote tigre fueron fertilizados semanalmente con 192 kg de gallinaza/ha durante los primeros 90 días y duplicada el resto del tiempo (30 días).
El diseño del experimento se presenta en el Cuadro I. Como puede verse, los estanques sembrados solamente con tilapia y los estanques-testigo fueron sembrados a una proporción de 2 062 peces/ha. Los estanques con ambas especies de tilapia fueron sembrados con la misma tasa, pero en la proporción de uno a uno (1 031 T. mossambica/ha y 1 031 T. aurea/ha). Los estanques con tilapia-tigre fueron sembrados a 6 115 tilapia/ha y 6 115 tigre/ha.
Cuadro I
Diseño experimental
| Ensayo | Especie | Número de réplicas | Densidad de siembra peces/ha | Tipo de fertilizante | Temporada de crecimiento días |
| 1 | T. aurea | 2 | 2 062 | gallinazaa | 180 |
| T. mossambica | 2 | 2 062 | gallinaza | 180 | |
| 2 | T. aurea | 3 | 2 062 | P2O5b | 120 |
| T. mossambica | 3 | 2 062 | P2O5 | 120 | |
| 3 | T. aurea | 3 | 1 031 | P2O5 | 120 |
| T. mossambica | 1 031 | P2O5 | 120 | ||
| 4 Testigo | T. aurea | 3 | 2 062 | 120 | |
| T. mossambica | 3 | 2 062 | 120 | ||
| 5 | T. aurea | 3 | 6 115 | gallinaza | 120 |
| C. managüense | 6 115 | ||||
| T. mossambica | 6 115 | ||||
| C. managüense | 2 | 6 115 | gallinaza | 120 |
a consiste de heces de pollo, afrechos de cereales y tierra
Muestras del 10 por ciento de los peces sembrados originalmente fueron tomadas a un intervalo de 30 días, medidos en su tamaño total lo más cerca posible a 0,5 cm y pesados en gramos en una báscula dietética. Los estanques fueron cosechados simultáneamente al bajar el nivel del agua y pasar un chinchorro hasta que el estanque quedó completamente vacío y todos los peces fueron removidos, excepto los alevines y crías pequeñas que pasaban a través de la malla de ¼ pulgadas (6,3 mm). Una muestra fué tomada cada vez que se pasó el chinchorro. De este muestreo 25 peces fueron pesados individualmente en gramos y medidos lo más exactamente posible a 0,5 cm. Todos los peces de tamaño cosechable, de 14 cm o más, fueron removidos de la red después de tomar la muestra, y cada pez individualmente fué pesado y medido. Todos los demás peces pequeños fueron pesados en masa.
4. RESULTADOS
El resûmen de los resultados de todos los experimentos se presentan en el Cuadro II.
4.1 Tilapia en estanques fertilizados diariamente con gallinaza
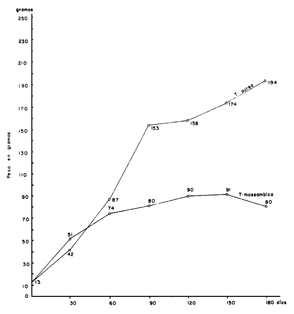
Los estanques 2 y 3 de un área promedio de 0,25 ha fueron sembrados con T. aurea y los estanques 5 y 12 de 0,108 ha y 0,175 ha respectivamente, fueron sembrados con T. mossambica. La Fig. 1 muestra la tasa promedio de crecimiento de las dos especies. El crecimiento de ambas especies fué similar durante los primeros 60 días. Durante el tiempo restante del ensayo el crecimiento de T. aurea continuó rápidamente, mientras que T. mossambica mostró poco crecimiento, después de 120 días. El estanque 2 produjo 370,2 kg de T. aurea y el estanque 3 produjo 365,9 kg representando un promedio de producción1 anual de 2 949 kg/ha.
Cuadro II
Resumen de cifras de experimentación comparando T. aurea y T. mossambica
| Ensayo | Especie | Densidad de siembra peces/ha | Tipo y cantidad de fertilizante kg/ha/tiempo | Producción kg/ha/año | Porcentaje de producción de tamaño cosechableb | Peso promedio de pescados cosechables g |
| 1 | T. aurea | 2 062 | gallinazaa | 2 949 | 54,8 | 194 |
| T. mossambica | 2 062 | 9,35/día 90 días + 18,7/día 90 días | 3 219 | 7,2 | 80 | |
| 2 | T. aurea | 2 062 | P2O5 | 2 442 | 33,5 | 126 |
| T. mossambica | 2 062 | 12/mes | 2 619 | 14,9 | 92 | |
| 3 | T. aurea | 1 031 | P2O5 | 842 | 21,4 | 88 |
| T. mossambica | 1 031 | 12/mes | 1 555 | 5,7 | 50 | |
| 4 Testigo | T. aurea | 2 062 | 2 428 | 23,1 | 87 | |
| T. mossambica | 2 062 | 2 131 | 13,6 | 77 | ||
| 5 | T. aurea | 6 115 | gallinaza | 1 856 | 103,3 | 113 |
| C. managüense | 6 115 | 94 | 27,7 | 38 | ||
| T. mossambica | 6 115 | 192/semana | 1 223 | 97,6 | 94 | |
| C. managüense | 6 115 | 142 | 39,2 | 93 |
a consiste de estiércol de gallina, afrechos de cereales y tierra
El estanque 5 produjo 174, 1 kg de T. mossambica y el estanque 12 279,7 kg con un promedio anual de producción de 3 219 kg/ha. El peso total de T. aurea de tamaño cosechable en los estanques 2 y 3 fueron 158,7 kg y 247,1 kg respectivamente. Estas cantidades de T. aurea cosechable representan un promedio de 54,8 por ciento de la producción. La T. mossambica de tamaño cosechable en los estanques 5 y 12 pesaron 12,7 kg y 20,2 kg, 7,3 y 7,1 por ciento del total, respectivamente. El promedio de peso individual de T. aurea cosechable fué de 194 g. La T. mossambica cosechable tuvo un promedio de 80 g. El aumento en la población por reproducción en los estanques 2 y 3 representó un promedio de aproximadamente 232 500 T. aurea/ha/año. El T. mossambica en los estanques 5 y 12 promediar on aproximadamente 244 600 peces/ha/año.
1 Producción neta a menos que se indique otra cosa
4.2 Tilapia en estanques fertilizados con triple superfosfato
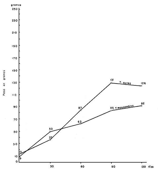
Los estanques 6, 11 y 13 de 0,1515 ha, 0,162 ha y 0,165 ha, respectivamente, fueron sembrados con T. aurea. Estos mismos estanques fueron usados para las réplicas de T. mossambica después que las réplicas de T. aurea fueron cosechadas y el estanque reparado. La Fig. 2 muestra la tasa promedio de crecimiento de las dos especies. La T. aurea creció un poco más rápido que la T. mossambica. El crecimiento de ambas especies paró después de 90 días. El promedio de producción de T. aurea en los tres estanques fué de 130,1 kg y la de T. mossambica 140,0 kg. Estas cantidades representan un promedio anual de producción de 2 442 kg de T. aurea/ha y 2 619 kg de T. mossambica/ha. El peso total de T. aurea de tamaño cosechable promedió 44,4 kg y el de T. mossambica 20,9 kg que representó 33,5 y 14 por ciento de la producción, respectivamente. El promedio de peso individual de T. aurea cosechable fué 126 g y 92 g para T. mossambica.
El aumento en la población por reproducción de T. aurea promedió aproximadamente 9 761 peces o 60 623 peces/ha/120 días. El T. mossambica promedió aproximadamente 27 251 que es equivalente a 173 654 peces/ha/120 días. El porcentaje de los peces sembrados originalmente que obtuvieron el mínimo de tamaño cosechable de 14,0 o más cm fué 110 para T. aurea y 70 para T. mossambica.
4.3 T. aurea y T. mossambica juntas en estanques fertilizados con triple superfosfato
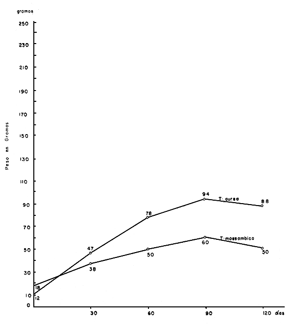
Los estanques 10, 12 y 14 de 0,106 ha, 0,175 ha y 0,2113 ha, respectivamente, fueron sembrados con 1 031 peces/ha de cada especie. La tasa promedio de crecimiento de las dos especies se presenta en la Fig. 3. T. aurea creció más rápidamente que T. mossambica, pero ambas especies no crecieron después de 90 días. El promedio de producción de T. aurea fué de 46,4 kg equivalente a 848 kg/ha/año. El promedio de producción de T. mossambica fué 85,0 kg equivalente a 1 555 kg/ha/año. El promedio combinado de producción es equivalente a 2 403 kg/ha/año. La cantidad promedio de T. aurea cosechable fué 10,7 kg y de T. mossambica 5,0 kg; el peso promedio individual cosechable de T. aurea fué 88 g y el de T. mossambica 50 g.
El aumento en la población por reproducción de cada especie no pudo ser calculado debido a la dificultad de distinguir la especie de los peces pequeños. Es porcentaje de los peces sembrados originalmente que habían crecido a un tamaño cosechable fué de 77,8 de la T. aurea y de 73 de la T. mossambica.
4.4 Tilapia en estanques testigos que no recibieron fertilización
Los estanques 3, 4 y 15 de un área promedio de 0,24 ha fueron sembrados con T. aurea. Los estanques 2, 4 y 15 también con promedio de 0,24 ha fueron sembrados en forma similar con T. mossambica. Los estanques fueron sembrados tal como se explica a continuación:
El estanque 4 fué con T. aurea, y después de cosecharlo y repararlo fué sembrado con T. mossambica;
Los estanques 2 y 3 fueron sembrados simultáneamente con T. mossambica y T. aurea, respectivamente;
El estanque 15 inicialmente se sembró con T. mossambica, y después que se cosechó y reparó fué sembrado con T. aurea. Aparentemente no hubo ningún efecto negativo en la producción de una especie como resultado de haber sembrado a continuación de la cosecha de la otra especie.
La Fig. 4 muestra la tasa de crecimiento de las dos especies. El crecimiento de ambas especies cesó al cabo de 90 días; sin embargo, T. aurea alcanzó un tamaño un poco mayor que la T. mossambica, después de pararse el crecimiento. La producción promedio de T. aurea fué de 193,3 kg y la de T. mossambica de 173,4 kg. Estas cantidades son equivalentes a una producción promedio anual de 2 428 kg de T. aurea/ha/año y 2 131 kg de T. mossambica/ha/año. El peso individual promedio de T. aurea cosechable fué de 87 g, el de T. mossambica fué de 77 g. El peso total de peces cosechables fué 44,6 kg de T. aurea y 23, 7 kg de T. mossambica. El total de pesos de T. aurea y T. mossambica cosechables, representaron 23,1 y 13,6 por ciento de la producción, respectivamente.
El aumento en la población debido a la reproducción resultó ser 110 385 de T. aurea/ha en 120 días y de 111 199 de T. mossambica/ha en 120 días.
El porcentaje de los peces sembrados originalmente que tenían 14,0 cm o más de largo durante la cosecha fué de 100 para T. aurea y 57,6 para T. mossambica.
4.5 Tilapia y Cichlasoma managüense (guapote tigre) en estanques fertilizados semanalmente con gallinaza
Los estanques 12 y 13 de 0,175 ha y 0,165 ha, respectivamente, fueron sembrados con T. aurea y C. managüense. Los estanques 11 de 0,162 ha y 14 de 0,211 ha fueron sembrados con T. mossambica y C. managüense. Posteriormente el estanque 14 se cosechó y reparó, agregando luego T. aurea y C. managüense.
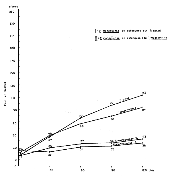
La Fig. 5 muestra que ambas especies crecieron durante todo el período de 120 días y T. aurea creció un poco más rápida que T. mossambica. La producción promedio de T. aurea fue 113,8 kg. La producción de T. mossambica en el estanque 11 fue de 71,6 kg y de 79,0 kg en el estanque 14. Estos datos equivalen a un promedio anual de producción de 1 856 kg de T. aurea/ha y de 1 223 kg de T. mossambica/ha. La producción promedio de peces de tamaño cosechable fue 118,8 kg de T. aurea y 73,3 kg de T. mossambica.
Los totales de T. aurea y T. mossambica cosechables dieron porcentajes de 103,3 y 97,6, respectivamente, de la producción. El promedio individual de T. aurea cosechable fué 113 g y el T. mossambica fué 94 g. El promedio de producción de C. managüense sembrado con T. aurea fué de 17,3 kg y de 26,5 kg con T. mossambica. La cantidad de C. managüense cosechable del estanque de T. aurea promedió 4,8 kg y 10,4 kg del estanque de T. mossambica.
Como resultado de la presencia de guapote tigre, no hubo aumento en la población por reproducción en ninguna especie de tilapia. La supervivencia de T. aurea fué del 99,6 por ciento y la de T. mossambica 95,7 por ciento. Solamente 29 de los 3 359 T. aurea cosechadas eran de menor tamano del cosechable. Similarmente, solamente 97 de las 2 184 T. mossambica cosechadas eran inferiores a los 14,0 cm.
5. DISCUSION
El único ejemplo de diferencia marcada en la producción entre las especies ocurrió cuando las dos especies fueron sembradas juntas y cada una con guapote tigre. Sin embargo, la producción para cada especie cuando se sembraron juntas puede que no sea válida, debido a que es bastante difícil distinguir entre los jóvenes de las dos especies. En consecuencia, parte de la producción mayor de T. mossambica, cuando estaba sembrada con T. aurea, pudiera ser en realidad T. aurea pequeña pareciendo ser T. mossambica pequeña.
Las pequeñas ventajas en producción demostradas por T. mossambica en los estanques fertilizados con gallinaza y triple superfosfato, y la ventaja de T. aurea en estanques testigo son tan pequeñas que no son importantes. No se debe pasar por alto que el objetivo de estas experimentaciones no fué el obtener la producción más alta posible; por lo tanto la producción alcanzada aquí no puede ser considerada como el máximo para los estanques de tilapia. T. aurea creció consistentemente más rápido que T. mossambica. Esta diferencia en crecimiento se atribuye al mejor crecimiento de las hembras de T. aurea con respecto a las de T. mossambica.
Las hembras de T. mossambica raramente crecen más de 16 cm en 120 días, mientras que las hembras de T. aurea llegan hasta los 20 cm. Un factor que sin duda afectó adversamente al crecimiento de T. mossambica es la temprana madurez sexual en esta especie. Los machos de 7 cm se encontraron con colores de reproducción y las hembras de 7,5 cm incubando huevos. Por lo tanto, energía y proteínas se inverten en reproducción a una edad muy temprana en lugar de ser usadas para el crecimiento. El macho más pequeño de T. aurea que se ha visto con colores de reproducción era de 12 cm y la hembra de 10 cm; sin embargo esto no sucede frecuentemente. El crecimiento de machos de ambas especies fue similar.
El crecimiento de ambas especies paró un poco antes de que los estanques fueran cosechados. Esto se atribuye a la falta de fertilizantes aplicados a los estanques, que determinan la producción de organismos comestibles para los peces, que son menos de los requeridos en relación con el aumento de la población de peces.
Como consecuencia del mejor crecimiento de las hembras, la cantidad y promedio de tamaño individual de T. aurea cosechable fué regularmente superior a la de T. mossambica. Esto se demostró más claramente en los estanques de tilapia-guapote tigre, que es el más importante en vista de la práctica empleada por el Servicio Piscícola de la Dirección General de Recursos Naturales Renovables, acerca de la siembra de alevines de guapote tigre, junto con tilapia en los estanques privados.
El aumento de la población por reproducción de cada especie fue similar pero con un ligero y probablemente insignificante ventaja para T. mossambica. Este ligero aumento de T. mossambica coincidió con su ligera mayor producción y la menor cantidad y tamaño individual de pez cosechable. T. mossambica se esperaba fuera más prolífica debido a su temprana madurez sexual. También el autor observó que cuando el volumen de los ovarios de la hembra de T. aurea y T. mossambica se relacionan al peso del cuerpo y tamaño “standard”, la hembra de T. mossambica tiene proporcionalmente ovarios más grandes que la hembra de T. aurea.
6. CONCLUSIONES
Para llegar a la conclusión de cuál especie de esta comparación, que es lo que se proyectaba beneficiaría menos a la piscicultura, pudiendo por lo tanto ser eliminada, la información obtenida debe ser considerada en el contexto de cuáles son las características que requiere la piscicultura salvadoreña acerca del pez que debe utilizarse. Presentado simplemente, el programa requiere un pez que pueda ser producido en unidades suficientemente grandes y altas, producciones a través de métodos que conviertan a la piscicultura en una actividad economicamente atractiva para los salvadoreños.
Ambas especies poseen una capacidad similar para producir grandes cantidades de pez. T. aurea produce más peces grandes por unidad de producción que T. mossambica. Por esta razón, además el hecho que actualmente nada se puede ganar manteniendo ambas especies, se recomienda que T. mossambica sea suprimida del programa de piscicultura. Una reserva de la especie puede ser encontrada en cualquier número de cuerpos de agua en el país, si en el futuro existe la necesidad de reincorporar T. mossambica en el programa.
7. REFERENCIAS BIBLIOGRAFICAS
Bardach, J., 1971 Unpublished manuscript on aquaculture, chapter culture of tilapia (MS)
Chimits, P., 1957 The tilapia and their culture. FAO Fish.Bull., 10(1):1–24
Dandy, J.S. et al., 1967 Productions of Tilapia mossambica Peters, plankton and benthos as parameters for evaluating nitrogen in pond fertilizers. FAO Fish.Rep., (44) Vol.3: 226–40
Denyoh, F.M.K., 1967 Pond fish culture development in Ghana. FAO Fish.Rep., (44) Vol.2:154–60
Hickling, C.F., 1961 Tropical Inland Fisheries, Camelot Press Ltd., London, X p. 287
Huet, M., 1968 Méthodes biologiques d'accroissement de la production piscicole (Europe et Afrique). FAO Fish.Rep., (44) Vol.4:289–327
Lemasson, J. y J. Bard, 1968 Nouveaux poissons et nouveaux systemes pour la pisciculture en Afrique. FAO Fish.Rep., (44) Vol.5:182–95
Meschkat, A., 1967 The status of warm-water fish culture in Africa, FAO Fish.Rep., (44) Vol.2: 88–122
Prowse, G.A., 1962 The use of fertilizers in fish culture, Proc.Indo-Pacif.Fish Coun., 9(⅔): 73–5
Rabanal, H.R., 1968 Stock manipulation and other biological methods of increasing production of fish through pond fish culture in Asia and the Far East. FAO Fish.Rep., (44) Vol.4:274–88
Semakula, S.N. y J.T. Makiro, 1967 The culture of Tilapia species in Uganda. FAO Fish.Rep., (44) Vol.2:161–4
Shell, E.W., 1968 Mono-sex culture of male Tilapia nilotica Linnaeus in ponds at three rates. FAO Fish.Rep., (44) Vol.4:353–6
Sumawidjaja, J., 1969 A study of the feeding habits, growth, rate, reproduction and production of Tilapia mossambica Peters and T. aurea (Steindachner) stocked separately and together. Thesis, Department of Fisheries and Allied Aquaculture, Auburn University, Auburn, Alabama
Swingle, H.S., 1960 Comparative evaluation of two tilapias as pond fishes in Alabama. Trans. Amer.Fish Soc., 89(2):142–8
Swingle, H.S., 1968 Biological means of increasing productivity in ponds. FAO Fish.Rep., (44) Vol.4:243–57
Yashouv, A., 1968 Mixed fish culture - an ecological approach to - increase pond productivity. FAO Fish, Rep., (44) Vol.4:258–73
Yashouv, A. y T.T. Chervinski, 1961 Food of Tilapia nilotica in the Fish Culture Section at Dor. Bamidgeh, 13(2):33–9

PERIODO DE CRECIMIENTO EN DIAS
Fig. 1 Ensayo 1, Crecimiento de dos especies de tilapias en dos estanques por especie y fertilizados con gallinaza

PERIODO DE CRECIMIENTO EN DIAS
Fig. 2 Ensayo 2, Crecimiento promedio de dos especies de tilapia separados en tres estanques por cada especie fertilizados con superfosfato triple

PERIODO DE CRECIMIENTO EN DIAS
Fig. 3 Ensayo 3, Crecimiento de dos especies de tilapia juntas en tres estanques fertilizados con superfosfato triple

PERIODO DE CRECIMIENTO EN DIAS
Fig. 4 Ensayo 4 (testigo), Crecimiento de dos especies de tilapia en tres estanques por cada especie. Los estanques no fueron fertilizados

PERIODO DE CRECIMIENTO EN DIAS
Fig. 5 Ensayo 5, Crecimiento de T. aurea junto con C. managüense en tres estanques, y crecimiento de T. mossambica junto con C. managüense en dos estanques. Todos los estanques fueron fertilizados con gallinaza