
Figure 1 Location of transects surveyed by hydroacoustics and netting in Lake Tegel 12 – 14 November 1985. Grid transects are labelled A-B, C-D, E-F, G-H, I-J and K-L. The three trawl transects (1 = Greenwich; 2 = Hasselwerder; 3 = Reiswerder) are indicated with dashed lines. The positions of the gill net and the upward looking transducer are marked with an upward pointing and a downward pointing triangle. Dots = aerators.

Figure 2 Length distributions of marked, captured and recaptured fish. Blank columns = caught, black columns = marked, lines = recaptured.

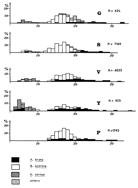
Figure 3 Percentage length frequency histograms of the fishes from the different nets. G = gill net, S = Seine, V = Commercial Vendace Trawl, Y = Young Fish Trawl, P = Pikeperch Midwater Trawl. For specific numbers (n) see Table 6.

Figure 4 Target-strength distributions from split-beam system and from dual-beam system based on single-fish echoes. Upper figure: all transects of split-beam system combined; lower figure: night-time transects of dual-beam system combined.

Figure 5 Size distribution of fish on trawl transect 3, measured with 3 acoustic systems. Compare Figure 6.

Figure 6 Percentage length-frequency of the fishes trawled at transect 3. Compare Figure 5.

Figure 7 Dual-beam system. Target-strength distribution by depth for large-fish echoes for all 420 kHz night-time transects combined. Depth = range + 0.5 m. Each echo treated as an independent sample.
EIFAC OCCASIONAL PAPERS ISSUED DOCUMENTS OCCASIONNELS DE LA CECPI PUBLIES
| EIFAC/OP 1 | Summary of the organized discussion on the economic evaluation of sport fishing (1968) |
| EIFAC/OP 2 | Bibliography on nutritional requirements of salmonoid fishes (1968) Bibliographie sur les besoins nutritifs des salmonidés (1968) |
| EIFAC/OP 3 | Application of electricity to freshwater fishery management and development in Ireland (1969) |
| EIFAC/OP 4 | Les pêcheries de la Roumanie et la pêche roumaine (1970) |
| EIFAC/OP 5 | Potential uses of waste waters and heated effluents (1971) |
| EIFAC/OP 6 | Investigation of a method for comparing the efficiency of portable fishing machines (1973) Etude d'une méthode permettant de comparer l'efficacité d'appareils de pêche électriques portables (1973) |
| EIFAC/OP 7 | Economic issues and opportunities facing Europe in the field of sport fisheries (1973) Problèmes et possibilités économiques de la pêche sportive en Europe (1973) |
| EIFAC/OP 8 | Pond fish culture in Czechoslovakia (1973) |
| EIFAC/OP 9 | A review of feeding equipment in fish culture (1973) |
| EIFAC/OP 10 | Bibliography on nutritional requirements of warm water fishes (1975) Bibliographie sur les besoins nutritifs des poissons vivant en eaux chaudes (1975) |
| EIFAC/OP 11 | Survey of ownership and utilization of inland fisheries in various European countries and Canada (1976) |
| EIFAC/OP 12 | Glossary of inland fishery terms (1978) Glossaire de termes utilisés dans le domaine des pêches intérieures (1978) |
| EIFAC/OP 13 | Historical review of EIFAC activities (1981) |
| CECPI/OP 13 | Aperçu historique des activités de la CECPI (1981) |
| EIFAC/OP 14 | EIFAC experiments on pelagic fish stock assessment by acoustic methods in Lake Konnevesi, Finland (1982) |
| EIFAC/OP 15 | EIFAC experiments on pelagic fish stock assessment by acoustic methods in Lake Constance (1985) |
| EIFAC/OP 16 | National reports of EIFAC member countries for the period January 1984 - December 1985 (1986) |
| CECPI/OP 16 | Rapports nationaux des pays membres de la CECPI pour la période janvier 1984 - décembre 1985 (1986) |
| EIFAC/OP 17 | EIFAC experiments on pelagic fish stock assessment by acoustic methods in Lake Tegel (1987) |
EUROPEAN INLAND FISHERIES ADVISORY COMMISSION (EIFAC)
EIFAC documents are issued in three series:
EIFAC Reports
Report of each session in English and French
EIFAC Technical Papers
Selected scientific and technical papers, including some of those contributed as working documents to sessions of the Commission or its Sub-Commissions. Published in English and French, or one of these languages.
EIFAC Occasional Papers
Papers of general interest to the Commission. Published in the language submitted, either in English or French; sometimes in both languages.
Copies of these documents, when still available, can be obtained from:
Secretariat
European Inland Fisheries Advisory Commission
Fisheries Department
FAO
Via delle Terme di Caracalla
00100 Rome, Italy
COMMISSION EUROPEENNE CONSULTATIVE POUR LES PECHES DANS LES EAUX INTERIEURES (CECPI)
Les documents de la CECPI sont publiés dans trois séries:
Rapports de la CECPI
Rapport de chaque session, publié en français et en anglais.
Documents techniques de la CECPI
Documents scientifiques et techniques sélectionnés comprenant certains documents de travail présentés aux sessions de la Commission ou de ses sous-Commissions. Publiés en français et en anglais, ou dans l'une de ces deux langues.
Documents occasionnels de la CECPI
Documents d'intérêt général pour la Commission. Publiés dans la langue d'origine, soit en français, soit en anglais; parfois dans ces deux langues.
Des exemplaires de ces documents peuvent être obtenus, lorsqu'ils sont encore disponibles, en s'adressant au:
Secrétariat
Commission européenne consultative pour les pêches dans les eaux intérieures
FAO
Via delle Terme di Caracalla
00100 Rome, Italie.