by
J.O. Manyala
Kenya Marine and Fisheries Research Institute
Sangoro River Laboratory
P.O. Box 136
Pap Onditi via Ahero
Kenya
ABSTRACTGrowth parameters of Rastrineobola argentea in the Winam Gulf, Lake Victoria were determined by means of length-frequency analysis from samples collected in 1990/91. There appeared to be two main cohorts at any one time and the following mean values were obtained: L∞ = 63∙4 mm SL, K = 0∙94 yr-1 and Z = 3∙28 yr-1. The growth rate of Rastrineobola is considerably slower than it is in the pelagic clupeids but this may be compensated for by a lower mortality rate. The selection characteristics of the 5mm mosquito netting used in the fishery suggest that the length at which 50% of the fish are caught is below the length at which most reach maturity. RESUMELes paramètres de croissance de Rastrineobola argentea dans le golfe de Winam du lac Victoria ont été déterminés par une analyse de fréquence des longueurs sur des échantillons recueillis en 1990/91. Il est apparu qu'il y avait à tout moment deux cohortes principales et les moyennes arithmétiques suivantes ont été obtenues: L∞ = 63∙4 mm SL, K = 0∙94 an-1 et Z = 3∙28 an-1. La croissance de Rastrineobola est nettement plus lente que pour les cupéidés pélagiques, mais ceci est peut-être compensé par un taux de mortalité plus faible. Les caractéristiques de sélection de la senne moustique 5 mm utilisée dans cette pêcherie donnent à penser que la longueur à laquelle on capture 50 pour cent des poissons est inférieure à celle à laquelle la plupart d'entre eux atteignent la maturité. |
The small pelagic fish species of the African great lakes have become increasingly important in recent years. In Lake Victoria the introduced Nile perch, Lates niloticus, is now the most important commercial species, followed by the pelagic cyprinid Rastrineobola argentea. This species is a relatively cheap source of animal protein for both humans and livestock. It also has a crucial role in the ecosystem of the lake as a link between the zooplankton and the top predator.
Very little information on the biology and ecology of Rastrineobola is available at present. Graham (1929) and Greenwood (1966) briefly summarised what was known about the fishes of Lake Victoria at the time and the first work specifically on Rastrineobola was Okedi's (1973) study on its breeding biology and fecundity. Recent work on the biology and ecology of this species includes Wanink (1989), Wandera (1990, 1992), Manyala (1991), Chitamwebwa (1992), Katunzi (1991) and Manyala et al. (1992). Mannini (1992) reviewed its characteristics and compared them with those of small pelagics from other African lakes.
Because of the rapid development of this fishery, the FAO CIFA sub-committee for the Development and management of the fisheries of Lake Victoria has given a high priority to research on the population dynamics of Rastrineobola. Consequently, an ad hoc working group was formed in 1991 under the FAO/IFIP organisation. At its first meeting in Kisumu, Kenya in 1991 it formulated a regional FAO/IFIP/KMFRI/TAFIRI research programme to provide data that can be used for management of the fishery. This programme is in progress and this paper gives some data obtained from the Kenyan waters of Lake Victoria.
This work was carried out in the Winam Gulf, detailed descriptions of which are available in Okach (1982), Ogari (1985) and Manyala (1991), from August 1990 to July 1991. Once a month samples of fish caught in 5 mm mosquito seines were taken from artisanal boats at Rakwaro Beach (Fig. 1). Each sample weighed about 400g and the standard length of each fish was measured to the nearest millimetre. The data were grouped into one-millimetre length groups. Length-frequency modes were was determined by Bhattacharya's (1967) method which made it possible to determine the growth parameters L∞ and K by means of a Gulland and Holt plot. An independent estimate of L∞ and of the parameter Z/K was obtained using the method of Wetherall et al. (1987). A length-converted catch-curve was then used to estimate the rate of total mortality (Z) and the gear selection characteristics. All of the calculations were done on a SHARP EL 5050 programmable calculator1.
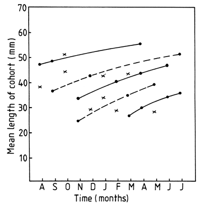
Two cohorts were revealed by the Bhattacharya analysis and there were rarely three components in the samples (Fig. 2). A modal progression analysis of the first and second cohorts provided the following estimates:
| L∞ (mmSL) | K (yr-1) | |
| First cohort | 65.4 | 0.858 |
| Second cohort | 60.5 | 1.066 |
When both cohorts were considered together the values were L∞ = 63.8 mm SL and K = 0∙94 yr-1 (Fig. 3). The Wetherall method gave values of L∞ = 60∙8 mm SL and Z/K = 4∙8 (Fig. 4). The instantaneous rate of natural mortality (Z) was estimated to be 3∙3 yr-1 (Fig. 5). The observed Lc25%, Lc50% and Lc75% were 33, 38 and 43 mm SL respectively while the estimated selection lengths for similar quartiles were 35, 38 and 41 mm SL respectively (Fig. 6).
Although the growth parameters of Rastrineobola vary in different parts of Lake Victoria their growth performance indices, φ' (Munro and Pauly, 1983) are very similar (Table 1). The growth data so far obtained suggest that this species approaches its maximum length at a relatively slow rate when compared with clupeids in other African lakes (Table 1) and is relatively less r-selected than they are (Ssentongo, 1988). Although Stolothrissa in Lake Tanganyika and Limnothrissa in Lakes Kariba and Cahora Bassa have a higher growth performance than Rastrineobola their mortality rates are much higher. It can be argued that the low mortality of Rastrineobola compensates for its slow growth rates but that the opposite applies to the clupeids.
The selection analysis indicated that 50% of all specimens above 38 mm SL were retained by the 5 mm mosquito seine net. This is well below the length at which the bulk of the population becomes mature (44 mm SL; Wandera, 1990). These nets could therefore have a detrimental effect on the recruitment of this species.
Bhattacharya, C.G., 1967. A simple method of resolution of a distribution into Gaussian components. Biometrics, 23: 115–135.
Chapman, D.W. and P. van Well, 1978. Growth and mortality of Stolothrissa tanganicae. Trans. Am. Fish. Soc., 107: 26–35.
Chitamwebwa, B.B.R., 1992. The fishery of Rastrineobola argentea in 1992 southern sector of Lake Victoria. In Mannini, P. (ed.) The Lake Victoria Dagaa (Rastrineobola argentea). Report of the first meeting of the working group on Lake Victoria Rastrineobola argentea, 9–11 December, 1992, Kisumu, Kenya. UNDP/FAO Regional Project for Inland Fisheries Planning (IFIP) RAF/87/099-TD/38/92: 58–61.
Graham, M., 1929. The Victoria Nyanza and its fisheries survey of Lake Victoria, 1927–1929. London; Crown Agents.
Greenwood, P.H., 1966. The fishes of Uganda. Kampala; The Uganda Society.
Katunzi, E.F.B., 1992. Biological and fishery aspects of Rastrineobola argentea in the southern part of Lake Victoria. In P. Mannini, (ed.) The Lake Victoria Dagaa (Rastrineobola argentea). Report of the first meeting of the working group on Lake Victoria Rastrineobola argentea, 9–11 December, 1992, Kisumu, Kenya. UNDP/FAO Regional Project for Inland Fisheries Planning (IFIP) RAF/87/099-TD/38/92: 51–57.
Mannini, P., 1992. Some characteristics of small species and possible affinities with the population of Lake Victoria Rastrineobola argentea. In P. Mannini, (ed.) The Lake Victoria Dagaa (Rastrineobola argentea). Report of the first meeting of the working group on Lake Victoria Rastrineobola argentea, 9–11 December, 1992, Kisumu, Kenya. UNDP/FAO Regional Project for Inland Fisheries Planning (IFIP) RAF/87/099-TD/38/92: 62–78.
Manyala, J.O., 1992. Population dynamics of Rastrineobola argentea (Pellegrin, 1904) (Pisces: Cyprinidae) in the Winam Gulf of Lake Victoria. M. Sc. thesis, University of Nairobi.
Manyala, J.O., C.O. Nyawade and C.O. Rabour, 1992. The dagaa (Rastrineobola argentea, Pellegrin) fishery in the Kenyan waters of Lake Victoria; a national review and proposal for future research. In P. Mannini, (ed.) The Lake Victoria Dagaa (Rastrineobola argentea). Report of the first meeting of the working group on Lake Victoria Rastrineobola argentea, 9–11 December, 1992, Kisumu, Kenya. UNDP/FAO Regional Project for Inland Fisheries Planning (IFIP) RAF/87/099-TD/38/92: 18–35.
Marshall, B.E., 1987. Growth and mortality of the introduced Lake Tanganyika clupeid, Limnothrissa miodon, in Lake Kariba. J. Fish Biol., 31: 603–615. Munro, J.L. and D. Pauly, A simple method for comparing the 1983 growth of fishes and invertebrates. Fishbyte, 1(1): 5–6.
Ogari, J., 1982. The biology of Lates niloticus (Linnaeus) in the Nyanza Gulf of Lake Victoria, Kenya with special reference to the food and feeding habits. M. Sc. thesis, University of Nairobi.
Okach, J.I.O., 1982. Productive biology and feeding ecology of siluroid catfish, Bagrus docmac Forskal (Pisces: Bagridae) in Winam Gulf, Lake Victoria. M. Sc. thesis, University of Nairobi.
Okedi, J., 1973. Preliminary observations on Engraulicypris argentea (Pellegrin) 1904 from Lake Victoria. EAFFRO Ann. Rept 1973: 39–42.
Roest, F.C, 1978. Stolothrissa tanganicae: population dynamics, biomass evolution and life history in the Burundi waters of Lake Tanganyika. CIFA Tech. Pap. 5: 42–62.
Ssentongo, G.W., 1988. Population structure and dynamics. In C. Leveque, M.N. Bruton and G.W. Ssentongo (eds) Biology and ecology of African freshwater fishes, pp. 363–375. Paris: ORSTOM.
Wandera, S.B., 1990. The exploitation of small pelagic fishes of the great lakes of Africa with reference to the mukene (Rastrineobola argentea) fishery of the northern waters of Lake Victoria. In Fisheries of the African great lakes. Research papers presented at the international symposium on resource use and conservation of the African great lakes, Bujumbura, 29 November – 2 December, 1989. Internat. Agric. Cent., Wageningen, Netherlands, Fish. Aquacult. Unit, Occas. Pap. 3: 67–74.
Wandera, S.B., 1992. A study of Rastrineobola in the Uganda lakes. In P. Mannini (ed.) The Lake Victoria Dagaa (Rastrineobola argentea). Report of the first meeting of the working group on Lake Victoria Rastrineobola argentea, 9–11 December, 1992, Kisumu, Kenya. UNDP/FAO Regional Project for Inland Fisheries Planning (IFIP) RAF/87/099-TD/38/92: 36–50.
Wandera, S.B. and J.H. Wanink, 1989. Growth and mortality of Dagaa Rastrineobola argentea in Lake Victoria. In Fish stock and fisheries in Lake Victoria. A handbook to HEST/TAFIRI/FAO/DANIDA regional seminar, Mwanza, January/February 1989. Report of the Haplochromis Ecology Survey Team and the Tanzania Fisheries Research Institute No 53. Leiden; The Netherlands.
Wanink, J.H., 1989. The ecology and fishery of Dagaa Rastrineobola argentea (Pellegrin 1904). In Fish stock and fisheries in Lake Victoria. A handbook to HEST/TAFIRI/FAO/DANIDA regional seminar, Mwanza, January/February 1989. Report of the Haplochromis Ecology Survey Team and the Tanzania Fisheries Research Institute No 53. Leiden; The Netherlands.
Wetherall, J.A., J.J. Polovia and S. Ralton, 1987. Estimating growth and mortality in steady-state fish stocks from length-frequency data. ICLARM Conf. Proc. 13: 53–74.
Table 1. Growth and mortality parameters of Rastrineobola argentea compared with those of Stolothrissa tanganicae and Limnothrissa miodon.
| L∞ (mm) | K (yr-1) | Φ' | Z (yr-1) | Source | |
| R. argentea | 68 | 0.57 | 3.42 | 2.86 | 1 |
| R. argentea | 52 | 1.14 | 3.49 | 3.59 | 2 |
| R. argentea | 64 | 0.92 | 3.58 | 3.33 | 3 |
| R. argentea | 64 | 0.94 | 3.59 | 5.50 | 4 |
| S. tanganicae | 94 | 2.52 | 4.34 | 5.20 | 5 |
| S. tanganicae | 90 | 2.52 | 4.13 | 8.6 – 13.3 | 6 |
| L. miodon (Kariba) | 74 | 3.05 | 4.22 | 7 | |
| L. miodon (Cahora Bassa) | 70 | 5.40 | 4.42 | 7 |
Sources: (1) Manyala (1991);
(2) Wanink (1989);
(3) Wandera and Wanink (1989);
(4) Manyala (this study);
(5) Roest (1978);
(6) Chapman and van Well (1978);
(7) Marshall (1987).

Figure 1. The Winam Gulf of Lake Victoria showing the major landing beaches (numbered). The samples used in this study were collected at Rakwaro beach (No. 2).

Figure 2. Length modes of Rastrineobola argentea plotted according to the Bhattacharya method. Cohort 1 is shown by the continuous line and cohort 2 by the broken one. Points not used in the modal progression are indicated by the symbol x.

Figure 3. Estimation of the growth parameters L∞ and K in Rastrineobola argentea from the Winam Gulf using the Gulland and Holt method.

Figure 4. Estimation of L∞ and Z/K in Rastrineobola argentea from the Winam Gulf using the Wetherall method.

Figure 5. Estimation of the instantaneous rate of natural mortality (Z) of Rastrineobola argentea from the Winam Gulf by means of a length-converted catch curve.

Figure 6. Selection characteristics of the 5 mm mosquito netting used to catch Rastrineobola argentea in the Winam Gulf.