por
Gustavo Chediak, Graciela Fabiano, Zoel Varela
Instituto Nacional de Pesca, Monteviedo, Uruguay
Ricardo Delfino, Rolando Quirós
Instituto Nacional de Investigación y Desarrollo Pesquero, Mar del Plata, Argentina
Resumen
El monitoreo pesquero permite evaluar la modificación en la composición y abundancia de especies, y la estructura de las poblaciones ícticas del lago; así como la realización de diversos estudios biológicos (crecimiento, reproducción, alimentación, etc.).
En este trabajo se describen en primer lugar las variaciones de captura por unidad de esfuerzo (CPUE), tomada como indice de abundancia (Ricker, 1975), para los distintos puntos de muestreo durante el período comprendido entre los años 1980 y 1984.
El INAPE participa en estas campañas de monitoreo a partir de 1984.
En segundo lugar, se analizan las valores de los CPUE de un grupo de especies de peces de interés comercial, y que por lo tanto están expuestos a pesquerías, para los distintos ambientes en una misma campaña.
Abstract
A fisheries monitoring programme permits an evaluation of changes in the species composition and their abundances, and thus of the structure of the fish community of the lake. It also facilitates various other biological studies (growth, reproduction, feeding, etc.).
This study describes firstly the variations in catch per unit of effort (CPUE), used as an index of abundance (Ricker, 1975), for various sampling locations, during the period between 1980 and 1984.
INAPE participated in these monitoring expeditions from the beginning of 1984.
Secondly, at the same time, the values of the CPUE for a group of fish species of commercial interest, and that are therefore exposed to fishing, were analyzed for the various different zones.
1. INTRODUCCION
El embalse de Salto Grande está ubicado en el tramo terminal del río Uruguay medio, limita la República Argentina y la República Oriental del Uruguay, abarcando unos 144 km aproximadamente del curso del río (Fig. 1). La formación del lago se produjo en mayo de 1979, completándose el llenado en septiembre del mismo año. Las características morfométricas y climáticas se detallan en la Tabla I.
De acuerdo con Quirós (1980) se trata de un embalse de poca profundidad, alta tasa de lavado y ancho medio bajo, es decir un embalse tipo río en el que se distinguen zonas de bajo recambio de aguas debido al alto desarrollo costero y a la poca importancia del caudal de los afluentes secundarios y una zona central de alto recambio de aguas.
La represa es administrada por una Comisión Técnica Mixta (CTM - Salto Grande) que cuenta con un Departamento de Ecología. Actualmente el Instituto Nacional de Investigación y Desarrollo Pesquero (INIDEP - RA), el Instituto Nacional de Pesca (INAPE - ROU) y la CTM llevan adelante un programa conjunto de investigación del funcionamiento de las esclusas para peces. Este programa tiene por cometido la cuantificación de las especies que utilizan el paso; el estudio del comportamiento de los peces en el área de influencia de la represa; y la evaluación de las densidades aguas abajo por el sistema de marcado y recaptura.
Comprende además el monitoreo de la ictiofauna en el embalse por medio de campañas estacionales de pesca con redes de enmalle.
2. MATERIAL Y METODOS
El monitoreo de la ictiofauna se realizó mediante la pesca en estaciones fijas de muestreo con una batería de redes de enmalle. Ocasionalmente se emplearon otros artes: espineles, redes de playa.
Para la selección de los lugares de muestreo (Tabla II) se consideró el embalse como un ambiente heterogéneo y susceptible de ser estudiado por subambientes (Prenski y Baigún, 1984).
Estudios limnológicos anteriores caracterizaron el lago de acuerdo a la variación de diversos parámetros físico-químicos (pH, turbidez, oxígeno disuelto, conductividad, etc.) mostrando diferencias significativas entre las estaciones ubicadas en el centro de los brazos y el centro del embalse, así como diferencias de algunos brazos entre sí (Quirós, 1980; Quirós y Cuch, 1982).
Los lugares de muestreo habituales correspondieron al centro de los brazos Gualeguaycito, Itapebí, Mandisovi, Arapey y Mocoretá; y al cauce del antiguo río (Campamento).
A partir de mayo de 1984 se incluyeron dos nuevas estaciones: Yacuí y Mandiyú, donde en la actualidad se encuentran sendos asentamientos de pescadores artesanales. Sus resultados no se consideran en este trabajo.
El muestreo pesquero se realizó con una batería de nueve redes agalleras colocadas en superficie y con las características de armado detalladas en la Tabla III. Esta batería se ubicó en forma perpendicular a la costa, según un tamaño de malla creciente hacia el centro del brazo.
El esfuerzo de pesca fue fijado en una noche de pesca, siendo entonces la nochebatería la unidad pesquera. La pesca siempre abarcó dos jornadas sucesivas, recogiéndose las capturas de la primera mañana con el objeto de evitar efectos de saturación en las redes. Durante el día los registros de captura fueron insignificantes por lo que se consideró innecesario levantar las artes en ese período.
Los ejemplares capturados fueron pesados en su totalidad, y medida su longitud total de forma tal de asegurar una submuestra suficientemente grande. En aquellas especies con aleta caudal ahorquillada la longitud total se tomó al extremo superior de la misma. Asimismo se consignaron las respectivas mallas de captura para cada ejemplar.
En todas las estaciones se determinó la profundidad de la zona de pesca, en el punto medio y en los extremos de la batería. Se registró también la temperatura ambiente, la temperatura del agua en superficie y lecturas del disco de Secchi (Tabla IV).
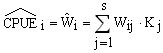
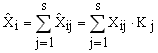
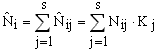
Con el objeto de que las capturas totales y por especie sean comparables entre las redes, se procedió a estandarizar dichas capturas a 100 m2 para cada red.
Para el cálculo de los parámetros de número, peso, largo y sus respectivas medias, se utilizaron las siguientes expresiones:
Si X = cualquiera de los parámetros W o L
Xij = el valor del parámetro correspondiente a la i-ésima especie de la j-ésima red, por ejemplo
Nij = número de peces de la especie i, en la red j
r sobre todos los peces de la especie i, en la red j.
Siendo
y Aj el área real de la red j, se estandarizan los parámetros para
100 m2 de red según
ij = Xij . Kj
Si
i es el valor total estandarizado del parámetro X, de la especie i, en toda la
batería, entonces
siendo s el total de las redes en la batería.
Si
es el valor total estandarizado del parámetro X, para todas las especies en la
batería
siendo p el total de especies capturadas por la batería.
El valor medio estandarizado
ij, de la especie i en la red j será
donde Xij, es el valor medio muestral del parámetro X para la especie i en la red j.
El valor medio estandarizado del parámetro X, para la especie i en toda la batería es
![]() | {1} | |
| con | ![]() | {2} |
| y | ![]() | {3} |
De esta forma fueron calculados los valores estandarizados de largo medio (
i), peso
medio (
i) a partir de [1] y los de número (
i) a partir de [2] para cada especie. También,
a partir de [3] el número total corregido de peces capturados (
t).
Se calculó la captura por unidad de esfuerzo estandarizado total (
) y para cada
especie (
i) de acuerdo a las siguientes expresiones; que surgen del desarrollo anterior.
Las campañas se hicieron de acuerdo a las estaciones anuales, por lo tanto para cada año se cuenta con datos de por lo menos cuatro campañas.
En el año 1980 las campañas se desarrollaron bimensualmente; mientras que en 1983 sólo se llevó a cabo la correspondiente al verano, cuyos datos se utilizaron para completar la información de 1983.
Siempre se muestreó en todos los puntos fijos seleccionados salvo para Mandisoví en 1981.
En la campaña de verano (febrero) de 1984 a las estaciones habituales en el centro de los brazos se sumaron otras correspondientes al fondo de los brazos (Tabla II).
Del total de las especies de peces capturadas en el lago (Tabla V) fueron seleccionadas seis por su posible importancia comercial (CPUEc): bagre amarillo, “boga común”, “dorado”, “manduví”, “patí”, “sábalo” y “tararira”.
3. DISCUSION
3.1 Variación de la CPUE total de peces en el período 1980–1984
De acuerdo a los valores de la CPUE que aparecen en las tables (Tabla 6.1 a 6.6) y en los gráficos correspondientes, pueden apreciarse variaciones espaciales y temporales en las abundancias.
Así, entre la estación Mocoreta y las restantes, aparece una diferencia importante, dada por los mayores valores de CPUE que presenta aquella, a lo largo del período muestreado.
Respecto a las variaciones temporales, no se registró una periodicidad anual de los picos de mayor captura en cada uno de los ambientes.
Sin embargo (exceptuando la estación Campamento) sí se observa un pico de máxima captura en el período estival 1980–81, aproximadamente 18 meses después del embalsado. Luego de este pico máximo se aprecia una tendencia general a la disminución de la captura. De esta forma, los resultados indicarían modificaciones en la abundancia de peces en los distintos subambientes del embalse, desde el momento de su llenado a la fecha.
3.2 Relación y distribución de las especies de peces de interés comercial (CPUEc) (verano 1984)
En la Tabla VII y las Figuras 2 y 3 se registran los CPUEc de las seis especies seleccionadas para cada subambiente.
En general las CPUEc fueron mayores en las estaciones ubicadas en el fondo de los brazos, salvo para Itapebí y Mocoretá.
La especie que tuvo significativamente mayor captura fue el “sábalo” (Prochilodus platensis) con 122 167 kg, que se encontró en casi todos los ambientes a veces con capturas localizadas muy elevadas como es el caso de Mandisoví fondo: 67.49 kg.
La sigue el “manduví” (Ageneiosus valenciennesi): 38.63 kg, que apareció sin grandes variaciones en el centro, fondo de los brazos y en la estación ubicada en el cauce del antiguo río.
Luego, y casi a un mismo nivel, están el “dorado” (Salminus maxillosus), el “patí” (Lucipimelodus pati) y la “tararira” (Hoplias malabaricus): 21, 35, 28.92 y 22.35 kg respectivamente.
El “dorado” fue algo más abundante en el centro de los brazos y muy pobre en Campamento.
El “patí” estuvo presente en la mayoría de las estaciones con capturas variables y fue prácticamente la única de importancia en Itapebí centro.
La “tararira” fue notoriamente más abundante en el fondo de los brazos.
Por último, la “boga” (Leporinus obtusidens) y el bagre amarillo" (Pimelodus clarias) estuvieron escasamente representados: 8.25 y 3.40 kg respectivamente.
El brazo con mayor captura fue Manoisoví (97.77 kg), le siguieron Mocoretá y Arapey (52.22 y 40.71 kg), y luego Gualeguaycito e Itapebí (20.86 y 20.11 kg).
Campamento, que es una estación única, no disociada en centro y fondo, tuvo una CPUEc de 13.53 kg.
4. BIBLIOGRAFIA
Prenski, L.B. y C.R. Baigún, 1984 Resultados de la prospección pesquera en el embalse de Salto Grande (febrero 1980 – febrero 1981). Contrib.Inst.Nac.Invest.Desarr. Pesq., B.Aires, (440)
Quirós, R., 1980 Evaluación del rendimiento pesquero potencial del embalse de Salto Grande. Contrib.Inst.Nac.Invest.Desarr.Pesq., B.Aires, (395):18 p.
Quirós, R. y S. Cuch, 1982 Características limnológicas del Embalse de Salto Grande. I. Cambios estacionales de ciertos parámetros físico-químico. Ecología, 7:195–224
Quirós, R., L.B. Prenski y C.R. Baigún, 1984 Relación entre resultados de ensayos de captura y factores ambientales en el embalse de Salto Grande. Contrib.Inst.Nac. Invest.Desarr.Pesq., B.Aires, (425):21 p.
Ricker, W.E., 1975 Computation and interpretation of biological statistics of fish populations. Bull.Fish.Res.Board Can., (191):383 p.
Tabla I
| MORFOMETRIA | ||
| Superficie | : | 7,8 × 108 m2 (*) |
| Volumen | : | 5 × 109 m3 |
| Profundidad media | : | 6,4 m |
| Flujo medio anual | : | 4.640 m3/seg. (*) |
| Tiempo medio de permanencia | : | 0.031 año |
| Tasa media de lavado | : | 29.4 año-1 |
| Ancho medio | : | 5,4 km |
| Longitud de costa | : | 1190 km |
| Desarrollo Costero | : | 11,9 |
| Area cuenca al norte | : | 224.000 km2 |
| CLIMA | ||
| Ubicación | : | 31° S 58° W (*) |
| Temperatura media anual | ||
| del medio ambiente | : | 19°C (*) |
| Precipitación media anual | : | 1260 1/m2 (*) |
| Velocidad media viento | : | 15km/h (direc. SW) (*) |
Tabla II
| Lugar de Muestreo | Estación | |
| Habituales | ||
| Campamento | 2 | |
| Brazo Gualeguaycito | 4 | |
| Brazo Itapebí | 6 | |
| Brazo Mandisoví | 8 | |
| Brazo Arapey | 10 | |
| Brazo Mocoretá | 12 | |
| Brazo Yacuí * | 14 | |
| Brazo Mandiyú * | 15 | |
| Ocasionales | ||
| Gualeguaycito fondo | 5 | |
| Itapebí fondo | 7 | |
| Mandisoví fondo | 9 | |
| Arapey fondo | 11 | |
| Mocoretá fondo | 13 | |
Tabla III
Detalle de las redes de la batería experimental estándar utilizada en el Embalse de Salto Grande
| TAMANO MALLA ESTIRADO (mm) | DENIER | COEFICIENTE ARMADO | No MALLAS (ALTURA) | RELINGA SUP | RELINGAINF | COLOR | EXTENSION LONGITUD (m) | DE LA RED ALTURA (m) | AREA EFECTIVA DE LA RED (m2) |
| 42 | 210 × 3 | 1/2 | 100 | PE Æ 6, PL Æ 120 | PE Æ 6, Pb 100 g | blanco | 50 | 3,65 | 182,7 |
| 50 | 210 × 3 | 1/2 | 40 | PE Æ 6, PL Æ 120 | PE Æ 6, Pb 100 g | blanco | 50 | 1,74 | 87,0 |
| 60 | 210 × 3 | 1/2 | 40 | PE Æ 6, PL Æ 120 | PE Æ 6, Pb 100 g | blanco | 50 | 2,09 | 104,5 |
| 70 | 210 × 4 | 1/2 | 40 | PE Æ 6, PL Æ 120 | PE Æ 6, Pb 100 g | blanco | 50 | 2,44 | 122 |
| 78 | 210 × 4 | 1/2 | 32 | PE Æ 6, PL Æ 120 | PE Æ 6, Pb 100 g | blanco | 50 | 2,17 | 108,5 |
| 105 | 210 × 9 | 1/2 | 22 | PE Æ 6, PL Æ 120 | PE Æ 6, Pb 100 g | blanco | 50 | 2,01 | 100,5 |
| 120 | 210 × 18 | 1/2 | 25 | PE Æ 8, PL Æ 120 | PE Æ 8, Pb 100 g | blanco | 50 | 2,61 | 130.5 |
| 140 | 210 × 18 | 1/2 | 25 | PE Æ 8, PL Æ 120 | PE Æ 8, Pb 100 g | blanco | 50 | 3,05 | 152,5 |
| 170 | 210 × 24 | 1/2 | 25 | PE Æ 8, PL Æ 120 | PE Æ 8, Pb 100 g | blanco | 50 | 3,70 | 185 |
Tabla IV
Planilla utilizada en la recolección de datos en el embalse de Salto Grande
| | GUALEGUAYCITO | MALLA: 35 | TECNICO: 6/C | TECLA: | 16/08/84 | T.AMB. 9 | SECCHI 20 | VIENTO 8 = 6.0 | No8 | ||||||||
| T.SUP. | 12 | CLR.AGUA | |||||||||||||||
| ESPECIE | LT | LF | LS | PESO | PERIMETRO | SEXO | P.G. | P.H. | REP.EST. | CONTENIDO | P.EVI. | OBSERVACIONES | |||||
| OP. | MAX. | ||||||||||||||||
| 1 | B. AMARILLO 1005 | 386 | 570 | 210 | H II | LLENO 4 | RESTOS PESCODO | 530 | |||||||||
| 2 | " | 368 | 390 | 180 | H II | VACIO 1 | 370 | ||||||||||
| 3 | " | 334 | 410 | 193 | M II | S/LLENO 3 | Resto Hoeicon | 380 | |||||||||
| 4 | " | 197 | 52 | 100 | |||||||||||||
| 5 | BOGA COMUN 418 | 290 | 220 | 195 | H II | VACIO 1 | 205 | ||||||||||
| 6 | BOGA LISA 417 | 290 | 260 | ||||||||||||||
| 7 | " | 296 | 280 | ||||||||||||||
| 8 | " | 282 | 230 | ||||||||||||||
| 9 | " | 292 | 280 | ||||||||||||||
| 10 | DORADO 406 | 280 | 235 | 150 | M II | 215 | |||||||||||
| 11 | DIENT COHUN 409 | 247 | 170 | ||||||||||||||
| 12 | DIEL JONOSADO 405 | 240 | 126 | ||||||||||||||
| 13 | CHAFSLOTE 407 | 335 | 160 | ||||||||||||||
| 14 | " | 343 | 179 | ||||||||||||||
| 15 | CONVINA 1301 | 270 | 250 | ||||||||||||||
| 16 | " | 235 | 150 | ||||||||||||||
| 17 | TROMPUDO 1004 | 245 | 89 | ||||||||||||||
| 18 | ANCHOA 201 | 179 | 33 | ||||||||||||||
| 19 | PORTENO 1001 | 80 | 3 | ||||||||||||||
Tabla V
Especies capturadas hasta la fecha en el embalse de Salto Grande
| Nombre Vulgar | Familia y Especie |
| FAM. POTAMOTRYGONIDAE | |
| Raya | Potamotrygon brumi |
| FAM. ENGRAULIDAE | |
| Anchoa | Lycengraulis olidus |
| FAM. CYPRINIDAE | |
| Carpa | Cyprinus carpio |
| FAM. TETRAGONOPTERIDAE | |
| Mojarra (1) | Holoshesthes pequira |
| Mojarra (2) | Astyanax (P.) abramis |
| Mojarra (3) | A. (A.) fasciatus fasciatus |
| Dientudo Transparente | Asiphonichthys stenopterus |
| Dientudo Jorobado | Cyrtocharax squamosus |
| Dorado | Salminus maxillosus |
| Chafalote | Raphiodon vulpinus |
| Dientudo Paraguayo | Acestrorhynchus altus |
| Dientudo | Oligosarcus hepsetus |
| Virolito | Apareiodon affinis |
| Tritolo | Characidium (Ch.) fasciatum fasciatus |
| Sabalito plateado | Curimatorbis platanus |
| Sabalito (1) | Pseudocurimata gilberti |
| Sabalito (2) | Pseudocurimata nitens |
| Sabalito (3) | Curimatinae no determinado |
| Sábalo | Prochilodus platensis |
| Boga (1) | Schizodon platae |
| Boga (2) | Leporinus obtusidens |
| Boga (3) | Shizodon nasutus |
| Trompa roja | Leporinus striatus |
| Pirapitá | Brycon orbygnianus |
| Mojarra (4) | Mojarra sin determinar |
| Sabalito (4) | Sabalito sin determinar |
| Mojarra (5) | Astyanax sin determinar |
| FAM. ERYTHRINIDAE | |
| Tararira | Hoplias malabaricus malabaricus |
| FAM SERRASALMIDAE | |
| Piraña (1) | Serrasalmus spilopleura |
| Piraña (2) | Serrasalmus nattereri |
| FAM. AGENEIOSIDAE | |
| Manduví | Ageneiosus valenciennesi |
| FAM. AUCHENIPTERIDAE | |
| Buzo | Auchenipterus muchalis |
| Torito | Parauchenipterus galeatus |
| FAM. DORADIDAE | |
| Armado | Megalodoras laevigatulus |
| Armado Chancho | Oxydoras kneri |
| FAM. PIMELODIDAE | |
| Bagre porteño | Parapimelodus valenciennesi |
| Manguruyú | Pseudopimelodus zungaro mangurus |
| Cucharón | Sorubin lima |
| Bagre Trompudo | Iheringichtys westermanni |
| Bagre Amarillo | Pimelodus clarias |
| Bagre sapo o negro | Rhamdia sapo |
| Patí | Luciopimelodus pati |
| Surubí | Pseudoplatystoma coruscans |
| FAM. CALLICHTHYDAE | |
| Tachuela | Corydoras paleatus |
| Cascarudo | Hoplosternum littorale |
| FAM. LORICARIIDAE | |
| Vieja de agua (1) | Plecostomus spp. |
| Vieja de agua (2) | Rhinelepis sp. |
| Vieja de agua (3) | Loricaria anus |
| Vieja de agua (4) | Loricaria sp. |
| FAM. SACIAENIDAE | |
| Corvina de Río | Pachyurus bonariensis |
| FAM. CICHLIDAE | |
| Chanchita | Geophagus sp. |
| Cabeza Amarga | Grenicichla sp. |
| FAM. ACHIRIDAE | |
| Lenguado | Achirus jenynsi |
| FAM. GYMNOTIDAE | |
| Banderita | Eigenmannia virescens |
| FAM. ATHERINIDAE | |
| Pejerrey | Odontesthes sp. |
Tabla VI.1
| Campamento (2) | Años | |||
| 80 | 81 | 82 | 84 | |
| Otoño | 4.8 | |||
| 13.8 | 17.7 | 41.5 | 13.7 | |
| Invierno | 11.8 | 15.6 | 8.6 | 39.0 |
| Primavera | 26.8 | |||
| 11.0 | 21.0 | 10.2 | - | |
| Verano | 50.5 | 28.1 | 9.9 | 15.4 |
| CPUE Anual | 19.7 | 20.6 | 17.6 | 22.7 |

Tabla VI. 2
| Gualeguaycito (4) | Años | |||
| 80 | 81 | 82 | 83 | |
| Otoño | 18.5 | |||
| 19.7 | 18.4 | 24.2 | 17.9 | |
| Invierno | 12.8 | 35.7 | 29.5 | 15.7 |
| Primavera | 23.8 | |||
| 28.3 | 19.6 | 13.5 | - | |
| Verano | 46.4 | 31.3 | 31.2 | 9.1 |
| CPUE Anual | 24.9 | 26.3 | 24.6 | 14.2 |

Tabla VI.3
| Itapebí (6) | Años | |||
| 80 | 81 | 82 | 84 | |
| Otoño | 6.1 | |||
| 5.4 | 5.2 | 9.6 | 13.6 | |
| Invierno | 23.9 | 27.1 | 13.0 | 11.3 |
| Primavera | 14.4 | |||
| 60.8 | 22.4 | 15.4 | - | |
| Verano | 10.7 | 23.1 | 36.4 | 22.8 |
| CPUE Anual | 20.2 | 19.5 | 18.6 | 15.9 |

Tabla VI.4
| Mandisoví (8) | Años | |||
| 80 | 81 | 82 | 84 | |
| Otoño | 3.4 | |||
| 8.1 | - | 22.2 | 18.2 | |
| Invierno | 22.6 | - | 40.3 | 29.8 |
| Primavera | 23.6 | |||
| 25.6 | - | 18.6 | - | |
| Verano | 57.8 | - | 40.9 | 13.0 |
| CPUE Anual | 23.5 | - | 30.5 | 20.3 |

Tabla VI. 5
| Arapey (10) | Años | |||
| 80 | 81 | 82 | 84 | |
| Otoño | 17.7 | |||
| 14.7 | 13.6 | 12.0 | 8.3 | |
| Invierno | 26.8 | 34.1 | 14.2 | 5.8 |
| Primavera | 19.9 | |||
| 31.9 | 29.7 | 22.0 | - | |
| Verano | 12.1 | 13.4 | 20.3 | 19.8 |
| CPUE Anual | 20.5 | 22.7 | 17.1 | 11.3 |

Tabla VI.6
| Mocoretá (12) | Años | |||
| 80 | 81 | 82 | 84 | |
| Otoño | 50.2 | |||
| 29.7 | 42.2 | 34.0 | 22.0 | |
| Invierno | 53.1 | 57.8 | 28.1 | 61.7 |
| Primavera | 82.2 | |||
| 177.5 | 114.4 | 48.8 | - | |
| Verano | 40.1 | 92.4 | 82.1 | 79.8 |
| CPUE Anual | 72.1 | 76.7 | 48.2 | 54.5 |

Tabla VII
CPUE (kg) de las especies de interés comercial. Verano 1984
| Especie | CAMP.2 | GUAL.4 | GUAL.5 | ITAP.6 | ITAP.7 | MAND.8 | MAND.9 | ARAP.10 | ARAP.11 | MOCOR.12 | MOCOR.13 | Total |
| Bagre amarillo | 0 | 0 | 0.57 | 0.20 | 0 | 0 | 0.70 | 0 | 0 | 0.30 | 1.63 | 3.40 |
| Bagre | 0.47 | 0 | 1.29 | 0.20 | 0 | 0.93 | 3.72 | 0.13 | 0.17 | 1.03 | 0.31 | 8.25 |
| Dorado | 0.19 | 2.27 | 1.08 | 2.45 | 0 | 0.77 | 3.10 | 6.19 | 0.52 | 4.78 | 0 | 21.35 |
| Manduví | 2.93 | 1.08 | 2.04 | 0.55 | 0 | 1.42 | 9.58 | 0.13 | 4.35 | 9.66 | 6.89 | 38.63 |
| Patí | 5.94 | 0.81 | 0 | 10.46 | 0 | 1.09 | 3.57 | 1.15 | 2.05 | 3.46 | 0.37 | 28.90 |
| Sábalo | 3.18 | 2.41 | 0 | 0.98 | 0.54 | 2.62 | 67.49 | 6.38 | 19.65 | 15.60 | 3.33 | 122.18 |
| Tararira | 0.82 | 0 | 9.33 | 0.81 | 3.91 | 0 | 2.79 | 0 | 0 | 0.86 | 4.01 | 22.53 |
| Total | 13.53 | 6.57 | 14.31 | 15.65 | 4.45 | 6.83 | 90.95 | 13.98 | 26.74 | 35.69 | 16.54 |

Figura 1 - Embalse de Salto Grande
CPUE (kg) DE LAS ESPECIES DE PECES DE INTERES COMERCIAL EN EL CENTRO DE LOS BRAZOS

FIGURA 2
CPUE (kg) DE LAS ESPECIES DE PECES DE INTERES COMERCIAL EN EL FONDO DE LOS BRAZOS

FIGURA 3