por
Silvina A. Menu Marque y María Cristina Marinone
Instituto Nacional de Investigación y Desarrollo Pesquero
Buenos Aires, Argentina
Resumen
El conocimiento de los lagos de la Patagonia argentina es aún escaso y se refiere sólo a descripciones faunísticas. Este trabajo presenta resultados sobre aspectos cuantitativos (densidad y biomasa) y funcionales de las comunidades zooplanctónicas de seis lagos de la provincia de Chubut.
Con el análisis de la abundancia y estructura de las comunidades del zooplancton los autores esperan tipificar zoogeográficamente y estudiar las relaciones tróficas de estos ecosistemas.
Abstract
Information concerning the lakes of the Argentine Patagonia is still scarce, refering to only faunistic descriptions. The present study provides data on certain functional and quantitative aspects (density and biomass) of the zooplankton communities of six lakes of the province of Chubut.
By analyzing the abundance and structure of the zooplancton communities the authors hope to provide a zoogeographic typology of these ecosystems and study their trophic relationships.
1. INTRODUCCION
La inclusión de este estudio dentro del programa de investigación de lagos de la provincia de Chubut, tiene por objeto lograr una caracterización más completa de los ambientes considerados, ya que la comunidad del zooplancton es un componente clave de los ecosistemas pelágicos de aguas continentales. Del análisis de la abundancia y estructura del zooplancton, surgen tipificaciones de los lagos, desde el punto de vista zoogeográfico y trófico, pudiéndose inferir las vías energéticas dominantes y relaciones con las poblaciones ícticas (Sprules, 1980; Armengol, 1980; Mills y Schiavone, 1982).
Datos de este tipo permiten cotejar los ambientes en el plano regional y aún global, posibilitando ulteriores generalizaciones de tipo predictivo, una vez que se haya estudiado un mayor número de cuerpos de agua en el extremo sur de nuestro continente.
Los presentes resultados sobre ambientes acuáticos de Chubut, tienen la relevancia de constituir un primer paso hacia el conocimiento cuantitativo (densidad y biomasa) y funcional de las comunidades zooplanctónicas de nuestros lagos patagónicos, ya que se carece de información previa al respecto. Los únicos antecedentes que se registran para el zooplancton de esta región, son estudios de tipo faunístico.
Los datos obtenidos, si bien no son definitivos, (se espera completar dos ciclos anuales para poder hacer un análisis más exhaustivo), permiten ya realizar algunas aproximaciones y comparaciones con ambientes similares ampliamente estudiados en el hemisferio Norte. Dado que la estructura trófica de dichos lagos no coincide totalmente con la de los aquí tratados (que no poseen cladóceros predadores ni especies de peces planctófagos estrictos (Margalef, 1983)), algunas de las comparaciones tienen un valor tentativo, particularmente las referidas a modelos de interacción zooplanton-peces.
La actual descripción de los ambientes chubutunses servirá de base para el monitoreo de las alteraciones que puedan producirse en el futuro, ante el manejo de las poblaciones ícticas (establecimiento de pesquerías o introducción de especies) o ante el deterioro de la calidad del agua; puesto que será posible advertir cambios en la abundancia y en la estructura de la comunidad zooplanctónica.
2. METODOLOGIA
Los muestreos se efectuaron con una frecuencia trimestral, en coincidencia con las campañas de reconocimiento químico y pesquero. Actualmente se cuenta con datos desde febrero de 1983 hasta marzo de 1984 (4 fechas en Chultas, Esquel y Ameghino y 5 en los restantes lagos). Las muestras se extrajeron por arrastre vertical, desde 1–2 m por encima del fondo hasta la superficie, con una red cónica de 40 cm de diámetro de boca y 55 μ de abertura de malla. Las estaciones de muestreo se ubicaron aproximadamente en la zona central de cada lago. La fijación se realizó “in situ”, con formol hasta lograr una dilución del 5 por ciento. La metodología aplicada fué escogida por ser una de las más adecuadas para este tipo de estudios y permite asimismo obtener resultados comparables con los de la bibliografía existente (Watson, 1974; Patalas, 1975; Pederson, Welch y Litt, 1976; Fuller, Stemberger y Gannon, 1977; Stenson et al., 1978; Mills y Schiavone, 1982; Bays y Crisman, 1983).
Cada muestra fué llevada en laboratorio a un volumen conocido para su recuento en alícuotas. Los organismos más pequeños (rotíferos y nauplii) se extrajeron con pipeta de Hensen-Stempel de 1 ml y su conteo se realizó en cámara de Sedgwick-Rafter bajo microscopio (40 a 100 aumentos). Los organismos de mayor tamaño (cladóceros y copépodos) fueron contados bajo microscopio estereoscópico (24 a 50 aumentos) en cámara de Bogorov, extrayéndose alícuotas de 5 ml con submuestreador de Russell. El número de alícuotas examinado en cada caso fue determinado de acuerdo a las recomendaciones de Cassie (en Edmondson y Winberg, 1971) con el objeto de mantener el error de las estimaciones por debajo del 10 por ciento.
Los organismos fueron determinados a nivel específico e infraespecífico, discriminándose en el caso de los copépodos los siguientes estadios: nauplii, copepoditos (calanóideos y ciclopóideos) machos y hembras adultos (como especies).
De cada muestra y de cada categoría de organismos se midieron con micrómetro (máximo error 10 por ciento) hasta 100 ejemplares.
Las densidades resultantes fueron expresadas como individuos por litro para la columna de agua, siendo las abundancias relativas proporcionales a las verdaderas densidades, pues se consideró una eficiencia de filtración de red de 100 por ciento, hasta tanto no se determinen los factores de ajuste para cada uno de los ambientes.
Para la transformación de las tallas medidas a peso seco, se emplearon las fórmulas de Dumont et al. (1975) y de Botrell et al. (1976) para los crustáceos, y las fórmulas volumétricas de Ruttner-Kolisko (1977) para los rotíferos.
Los valores de biomasa para toda la comunidad, fueron expresados como μg de peso seco por litro para la columna de agua.
3. RESULTADOS
3.1 Composición específica de las comunidades zooplanctónicas
3.1.1 Especies presentes y dominancia. Hasta el momento para el total de los ambientes considerados, han sido identificadas 52 especies, 10 de ellas no limnéticas y de presencia ocasional (bentónicas y litorales). Del total, 30 especies corresponden a rotíferos, 14 a cladóceros y 8 a copepódos (Tabla I).
- Lago Chultas
Los copepódos están representados por dos especies limnéticas con la aparición esporádica de una bentónica. La especie dominante es Boeckella gracilipes. Son 3 las especies de cladóceros limnéticos (la principal Ceriodaphnia quadrangula), más 2 bentónicas ocasionales. Entre los rotíferos se cuentan 7 especies típicamente limnéticas y 2 bentónicas. Dominan Pompholyx sulcata y Keratella thomassoni.
- Lago Rosario
Sólo 2 especies de copépodos se encuentran en este lago, dominando Boeckella michaelseni. Los cladóceros son 3, el dominante es Ceriodaphnia quadrangula. Hay 10 rotíferos limnéticos y uno bentónico; los principales son Keratella thomassoni y Polyarthra vulgaris.
- Laguna Esquel
Hay 3 especies de copépodos con dominancia de Boeckella gracilipes. Entre los cladóceros 2 de ellos son limnéticos y uno es bentónico, dominando Ceriodaphnia quadrangula. De las muy escasas especies de rotíferos, 2 son pelágicas y una bentónica de rara aparición con predominio casi exclusivo de Polyarthra dolichoptera.
- Lago Musters
Posee 3 especies de copépodos, siendo la más frecuente Boeckella meteoris. Hay dos especies de cladóceros netamente limnéticos (la principal Bosmina huaronensis) y 2 especies bentónicas o litorales. Las especies de rotíferos limnéticos son 13 y la más importante es Filinia longiseta var. limnetica sólo ocasionalmente aparece una especie bentónica.
- Lago Colhue Huapi
Cuenta con 4 copépodos con dominancia de Boeckella meteoris. Los cladóceros presentes son 5 y sólo Daphnia sarsi fue hallada en todas las fechas de muestreo. Hay 14 rotíferos pelágicas y un ticoplanctonte raro. Domina Keratella kostei.
- Embalse Ameghino
Hay 3 especies de copépodos entre las que domina Boeckella meteoris. Posee 4 cladóceros limnéticos y uno bentónico, el principal es Bosmina huaronensis. Hay 14 especies de rotíferos limnéticos, entre las cuales domina Synchaeta cf. oblonga, y sólo 2 bentónicas.
3.1.2 Diversidad específica. Dada la cuestionable validez de otros índices de diversidad de uso generalizado, se la consideró en su forma más simple, como el número de especies halladas (Poole, 1974; Green, 1979; Cuba, 1981).
Los ambientes estudiados se ordenan en escala de diversidad creciente en la siguiente forma:
Esquel < Chultas < Rosario < Musters < Ameghino < Colhue Huapi
Este esquema es válido considerando tanto el número total de especies halladas, como las especies limnéticas solamente. También se calculó el número promedio de especies por lago, obteniéndose la misma secuencia que para el total de especies halladas:
| Esquel | Chultas | Rosario | Musters | Ameghino | Colhue Huapi | |
| No | 5,8 | 10 | 10,4 | 11,4 | 15,3 | 15,8 |
Se puede apreciar que la diversidad es menor en los lagos cordilleranos que en los de la estepa patagónica. En la laguna Esquel la diversidad es extremadamente baja y las densidades sumamente altas (Tabla II).
El mayor aporte a la diversidad lo realizan los rotíferos, excepto en Esquel donde el macrozooplancton cuenta con mayor número de especies.
3.1.3 Afinidades taxonómicas. A partir de los datos previamente expuestos (Tabla I) se construyó una matriz de afinidades utilizando el índice de Jaccard:

El procedimiento se aplicó a especies totales y especies limnéticas. Los esquemas resultantes son similares en ambos casos. El dendrograma de afinidades que se presenta (Fig. 1) es el correspondiente a especies limnéticas, que consideramos las más representativas.
De dicho gráfico se desprende que los ambientes de mayor similitud faunística son los lagos Chultas y Rosario. Por otra parte son entre sí muy similares Musters y Colhue Huapi, que agrupan a un menor nivel de afinidad con el embalse Ameghino. La laguna Esquel queda distanciada del resto de los cuerpos de agua fundamentalmente debido a su baja diversidad, ya que las especies presentes no difieren de las de los otros ambientes.
El agrupamiento así obtenido está muy relacionado con la ubicación geográfica (características edáficas y climáticas) de los cuerpos de agua, como ya lo observara Sprules (1980), pues los dos grupos más evidentes, corresponden a los lagos cordilleranos por una parte y a los ambientes de la estepa por la otra.
Algunos ambientes se caracterizan por la presencia de especies exclusivas de gran fidelidad ecológica, tal como Colhue Huapi que es un cuerpo de agua de poca profunidad y elevadas salinidad y turbidez, donde se encuentran Parabroteas sarsi, Daphnia sarsi y Keratella kostei, que son especies comunes en lagos de tal tipología en nuestro país.
Las especies halófilas del género Brachionus son características de los lagos de la meseta. Por su parte Notholca haueri especie estenoterma fría sólo aparece en los lagos andinos.
En los lagos de la estepa patagónica hallamos Bosmina huaronensis, mientras que Bosmina chilensis caracteriza a los lagos de la cordillera.
3.2 Densidades y biomasas
En base al promedio de los muestreos (Tablas II y III), los ambientes estudiados se ordenaron en escala creciente según sus densidades y biomasas.
Si se considera el zooplancton total o el macrozooplancton (copepoditos, copépodos adultos y cladóceros), tanto en número como en biomasa el ordenamiento obtenido es:
Ameghino < Musters < Chultas ≤ Rosario < Colhue Huapi « Esquel
Para el total del zooplancton, los valores extremos de numerosidad son 26,9 ind./1 para el embalse Ameghino y 265,1 ind./1 para la laguna Esquel; en tanto que las biomasas para estos mismos ambientes son respectivamente de 13,9 μg/1 y 900,5 μg/1.
Aunque se realizaran correcciones por posibles diferencias en la eficiencia de filtración de la red, para los ambientes donde se sospecha una mayor obstrucción de la malla por el fitoplancton (Musters, Rosario y Ameghino), los valores obtenidos para Esquel se mantendrían no obstante por encima de los demás, pues supera a todos ellos en aproximadamente un orden de magnitud.
Teniendo en cuenta los rotíferos los ordenamientos resultantes son, según la numerosidad:
Ameghino ≤ Musters < Chultas ≤ Esquel < Rosario ≤ Colhue Huapi
Según la biomasa:
Chultas ≤ Ameghino < Musters < Rosario ≤ Esquel « Colhue Huapi
Dichos esquemas coinciden parcialmente con los expuestos para crustáceos y vuelven a destacarse Colhue Huapi y Esquel. Dado que en todos estos ambientes los principales componentes de la biomasa de zooplancton, son los crustáceos surgen nuevamente similitudes entre Chultas y Rosario. El ambiente más pobre tanto en densidad como en biomasa, es el embalse Ameghino; mientras que en el extremo opuesto de la escala se encuentra Esquel.
Las cantidades medias de rotíferos presentes (Tabla II), son comparables a las de lagos oligotróficos del norte de Europa o a lagos de alta montaña de Europa central, o sea que se trata de densidades relativamente bajas. La máxima abundancia promedio hallada (128,1 ind./l) es la correspondiente a Colhue Huapi y equivale a la de lagos eutróficos de regiones templadas y en particular a la de lagunas salobres de Europa central (Herzig, 1979).
Considerando las biomasas totales medias (Tabla III), éstas corresponden en Rosario, Musters y Ameghino a las de otros lagos profundos con estratificación térmica, que son oligo a mesotróficos. Chultas se ajusta asimismo a los valores de biomasas que presentan otros lagos de su tipo (con una profundidad media cercana a los 10 m), considerados oligo a mesotróficos. Por su parte Esquel y Colhue Huapi tienen biomasas coincidentes con las de ambientes polimícticos, poco profundos (profundidad media menor de 5 m), ampliamente estudiados. La biomasa media de Colhue Huapi muestra un máximo de similitud con lagos salobres y de elevada turbidez mientras que la hallada en Esquel, se encuentra entre los valores máximos registrados para ambientes lagunares de tipo eutrófico templado (Herzig, 1979).
3.3 Estructura de las comunidades
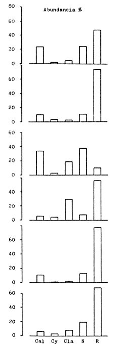
3.3.1 Abundancias relativas de los grupos taxonómicos principales. Considerando las densidades promedio de los muestreos analizados, como porcentajes de calanóideos, ciclopóideos, cladóceros, nauplii y rotíferos (Fig. 2), los organismos más numerosos en casi todos los ambientes son los rotíferos (lo que no se ve expresado como una biomasa importante dado su reducido porte). Sólo en la laguna Esquel son superados por los otros grupos. Les siguen en importancia numérica los nauplii, salvo en el lago Musters donde los cladóceros son muy abundantes. El microzooplanton (rotíferos y nauplii) es especialmente numeroso en los meses de verano excepto en Esquel.
3.3.2 Biomasas relativas de los grupos taxonómicos principales. Teniendo en cuenta las biomasas medias porcentuales de calanóideos, ciclopóideos, cladóceros, nauplii y rotíferos (Fig. 3), surge que en todos los lagos excepto Musters, dominan los copépodos calanóideos.
Dichos ambientes que podrían llamarse “lagos de copépodos”, no corresponden exactamente a los así denominados en el hemisferio Norte; ya que éstos suelen presentar una mayor proporción de ciclopóideos, mientras que en nuestros lagos, gran parte de la biomasa corresponde a calanóideos. Dado que estos copépodos son organismos de baja tasa de renovación poblacional, según Margalef (1983) se ajustan mejor a ecosistemas maduros. De acuerdo con la literatura, los calanóideos se asocian a reducidos niveles de nutrientes (Gliwicz, 1969; McNaught, 1975; Gannon y Stemberger, 1978) y a moderada predación (Brooks y Dodson, 1965; Stenson et al., 1978; Sprules, 1980).
En segundo término de importancia, aparecen los cladóceros, que son los más conspicuos componentes de la biomasa en el lago Musters. Sólo en Rosario los copépodos ciclopóideos alcanzan una biomasa considerable y parecen afectar por su acción predatoria al grupo de los cladóceros.
El microzooplancton representa en el embalse Ameghino una fracción considerable de la biomasa, pero no alcanza niveles típicamente eutróficos (Gliwicz, 1969). A excepción de Esquel, en verano, el microzooplancton (rotíferos y nauplii) adquiere una mayor importancia relativa en todos los lagos, lo cual coincide con lo observado en otras zonas templadas (Fuller et al., 1977).
Para facilitar la interpretación de los resultados si sólo comparamos los ambientes profundos (excluyendo la laguna Esquel y el lago Colhue Huapi) vemos nuevamente que el lago Musters tiene una composición zooplanctónica en la que dominan los cladóceros, mientras que en los otros ambientes lo hacen los calanóideos. Esto indicaría un mayor grado trófico de Musters con respecto a los otros ambientes (McNaught, 1975); lo cual coincide con los niveles de nutrientes medidos y con la presencia de cianófitas durante todo el año.
3.3.3 Abundancias relativas y absolutas de las categorías tróficas principales del macrozooplancton. Se realizó una aproximación de este tipo con el objeto de identificar diferencias funcionales de las comunidades bajo estudio. El microzooplancton no se considera en este análisis, pues por su reducido tamaño no está sometido a predación importante por los peces (cuya acción sobre el zooplancton nos interesa evaluar). El micro-zooplancton constituye el alimento básico de los peces sólo durante las más tempranas fases de su desarrollo, luego de la reabsorción del saco vitelino.
De acuerdo a Armengol (1980) y a otros investigadores, los crustáceos planctónicos de las muestras se agruparon en 5 categorías tróficas (Tabla IV) que también tienen relación con las tallas de los organismos, a saber:
Copépodos macrófagos carnívoros
Copépodos filtradores
Copépodos macrófagos herbívoros
Cladóceros microfiltradores
Cladóceros macrofiltradores
Los copepoditos ciclopóideos fueron asignados al grupo III que preferiríamos tratar como omnívoro. En cuanto al género Diaphanosoma que Armengol incluye entre los microfiltradores, en coincidencia con Nilssen (1976) optamos por agruparlo con los macrofiltradores.
Al considerar los niveles tróficos de los crustáceos, hacemos una simplificación aproximativa al obviar los cambios que ocurren a través de los distintos estadios de desarrollo de los cladóceros y entre diferentes etapas de copepoditos.
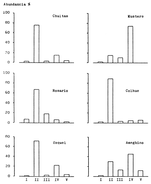
En base a esta clasificación y teniendo en cuenta las abundancias promedio, se calcularon los porcentajes de cada categoría en cada lago (Fig. 4). En todos los casos menos Musters y Ameghino, la comunidad está dominada por el grupo II que corresponde al de los copépodos filtradores. El lago Rosario es el que tiene las más elevadas proporciones de copépodos ciclopóideos (grupos I y III). El lago Musters carece de representantes del grupo V y dominan en él los cladóceros microfiltradores (IV). En el embalse Ameghino el grupo IV es asimismo el más numeroso, situación que es frecuente en ambientes inestables y en embalses (Armengol, 1980; Margalef, 1983).
Para facilitar la comparación entre los 6 ambientes estudiados, se realizaron 2 análisis de componentes principales (Davis, 1973) en base a las densidades de los diferentes grupos tróficos del macrozooplancton, normalizadas o transformadas según ln (X + 1). Se consideraron ambos enfoques, puesto que no podemos establecer cual de ellos explica mejor la estructura trófica de las comunidades y cada uno aclara distintos aspectos del problema.
Como se observa, las 2 primeras componentes, por sí solas representan en el primer caso el 95,80 por ciento de la varianza de los datos, en tanto que en el segundo, el 94,75 por ciento.
Los gráficos resultantes (Fig. 5a, y b) muestran que el ambiente que más se aparta de los restantes es la laguna Esquel, fundamentalmente por sus elevadas abundancias de organismos.
En el gráfico 5a, se observa que el lago Rosario se ubica alejado de los demás, lo cual se explica por ser el único ambiente con elevada cantidad de copépodos ciclopóideos (ver tabla de componentes principales para los datos normalizados), que corresponden a los grupos tróficos I y III (componente 2).
Del gráfico 5b, se desprende que los ambientes funcionalmente más parecidos serían Chultas y Rosario, que son lagos cordilleranos relativamente próximos. Estos a su vez se agrupan con Colhue Huapi, que como ya se dijo es un lago muy peculiar, difícilmente comparable con los demás por sus excepcionales características. Estos 3 ambientes se agrupan dadas las elevadas cantidades de grupo II y escasos representantes de grupo IV. Otro grupo de afinidad lo constituyen Musters y Ameghino, lagos bastante profundos situados en la meseta patagónica, con cantidades relativamente altas de grupo IV y pequeñas cantidades de grupo II (Fig. 4, ver componente 2 del análisis con variables transformadas logarítmicamente).
| Datos normalizados componentes principales | Datos logaritmizados componentes principales | |||
| Raíz característica % de la varianza | 1 | 2 | 1 | 2 |
| 3,929 | 0,861 | 2,816 | 0,910 | |
| 78,58 | 17,22 | 71,61 | 23,14 | |
| variables | ||||
| I | 0,394 | -0,637 | 0,101 | -0,074 |
| II | 0,482 | 0,288 | 0,766 | -0,534 |
| III | 0,429 | -0,507 | 0,164 | 0,082 |
| IV | 0,458 | 0,351 | 0,513 | 0,835 |
| V | 0,467 | 0,362 | 0,336 | -0,076 |
Los copépodos filtradores que son tan importantes en nuestros lagos están representados en esta zona de América del Sur por la familia Boeckellidae. Tan elevadas abundancias relativas de copépodos calanóideos filtradores (aunque de otras familias), sólo han sido registradas en lagos en extremo oligotróficos de otras regiones (Brooks y Dodson, 1965; Patalas, 1975; Davis, 1978). Proporciones comparables de Boeckellidae y Diaptomidae fueron halladas por Dominguez y Zuniga (1979) en el lago Ranco (Provincia de Osorno, Chile). Lo encontrado en Chubut, implica un punto de partida muy interesante para ahondar en investigaciones sobre la eficiencia de filtración, respuesta evasiva ante la predación y dinámica poblacional de los Boeckellidae.
La dominancia de cladóceros microfiltradores en el lago Musters podría explicarse por una intensa predación de los peces sobre los grupos que aparecen escasamente representados (Zaret, 1978). En el caso de Ameghino también parece ser importante la predación por los peces, pero aquí existe el grupo V representado por Diaphanosoma chilense, que no obstante su considerable talla es poco visible y poco vulnerable a la captura por los peces.
Es notable la pobreza de elementos planctónicos carnívoros en todos los cuerpos de agua estudiados, a excepción de Colhue Huapi donde la abundancia de Parabroteas sarsi, organismo de gran tamaño, no refleja la magnitud de su biomasa. En Colhue Huapi la elevada turbidez puede llegar a atenuar o a modificar el comportamiento predatorio de los peces sobre el zooplancton, aquí dominado por organismos de gran talla que se verían favorecidos en el caso de predación por invertebrados (Zaret, 1978). La presencia de Parabroteas sarsi implica una fuerte predación potencial sobre las demás categorías del zooplancton a través de mecanismos no visuales de detección.
En la laguna Esquel la alimentación de los peces durante la mayor parte del año depende probablemente de organismos bentónicos y asociados a la abundante macrofitia, lo que explicaría las elevadas densidades de zooplancton de tallas grandes, muy coloreados y fácilmente visibles como presa. Es posible que los Boeckellidae posean una veloz respuesta de escape. Serán necesarios exámenes de contenidos estomacales de peces para resolver este interesante problema.
La ausencia de peces estrictamente planctófagos en su fase adulta en nuestros lagos dificulta la comparación con estudios similares efectuados en otras latitudes, donde la predación sobre el zooplancton es fuerte y continuada. Por otra parte, nuestros ambientes presentan comunidades de peces heterogéneas que seguramente implican diferentes interacciones con el recurso zooplanctónico.
Se plantea la necesidad de conocer con mayor detalle las preferencias tróficas de nuestros peces. De los pocos datos disponibles, surge que la especie que explota durante un lapso más prolongado de su vida el zooplancton es el “pejerrey”; pero es difícil generalizar, pues su oportunismo hace que sus hábitos varíen notablemente de un ambiente a otro.
Algunos autores consideran que las comunidades dominadas por filtradores sometidos a escasa presión de predación dan lugar a cadenas tróficas de tipo detrítico (Wetzel, 1975), lo que podría ocurrir en algunos de los lagos estudiados.
3.3.4 Tallas promedio del macrozooplancton. El ordenamiento de los ambientes de acuerdo al tamaño promedio creciente (en μ) de los crustáceos, es el siguiente:
| Musters | Ameghino | Rosario | Chultas | Esquel | Colhue Huapi | |
| Talla | 550 | 610 | 765 | 773 | 883 | 895 |
Se observa que los cuerpos de agua de poca profundidad (Esquel y Colhue Huapi), presentan las mayores tallas. Como ya se señalara, esto respondería a la explotación de otro recurso trófico por los peces en estos ambientes.
En los restantes lagos, el gradiente de tamaños es exactamente inverso al de la CPUE, lo cual podría relacionarse con un incremento de la intensidad de predación, como reiteradamente se discute en la bibliografía (Hrbácek, 1962; Brooks y Dodson, 1965; Galbraith, 1967; Hutchinson, 1971; Stenson, 1972; Giussani, 1974; Northcote y Clarotto, 1975; Nilsson, 1978; Mills y Schiavone, 1982; Margalef, 1983).
Por su parte, para el conjunto de lagos profundos, se verifica una relación inversa entre la talla promedio y el grado trófico, representado por las variables químicas, la turbidez y la clorofila.
Lo expresado para la talla media del macrozooplancton, también es válido si se considera la talla media de los cladóceros:
| Musters | Ameghino | Rosario | Chultas | Esquel | Colhue Huapi | |
| Talla | 462 | 492 | 622 | 753 | 929 | 1291 |
En este caso, la reducción de tamaño ante el aumento de la CPUE, es aún más pronunciada que para el total del macrozooplancton (excluyendo de la relación a Esquel y Colhue Huapi).
3.4 Fluctuaciones estacionales de las comunidades zooplanctónicas
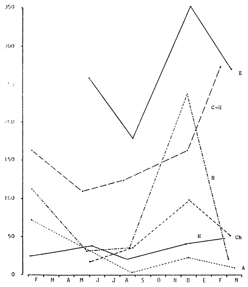
3.4.1 Variaciones de la abundancia numérica. En todos los ambientes estudiados la máxima abundancia numérica de la comunidad se registró en los meses cálidos (Fig. 6 y Tabla II). En general los mínimos son invernales (mayo–agosto). Las fluctuaciones de las diversas taxocenosis no son totalmente coincidentes. La abundancia está regida por los rotíferos que son los determinantes del patrón general (Fig. 2).
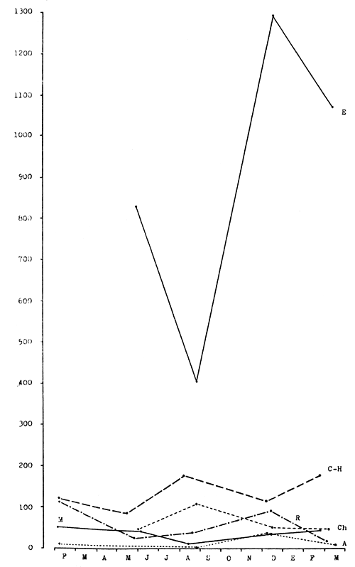
3.4.2 Variaciones de la biomasa. Considerando el total del zooplancton, que en este caso equivale prácticamente a la biomasa de macrozooplancton (Fig. 7 y Tabla III), se observa con mucho menor definición el esquema de máximos en los meses cálidos y mínimos en los meses fríos expuesto para las densidades.
En el lago Chultas se registró un máximo de biomasa en el mes de agosto y una posterior disminución primaveral, tal vez debida al arrastre de organismos por efecto del deshielo y aumento de la descarga del efluente de este ambiente relativemante pequeño.
La biomasa está regida en casi todos los casos por los copépodos calanóideos y en particular por los copepoditos (Fig. 3). Tanto las fluctuaciones de la biomasa como de la abundancia del zooplancton siguen el ciclo conocido en otros lagos templados (Watson, 1974; Herzig, 1979).
3.4.3 Reemplazo de especies. Durante el ciclo anual los distintos componentes de las comunidades tratadas, alternan sus dominancias siendo particularmente evidente la aparición o incremento numérico de especies termófilas, tales como Diaphanosoma chilense, Collotheca mutabilis y varias especies de Brachionus, en los meses cálidos.
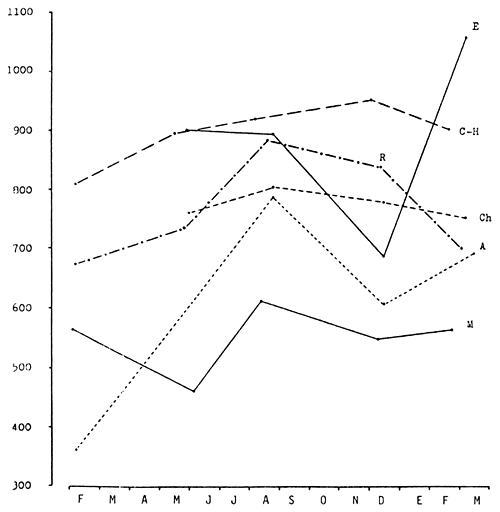
3.4.4 Ciclo de tallas y biomasas individuales promedio del macrozooplancton. En el presente análisis, sólo se han considerado los crustáceos, por ser los organismos sobre los cuales se espera el mayor impacto de la predación íctica.
Durante el ciclo anual procesado (Fig. 8) en los lagos Chultas, Rosario, Musters y en el embalse Ameghino, la talla promedio máxima del macrozooplancton se alcanzó en invierno (agosto). Por el contrario en los dos cuerpos de agua de poca profundidad la talla máxima correspondió a los meses cálidos: diciembre en Colhue Huapi y marzo en Esquel.
Las tallas mínimas promedio se observaron al final del verano (marzo) en Chultas, Rosario, Ameghino y Colhue Huapi, mientras que en Esquel la menor talla media correspondió al mes de diciembre y en Musters a junio.
Si se calcula la biomasa individual promedio, los resultados coinciden totalmente con los de las tallas en su fluctuaciones.
Sin pretender establecer una relación causal taxativa, hasta tanto se disponga de mayor información sobre la dinámica de las poblaciones ícticas y planctónicas en estos cuerpos de agua, podríamos atribuir la disminución de tamaños registrada en los meses de verano, a la predación ejercida por peces juveniles, que generalizando, aparecen en primavera.
Se observa que la pendiente de decremento de las tallas entre agosto y diciembre es directamente proporcional a la captura por unidad de esfuerzo (CPUE) de peces media anual para cada ambiente (excluído Colhue Huapi), lo cual estaría reflejando como extremos, un máximo de predación en Esquel y un mínimo en Chultas. Mills y Schiavone (1982) obtienen regresiones con pendiente negativa, entre las tallas del zooplancton y el peso de peces planctívoros, lo que toman como índice de predación incrementada. La ausencia de grandes predadores invertebrados (a excepción de Colhue Huapi), simplifica dicho análisis.
Este mismo ciclo de fluctuación de las tallas, con mínimas estivales e incremento durante dicho período de la importancia relativa del microzooplancton, ya ha sido investigado en lagos del hemisferio Norte, donde se lo relaciona tanto con el aumento del metabolismo de los planctontes, como con la predación por los peces (Culver, 1980).
El asincronismo que se verifica entre las fluctuaciones aludidas en los distintos ambientes, sería tamién un índice de las diferencias funcionales que existen entre ellos.
3.5 Relaciones entre el zooplancton y los factores ambientales
Los resultados de las relaciones con los diferentes parámetros abióticos y biológicos, varían fundamentalmente según se tome en cuenta el conjunto de los ambientes o si por el contrario se consideran sólo los correspondientes a los 4 cuerpos de agua profundos. El incluir en el análisis una pequeña laguna y un lago salobre, impide la visualización de un esquema general aplicable a un grupo de ambientes más homogéneo.
La biomasa de zooplancton total representa para todos los lagos estudiados, prácticamente la biomasa de copépodos, particularmente la de calanóideos; por lo tanto esta última es la fracción de la comunidad que tiene mayor peso en las relaciones que luego se exponen. Por su parte la talla media del macrozooplancton está influída fundamentalmente por el grupo más abundante, que es el de los copepoditos calanóideos.
La numerosidad en cambio, refleja mayormente a los rotíferos; excepto en el caso de la laguna Esquel.
Si bien sólo se encuentran procesados los datos correspondientes a un año, se observan ciertas tendencias que pasamos a enumerar.
3.5.1 Relaciones en el conjunto de los cuatro lagos profundos. La biomasa de zooplancton total, manifiesta una relación inversa con todas las variables químicas, siendo especialmente significativas con el fósforo total y con la turbidez.
Igualmente inversa es la relación con la profundidad media y la temperatura media ambiente anual. Por su parte la altura de los lagos sobre el nivel del mar, presenta una relación directa.
La biomasa del zooplancton aparece inversamente relacionada con la concentración de clorofila equivalente y con la CPUE.
Todas estas relaciones se acentúan si se considera sólo la biomasa de copépodos, y este efecto es aún más notable al tener en cuenta exclusivamente la biomasa de calanóideos. Enfocando el problema desde otro punto de vista, si tomamos la biomasa de calanóideos como porcentaje de la biomasa total o como porcentaje numérico de los filtradores del grupo II dentro del macrozooplancton las aludidas relaciones resultan reforzadas.
Los ambientes donde la biomasa es más baja son justamente aquellos donde la proporción de calanóideos es menor y en los que cobran mayor importancia los cladóceros. Se sabe que los copépodos tienen ciclos de vida largos mientras que los cladóceros poseen elevadas tasas de renovación poblacional (Allan, 1976). Por lo tanto a menor biomasa correspondería mayor producción de zooplancton.
La talla promedio del macrozooplancton, por representar básicamente a los calanóideos, repite el esquema de relaciones anteriormente expresado. Por su parte, la talla media de los cladóceros, también cumple dichas relaciones.
La biomasa de rotíferos tomada como porcentaje de la biomasa total, presenta una relación directa con las variables químicas (especialmente con el fósforo total), con la turbidez y con la CPUE (Allan, 1976). La proporción de estos organismos en la biomasa total, se relaciona directamente con el estado trófico del lago (Gliwicz, 1969; Gannon y Stemberger, 1978; Bays y Crisman, 1983).
Contrariamente a lo que ocurre con los calanóideos, la relación con la temperatura media ambiente anual es directa, mientras que con la altitud del lago es inversa.
Considerando la densidad del zooplancton total, las relaciones guardan la misma tendencia que con la biomasa, pero resultan más débiles. Estas mejoran hasta hacerse muy significativas cuando se toma sólo la densidad de calanóideos, obteniéndose valores similares a los calculados para las biomasas de dicho grupo.
3.5.2 Comparación con ambientes pocos profundos. Los dos cuerpos de agua de escasa profundidad presentan biomasas y densidades notablemente superiores a las restantes, como así también las mayores tallas promedio para el macrozooplancton.
Si se aplica el análisis anterior a los 6 ambientes, se obtienen resultados contradictorios, de dificultosa interpretación.
No obstante, el conjunto exhibe una relación directa de la diversidad específica con la temperatura media ambiente anual e inversa con la altitud del lago.
4. CONCLUSIONES
Del presente análisis de la comunidad del zooplancton surge en resumen que:
Los lagos cordilleranos, Rosario y particularmente Chultas, serían los menos productivos entre los ambientes estudiados. Chultas parece presentar la menor intensidad de predación por los peces.
Los lagos de la meseta tienen mayor grado trófico que los de cordillera.
En la Laguna Esquel la comunidad del zooplancton, por su estructura de tallas, no denota una predación continuada de tipo selectivo por los peces. Por otra parte su biomasa es comparable a la de ambientes eutróficos, mientras que la estructura de la comunidad es similar a la de lagos poco productivos.
En el lago Colhue Huapi el recurso zooplancton, por su talla, no parece ser apreciablemente utilizado por los peces. Dadas las características singulares de este ecosistema, ellos explotarían otras fuentes de alimento. Sería un caso similar a Esquel, con elevada biomasa y dominancia de los macrofiltradores.
El lago Musters, no obstante su contingüidad geográfica con el Colhue Huapi, exhibe grandes diferencias funcionales con el mismo. Se trata de un ambiente muy productivo (la comunidad está dominada por organismos de alta tasa de renovación), donde los peces parecen ejercer un intenso efecto predatorio sobre el zooplancton.
El embalse Ameghino se muestra como de moderado grado trófico, con una comunidad zooplanctónica bien explotada por la población íctica.
La abundancia porcentual de copépodos filtradores en el macrozooplancton (por relación inversa) o el porcentaje de la biomasa de zooplancton representado por los rotíferos (por relación directa), serían buenos indicadores de la producción pesquera potencial en ambientes típicamente lacustres.
Para el mismo tipo de ambientes, también serían buenos índices, la talla media del macrozooplancton, o la de los cladóceros, ambas por su relación inversa con la CPUE.
5. BIBLIOGRAFIA
Allan, J.D., 1976 Life history patterns in zooplankton. Am.Nat., 110(971):165–81
Armengol, J., 1980 Colonización de los embalses españoles por crustáceos planctónicos y evolución de la estructura de sus comunidades. Oecolog.Aquat., 4:45–71
Bays, J.S. y T.L. Crisman, 1983 Zooplankton and trophic state relationships in Florida Lakes. Can.J.Fish.Aquat.Sci., 40(10):1813–9
Bottrell, H.H. et al., 1976 A review of some problems in zooplankton production studies. Norw.J.Zool., 24:419–56
Brooks, J.L. y S.I. Dodson, 1965 Predation, body size and composition of plankton. Science, Wash., 150:28–35
Cuba, T.R., 1981 Diversity: a two-level approach. Ecology, 62:278–9
Culver, D., 1980 Seasonal variation in the sizes at birth and at first reproduction in Cladocera. En Evolution and ecology of zooplankton communities, editado por W.C. Kerfoot. Hanover, New Hampshire, University Press of New England, Limnology and Oceanography, Special symposium 3:358–66
Davis, J.C., 1978 Statistics and data analysis in geology. New York, John Wiley and Sons, 550 p.
Dominguez, P. y L. Zúñiga, 1979 Perspectiva temporal de la entomostraca fauna limnética de lago Ranco (Valdivia, Chile). An.Mus.Hist.Nat.Valparaíso, 12:53–8
Dumont, H.J., I. van de Velde y S. Dumont, 1975 The dry weight estimate of biomass in a selection of Cladocera, Copepoda and Rotifera from the plankton, periphyton and benthos of continental waters. Oecologia, 19:75–97
Edmondson, W.T. y G.G. Winberg (eds), 1971 A manual on methods for the assessment of secondary productivity in fresh waters. Oxford, Blackwell Scientific Publications, IBP Handbook 17:358 p.
Fuller, D.R., R.S. Stemberger y J.E. Gannon, 1977 Limnetic rotifers as indicators of trophic change. J.Elisha Mitchell Soc., 95:104–13
Galbraith, M.G., 1967 Size selective predation on Daphnia by rainbow trout and yellow perch. Trans.Am.Fish.Soc., 96:1–10
Gannon, J.E. and R.S. Stemberger, 1978 Zooplankton (especially crustaceans and rotifers) as indicators of water quality. Trans.Am.Microsc.Soc., 97:16–35
Giussani, G., 1974 Planctofagia selettiva del coregone “Bondella” (Coregonus sp.) del Lago Maggiore. Mem.Ist.Ital.Idrobiol., 31:181–203
Glowicz, Z.M., 1969 The share of algae, bacteria and trypton in the food of pelagic zooplankton in lakes with various trophic characteristics. Bull.Acad.Pol.Sci.(Sci.Biol.), 17:159–65
Green, R.H., 1979 Sampling design and statistical methods for environmental biologists. Nueva York, Wiley y Sons, 257 p.
Herzig, A., 1979 The zooplankton of the open lake. Chapter 22. In Neusiedlersee: the limnology of a shallow lake in Central Europe, edited by H. Löffler. Monogr.Biol., 37:281–335
Hrbáček, J., 1962 Species composition and the amount of the zooplankton in relation to the fish stock. Rozpr.Cesk.Akad.Ved (Rada Matem, Prirod.Ved), 72(10):1–116
Hutchinson, B.P., 1971 The effect of fish predation on the zooplankton of ten Adirondack lakes, with particular reference to the alwiwife, Alosa pseudoharengus. Trans.Am.Fish.Soc., 100(2):325–35
Margalef, R., 1983 Limnología. Barcelona, Omega, 1010 p.
McNaught, D.C., 1975 A hypothesis to explain the succession from calanoids to cladocerans during eutrophication. Verh.Int.Ver.Theor.Angew.Limnol., 19:724–31
Mills, E.L. y A. Schiavone, 1982 Evaluation of fish communities through assessment of zooplankton populations and measures of lake productivity. N.Am.J.Fish.Manage., 2:14–27
Nilssen, J.P., 1976 Community analysis and altitudinal distribution of limnetic Entomostraca from different areas in Southern Norway. Pol.Arch.Hydrobiol., 23:105–22
Nilsson, N.-A., 1978 The role of size-biased predation in competition and interactive segregation in fish. En Ecology of freshwater fish production, editado por S.D. Gerking. Oxford, Blackwell Scientific Publications, pp. 303–25
Northcote, T.G. y R. Clarotto, 1975 Limnetic macrozooplankton and fish predation in some coastal British Columbia lakes. Verh.Int.Ver.Theor.Angew.Limnol., 19:2378–93
Patalas, K., 1975 The crustacean plankton communities of fourteen North American great lakes. Verh.Int.Ver.Theor.Angew.Limnol., 19:504–11
Pederson, G.L., E.B. Welch y A.H. Litt, 1976 Plankton secondary productivity and biomass: their relation to lake trophic state. Hydrobiologia, 50:129–44
Poole, R.W., 1974 An introduction to quantitative ecology. New York, McGraw-Hill, 532 p.
Ruttner-Kolisko, A., 1977 Suggestions for biomass calculation of planktonic rotifers. Arch. Hydrobiol. (Beih.Ergebn.Limnol.), 8:71–6
Sprules, W.G., 1980 Zoogeographic patterns in the size structure of zooplankton communities with possible applications to lake ecosystem modelling and management. En Evolution and ecology of zooplankton communities, editado por W.C. Kerfoot. Hanover, New Hampshire, University Press of New England, American Society of Limnology and Oceanography, Special Symposium, 3:642–56
Stenson, J.A.E., 1972 Fish predation effects on the species composition of the zooplankton community in eight small forest lakes. Rep.Inst.Freshwat.Res.Drottningholm, 52:132–48
Stenson, J.A.E., et al., 1978 Effects of fish removal from a small lake. Verh.Int.Ver.Theor. Angew.Limmol., 20:794–801
Watson, N.H.F., 1974 Zooplankton of the St. Lawrence Great Lakes species composition, distribution and abundance. J.Fish.Res.Board Can., 31(5):783–94
Wetzel, R.G., 1975 Limnology. Philadelphia, W.B. Saunders Co., 743 p.
Zaret, T.E., 1978 A predation model of zooplankton community structure. Verh.Int.Ver.Theor. Angew.Limnol., 20:2496–500
Tabla I
Especies presentes y dominancia
| especies | Ch | R | E | M | C-H | A | |
| Rotifera | |||||||
| Keratella cochlearis cochlearis | x | ||||||
| Keratella cochlearis f.tecta | * | ||||||
| Keratella thomassoni | x | x | x | ||||
| Keratella kostei | x | ||||||
| Keratella tropica | * | * | |||||
| Brachionus caudatus f.provectus | x | x | |||||
| Brachionus calyciflorus v.dorcas | x | ||||||
| Brachionus satanicus | x | ||||||
| Brachionus bidentatus | * | ||||||
| Brachionus angularis | x | ||||||
| Pompholyx sulcata | x | x | x | x | * | ||
| Filinia longiseta v.limnetica | * | * | x | x | x | ||
| Conochilus unicornis | x | ||||||
| Collotheca spp. | x | x | x | x | |||
| Hexarthra fennica | x | x | x | x | * | ||
| Polyarthra vulgaris | x | x | x | x | |||
| Polyarthra dolichoptera | x | x | |||||
| Synchaeta cf.oblonga | x | x | x | ||||
| Synchaeta sp. | x | x | |||||
| Asplanchna brightwelli | * | x | |||||
| Asplanchna girodi | * | ||||||
| Notholca haueri | * | * | |||||
| Trichocerca ruttneri | * | * | x | x | * | ||
| Trichocerca spp. | x | x | |||||
| Gastropus cf.stylifer | * | * | * | ||||
| Lecane (L.) flexilis | * | * | |||||
| Lecane (Monostyla) lunaris | * | * | |||||
| Cephalodella sp. | * | * | |||||
| Wolga spinifera | * | ||||||
| Trichotria of.tetractis | * | ||||||
| Cladocera | |||||||
| Bosmina chilensis | * | * | |||||
| Bosmina huaronensis | x | x | x | ||||
| Bosmina longirostris | * | ||||||
| Diaphanosoma chilense | x | x | |||||
| Ceriodaphnia quadrangula | x | x | x | x | * | x | |
| Moina micrura | * | ||||||
| Daphnia sarsi | x | ||||||
| Daphnia middendorffiana | x | ||||||
| Daphnia obtusa | x | ||||||
| Daphnia ambigua | x | ||||||
| Mocrothrix sp. | * | ||||||
| Chydorus patagonicus | * | * | |||||
| Alona guttata | * | * | |||||
| Alona of.pulchella | * | ||||||
| Copepoda | |||||||
| Boeckella gracilipes | x | x | * | * | * | ||
| Boeckella meteoris | x | x | x | ||||
| Boeckella michaelseni | x | ||||||
| Pseudcboeckella brasiliensis | x | ||||||
| Parabroteas sarsi | x | ||||||
| Mesocyclops longisetus | * | x | x | * | * | ||
| Acanthocyclops robustus | * | ||||||
| Tropocyclops prasinus | * | ||||||
x : especie muy abundante o de frecuente aparición
* : especie poco abundante o de ocasional aparición
Tabla II
Abundancia promedio de zooplancton (ind/1)
| Chultas | Rosario | Esquel | Musters | Colhue | Ameghino | |
| Febrero | ||||||
| N | 11,0 | 2,5 | 19,4 | 17,3 | ||
| R | ----- | 65,2 | ------ | 6,3 | 122,9 | 53,5 |
| C | 36,2 | 16,6 | 20,4 | 1,5 | ||
| T | 112,4 | 25,4 | 162,7 | 72,3 | ||
| Mayo | ||||||
| N | 1,9 | 2,9 | 76,2 | 0,8 | 9,6 | |
| R | 5,3 | 21,8 | 69,3 | 16,8 | 86,8 | ----- |
| C | 10,2 | 6,7 | 112,4 | 20,4 | 13,2 | |
| T | 17,4 | 31,4 | 257,9 | 38,0 | 109,6 | |
| Agosto | ||||||
| N | 8,5 | 3,3 | 123,3 | 1,3 | 24,9 | 0,5 |
| R | 5,8 | 25,0 | 4,8 | 17,1 | 76,1 | 2,2 |
| C | 21,6 | 6,4 | 51,0 | 2,0 | 23,2 | 0,4 |
| T | 35,9 | 34,7 | 179,1 | 20,4 | 124,2 | 3,1 |
| Diciembre | ||||||
| N | 28,6 | 24,7 | 66,5 | 4,0 | 14,5 | 1,3 |
| R | 62,0 | 199,2 | 0 | 26,4 | 136,0 | 10,0 |
| C | 8,6 | 13,6 | 286,7 | 10,6 | 13,2 | 11,7 |
| T | 99,2 | 237,5 | 353,2 | 41,0 | 163,7 | 23,0 |
| Marzo | ||||||
| N | 9,6 | 4,5 | 123,8 | 3,1 | 28,0 | 1,2 |
| R | 23,2 | 12,6 | 30,6 | 28,0 | 218,6 | 5,7 |
| C | 19,2 | 3,4 | 115,6 | 14,6 | 26,1 | 2,6 |
| T | 52,0 | 20,5 | 270,0 | 45,7 | 272,7 | 9,5 |
| Promedio | ||||||
| N | 12,1 | 9,3 | 97,5 | 2,3 | 19,3 | 5,1 |
| R | 24,1 | 64,8 | 26,2 | 18,9 | 128,1 | 17,8 |
| C | 14,9 | 13,3 | 141,4 | 12,9 | 19,2 | 4,0 |
| T | 51,1 | 87,3 | 265,1 | 34,1 | 166,6 | 26,9 |
Abundancia (ind./1)
N = nauplii;
R = rotíferos;
C = crustáceos;
T = total
Tabla III
Biomasa promedio de zooplancton (μg/1)
| Chultas | Rosario | Esquel | Musters | Colhue | Ameghino | |
| Febrero | ||||||
| N | 2,6 | 0,6 | 4,2 | 6,2 | ||
| R | ----- | 1,3 | ------ | 0,3 | 12,4 | 1,9 |
| C | 111,7 | 51,6 | 104,2 | 1,3 | ||
| T | 115,6 | 52,5 | 120,8 | 9,4 | ||
| Mayo | ||||||
| N | 0,6 | 0,9 | 21,5 | 0,2 | 3,1 | |
| R | 0,2 | 0,7 | 4,4 | 0,6 | 4,7 | ----- |
| C | 44,4 | 23,0 | 803,7 | 38,1 | 78,0 | |
| T | 45,2 | 24,6 | 829,6 | 38,9 | 85,8 | |
| Agosto | ||||||
| N | 1,3 | 0,9 | 43,3 | 0,4 | 7,7 | 0,1 |
| R | 0,2 | 0,7 | 0,4 | 0,8 | 3,4 | 0,1 |
| C | 100,1 | 32,4 | 362,1 | 7,6 | 164,8 | 1,8 |
| T | 101,6 | 34,0 | 405,8 | 8,8 | 175,9 | 2,0 |
| Diciembre | ||||||
| N | 8,2 | 5,8 | 18,1 | 1,4 | 4,3 | 0,6 |
| R | 1,7 | 5,3 | 0 | 2,9 | 7,1 | 1,5 |
| C | 40,0 | 78,1 | 1276,2 | 27,4 | 105,0 | 34,1 |
| T | 49,9 | 89,2 | 1294,3 | 31,7 | 116,4 | 36,2 |
| Marzo | ||||||
| N | 2,9 | 1,6 | 42,2 | 0,9 | 6,8 | 0,2 |
| R | 0,7 | 0,2 | 2,2 | 1,1 | 11,7 | 0,1 |
| C | 60,7 | 10,8 | 1028,0 | 39,6 | 176,0 | 7,7 |
| T | 64,3 | 12,6 | 1072,4 | 41,6 | 194,5 | 8,0 |
| Promedio | ||||||
| N | 3,3 | 2,4 | 31,3 | 0,7 | 5,2 | 1,8 |
| R | 0,7 | 1,6 | 1,7 | 1,1 | 7,8 | 0,9 |
| C | 61,3 | 51,2 | 867,5 | 32,9 | 125,6 | 11,2 |
| T | 65,3 | 55,2 | 900,5 | 34,7 | 138,6 | 13,9 |
Biomasa ( μg / 1 )
N = nauplii;
R = rotíferos;
C = crustáceos;
T = total
Tabla IV
Especies del macrozooplancton según su forma de alimentación
| I | - | Copépodos macrófagos carnívoros | |
| Parabroteas sarsi | |||
| Mesocyclops longisetus | |||
| Acanthocyclops robustus | |||
| II | - | Copépodos filtradores | |
| copepoditos calanóideos | |||
| Boeckella gracilipes | |||
| Boeckella meteoris | |||
| Boeckella michaelseni | |||
| Pseudoboeckella brasiliensis | |||
| III | - | Copépodos macrófagos herbívoros | |
| copepoditos ciclopóideos | |||
| IV | - | Cladóceros microfiltradores | |
| Bosmina chilensis | |||
| Bosmina huaronensis | |||
| Bosmina longirostris | |||
| Ceriodaphnia quadrangula | |||
| Moina micrura | |||
| V | - | Cladóceros macrofiltradores | |
| Daphnia ambigua | |||
| Daphnia middendorffiana | |||
| Daphnia sarsi | |||
| Daphnia obtusa | |||
| Diaphanosoma chilense | |||

Fig. 1 Afinidad de las especies limneticas
![]() | ![]() |
| Fig. 2 Abundancia relativa de zooplancton | Fig. 3 Biomasa relativa de zooplancton |
| Cal: | Calanóideos | |
| Cy: | Ciclopóideos | |
| Cla: | Cladóceros | |
| N: | Nauplii | |
| R: | Rotíferos |

Fig. 4 Abundancia relativa por categorías tróficas del zooplancton


Fig. 5 Análisis de componentes principales por densidad de grupos tróficos

Fig. 6 Abundancia estacional (ind/1)

Fig. 7 Biomasa estacional del zooplancton (μg/1)

Fig. 8 Talla estacional promedío del macrozooplancton (μ)