Tabla VI
Biomasa total de peces en las capturas con redes agalleras por especie y apertura de malla en el lago de Nicaragua (promedio de 25 estaciones) (g/m2/hora)
| CAPTURA TOTAL | PESO | ||||||||||||||||||
| ABERTURA DE MALLA MM | NUMERO | PROMEDIO | |||||||||||||||||
| ESPECIES | 22 | 24 | 28 | 32 | 38 | 40 | 44 | 48 | 60 | 60 | 65 | 75 | 75 | 130 | 130 | 140 | KG. | PECES | GR. |
| Dorosoma chavesi | 5.0 | 7.4 | 5.6 | 4.4 | 2.1 | 1.7 | 0.6 | 0.2 | - | - | - | - | - | - | - | - | 326.3 | 5021 | 65.0 |
| Cichlasoma citrinellum | 0.3 | 0.3 | 0.7 | 0.7 | 0.4 | 0.8 | 0.5 | 0.1 | 0.1 | 0.20 | 0.03 | - | - | - | - | - | 51.1 | 544 | 93.9 |
| Cichlasoma nicaraguensis | 0.26 | 0.57 | 0.52 | 0.28 | 0.49 | 0.40 | 0.31 | - | 0.05 | 0.06 | - | - | 0.001 | - | - | - | 40.3 | 566 | 71.2 |
| Cichlasoma longimanus | 0.01 | 0.15 | 0.20 | 0.2 | 0.1 | 0.2 | 0.4 | - | - | - | - | - | - | - | - | - | 15.1 | 214 | 70.7 |
| Cichlasoma rostratum | 0.02 | 0.01 | 0.02 | 0.04 | - | 0.05 | 0.03 | - | - | - | - | - | - | - | - | - | 2.2 | 32 | 67.8 |
| Neetropus nematopus | 0.03 | 0.02 | 0.03 | - | - | - | 0.12 | - | - | - | - | - | - | - | - | - | 2.3 | 33 | 69.6 |
| Gobiomorus dormitor | 0.3 | 0.23 | 0.13 | 0.12 | - | 0.06 | 0.001 | - | - | - | - | - | - | - | - | - | 10.4 | 104 | 99.6 |
| Roeboides guatemalensis | - | 0.01 | 0.01 | 0.001 | - | 0.001 | - | - | - | - | - | - | - | - | - | - | 0.4 | 20 | 20.5 |
| Cichlasoma labiatus | - | - | - | - | - | 0.01 | - | - | - | - | - | - | - | - | - | - | 0.2 | 2 | 104.5 |
| SUB TOTAL PECES OMNIVOROS | 5.92 | 8.09 | 7.21 | 5,741 | 3.09 | 3.221 | 1,961 | 0.3 | 0.15 | 0.26 | 0.03 | - | 0.001 | - | - | - | 448.3 | 6536 | - |
| Brycon guatemalensis | 5.7 | 2.5 | 3.0 | 3.8 | 2.5 | 4.3 | 2.6 | 0.3 | 2.7 | 5.4 | 1.9 | 2.4 | 1.3 | - | - | 0.2 | 508.1 | 448 | 1134.1 |
| Lepisosteus tropicus | - | 1.22 | 0.13 | 0.52 | 0.13 | 0.30 | 0.63 | 1.68 | 0.08 | 1.99 | 1.89 | 2.43 | 5.78 | - | - | 0.17 | 243.6 | 60 | 4060.6 |
| Centropomus undecimalis | - | 0.38 | 0.21 | 0.52 | 1.34 | 0.60 | 2.44 | 2.36 | 0.12 | 0.23 | - | - | - | 123.9 | 69 | 1746.2 | |||
| Pomadusys grandis | 0.03 | - | 0.06 | - | 0.54 | 0.22 | 0.28 | - | 0.65 | 1.42 | 0.33 | 0.22 | 0.48 | - | - | - | 48.8 | 52 | 939.2 |
| Rhamdia sp. | 0.7 | 1.1 | 0.2 | 0.1 | 0.04 | 0.02 | - | - | - | - | - | - | - | - | - | - | 34.9 | 315 | 110.8 |
| Cichlasoma dovii | - | - | - | - | - | 0.01 | - | - | - | - | 0.04 | 0.04 | - | - | - | - | 5.0 | 7 | 715.7 |
| Bramocharax bransfordii | 0.01 | 0.01 | - | - | - | - | - | - | - | - | - | - | - | - | - | - | 0.3 | 8 | 41.5 |
| Cichlasoma managuensis | - | 0.01 | 0.01 | - | - | - | - | - | - | - | - | - | - | - | - | - | 0.4 | 3 | 142.0 |
| Tarpon atlanticus | - | - | - | - | - | - | - | 11.17 | - | - | - | - | - | - | - | 2.8 | 97.0 | 3 | 32333.0 |
| Circharhinus leucas | - | - | - | 0.54 | - | - | - | - | - | - | - | - | - | - | - | - | 3.3 | 1 | 3292.0 |
| SUB TOTAL PECES CARNIVOROS | 6.56 | 4.34 | 4.32 | 4.87 | 3.59 | 5.03 | 4.03 | 14.49 | 4.03 | 11.25 | 6.52 | 5.21 | 7.79 | - | - | 3.17 | 1065.3 | 966 | - |
| 12.48 | 13.83 | 10.63 | 10.61 | 6.68 | 8.25 | 5.99 | 14.79 | 4.18 | 11.51 | 6.55 | 5.21 | 7.79 | - | - | 3.17 | 1511.6 | 7502 | - | |
| % Peces Carnivoros | 52.5 | 35.8 | 32.2 | 45.9 | 53.7 | 61.0 | 67.3 | 98.0 | 96.4 | 97.7 | 99.5 | 100.0 | 100.0 | - | - | 100.0 | - | - | - |
Tabla VII
Resultados de las estaciones de pesca con chinchorro playero en la zona costera (0–2 mt profundidad) del lago de Nicaragua
| INDICES | ESTACIONES DE PESCA | ∑ SUMATORIA | X PROMEDIO | |||||||||||||||
| 1 | 2 | 3 | 4 | 5 | 6 | 7 | 8 | 9 | 10 | 11 | 12 | 13 | 14 | 15 | 16 | |||
| 0.50 | 0.50 | 0.50 | 0.10 | 0.25 | 0.25 | 0.075 | 0.25 | 0.20 | 0.25 | 0.10 | 0.50 | 0.50 | 0.50 | 0.50 | 0.50 | 5.475 | 0.365 | |
| COEFICIENTE DE CAPTURABILIDAD | 0.30 | 0.30 | 0.30 | 0.10 | 0.15 | 0.10 | 0.20 | 0.15 | 0.15 | 0.20 | 0.30 | 0.20 | 0.15 | 0.15 | 0.20 | 0.30 | 3.45 | 0.22 |
| 17.42 | 9.42 | 10.05 | 0.60 | 2.74 | 0.68 | 6.42 | 1.04 | 0.80 | 1.72 | 15.57 | 7.51 | 3.24 | 3.05 | 14.59 | 1.57 | 92.37 | 5.56 | |
| 34.85 | 18.85 | 20.10 | 6.03 | 10.94 | 2.73 | 85.56 | 4.17 | 4.00 | 6.89 | 115.65 | 15.04 | 6.48 | 6.10 | 29.17 | 3.04 | 369.57 | 17.93 | |
| BIOMASA ICTICA (Kg./Ha. | 116 | 63 | 67 | 60 | 73 | 27 | 428 | 28 | 27 | 34 | 385 | 75 | 43 | 41 | 146 | 10 | 1623 | 81.8 |
NOTA: LOS DATOS DE LAS ESTACIONES 7 y 11 SE HAN CONSIDERADO COMO UNA SOLA MUESTRA PARA EFECTO DE CALOULO DE VALORES PROMEDIOS POR ENCONTRARSE EN LA MISMA CUADRICULA.
Tabla VIII
Biomasa de peces en la parte central del lago de Nicaragua según resultados del programa de arrastres
| NO. | ESPECIE | BIOMASA EN RED (Gr) | COEFICIENTE DE CAPTURABILIDAD | BIOMASA A TOTAL (Gr/Ha.) | PORCENTAJE |
| 1 | DOROSOMA CHAVESI | 3554 | 0.35 | 5641.3 | 8.79 |
| 2 | GOBIOMORUS DORMITOR | 688 | 0.35 | 1092.1 | 1.70 |
| 3 | ROEBOIDES GUATEMALENSIS | 181 | 0.35 | 287.3 | 0.45 |
| 4 | CICHLASOMA NICARAGUENSIS | 10913 | 0.44 | 13779.0 | 21.47 |
| 5 | CICHLASOMA LONGIMANUS | 8924 | 0.44 | 11267.7 | 17.56 |
| 6 | CICHLASOMA CITRINELLUM | 8124 | 0.44 | 10257.6 | 15.99 |
| 7 | CICHLASOMA CENTRARCHUS | 856 | 0.44 | 1080.8 | 1.68 |
| 8 | CICHLASOMA ROSTRATUM | 1026 | 0.44 | 1295.5 | 2.02 |
| 9 | CICHLASOMA LABIATUM | 33 | 0.44 | 41.7 | 0.06 |
| 10 | NEETROPUS NEMATOPUS | 3 | 0.44 | 3.8 | 0.015 |
| 11 | HETEROTILAPIA MULTISPINOSA | 1 | 0.44 | 1.3 | 0.005 |
| SUB-TOTAL PECES OMNIVOROS | - | - | 44748.1 | 69.74 | |
| 1 | BRAMOCHARAX BRANSFORDII | 18 | 0.26 | 38.5 | 0.06 |
| 2 | RHAMBIA SP. | 2552 | 0.35 | 4050.8 | 6.31 |
| 3 | CICHLASOMA DOVII | 70 | 0.44 | 149.6 | 0.23 |
| 4 | CENTROPOMUS UNDECIMALIS | 723 | 0.26 | 1544.9 | 2.41 |
| 5 | POMADASYS GRANDIS | 224 | 0.26 | 478.6 | 0.75 |
| 6 | BRYCON GUATEMALENSIS | 4104 | 0.26 | 8769.2 | 13.67 |
| 7 | LEPISOSTEUS TROPICUS | 2052 | 0.26 | 4384.6 | 6.83 |
| SUB-TOTAL PECES CARNIVOROS | - | - | 19416.2 | 30.26 | |
| TOTAL PECES | - | - | 64164.3 | 100.00 |
Tabla IX
Biomasa total de peces por especies y por zonas del lago de Nicaragua (toneladas)
| No. | ESPECIE | ZONA CENTRAL | ZONA COSTERA | TOTAL LAGO | % |
| 1 | Dorosoma chavesi | 3939.9 | 1299.6 | 5239.5 | 10.5 |
| 2 | Gobiomorus dormitor | 762.7 | 18.0 | 780.7 | 1.6 |
| 3 | Roeboides guatemalensis | 200.7 | 18.6 | 219.3 | 0.4 |
| 4 | Cichlasoma nicaraguensis | 9623.3 | 238.2 | 9861.5 | 19.8 |
| 5 | Cichlasoma longimanus | 7869.4 | 348.0 | 8217.4 | 16.5 |
| 6 | Cichlasoma citrinellum | 7163.9 | 764.4 | 7931.3 | 16.0 |
| 7 | Cichlasoma centrarchus | 754.8 | 65.4 | 820.2 | 1.6 |
| 8 | Cichlasoma rostratum | 904.8 | 769.8 | 1674.6 | 3.4 |
| 9 | Cichlasoma labiatum | 29.1 | 15.6 | 44.7 | 0.1 |
| 10 | Cichlasoma maculicauda | - | 163.2 | 163.2 | 0.3 |
| 11 | Cichlasoma nigrofasciatum | - | 42.0 | 42.0 | 0.1 |
| 12 | Neetropus nematopus | 2.7 | 81.0 | 83.7 | 0.2 |
| 13 | Heterotilapia multispinosa | 0.9 | - | 0.9 | 0.1 |
| 14 | Mollienisia dovii | - | 86.4 | 86.4 | 0.2 |
| 15 | Melaniris sardina | - | 39.0 | 39.0 | 0.1 |
| 16 | Alfaro cultratus | - | 0.6 | 0.6 | 0.1 |
| 17 | Astyanax fasciatus | - | 444.6 | 444.6 | 0.9 |
| 18 | Carlana eigenmanni | - | 0.6 | 0.6 | 0.1 |
| SUB TOTAL PECES OMNIVOROS | 31252.2 | 4398.0 | 35650.2 | 71.7 | |
| 1 | Bramocharax bransfordii | 26.9 | 106.8 | 133.7 | 0.3 |
| 2 | Rhamdia sp. | 2829.0 | - | 2829.0 | 5.7 |
| 3 | Cichlasoma dovii | 104.5 | 25.8 | 130.3 | 0.3 |
| 4 | Cichlasoma managuense | - | 22.2 | 22.2 | 0.1 |
| 5 | Centropomus undecimalis | 1079.0 | - | 1079.0 | 2.2 |
| 6 | Pomadasys grandis | 334.3 | - | 334.3 | 0.7 |
| 7 | Brycon guatemalensis | 6124.4 | 353.4 | 6477.8 | 13.7 |
| 8 | Lepisosteus tropicus | 3062.2 | - | 3062.2 | 6.2 |
| SUB TOTAL PECES CARNIVOROS | 13560.3 | 508.2 | 14068.5 | 28.3 | |
| TOTAL PECES | 44812.5 | 4906.2 | 49718.7 | 100.0 |
Anexo la
Composición cualitative del fitoplancton del lago de Nicaragua
| No | GRUPO | ESPECIE |
| 1 | BACILLARIOPHYTA | Melosira ambigua (Grüner) |
| 2 | Melosira sulcata (Kützing) | |
| 3 | Navicula cryptocephala (Grüner) | |
| 4 | Navicula sp. (Bory) | |
| 5 | Pinnularia sp. (Ehrmän) | |
| 6 | Cymbela sp. (Ag.) | |
| 7 | Synedra sp. (Ehrmän) | |
| 8 | Nitzchia lorenzina (Grüner) | |
| 9 | Cyclotela stelligera (Grüner) | |
| 10 | Fragillaria sp. (Grüner) | |
| 11 | Surirella sp. (Turp.) | |
| 12 | Ephitemia sp. (Kützing) | |
| 13 | Rhopalodia sp. (Müller) | |
| 14 | CYANOPHYTA | Anabaena sp. (Bory) |
| 15 | Oscillatoria sp. (Vanch) | |
| 16 | Microcystis pulverea (Wood) | |
| 17 | Microcystis aeruginosa (Kützing) | |
| 18 | Merismopedia sp. (Meyen) | |
| 19 | Aphanocapsa sp. (Näg) | |
| 20 | Tetrapedia sp. (Reinsech) | |
| 21 | Nostoc sp. (Vauch) | |
| 22 | Pediastrum duplex (Megen) | |
| 23 | CLOROPHYTA | Scenedesmus quadricauda (Breb) |
| 24 | Scenedesmus acuminatus (Chodat) | |
| 25 | Treubaria cryptocephala (Pascher) | |
| 26 | Actinastrum hantzschii (Schroeder) | |
| 27 | Kirchneriella irregularis (Schmidle) | |
| 28 | Crucigenia tetrapedia (Merren) | |
| 29 | Treubaria planctonica (Korschick) | |
| 30 | Protococcus viridis (Megen) | |
| 31 | Ankistrodesmus minitissimus (Korschick) | |
| 32 | Didymocystis inconspicua (Korschick) | |
| 33 | Tetraedon caudatum (Corda) | |
| 34 | Selenastrum bibrianum (Kunsch) | |
| 35 | Dyctyospharium sp. (Naeg.) | |
| 36 | Coelastrum sp. (Naeg.) | |
| 37 | Dyctyospharium pulchellum (Naeg.) | |
| 38 | Ulothrix variabilis (Kützing) | |
| 39 | Ulothrix mucosa (Tharent) | |
| 40 | PYRROPHYTA | Chlamydomonas sp. (Ehrenb) |
| 41 | Desmidium sp. (Ag.) | |
| 42 | Ceratium sp. (Sehrank) | |
| 43 | Cryptomonas sp. (Pasch) | |
| 44 | Peridinium cinctum (Ehremb) | |
| 45 | EUGLENOPHYTA | Trachelomonas sp. (Ehremb) |
| 46 | Euglena sp. (Ehremb) |
Anexo 1b
Biomasa en número y en peso de fitoplancton del lago de Nicaragua
| GRUPO | UNIDAD DE MEDIDA | OCT. 1982 | NOV. 1982 | DIC. 1982 | ENERO 1983 | FEB. 1983 | MARZ. 1983 | ABRIL 1983 | MAYO 1983 | PROMEDIO |
| Total de Fitoplancton | Millones de células/Litro | 3.25 | 2.81 | 3.67 | 2.41 | 5.32 | 6.43 | 1.79 | 2.47 | 3.98 |
| Biomasa Total | Mg/ Litro | 1.89 | 1.11 | 1.77 | 1.24 | 2.03 | 1.87 | 1.39 | 1.67 | 1.70 |
| Cianoficeas | % | 3.70 | 13.50 | 38.90 | 17.00 | 19.70 | 60.90 | 20.20 | 30.00 | 22.90 |
| Cloroficeas | % | 15.30 | 12.50 | 1.20 | 2.40 | 27.60 | 17.70 | 38.80 | 26.90 | 27.10 |
| Diatomaceas | % | 67.80 | 66.70 | 58.20 | 76.60 | 52.70 | 19.20 | 32.50 | 31.10 | 44.10 |
| Otras Especies | % | 13.30 | 7.20 | 1.70 | 4.0 | 2.20 | 8.50 | 12.00 | 5.90 |
Anexo 2a
Composición cualitativa del zooplancton del lago de Nicaragua
| No | GRUPO | ESPECIE |
| 1 | COPEPODA | Mesocyclops edax (Forbes) |
| 2 | Cyclops varicans (Sars) | |
| 3 | Paracyclops fimbriatus (Fischer) | |
| 4 | Macrocyclops albidus (Jurine) | |
| 5 | Macrocyclops ater (Hartmani) | |
| 6 | Cyclops sp. (Sars) | |
| 7 | Diaptomus sp. (Sars) | |
| 8 | Eurytemora affinis (Poppe) | |
| 9 | Diaptomus dorsalis (Marsh) | |
| 10 | Themocyclops invuzsus (Kiefer) | |
| 11 | CLADOCERA | Moina affinis (Birge) |
| 12 | Bosmina longirostris (Müller) | |
| 13 | Alonella diaphana (King) | |
| 14 | Anchistropus Minor (Birge) | |
| 15 | Diaphanosoma sp. | |
| 16 | Chydorus sp. | |
| 17 | Alona sp. | |
| 18 | Alanopsis sp. | |
| 19 | ROTIEERA | Keratella cochleavrs (Goose) |
| 20 | Brachionus candatus (Barrois) | |
| 21 | Brachionus havanaensis (Rousselet) | |
| 22 | Brachionus quadridentala (Herman) | |
| 23 | Lecane bulla (Goose) | |
| 24 | Conochilus hippocropis (Schrank) | |
| 25 | Lepodella sp. (Goose) | |
| 26 | Aspelta sp. (Herman) | |
| 27 | OSTRACODA | Darvinula stefensoni (Robertson) |
| 28 | Physocypria granadae (Hartmani) | |
| 29 | Acterocypris nicaraguensis (Hartmani) | |
| 30 | Pericythere sp. (Hartmani) | |
| 31 | Cleomptus sp. (Hartmani) |
Annexo 2b
Biomasa en número y peso de zooplancton del lago de Nicaragua
| GRUPO | UNIDAD DE MEDIDA | OCTUBRE 1982 | NOVIEMBRE 1982 | DICIEMBRE 1982 | ENERO 1983 | FEBRERO 1983 | MARZO 1983 | ABRIL 1983 | MAYO 1983 | PROMEDIO |
| CLADOCERA | GR/m3 | 0.15 | 0.34 | 0.64 | 0.30 | 0.40 | 0.23 | 0.56 | 0.13 | 0.29 |
| MILL.CEL./m | 10.90 | 34.20 | 98.00 | 24.00 | 30.70 | 32.80 | 43.40 | 17.60 | 56.60 | |
| % | 44.10 | 35.80 | 71.10 | 28.80 | 27.00 | 21.70 | 35.90 | 11.80 | 25.80 | |
| COPEPODA | GR/m3 | 0.18 | 0.43 | 0.19 | 0.74 | 1.07 | 0.71 | 0.91 | 0.92 | 0.76 |
| MILL.CEL/m | 12.40 | 26.20 | 17.00 | 47.00 | 54.00 | 40.00 | 50.70 | 49.10 | 41.60 | |
| % | 52.90 | 45.20 | 21.10 | 71.20 | 72.30 | 67.00 | 58.30 | 82.90 | 67.80 | |
| ROTIFERA | GR/m3 | 0.01 | 0.17 | 0.07 | - | 0.01 | 0.04 | - | 0.03 | 0.04 |
| MILL.CEL./m | 16.40 | 39.20 | 16.00 | - | 2.80 | 17.10 | - | 8.60 | 12.40 | |
| % | 3.00 | 17.90 | 7.80 | - | 0.70 | 3.80 | - | 0.20 | 3.60 | |
| OSTRACODA | GR/m3 | - | 0.01 | - | - | - | 0.08 | 0.09 | 0.03 | 0.03 |
| MILL.CEL./m | - | 0.30 | - | - | - | 1.90 | 4.00 | 1.80 | 1.40 | |
| % | - | 1.10 | - | - | - | 7.50 | 5.80 | 0.20 | 2.80 | |
| TOTAL ZOOPLANCTION | GR/m3 | 0.34 | 0.95 | 0.90 | 1.04 | 1.48 | 1.06 | 1.56 | 1.11 | 1.12 |
| MILL.CEL./m | 39.70 | 99.90 | 131.00 | 71.00 | 87.50 | 91.80 | 98.10 | 77.10 | 84.80 |


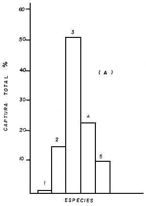
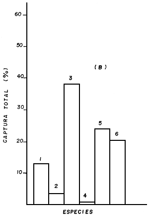
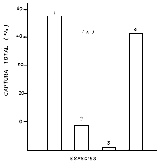
| 1 | DOROSOMA CHAVESI | |
| 2 | RHAMDIA Sp. | |
| 3 | C. NICARAGUENSIS | |
| 4 | C. LONGIMANUS | |
| 5 | C. CITRINELLUM | |
| 6 | C. UNDECIMALIS | |
| 7 | P. GRANDIS |
![]() | ![]() |
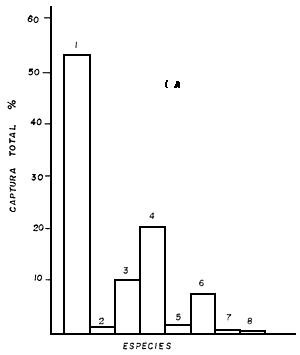
FIG. 3 DISTRIBUCION % DE LAS PRINCIPALES ESPECIES CAPTURADAS EN EL PROGRAMA DE ARRASTRE REALIZADO EN EL LAGO DE NICARAGUA.
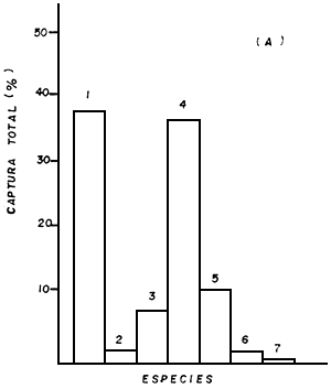
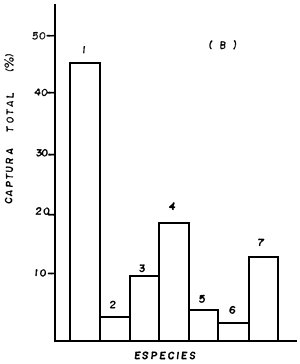
| 1 | DOROSOMA CHAVESI | |
| 2 | RHAMDIA Sp. | |
| 3 | C. NICARAGUENSIS | |
| 4 | C. LONGIMANUS | |
| 5 | C. CITRINELLUM | |
| 6 | C. UNDECIMALIS | |
| 7 | P. GRANDIS |
![]() | ![]() |
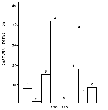
FIG.4 DISTRIBUCION % DE LAS PRINCIPALES ESPECIES CAPTURADAS EN EL PROGRAMA DE ARRASTRE REALIZADO EN EL LAGO DE NICARAGUA
| P (gmos) | L(cms.) | P (gms) | L (cms) | |||||
| 1 | MOJARRAS | 90.2 | 27.2 | 1 | MOJARRAS | 63.3 | 15.3 | |
| 2 | SABALETE | 67.73 | 21.1 | 2 | SABALETE | 48.4 | 16.1 | |
| 3 | MACHACA | 694.0 | 35.8 | 3 | BARBUDO | 100.0 | 24.0 | |
| 4 | ROBALO | 380.0 | 35.5 | 4 | MACHACA | 322.0 | 30.4 | |
| 5 | BARBUDOS | 93.5 | 24.2 | 5 | GUAVINA | 50.0 | 21.6 | |
| 6 | GUAVINAS | 74.0 | 19.3 | |||||
| 7 | RONCADOR | 284.0 | 27.5 |
![]() | ![]() |
FIG. 5 CAPTURAS (% EN PESO) CON REDES AGALLERAS DE 22m.m. (A) Y 24m.m. (B) FRANJA COSTERA DEL LAGO DE NICARAGUA
| P(grs) | L(cms.) | P(grs) | L(cms.) | |||||
| 1 | MOJARRAS | 109.4 | 15.5 | 1 | MOJARRAS | 132.7 | 18.7 | |
| 2 | SABALETES | 111.5 | 21.5 | 2 | SABALETE | 164.5 | 24.5 | |
| 3 | GUAVINA | 175.0 | 24.0 | 3 | MACHACA | 420.2 | 38.2 | |
| 4 | MACHACA | 522.6 | 32.4 | 4 | BARBUDO | 51.0 | 20.0 | |
| 5 | GASPAR | 6000.0 | 101.0 | 5 | GASPAR | 1048.0 | 58.7 | |
| 6 | RONCADOR | 691.6 | 36.0 |
![]() | ![]() |
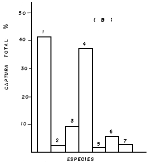
FIG. 6 CAPTURAS (%) EN PESO) CON REDES AGALLERAS DE 28 mm. (A) Y 32 mm (B) FRANJA COSTERA DEL LAGO DE NICARAGUA.
| P(grs) | L(cms) | P(grs) | L(cms) | |||||
| 1 | MOJARRAS | 141.4 | 20.5 | 1 | MOJARRAS | 69.0 | 16.8 | |
| 2 | SABALETE | 79.4 | 23.3 | 2 | SABALETE | 60.95 | - | |
| 3 | MACHACA | 1078.0 | 43.8 | 3 | GUAVINA | 106.3 | - | |
| 4 | ROBALO | 352.5 | 30.5 | 4 | MACHACA | 1033.0 | 44.8 | |
| 5 | RONCADOR | 1209.5 | 44.0 | 5 | BARBUDO | 87.0 | 23.0 | |
| 6 | RONCADOR | 425.6 | 30.6 |
![]() | ![]() |
FIG. 7 CAPTURAS (%) CON REDES AGALLERAS DE 40 mm. (A) Y 60mm.(B) FRANJA COSTERA DEL LAGO DE NICARAGUA
| P(grs) | L(cms) | P(grs) | L(cms) | |||||
| 1 | SABALETE | 55.3 | - | 1 | SABALETE | 47.5 | 21.0 | |
| 2 | GUAVINA | 71.0 | - | 2 | GUAVINA | 98.0 | 22.6 | |
| 3 | MOJARRAS | 47.0 | - | 3 | MOJARRAS | 41.0 | 17.3 | |
| 4 | MACHACA | 740.4 | 37.0 | 4 | MACHACA | 948.0 | 42.0 | |
| 5 | BARBUDO | 84.0 | 24.0 | 5 | BARBUDO | 111.0 | 27.3 | |
| 6 | ROBALO | - | - | 6 | SABALITO | 30.0 | 14.8 | |
| 7 | SABALITO | 50.0 | - | 7 | GASPAR | 11000.0 | 112.0 |
![]() | ![]() |
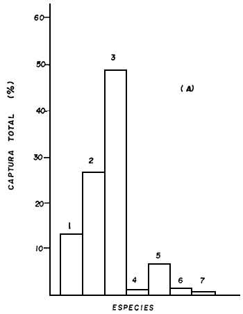
FIG. 8 CAPTURAS (%) EN PESO) CON REDES AGALLERAS DE 22 mm. (A) Y 24 mm.(B) EN EL LAGO DE NIC.
| P(grs) | L(cms) | P(grs) | L(cms) | |||||
| 1 | SABALETE | 69.0 | - | 1 | SABALETE | 96.6 | 23.0 | |
| 2 | GUAVINA | 104.0 | 27.0 | 2 | GUAVINA | 149.0 | 32.0 | |
| 3 | MOJARRA | 79.1 | 27.0 | 3 | MOJARRA | 88.0 | 18.0 | |
| 4 | MACHACA | 1189.0 | 46.0 | 4 | MACHACA | 1445.0 | 48.4 | |
| 5 | BARBUDO | 189.0 | 29.0 | 5 | BARBUDO | 199.0 | 31.4 | |
| 6 | GASPAR | 6 | TIBURON | 322 9.0 | 74.0 | |||
| 7 | RONCADOR | 7 | GASPAR | 2270.0 | 78.0 | |||
| 8 | SABALITO |
![]() | ![]() |
FIG. 9 CAPTURAS (% EN PESO ) CON REDES AGALLERAS DE 28 mm. ( A ) Y 32 mm ( B ) EN EL LAGO DE NICARAGUA.
| P(grs) | L(cms) | P(grs) | L(cms) | |||||
| 1 | SABALETE | 129 | 25.4 | 1 | SABALETE | 144 | 26.0 | |
| 2 | MOJARRAS | 124 | 18.1 | 2 | GUAVINA | 125 | 21.4 | |
| 3 | MACHACA | 1284 | 40.6 | 3 | MOJARRAS | 137 | 20.2 | |
| 4 | BARBUDO | 397 | 35.0 | 4 | MACHACA | 1232 | 43.0 | |
| 5 | ROBALO | 1135 | 50.0 | 5 | BARBUDO | 85 | 15.0 | |
| 6 | SABALITO | 36 | - | 6 | ROBALO | 965 | 43.0 | |
| 7 | RONCADOR | 695 | 42.1 | 7 | RONCADOR | 397 | 31.0 | |
| 8 | GASPAR | 1135 | 66.0 | 8 | GASPAR | 2284 | 75.0 |
![]() | ![]() |
FIG. 10 CAPTURAS ( % EN PESO ) CON REDES AGALLERAS DE 38 mm. ( A ) Y 40 mm.( B ) EN EL LAGO DE NICARAGUA
| P(grs) | L(cms.) | P(grm) | L(cms) | |||||
| 1 | SABALETE | 157 | - | 1 | SABALETE | 43 | 17.0 | |
| 2 | GUAVINA | 85 | 21.0 | 2 | MOJARRAS | 213 | 21.5 | |
| 3 | MOJARRAS | 202 | 20.3 | 3 | MACHACA | 1648 | 53.0 | |
| 4 | MACHACA | 1186 | 44.2 | 4 | SABALITO | 6 | 11.0 | |
| 5 | SABALITO | 10 | 11.0 | 5 | ROBALO | 1792 | 55.0 | |
| 6 | ROBALO | 1513 | 53.0 | 6 | GASPAR | 4031 | 80.0 | |
| 7 | GASPAR | 1347 | 64.0 | 7 | RONCADOR | 1448 | 49.3 | |
| 8 | RONCADOR | 1057 | 41.3 |
![]() | ![]() |
FIG. 11 CAPTURAS ( %) EN PESO ) CON REDES AGALLERAS DE 44 mm.(A) Y 60mm ( B ) EN EL LAGO DE NICARAGUA
| P(grs) | L(cms) | P(grs) | L(cms) | |||||
| 1 | MACHACA | 1438 | 52.0 | 1 | MOJARRAS | 426 | 26.0 | |
| 2 | ROBALO | 1772 | 54.8 | 2 | MACHACA | 1901 | 53.0 | |
| 3 | MOJARRAS | 203 | 21.0 | 3 | ROBALO | 2967 | 60.5 | |
| 4 | GASPAR | 4089 | 87.7 | 4 | GASPAR | 2511 | 76.5 |
![]() | ![]() |
FIG. 12 CAPTURAS (% EN PESO) CON REDES AGALLERAS DE 65 mm.(A) Y 75mm.(B) EN EL LAGO DE NICARAGUA
| P(grs) | L(cms) | P(gms) | L(cms) | |||||
| 1 | MOJARRA | 284 | 24.0 | 1 | MOJARRAS | 193 | 23.0 | |
| 2 | MACHACA | 1368 | 50.9 | 2 | MACHACA | 1230 | 49.0 | |
| 3 | ROBALO | 21.08 | 59.7 | 3 | ROBALO | 2205 | 58.6 | |
| 4 | GASPAR | 3780 | 88.3 | 4 | GASPAR | 2869 | 80.5 | |
| 5 | RONCADOR | 1683 | 50.0 | 5 | RONCADOR | 1114 | 43.6 |
![]() | ![]() |
FIG. 13 CAPTURAS ( % EN PESO) CON REDES AGALLERAS DE 130 mm. ( A ) Y 140 mm. ( B ) EN EL LAGO DE NICARAGUA

FIG. 14 DISTRIBUCION DE FRECUENCIA DE LONGITUDES DE PECES CAPTURADOS EN EL LAGO DE NICARAGUA

FIG. 15 DISTRIBUCION DE FRECUENCIA DE LONGITUDES DE PECES CAPTURADOS EN EL LAGO DE NICARAGUA
![]() |
|
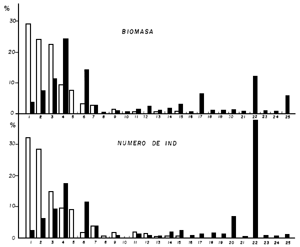
FIG. 16 DISTRIBUCION DE DIFERENTES ESPECIES DE PECES EN PESO Y NUMERO EN LA ZONA CENTRAL (□) Y EN LA ZONA COSTERA (■) DEL LAGO DE NIC.