| by | ||
| M.A. Afinowi Director African Regional Aquaculture Centre Port Harcourt Rivers Nigeria | B.I.O. Ezenwa Research Officer (Fish Culture) NIOMR Lagos Nigeria |
The Nigerian coast stretches for a distance of approximately 800 km from the tip of Badagry Lagoon to the eastern end off Cross River near Calabar. It can safely be divided into a number of distinctive but not separate ecological zones which succeed each other from the apex ‘A’ to the base ‘B’, as shown in Figure 1:
The Freshwater Zone: rivers, shallow lakes and swamps
The Brackish-Water Zone: creeks, lagoons, rivers and mangrove swamps
The Coastal Zone: beach ridges and estuaries
The Off-Shore Zone: the coastal waters of the sea
A brief description of the physical, chemical and biological characteristics related to fish culture of each ecological zone as divided above, is to be given below.
The major freshwater rivers of the Nigerian coast include Forcados - Upper Nun River, Peninnington - Osiaina River, Nun River, Ogbia River, Orashi River and Ogosi River (Scott, 1966). This freshwater zone is characterised by numerous meandering rivers and creeks, flowing between levees, behind which lie extensive swamps. This zone is subject to annual flooding in September–November, during which time most of the area is under water.
The shallow lakes and swamps in this zone are mainly seen in the Delta areas - essentially a flood plain with meandering rivers which resulted in the formation of ox-bow lakes and finally to the irregular lake. The lakes and swamps are generally more productive than the rivers, as it is in the swamps that the more fertile water-borne deposits are laid down, in contrast to the heavier particles of sand which form the infertile bed-load of the rivers. Furthermore, the lakes are fertilized by decomposed organic matter derived from the swamps vegetation which supports an excellent food chain for fishes. This factor explains why all lakes have a low transparency due to suspended silt. Temperature ranges from 24° to 31°C, and pH from 6.5 to 8.5. The swamp waters are acidic (pH 4.5–8.5), with little oxygen content (0.4–2 ppm), but the freshwater rivers have oxygen ranging from 5 ppm to 9 ppm (Scott, 1966) due to water mixing by wind action and increased photosynthetic activity by water plants. Scott (1966) also stated that the lakes and the swamps in the Delta areas are poor in minerals. The phosphate content is less than 1 part per million and the nitrate content is low. Both phytoplankton and zooplankton are very poorly developed as a result of poor mineral deposits.
Freshwater fish farming in this zone will have some practical problems and constraints. There are three major requirements to be considered: provision of water to the ponds, provision of drainage (a minimum mean tidal amplitude of about 0.5 m is available) and permeability of the soil, since this zone lacks a high clay content in the soil.

FIG. 1 - THE NIGERIAN COASTAL ENVIRONMENT
The whole of this zone covers the intertidal areas where saline surface water is encountered. It includes creeks, lagoons, and rivers. The waters of the creeks in Nigeria are reported to be rich in plankton and organic matter. Besides supporting stocks of fishes, oysters are common, attached to the roots of the mangrove trees at intertidal levels. The Nigerian coastline, especially the Delta areas, is extensive but shallow with numerous sandbanks, some of which are exposed at low tide and are joined to each other by intracoastal creeks. During the high-flood season, very strong currents sweep down the rivers, particularly the Nun, Sengana, Ramos and Forcados rivers. The salinity of the estuaries varies during the year, being considerably higher in the dry season, when sea water penetrates further up the rivers, than in the wet season, when rain water and the flood water form the Niger and Benue rivers, and drive the salt water back toward the sea. At the entrance of some of the rivers, salinity in the dry season is about 26 ppt, while in the flood season it drops to 2 ppt.
In the south-western part of Nigeria, the intricate lagoon system of water-ways is included in this zone. It stretches from the Dahomey border to the Niger Delta. During the rains, an immense volume of fresh water from the Ogun, Oni, Oshun and Saga rivers discharges into the lagoon system. Hence the salinity ranges from 0.5 ppt to 28 ppt, pH from 5.5 to 8.5, oxygen concentration from 0.4 ppm to 11 ppm and temperature from 24° to 34°C. The vegetation around this complex lagoon system in Nigeria is characterized by stilt-rooted trees with a dense undergrowth of shrubs and by raffia palms (Raphia sudanica) and oil palms (Elaeis guineensis). The dominant plant species in the swampy areas of the lagoon include Rhizophora racemosa and Avicennia nitida.
It has been observed that the intertidal region in the creeks and lagoons is very narrow and the wide expanse of shallow water in the lagoons never drains to expose sand or mud flats. Because the lagoon system is very shallow, there is little vertical circulation in the water.
This zone of the Nigerian coast had tremendous potential for fish farming. From Pillay (1965), Scott (1966) and hydrological data gathered by NEDECO, it is estimated that the saline swamps in the Niger Delta alone cover 5 048 km2. Pillay's estimate of 500 kg/ha/year would give a total potential yield for the whole unused area of 311 000 ha of about 155 000 t of fish per year. The cost, however, of bringing the whole of this acreage under management as fish ponds is astronomical. At about US$ 1 235/ha, it would cost about US$ 384 million. But considering the rapid increase in population and the high demand for fish in the next few decades, the Nigerian Federal Government could well decide to develop the more accessible parts of this zone for increased fish production.
This zone is made up of beach-ridges and estuaries. The estuaries in the eastern part of the Nigerian coast are very extensive and support permanent fishing communities. Some of the estuaries located at Forcados areas and Bonny-New Calabar areas are fully exploited, while others are under-exploited, such as the areas located in the Sombreiro, Nun and St. Bartholomew rivers. Conditions in some of the estuaries of the coastal zone are more conducive to development than in the creeks. Scott (1966) observed that fishing is better in the estuaries: there are more people and more permanent settlements, living conditions are pleasant, fresh water is available, crops may be grown and there is a steady coming and going of traders in the larger estuaries. In addition to the possibility of increasing the landings by improving the fishing gears, particularly in set-nets and possibly longlines for the capture of the large fish, such as croaker and threadfin, the estuaries of this zone appear suitable for the introduction of trawling from small motor-vessels to exploit the stocks of fish and small prawns. There is enough room for manoeuvring, the waters are fairly sheltered and the greatest danger (the sand banks) can be avoided by using an echo-sounder to fish along given contours.
Fish farming in this zone will have some major constraints because of the choppy conditions and heavy rainfall which occur in the estuaries.
This zone consists largely of the coastal waters of the sea. In the eastern part of the country, this zone is 'mainly made up of the Delta platform and the pro-delta slope. The former extends from the beach to 8–12 km off-shore, a ‘gently inclined, terrace-like feature’. In general, fine sand and course silt occur inshore and coarser silt and dark grey, clayey silt further out. This is broken by the rivers and their bars. It is gradually followed by the pro-delta slope, lying from 8 km to 32 km offshore. This is a fairly smooth sloping bottom of grey silt inshore gradually changing to finer grey or greenish-grey silt further out. Beyond these lies the open continental shelf, a generally smooth slope of greyish-green, silty clays shelving down (Scott, 1966).
The off-shore zone in the western part of the Nigerian coast is immediately followed by the continental shelf. It is relatively shallow especially in the lower latitudes and has a gentle slope of about 1.7 m/km. Its width varies from place to place along the whole stretch of the Nigerian coast. This zone is subject to heavy surf, as it is open to the full expanse of the Atlantic Ocean, and even in the calm weather of the dry season there is a persistent swell.
The movements of the fish in and out of the four zones are presumably determined by changes in salinity, temperature and seasonal breeding migrations. The surface feeding fish (pelagic) of which the most important are the bonga, ‘sawa’ and shad, move from the sea into the estuaries as the salinity there rises in the dry season. The larger estuarine fish which favour reduced salinity (e.g., croaker, snapper, barracuda), appear to move from the estuaries into the middle reaches of the rivers and into the small creeks in the upper part of the brackish-water zone at this time. As a result, large-mesh gillnetting in the estuaries in the dry season suffers, whereas cast-netting and small-mesh gillnets do well. During the next season, as the rivers rise, the reverse takes place. Large stocks of crustaceans occur along the Nigerian coast, especially in the eastern part of the country. They live on the muddy sediments laid down where the flow of the river is impeded by the sea and it deposits its burden of silt and mud. Prawn and shrimp fisheries have tremendous potentials in the Niger Delta and in the adjacent coast, the Calabar area to the coast of the Delta, the Forcados, Escravos and Benin rivers areas on the western fringe of the Delta. The mangrove oyster is plentiful in the brackish-water creeks in the Delta, generally attached to the aerial roots of the mangrove trees, at intertidal levels. Table 1 shows a summary of the potential aquaculture species of finfish and shellfish in Nigeria.
The Nigerian coastal environments are under-exploited in both finfish and shellfish fisheries. This is because peasant fisheries are still dominant. Both the Federal and State Governments are gradually finding answers to the maximum exploitation of our coastal waters.
The following is a very brief description of the fishing gears used along the four major zones of the Nigerian coast.
3.1 Bag Net
A conical bag of light cane bound with raffia palm fibres, some 8–10 m in length by approximately 4 m across the menth. It is set on stakes in batteries of 2–4 pieces, and fishes during the ebb and flow of the spring tides only. The bag net captures prawns, other crustaceans and finfish.
3.2 Basket Trap
Consists of a conical basket 1.5–2 m in length by 3/4 m across the mouth, woven from the midrib of the fronds of the 'palm-wine tree' (Raphia vinifera). Across the mouth of the trap there is a rope of bridle of a local creeper. The trap is set by passing the bridle over a stake, driven into the bottom of the estuary and then pushing the trap to the bottom by means of a long pole. The traps are usually set at low water and fish during the flood tide, but they may also be set to fish the ebb. As might be expected, catches are best during spring tides when currents are strongest. They fish by day or by night and, in general, the best catches are from those set in 3–5 fathoms on a mud or sand-and -mud bottom near the sea. Further upstream, in shallower water, the catches decline.
3.3 Brush-Wood or Leaf Trap
A row of leaf branches or bundles of twig tied to stakes, driven into the bottom of the creek or river. The shrimp and prawns gather in these and are captured by hand nets, or they are lifted out of the water and the prawns are beaten out of them.
3.4 Canoe-Screen
A square of netting of 3–4 m sides; three sides are attached to a wooden frame, the fourth side to the gunwale of a canoe. It has supporting lines from the canoe to the far side of the frame to raise the net. The net is dipped into the water and small fish and prawns scooped into the canoe, which is moved along the edge of the river or creek, sieving the catch out.
3.5 Cast Net
A cone of netting weighted round the base and so constructed that, when held at the apex and properly thrown, the net spreads out, strikes the water in a circle and sinks quickly to trap the fish under it. Cast nets are of various sizes: (2–4 fathoms deep and up to 16 m in diameter when cast) and meshes (50–55 mm for small bonga, 60 mm for large bonga, 25–50 mm for fishing small mullets and tilapias), and may be specially adapted for certain species of fish. The bottom of the net is usually caught up to form pockets for capturing fish, particularly mullets and tilapias.
A fisherman may own as many as 20 cast nets and each man may carry 3–5, when fishing, although only one is used in a canoe at any one time. Cast-netting is a very effective fishing method in the Delta but is on the whole a young man's technique, as it requires great physical effort (Scott, 1966).
3.6 Fishing Stake/Enclosure
A single row (or two converging rows) of stakes, driven into the bed of a river, creek or estuary, and leading into an enclosure in which fish, moving along the line of stakes, are trapped. The enclosure is formed of wooden screen supported by stakes or, more usually, of thin stakes bound to each other to form a screen through which water can flow but from which fish cannot escape. The opening into the enclosure to which the line of stakes leads is large enough to allow fish to enter, but its edges curve in to make a non-return entrance. The enclosure may be a single chamber, heart-shaped or triangular, or 2–3 chambers each giving access to the next, thus making more difficult for fish to escape.
Fishing stakes are usually set on the edge of sand banks or out of the edge of the creek. The enclosure may have mud piled up in it, so that it dries out at low water, and the fish are stranded, or the fish may be scooped out by hand nets.
3.7 Gillnet
A rectangular sheet of netting, fixed to a headling on top and usually to a foot rope at the bottom. The headline is fitted with floats to hold the net upright, the floats being fixed directly to the headline or on lengths of line so adjusted as to make the net fish at a given depth below the surface.
The foot-rope is usually weighted by attaching to it pieces of iron, concrete, shells. Fish are captured when they swim into the net, either being caught by their gills or by their fins, spines, etc. The gillnet may be operated in a number of different ways:
As a set-net: the foot rope is weighted and is anchored to each, so that the net fishes at the bottom, in a fixed position, sweeping only a limited area with the tide.
The small-mesh set nets are used near the edge of creeks mainly for drum, the shoals of which are sometimes located by the fishermen listening for them either under the water or by dipping the paddle into the water and listening to the vibrations which travel along the blade to the handle. These techniques are used in other parts of the world in fishing for small sciaenids which make croaking noise both in and out of the water.
The large-mesh set nets are used in the rivers, estuaries and large creeks for capture of croaker, threadfin, barracuda, catfish and also the larger drums.
As a dragnet: the foot-rope is lightly weighted so that the net drags on the bottom, but is moved along with the current.
As a drift net: the foot-rope is lightly weighted or unweighted, or may even be absent. The net drifts freely with the current. Drift nets are used in the larger creek estuaries and rivers, their catches depending on the mesh of the netting as in the case of the set nets. They are particularly effective for shad, bonga and other small shoaling fish.
As an impounding or encircling net: the net is set in a circle round a shoal of the fish and the fish are then driven into the net by splashing the water within the net.
Gillnets vary considerably in size and mesh, but are generally 15–30 fathoms long and 0.5–5 fathoms deep. The mesh varies according to the fish sought. For bonga and small fish, it is about 50 mm (stretched), ranging up to 100–150 mm in large set nets and to 230 mm or more in shark nets. The smaller-mesh nets are usually so deep as those of larger mesh. The net is usually set on almost straight with little flow or ‘bunt’. The traditional cotton netting is being rapidly replaced by synthetic netting, although the head-and-foot ropes are usually cotton.
The netting is usually bought by the piece and then set up by the fisherman, but some fishermen still weave their own nets and most experienced fishermen are skilled net-makers.
3.8 Hand Net
A circular hoop of about 0.75 diam., to which is attached a 1 m long bag of fine-mesh net. The operator moves along the shallow water at the edge of a creek or sand bank, sieving the water for small fish and prawns. It is usually used by women for food for the family.
3.9 Light Fishing
Lights may be used in conjunction with any of the methods used for surface or shallow-water fish (drift nets, set nets, stakes, beach seines, canoe screens) to attract fish into the area where they can be caught.
3.10 Line
A length of strong fishing twine to which is attached, at intervals, a number of hooks on short side-pieces of finer twine (snoods). The size and number of the lines and hooks varies from lines with a score of hooks as used by women for subsistence fishing, to several hundred hooks as in the unbaited-hook fishery for rays.
A variety of baits is used, such as small prawns, for the small lines and pieces of fish/live fish, when fishing for large fish. The most unusual bait which is in common use in some areas is carbolic soap. It is effective but is said to impart an unpleasant flavour to the fish.
The lines may be shot across the current, but are usually shot with it and are anchored by heavy weight at each end to which is attached a calabash or shaped piece of wood as a marker float.
3.11 Screens
Of raffia palm mid-ribs which are fixed parallel to the edge of the creek to from ponds or as enclosures in shallow areas. The crustaceans and small fish are trapped by the screens as the water drains into the creek or ebbs from the shallows. The screens may be used in conjunction with a non-return trap which is placed in the main drainage channel into which the catch is funneled.
3.12 Seine
A triangular bag of netting with extensions on each side, to which are attached long ropes. The ropes and net are set to encircle a shoal of fish and then the ropes are hauled in, driving the fish into the centre of the encircled area where they are eventually trapped in the net. Seines may be operated from the shore (beach-seine) or from boats off-shore (e.g., Danish seine).
3.13 Snag Hooks
Group of unbaited hooks set at intervals along a line, on the creek or river-bottom. Fish, mainly rays, are pierced by the hooks as they move along the bottom.
3.14 Trammel Net
A set net consisting of a loose, small-mesh net which is mounted between two large-mesh nets, all three nets being mounted on the same head-and-foot ropes. It is essentially an entangling net, large fish being enmeshed in pockets of small-mesh netting formed when they force their way through, but it also acts as a gillnet for smaller fish and thus is effective against a wide size-range of fish.
3.15 Traps
Various types of basket-traps are used along the Nigerian coast. Apart from traps for prawns, which is an open cone relying on the force of the current to prevent the prawns from escaping, some other traps are woven containers with a single incurving, non-return entrance, either tubular or slit-like. They range from small, purse-shaped mudskipper and crab-traps, about the size of a briefcase, to cylindrical fish traps about 1.25 m long and 0.5 m in diam. They may be baited or unbaited, the latter's attraction being the shelter they afford. They are usually woven from raffia fibre.
3.16 Trawl
A triangular bag of netting with extensions on each side (wings) which is towed by wire or rope-leads along the seabed behind a boat, to scoop up fish and prawns.
3.17 Trigger Hook
A stick, driven vertically into the mud, to which is attached a line and baited hook, held under tension by a trigger arrangement. When a fish takes the bait the trigger mechanism is released and the stick straightens up, usually pulling the hooked fish clear of the water to avoid the catch to be taken by predators.
Jurisdiction over property (i.e., on land and water) rests with the Federal Department of Lands in the Federal Ministry of Works and Housing. In the Northern States (i.e., Kano, Kaduna, Sokoto, Burno, Bauchi and Gongola), land had always belonged to the crown, whereas, until recently, in the southern states, private ownership (by individuals, family or community) was the rule. Introduction of the ‘Land Use Edict’ about two years ago has made all property (undeveloped land and water) in the country essentially crown property. The implication is that individuals or corporate bodies now have certificate of occupancy for a piece of property on a leasehold basis, instead of the former freehold conveyance, which enabled individuals/corporate body to transfer the property freely. Under the present arrangement the property reverts back to the crown at the expiration of the certificate of occupancy, if unrenewed or revoked by the Government. The Government is able by this arrangement to provide several people with land for various purposes rather than concentrate it in the hands of a few rich individuals or families.
Establishing a coastal fish farm involves the procurement of a suitable parcel of land for the fish farm, and registering the farm as a business venture, depending on its size and the capital outlay. Under the private ownership of property, it would have been necessary to check from the Lands Department the correct owner of the property, and having settled with the correct owner, to re-register the property so that the title deed would reflect the new owner. However, with the new arrangement of Land Use Edict, what is required is to identify the suitable parcel of property and to apply to the appropriate authority to allocate the said property for establishing a fish farm. Unless there is a superior claim on the property from another Government development interest, it would usually be allocated for a specified period and a nominal annual rental. Having obtained the property, the next step would be to register the fish farm, especially if it is on a commercial scale, with the Ministry of Trade in accordance with established regulations. It is equally useful, although not a legal prerequisite, to inform the Federal Department of Fisheries of the existence of such a fish farm in anticipation of the Fisheries Department's function to the entire fisheries industries.
Extension service to support aquaculture development are provided by the Federal Department of Fisheries and the various State Department of Fisheries in the country. Fish seed, feed, fertilizer and equipment for pond construction are provided by the Federal Department of Fisheries at subsidized rates. Also, technical assistance is provided to crop or harvest ponds, and cold stores are provided on payment of nominal hire charges. The list of items and the rates of subsidy are shown below:
| Items | Subsidy Rate |
| Fish seed (indigenous species) | 50% |
| Pond construction equipment | 50% |
| Fish feed | 50% |
| Fertilizer (where found necessary) | 50% |
| Cropping/harvesting | Technical assistance offered |
| Cold store | Payment of nominal hire charges |
At the moment, conflict between aquaculture in the coastal areas and other developments would appear to be minimal, if indeed it exists. One major reason is that the bulk of usable property for coastal aquaculture is essentially rural swampland that attracts virtually no industrial, agricultural, housing or tourist investment for development. However, it must be emphasized that the recent Government philosophy of integrated rural development coupled with the natural urban spread could result in coastal aquaculture actively competing with industries, housing and even tourism because some of these rural swamplands have peculiar exploitable beauty of theirs. We envisage such a situation to arise when effective, and cheap building technology and good communication with the rural areas have been developed. It is perhaps pertinent to state that in a recent developmental conflict between fishing and trade for a parcel of rural swampland to the west of Lagos, it was trade that won, as evidenced by the existence of the Tin Can Island Port Complex.
Fish production from all sources is estimated at 495 000 t, while actual demand reaches 869 000 t, based on an average per caput consumption of 11 kg and a population of 79 million. The actual deficit amounts to 374 000 t. This figure could be higher because of the increases in incomes and the consequent higher purchasing power. The deficit in fish demand must be balanced although it is unlikely that it will be entirely from capture fishery, because there is a limit to the expansion of the demersal fisheries. An alternative method of fish production that could bridge the gap is aquaculture.
From observations and reports, it appears that a large part of the country's 1.8 million ha of swampland (fresh and brackish) could be converted into viable fish ponds. Assuming that only 50 percent (or 900 000 ha) of the swampland could be made to produce annually 1 t/ha, about 900 000 t of fish could be provided to bridge the gap in fish demand, and also offset imports of over Naira 1 billion per year.
Location of the swamplands in the rural areas and the possible creation of the forward and backward linkage industries in other sectors of agriculture, would increase the economic activity of the rural areas. This would generate employment and thereby help reducing the actual population drift.
In addition to the subsidized inputs already listed, financial assistance is also available under the Agricultural Credit Guarantee Scheme Fund. By this scheme, a fund, amounting to Naira 100 million, was established in 1977. Sixty percent of this amount was subscribed by the Federal Military Government and 40 percent by the Central Bank of Nigeria.
The fund was to provide guarantee in respect of loans granted by any bank to farmers for agricultural purposes, including fish farming. The maximum liability of the fund in respect of any gurantee given under the scheme was to be fixed periodically by the Commissioner for Finance. At the moment, individuals can get up to a maximum of Naira 50 000 while a cooperative society or a corporate body can get a maximum of Naira 1 million. The interest rate chargeable by banks on credit facilities provided under the scheme, was to be as prescribed by the Finance Commissioner. As at now, the interest rate chargeable on loans to cooperative societies is 4 percent per year, while in other cases the rate is 6 percent per year.
Other financial incentive to promote agriculture, which includes aquaculture development, are: a 5-year tax holiday for investors in combined agricultural production and processing, abolition of import duties on machinery and equipment used for agricultural production, and the removal of import duties on new materials for the manufacture of livestock feeds.
When aquaculture is considered against the background of total fish production and demand in the country, the potential for aquaculture is enormous. This potential could be realized only under the correct financial climate and availability of the appropriate technology. The Federal Government is providing the necessary financial climate, while institutes involved with aquaculture research and development are working towards providing the required technology.
One major problem of aquaculture is the demonstration of its economic viability. Bad planning and management, coupled with lack of the right technology, would appear to have portrayed aquaculture endeavours, so far as economically unviable. In order to attract investors, therefore, there is a great and urgent need to demonstrate through better planning and effective management the economic viability of aquaculture. Notwithstanding the fact that Nigeria's oil drilling activities are in the creeks and relatively near the coast, very little crude oil pollution has been reported until now. The situation is being monitored constantly. One source of pollution that requires careful monitoring, considering the danger it poses, consists in the effluents discharged from the chemical industries, which are increasing daily in number and size.
Bayagbona, E.O., 1979 Survey of shrimp resources of Nigeria. August 1972-July 1973 Nigerian Institute for Oceanography and Marine Research, Occ.Paper(24)
Durosilorun, U.A., 1978 Agricultural credit guarantee scheme and farmers. Lagos, Nigerian Herald, November 2
Ezenwa, B.I.O., 1975 Fish seed production in Nigeria. CIFA Tech.Pap., (4) Suppl.1:441–449
Ezenwa, B.I.O., 1979 Supplementary diets in fish culture and feed formulation technology in Nigeria. Nigerian Institute for Oceanography and Marine Research, Occ. Paper (in press)
Pillay, T.V.R., 1965 Report to the Government of Nigeria on investigations of the possibility of brackish-water fish culture in the Niger Delta. EPTA/FAO Rep.(1973):52 p.
Scott, J.S., 1966 Report on the fisheries of the Niger Delta Development Board
Sivalingam, S., 1973 On the grey mullets of the Nigerian Coast: prospects of their culture and results of trials. Federal Department of Fisheries, Occ. Paper
Anon., 1978 A pre-feasibility study of brackish-water and freshwater fish farming in Nigeria (draft report)
Table 1
Summary of data on aquaculture species of finfish and shellfish in Nigeria
(Modified after Sivalingam, 1973; Ezenwa, 1975 and 1979)
| Species | Popularity with consumers | Availability of seeds for stocking | Known feeding habits | Salinity tolerance (in ppt) | Remarks |
| LOCAL SPECIES | |||||
| Tilapia rendalli Tilapia nilotica Tilapia galilaea Tilapia zillii | average | year round and adequate | Algae, phytoplankton detritus, various supplementary feeds | 0–26 or more depending on species | Hardy and good as standby species in absence of more popular species for stocking. Uncontrolled breeding a disadvantage. |
| Chrysichthys nigrodigitatus | very good | year round but inadequate | Bivalves-supplementary feed; groundnut cake and palm kernel cake essential | 0–26 | Hardy but supplementary feed absolutely necessary. Has grown well with tilapias and mullets |
| Liza falcipinnis Mugil bananensis Liza grandisquamis Liza dumerilii Mugil monodii Mugil curema | good | year round and adequate | Detritus, phytoplankton, algae, supplementary feeds (?) | 0–35 | Has given good results in brackish water. Experiments in fresh water under way |
| Clarias lazera | very good | year round but inadequate | Omnivorous, supplementary feeds | 0–25 | Can be stocked very densely provided supplementary feed is given. Now cultured with tilapias |
| Heterotis niloticus | low | seasonal and inadequate | Phyto- and zooplankton | freshwater only | Small sizes favoured. Larger sizes said to be of lower taste |
| Ethmalosa fimbriata (Bonga) | good | seasonal ? | Phytoplankton | 0–35 | Comes into ponds with the tide. Appears to be sensitive to oxygen deficiency, delicate and does not keep long once out of water |
| Penaeus durarum | very good | seasonal | Detritus of both plant and animal origin | 0.5–35 | Comes into ponds with the tide. Delicate and limbs easily damaged. Has grown to about 20 g in ponds |
| Macrobrachium spp. | very good | seasonal | Detritus of both animal and plant origin | Fresh to about 10 | Caught in abundance in certain areas of the country |
| Lates niloticus | very good | scarce | Predatory | Fresh water only | Good predator species for tilapias, but preys on carps also. Fast growth |
| Hemichromis fasciatus | low | adequate | Predatory | 0–26 | Good predator species for tilapia. Does not grow beyond about 20 cm. When grown with large carps, feeds on tilapia fry and fingerlings only |
| Lutjanus apodus Lutjanus agennes | good | inadequate | Predatory | 1 - above 30 | Good predator species for tilapias in brackish-water ponds |
| Gymnarchus niloticus | good | inadequate | Predatory | Fresh water only | Good predator for tilapias. Fast growth |
| Elops lacerta | low | inadequate | Predatory | 1–26 | Comes into ponds with the tide. Delicate and sensitive to oxygen deficiency, does not keep long out of water |
| Crassostrea gasar | good | almost throughout the year | Phytoplankton | 2–32 | Spat settles better on hard timber than old oyster shells or asbestos. Better settlement in the shade than in open areas. Settlement more abundant in depths between about 30 cm and 100 cm from water surface. Available all along the coastline in the brackish-water areas. Can grow to about 8 g (wet meat) in one year under natural conditions |
| Heterobranchus bidorsalis | good | seasonal | Omnivorous | Fresh water | Responds well to fertilizer and supplementary feeding |
| Distichodus engycephalus | good | seasonal | Herbivorous | Fresh water | Some ponds are noted for excess grass and weeds. These species are suspected to keep weeds under control |
| Distichodus brevipinis | good | seasonal | Herbivorous | Fresh water | - |
| Distichodus rostratus | good | seasonal | Herbivorous | Fresh water | - |
| Malapterurus electricus | good | seasonal | Predator | Fresh water | Good predator species for excess tilapia in ponds |
| Megalops atlanticus Pomadasys jubelini | good | seasonal | Predator | 5–30 | Comes into pond with tide. Good predator species for excess tilapia in brackish-water ponds |
by
B.I.O. Ezenwa
Research Officer (Fish Culture)
NIOMR
Lagos
Nigeria
A monoculture study of the catfish, Chrysichthys nigrodigitatus (Lacépède) was undertaken between January 1976 and July 1977, in brackishwater ponds off the shores of Lagos lagoon, using groundnut cake as the main supplementary feed. Data obtained included food conversion values, condition factors, length-weight relationships, survival and growth. Remarkable differences existed in lengths and weights of fed and unfed catfish. For the unfed catfish, there was a gain in weight of 114.1 percent compared to 858.1 percent for fed catfish.
The Nigerian coast is characterized by extensive stretches of swamps and shallow areas not utilized for any other profitable form of agriculture. If the catfish (Chrysichthys nigrodigitatus) could be grown in brackish waters unsuitable for any other crop, then a promising catfish industry awaits the coastal waters of Nigeria. In a continuous search for cultivable indigenous species, the catfish (Chrysichthys nigrodigitatus) was chosen in this project for initial monoculture studies. The research ponds are located very close to the shores of the Lagos Lagoon (Fig. 1). This paper reports on survival under varying salinity fluctuations, food conversion values, condition factors, length-weight relationship, and economics of production.
Three 0.41 ha excavated ponds and one 0.25 ha enclosure (open pond), built with 6.25 mm nylon mesh very close to the lagoon, were used in this project. The excavated ponds and open ponds were 0.75 m deep at the shallow edges and 1.5 m in the middle. The water supply came from the Lagos Lagoon and was fed to the ponds during high and low tides through a regular channel (Fig. 1). The water entering the ponds through a gravel-filled gate for filtration, was clear and fluctuation of the water level depended on the tide.
At the start of each experiment, the three excavated ponds were emptied and left dry for one week before liming. The effects of liming on a pond are quite considerable, especially when the bottom is too muddy and the organic content is too high, which may lead to oxygen depletion. Soil pH before liming was determined. The dried ponds were limed at the rate of 550 kg of calcium oxide (quicklime) per ha. In the open pond, the lime was spread on the water from a boat.
In many warm-water fish ponds, the essential aim of fertilization is the development of plankton. Since the catfish is a bottom feeder and in its natural environment feeds on organisms that have plankton as their primary source of food, phosphate fertilizer was applied only once in the four ponds at the beginning of each experiment. The fertilizer was applied a week after liming, at the rate of 30 kg triple superphosphate per ha.
The ponds were then filled with water. The fish stocked were of the same size and averaged 15.6 cm in total length. Feeding began on the second day after stocking and continued for a period of nine months (271 days). There was no feed for the control pond. The feed consisted of groundnut cakes, a waste by-product obtained after extraction of oil by commercial firms in Northern parts of Nigeria. It was given twice daily, at the rate of 0.65 kg in the morning and 0.65 kg in the evening. Each distribution represented approximately 10 percent body weight of the fish stocked.
After nine months of stocking, the ponds were drained, the fish were harvested, sorted into groups, counted and weighed. The standard and total lengths measurements were also recorded of each specimen.
The same procedure was adopted in the replication experiment.
The length-weight relationships were based on the average measurement expressed logarithmically, as log W = log a + b log L, where W is the live weight in grammes and L is the total length in millimeters.
Fulton's coefficient of condition or condition factor (K) was calculated from the formula K = 100 W:L3.
The efficiency of the food conversion was calculated as FC = (total weight of food fed in kg): (total gain in weight of fish in kg).
Water quality parameters measured in the ponds included salinity (range 0.45–23.6 ppt); hydrogen ion concentration (pH 6.3–8.1); temperature (26.5°C–32°C); turbidity (28.1–80 cm); oxygen concentrations (0.38–1.41 ppm). Measurements were made twice a week in morning and afternoon sessions. There were considerable fluctuations in salinity measurements.
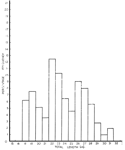
The catfish were harvested after nine months of stocking. Details of the lengths and weights of the harvested fish from both the fed and unfed ponds are shown in Table 1 and illustrated in Figures 2 and 3. Figures 4 and 5 show the scatter diagram of the length-weight relationship of the harvested catfish.
Pond I recorded the highest yield with a total net gain in weight of 7.12 kg, followed by Pond III (73.11 kg) and Pond II (56.02 kg). In the second growth period, Pond I again recorded the highest yield with a net gain of 38.20 kg, while Pond II had 29.83 kg and Pond III 26.73 kg. The control pond had poor yields, with 9.54 kg and 3.9 kg net weight gains, respectively. There was thus an appreciable difference at harvest between the fed and unfed fish. Average gain in lengths during the first experiments were 20.4 cm (Pond I), 17.7 cm (Pond II), 20.3 cm (Pond III) and 9.4 cm (Pond IV). In the second experiments, average gains in lengths were 16.0 cm (Pond I), 14.2 cm (Pond II), 13.6 cm (Pond III) and 6.2 cm (Pond IV). Growth was remarkably slow during the first experiments with a mean of 5.9 g for the three ponds. In the second experiments the growth values were 9.22 g (Pond I); 11.81 g (Pond II) and 13.18 g (Pond III) with a mean of 11.40 g for the three ponds. On the basis of the above values, it could be concluded that Pond I, during the first period, had the best food conversion value (FC = 4.45), while Pond III of the second growth period had the worst one (Tables 6 and 7). The mean food coefficients for the three ponds were, respectively, 5.19 and 11.40 during the first and the second growing periods. To what extent pond food organisms contributed to these differing values could not be ascertained in this project.
Length-weight relationship of C. nigrodigitatus for the two treatments - fed and unfed fish - are shown in Figures 4 and 5. When the data were compared, the functional regression value ‘b’ for the unfed fish was 3.0171, while the value ‘b’ for fed fish was 4.8642. The two treatments exhibited an allometric growth (Ricker, 1975) because of the changing body forms, stomach contents and development of the gonads. Since the length-weight regression value is a relative measure of condition, the above difference between the ‘b’ values could be interpreted as a measure of difference in condition between the groups which changed in size throughout the growth experiment.
The regression equation Log weight = Log a + b Log length was calculated for the two treatments. For the unfed ponds the equation was:
Log weight = - 2.3344 + 3.0171 log length
and for the fed ponds it was:
Log weight = - 4.9687 + 4.8642 log length
In its natural environment, some workers calculated the above values for C. nigrodigitatus. Ajayi (1972), in his general studies of the Bagridae in Kainji Lake, calculated the corresponding regression equation to be:
Log weight = - 1.90 + 3.012 log length
Ikusemiju (1973), in his length-weight calculations of C. nigrodigitatus in the Lekki lagoon, had the regression equation:
Log weight = 12.0851 + 3.0177 log length
On the basis of the above values, remarkable difference in growth existed between fed and unfed specimens of C. nigrodigitatus.
The groundnut cakes feed used in this project is available as a waste surplus at many oil mills in the northern part of Nigeria. Compared with other local feeds like the palm-kernel cake and bran sweepings from rice mills, it has a much higher protein content (Kent-Jones and Amos, 1957). Because this feed was not manufactured commercially according to international standard and requirements of protein, carbohydrate, vitamins and minerals, the standard feeding rate of 3 percent body weight was not followed. Rather 10 percent was applied in the morning (10.00 h) and 10 percent in the evening (16.00 h). This feeding ratio (approximately 1.3 kg daily) was observed throughout the growth periods to avoid water contamination or oxygen depletion, to ensure that not much feed was lost to the mud and hence to the fish, and also to avoid fish contamination by aflatoxin, the toxin produced by Aspergillus flavus and present in corn, peanuts and cotton-seed (Lovell, 1977).
Similar approaches to experiments on local feeds in Nigeria have been adopted. Maclaren (1949) reported that crushed hermit crabs at the rate of 0.5 kg per 0.1343 m2 produced the optimum yield in small ponds, stocked with C. nigrodigitatus. Increased rates, he observed, produced no appreciable effect, even when combined with heavy stockings of small fish. Zwilling (1963) fed fish species with spoiled groundnuts, guinea corn and groundnut cakes at a chosen rate of 4 percent of the initial weight. Sivalingam (1972) tried common carp (Cyprinus carpio) with groundnut cake at an arbitrarily chosen rate of 2.5 kg, plus a 135-g cup of palm oil.
In countries advanced in fish farming, the 3 percent body weight feeding rate is gradually being revised to take account of other factors. Perry and Avault (1971) in their polyculture trials of blue, white and channel catfish in brackishwater ponds, applied to the ponds 0.09 kg mixture of one-fourth floating and three-fourths sinking feed rations until they were accustomed to the floating type. The feeding rate was later dropped to the standard 3 percent body weight of a commercially compounded floating feed. Cowey et al., (1972), in their studies on growth rate and conversion ratio of the flatfish, arbitrarily selected daily feeding ratios: fish of 12–13 g were fed a pelleted diet twice daily, 6 days a week at rates varying between 0.5 g dry ration/100 g biomass and 2.5 g dry ration/100 g biomass. Bergstrom (1973) investigated the effect of different levels of dietary fat, protein and carbohydrates on growth and survival of Atlantic salmon. No harmful effects were noticed at the various rates as high a percentage as 20 percent of the diet. In 1975, Professor Marck of the Ministry of Agriculture in Israel (cited by Tom Lovell, 1977a), proposed a revision of the feeding table for carp in ponds in that country in order to take into account the nutrient contribution of natural food. He demonstrated that the carp obtained 4.8 kg of protein per ha/day from natural pond food. Lovell (1977a) observed that in intensely fed ponds, channel catfish received only 14.18 kg of digestible protein and 83.3 calories of digestible energy from pond food organisms during a 180-day period.
In view of experience of previous workers in both advanced and developing countries, more research work is worth carrying out on local feeds in Nigeria to determine feeding rates and also improve their protein, carbohydrate, fat, vitamin and minerals contents for maximum fish production in ponds.
The future prospects for the catfish industry in Nigeria are very bright. If fully developed, it could contribute largely toward meeting the demand for fish. The species grows well in both fresh and brackish water. This section considers the estimated costs, running costs and returns for monoculture trials in a brackish-water fish farm. Details are shown in Appendix 1. Costs, naturally, would depend on the layout of the land, the amount of clearance to be done and the cost of water supply.
4.2.1 Water supply
Adequate water supply is a prime factor. On relatively level land, water must be supplied by streams, springs or wells. Streams generally provide a low-cost water resource for the fish farmer, though diseases and wild fish stock could easily be introduced into the ponds. A prospective fish farmer must balance the risks associated with smaller water delivery systems against the costs of larger systems.
4.2.2 Land charges
Price of land varies depending upon several factors. In brackish-water areas, the land is swampy and could not possibly be put to other profitable agricultural enterprises. Purchase of land from such swampy areas in Nigeria is relatively very cheap. Location of land can however modify its value. In the inland areas, land is more costly since such lands could easily be converted to other uses. Before committing resources to pond construction, the farmer should carefully weigh alternative uses of his land and financial resources available for his fish farm project.
4.2.3 Pond construction
The costs depend on nature of land and ground water. Earlier research has indicated that cost per surface hectare of water decreases with increased pond sizes. Some authors have recommended the building of rectangular ponds of about 8 ha. Coverage of the ponds with feed, they observed, is enhanced and harvesting problems and costs are reduced when 8-ha ponds are used. In southern United States of America, an 8-ha pond stocked with 6 250 catfishes/ha would contain approximately 22 727 kg of fish at harvest. Larger ponds would extend the harvest period and increase the risk of death loss among live hauled fish.
4.2.4 Other accessories
Other items required include nets and fishing equipment for harvest and sampling exercises, storehouse for lime, fertilizers and feeds, canoes, fertilizers, feeds, chemicals, simple water quality kit and general store used as service building.
4.2.5 Labour
The manpower requirement will include fishermen, and the fish farmers for pond maintenance, feeding, water-quality monitoring and other duties. Labour requirements are estimated in the pilot project and are included in the operating costs.
4.2.6 Operating costs
These include such items as purchase of fingerlings, feeds, lime and fertilizers. Operating costs are sometimes called variable costs, since they change depending upon the level of production. Fingerlings and feed costs make up over 60 percent of operating costs and it is very important that high quality is obtained when purchasing both items. Net returns represent the difference between total costs and total returns. The net returns generally are a payment to land, unpaid family labour, capital and management used in production. Principal payments on land and capital items must be withdrawn from net returns to determine returns to management and unpaid family labour.
Ajayi, O., 1972 Biological studies on the family Bagridae in Lake Kainji, Nigeria. M. Phil. Dissertation, University of Ife. Ife, Nigeria, 115 p
Bergstrom, E., 1973 The role of nutrition in growth and survival of young hatchery reared Atlantic salmon. Int.Atlantic Salmon Symposium: 265–281
Cowey, C.B. et al., 1972 Studies on the nutrition of marine flatfish. The protein requirement of plaice. Brit.J.Nutrition, 28:447–457
Ikusemiju, K., 1973 A study of the catfishes of Lekki Lagoon with particular reference to the species, Chrysichthys walkeri (Bagridae). Ph.D. Thesis, University of Lagos, Nigeria, 188 p
Kent-Jones, D.W. and A.J. Amos, 1957 Modern cereal chemistry. Liverpool, Northern Publishing Co., Ltd., 817 p. 5th Edition
Lovell, T., 1977 Fish farmers concerned over contamination of corn crop. Commercial Fish Farmer and Aquaculture News, 4(1):20
Lovell, T., 1977a Estimate needed on contribution of pond organisms to fish feed. Commercial Fish Farmer and Aquaculture News, 3(5):30
Maclaren, P.I.R., 1949 Brackish-water fish cultivation experiments at Lagos, Nigeria. Report on fisheries investigations (1942–48) in Nigeria, Lagos, Federal Fisheries Occ.Paper, 12 p
Perry, W.G. and J.W. Avault, 1971 Polyculture studies with blue, white and channel catfish in brackish-water ponds. Paper presented at the 25th Annu. Meeting Southeastern Ass. of Game and Fish Commissionners, Charleston, California.
Ricker, W.E., 1975 Computation and interpretation of biological statistics of fish populations. Bulletin Fish.Res.Board Canada, (191):382 p.
Sivalingam, S., 1972 Fish culture possibilities around Lagos Lagoon and results of recent trials. Lagos, Federal Fisheries Occ. Paper 13, 21 p
Zwilling, K.K., 1963 Carp farming on the Jos Plateau, Nigeria, Bulletin de l'I.F.A.N. 25, Série A(1):286–298
| Naira | |||
| CAPITAL EXPENDITURES | |||
| 1. | Acquisition of swamp land (50 ha) at Naira 30/ha | 1 500 | |
| 2. | Clearing at Naira 50/ha | 2 500 | |
| 3. | Surveys at Naira 30/ha | 1 500 | |
| 4. | Earth work (local labour) | 5 500 | |
| 5. | Vegetative cover for dams | 1 000 | |
| Total | 12 000 | ||
| WATER SUPPLY | |||
| 1. | Thirty water inlets at Naira 20 each | 6 000 | |
| 2. | Special filtration structures at inlets to remove unwanted organisms (using gravel, sand, etc.) | ||
| 300 | |||
| Total | 6 300 | ||
| EQUIPMENT AND BUILDINGS | |||
| 1. | Nets and fishing equipment | 800 | |
| 2. | Two canoes at Naira 200 each | 400 | |
| 3. | Storehouse | 5 000 | |
| 4. | Service building | 4 000 | |
| 5. | Fuel tank and pump | 2 500 | |
| 6. | Miscellaneous items | 1 500 | |
| Total | 14 200 | ||
| OPERATING COSTS PER YEAR | |||
| 1. | Feeds (groundnut pellets), including transportation costs | 8 000 | |
| 2. | Repairs to nets and fishing equipment, including canoe replacement | 500 | |
| 3. | Purchase of chemicals for control of diseases and parasites | 300 | |
| 4. | Fertilizer | 1 000 | |
| 5. | Lime | 500 | |
| 6. | Wages for 10 fishermen at Naira 60/ m/m | 7 200 | |
| 7. | Two fish farmers at Naira 200/ m/m | 4 800 | |
| Total | 22 300 | ||
| RETURNS PER YEAR | |||
| In fed ponds, the mean production would be about 1 733 kg/ha. For 30 ha of pond surface, total production would be about 52 000 kg of catfish. | |||
| 52 000 kg of catfish at Naira 3/kg | 156 000 | ||
| Total costs per year | 74 300 | ||
| Net returns per year1 | 81 700 | ||
Table 1
Comparison of lengths and mean weights between fed and unfed fish
| FED FISH | UNFED FISH | ||||
| Length (cm) | No of Specimens | Mean Weight (g) | Length (cm) | No of Specimens | Mean Weight (g) |
| 18 | 18 | 24 | 32.7 | ||
| 19 | 19 | 30 | 39.3 | ||
| 20 | 20 | 20 | 40.1 | ||
| 21 | 21 | 15 | 42.9 | ||
| 22 | 22 | 50 | 45.7 | ||
| 23 | 6 | 51.5 | 23 | 42 | 56.0 |
| 24 | - | - | 24 | 26 | 61.0 |
| 25 | 55 | 68.0 | 25 | 20 | 60.8 |
| 26 | 65 | 82.2 | 26 | 37 | 65.5 |
| 27 | 50 | 97.0 | 27 | 32 | 72.4 |
| 28 | 79 | 117.3 | 28 | 23 | 125.0 |
| 29 | 94 | 153.8 | 29 | 12 | - |
| 30 | 134 | 169.8 | 30 | 2 | 161.1 |
| 31 | 92 | 209.1 | 31 | 8 | 171.4 |
| 32 | 63 | 261.8 | |||
| 33 | 67 | 273.8 | |||
| 34 | 77 | 321.8 | |||
| 35 | 73 | 375.9 | |||
| 36 | 89 | 419.6 | |||
| 37 | 113 | 467.0 | |||
| 38 | 81 | 510.6 | |||
| 39 | 15 | 541.5 | |||
| 40 | 22 | 579.8 | |||
| 41 | 11 | 621.4 | |||
| 42 | 15 | 625.7 | |||
Table 2
Length and mean weight data from the experimental ponds
First experiment: January–September 1976
| FED FISH | UNFED FISH | |||||||
| Total Length (cm) | Pond I | Pond II | Pond III | Pond IV | ||||
| No | Mean Weight (g) | No | Mean Weight (g) | No | Mean Weight (g) | No | Mean Weight (g) | |
| 18 | 12 | 34.6 | ||||||
| 19 | 16 | 43.2 | ||||||
| 20 | - | - | ||||||
| 21 | - | - | ||||||
| 22 | 20 | 48.3 | ||||||
| 23 | 21 | 56.4 | ||||||
| 24 | 6 | 61.0 | ||||||
| 25 | 7 | 63.1 | ||||||
| 26 | 12 | 85.1 | 17 | 69.7 | ||||
| 27 | 16 | 92.6 | 20 | 75.1 | ||||
| 28 | 14 | 136.0 | 23 | 125.0 | ||||
| 29 | 4 | 161.4 | 18 | 150.1 | 12 | 150.3 | ||
| 30 | 12 | 172.0 | 15 | 185.4 | 16 | 175.1 | 2 | 161.1 |
| 31 | 8 | 201.3 | 13 | 250.0 | - | - | 8 | 171.4 |
| 32 | 15 | 240.1 | 11 | 284.3 | 24 | 251.2 | ||
| 33 | 10 | 270.5 | 10 | 300.0 | 15 | 301.6 | ||
| 34 | 6 | 324.7 | 16 | 341.7 | 16 | 334.0 | ||
| 35 | 12 | 396.4 | 27 | 380.6 | 22 | 371.7 | ||
| 36 | 36 | 450.9 | 13 | 440.5 | 13 | 401.5 | ||
| 37 | 38 | 481.0 | 14 | 483.3 | 28 | 445.0 | ||
| 38 | 35 | 521.4 | 5 | 524.2 | 41 | 486.3 | ||
| 39 | 7 | 551.5 | - | - | 8 | 531.4 | ||
| 40 | 4 | 576.2 | 9 | 602.0 | 9 | 561.1 | ||
| 41 | 3 | 601.1 | - | - | 8 | 641.6 | ||
| 42 | 3 | 634.5 | 12 | 616.9 | - | - | ||
| Total | 200 | 81 856.5 | 200 | 61 944.6 | 200 | 78 927.5 | 166 | 15 538.9 |
Table 3
Length and mean weight data from the experimental ponds
Replication experiment: November 1976 – July 1977
| FED FISH | UNFED FISH | |||||||
| Total Length (cm) | Pond I | Pond II | Pond III | Pond IV | ||||
| No | Mean Weight (g) | No | Mean Weight (g) | No | Mean Weight (g) | No | Mean Weight (g) | |
| 18 | 12 | 30.7 | ||||||
| 19 | 14 | 35.4 | ||||||
| 20 | 20 | 40.1 | ||||||
| 21 | 15 | 42.9 | ||||||
| 22 | 30 | 45.0 | ||||||
| 23 | 6 | 51.1 | 21 | 55.6 | ||||
| 24 | - | - | 20 | 57.1 | ||||
| 25 | 27 | 70.4 | 28 | 65.6 | 11 | 58.4 | ||
| 26 | 20 | 77.1 | 19 | 92.4 | 14 | 74.1 | 20 | 66.1 |
| 27 | - | - | 18 | 105.0 | 16 | 93.4 | 12 | 69.6 |
| 28 | 31 | 85.4 | 34 | 130.4 | - | - | ||
| 29 | - | - | 36 | 145.1 | 36 | 158.6 | ||
| 30 | 27 | 155.8 | 27 | 161.0 | 37 | 169.3 | ||
| 31 | 14 | 224.1 | 16 | 168.5 | 41 | 201.4 | ||
| 32 | 13 | 271.6 | - | - | - | - | ||
| 33 | - | - | 19 | 245.4 | 12 | 251.7 | ||
| 34 | 19 | 301.3 | 15 | 308.3 | 5 | 321.0 | ||
| 35 | 12 | 354.7 | - | - | - | - | ||
| 36 | 11 | 420.0 | 16 | 384.9 | - | - | ||
| 37 | 26 | 475.1 | - | - | 7 | 450.6 | ||
| Total | 200 | 43 918.7 | 200 | 35 791.3 | 200 | 32 685.9 | 175 | 9 763.6 |
Table 4
Condition factor for C. nigrodigitatus in Ponds I, II, III and IV during the first experiment
| Pond | Number of Fish | Mean Length (cm) | Mean Weight (g) | Condition Factor (K) |
| I | 200 | 35.5 | 409.3 | 0.92 |
| II | 200 | 33.2 | 309.7 | 0.85 |
| III | 200 | 35.9 | 394.6 | 0.85 |
| IV | 166 | 24.7 | 76.6 | 0.51 |
Table 5
Condition factor for C. nigrodigitatus in Ponds I, II, III and IV during the replication experiment
| Pond | Number of Fish | Mean Length (cm) | Mean Weight (g) | Condition Factor (K) |
| I | 200 | 31.4 | 219.6 | 0.71 |
| II | 200 | 30.4 | 179.0 | 0.64 |
| III | 200 | 29.5 | 163.4 | 0.64 |
| IV | 175 | 21.9 | 48.2 | 0.46 |
Table 6
Food conversion values for the first experiments
| Pond | Total Weight of Food Fed (kg) | Total Gain in Weight (kg) | Food Conversion FC |
| I | 352.3 | 79.12 | 4.45 |
| II | 352.3 | 56.02 | 6.29 |
| III | 352.3 | 73.11 | 4.82 |
| IV | Unfed pond | 9.54 | - |
Mean food coefficient for 3 ponds FC = 5.19
Table 7
Food conversion values for the replication experiments
| Pond | Total Weight of Food Fed (kg) | Total Gain in Weight (kg) | Food Conversion FC |
| I | 352.3 | 38.20 | 9.22 |
| II | 352.3 | 29.83 | 11.81 |
| III | 352.3 | 26.73 | 13.18 |
| IV | Unfed pond | 3.9 | - |
Mean food coefficient for 3 ponds FC = 11.40

Fig. 1 Plan of the four experimental ponds at Ikoyi
January 1976 – July 1977

Fig. 2 Length frequency distribution of C. Nigrodigitatus at harvest (fed fish)

Fig. 3 Length frequency distribution of C. Nigrodigitatus at harvest (unfed fish)

Fig. 4 Scatter diagram of length-weight relationship of C. Nigrodigitatus (fed fish)

Fig. 5 Scatter diagram of length-weight relationship of C. Nigrodigitatus (unfed fish)