5.3.1 Le modèle de Beverton et Holt (1957)
Le poids total capturé entre l'âge de première capture tc et l'âge maximum tM est:
FNt Pt dt | (1) | |
| où: | ||
| Pt = P∞ [(1-e-k(t-to)]3 et Nt = Re-M(tc-tr) e-(F+M) (t-tc) |
P∞, k et to sont les paramètres de l'équation de Von Bertalanffy décrivant la croissance pondérale.
R est le nombre de poissons ayant l'âge de recrutement tr, tc est l'âge de première capture et M la mortalité naturelle.
tM se révèle suffisamment grand pour que l'on puisse l'admettre comme égal à l'infini, l'erreur ainsi commise étant de l'ordre de 0,7 pour cent; de plus, l'exposant b de la relation P = aLo étant 3, l'équation de rendement (1) s'écrit:
![]() | (2) |
en posant Uo= 1; U = 3; U2 = 3 et U3 = -1
Beverton et Holt (1957) suggèrent d'introduire le taux d'exploitation
si bien que
devient 
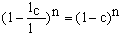
de plus, 1c = L∞[l - e-k(tc-to)] ce qui s'écrit
le terme e-nk(tc-to) peut donc s'écrire:
le terme ReM(tc-tr) s'écrit ReM(tr-to) - M (tc-to)
et, de là, Re M(tr-to) (l-c)M/k
il est possible de poser Ro = ReM(tr-to)
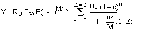
Ces différentes transformations conduisent à écrire l'équation (2) sous la forme:
![]() | (3) |
Beverton et Holt (1964) ont publié des tables donnant la valeur de 
qui est un indice de prise par recrue, sans unité, mais qui suffit pour rendre compte de l'action de F et de la taille de première capture.
Y peut être ensuite multiplié par un facteur approprié pour donner une production par poisson recruté à l'âge tr; ce facteur est:

connaissant R, on déduit un rendement absolu.
5.3.2 Mise en oeuvre du modèle dans la présente étude
L'âge de recrutement a été fixé à un an car, à partir de cet âge, M peut être considéré comme constant. La longévité a été admise égale à 7 ans.
Les tables de Beverton et Holt (1964) donnent Y' à partir de M/k, F/F+M et lc/L∞; elles permettent de tracer directement les courbes d'égale production pour différentes valeurs de Y': on a ensuite calculé, pour chacune de ces dernières, la quantité Y/R et c'est elle qui est portée sur chaque courbe des figures 8 et 9; le point P représente le niveau de production actuel, même au lac Mantasoa où la production est très faible. La valeur de F adoptée est une moyenne de F aux différents âges entre tc et 6 ans. Les coordonnées du point P permettent de calculer Y/R et, de là Y, compte-tenu du stock de poissons d'un an déterminé au chapitre précédent, et de comparer la valeur ainsi trouvée à la production exploitée déterminée par les enquêtes.

Figure 8. Evolution du rendement par recrue Y/R en fonction de la taille de première capture Lc et de la mortalité due à la pêche chez T. rendalli du lac de Mantasoa. P et Po: voir texte. L∞ = 25,85 cm; P∞ = 779 g; k = 0,52; M = 0,78; tr = 1 an; 1r = 11,5 cm

Figure 9. Evolution du rendement par recrue Y/R en fonction de la taille de première capture lc et de la mortalité due à la pêche chez S. niloticus du lac de Mantasoa. L∞ = 27,25 cm; P∞ = 784 g; k = 0,51; M = 0,77; tr = 1 an; lr = 11,5 cm; P et Po voir texte
Cette comparaison est résumée sur le tableau ci-dessous qui comporte aussi les coordonnées du point Po porté sur les graphiques et représentant les conditions optimales d'exploitation de la population étudiée (la production PRo qu'il faudrait alors attendre a été calculée). Pour ce point Po, F a été choisi égal à 0,6 pour les populations étudiées car il ne semble pas qu'elles puissent supporter, de façon durable, un effort de pêche plus important.
| Espèce | Y/R (g) | PRe (t) | PRe' (t) | Y/Ro (g) | lco | tco | PRo (t) |
| T. rendalli | 17 | 6,0 | 5,5 | 80 | 13 cm | 16 mois | 28,25 |
| S. niloticus | 18 | 0,14 | 0,17 | 75 | 14 cm | 16 mois | - |
Y/R = rendement par recrue estimé graphiquement en connaissant F et tc
PRe = production exploitée (en tonnes) déduite de Y/R et de l'effectif des poissons d'un an
PRe' = production exploitée estimée à la suite des enquêtes (paragraphe précédent)
Y/Ro, lco, tco et PRo = conditions d'exploitation optimale évoquées plus haut pour F = 0,60
5.3.3 Résultats obtenus
Au lac de Mantasoa, il faut distinguer, en l'état actuel, deux pêcheries: celle des poissons de moins d'un an par les pêcheurs à la ligne pour l'autoconsommation et celle des poissons de plus de 15 mois par les rares pêcheurs aux filets. Chez ces gros poissons, la mortalité par pêche a été admise entre 0,05 et 0,10, C'est la valeur moyenne F = 0,075 qui a été retenue; elle conduit à estimer la production exploitée à 6 tonnes de T. rendalli âgés.
Il est pêché à la ligne 15 000 kg de poissons de moins d'un an qui n'interviennent pas dans les calculs ci-dessus car ils n'ont pas atteint l'âge de recrutement. Ces petits poissons, d'un poids moyen de 20 g, sont au nombre de 750 × 103 pour les 1 650 ha de lac, soit 455 par hectare. Le lac comportant 214 poissons de un an par hectare, la mortalité par pêche avant un an est telle que e-F = 214/214 + 455 = 0,320, soit F = 1,14, où Z a été estimé voisin de 4,5. La mortalité naturelle M serait donc de 3,36.
C'est au sujet de S. niloticus du lac de Mantasoa que la différence entre nos deux estimations de la production exploitée est la plus importante. La production exploitée, estimée par enquête, de 170 kg supposerait un rendement par recrue de 170 000/7 667 = 22 g, c'est-à-dire que si lc = 13 cm, F = 0.10. F serait un peu plus élevé que chez T. rendalli. Ce n'est pas impossible car le lac de Mantasoa est surtout pêché dans sa partie méridionale ou S. niloticus est le plus abondant.
Le tableau de la page précédente comporte des indications sur la production exploitée à attendre en augmentant la taille de première capture et en développant l'effort de pêche jusqu'à l'obtention d'une mortalité due à la pêche F voisine de 0,6; comme dit plus haut, les peuplements étudiés ne semblent pas pouvoir supporter de façon continue un effort de pêche plus intense.
La production exploitée, due aux seuls Tilapia et Sarotherodon, pourrait passer de 28 tonnes pour T. rendalli âgé du lac de Mantasoa, aucun chiffre ne pouvant être proposé pour S. niloticus.
Les seules données bibliographiques auxquelles notre étude mathématique peut être comparée sont celles de Ssentongo (1971) qui donne des courbes d'égale production à la suite de travaux sur S. niloticus du lac Albert et sur S. esculentus du lac Victoria. Ssentongo (1971) prévoit des rendements par recrue beaucoup plus élevés que les nôtres pour des valeurs de M et des efforts de pêche analogues (F variant de 0,1 à 1) mais lc envisagée, c'est-à-dire tc, est plus élevé et la croissance de S. niloticus est surtout très rapide. De plus, tr est considéré comme nul.
Le travail de Ssentongo (1971) comme le nôtre, conduirait à s'interroger sur la valeur des modèles Beverton et Holt (1957) dans le cas de pêcheries tropicales.
Ces modèles imposent que les paramètres de croissance soient constants à partir de l'âge de recrutement et parfaitement connus. Il en est ainsi dans le présent travail où les équations de Von Bertalanffy rendent fidèlement compte de la croissance observée, abstraction faite des arrêts. De plus, les variations du coefficient de condition sur l'année sont suffisamment faibles, chez T. rendalli, pour ne pas intervenir. Il faut également que M puisse être considéré comme constant. Il semble pouvoir en être ainsi entre 2 et 6 ans si l'on en juge par les résultats obtenus chez T. rendalli.
L'emploi des modèles de Beverton et Holt (1957) impose la connaissance de l'âge aux fortes mortalités sévissant chez les jeunes.
Dans le cas présent, il faut regretter que les modèles de Beverton et Holt (1957) ne tiennent pas compte des variations de l'effort de pêche et de son rendement, donc de F, au cours de l'année. Ces dernières sont particulièrement sensibles au lac de Mantasoa pour lequel, si F était plus élevé, l'emploi d'un modèle de Ricker (1975) s'imposerait. En l'état actuel, F est suffisamment faible pour que les deux types de modèles conduisent à des conclusions voisines. C'est ce que suggère le récent travail de Durand (1978) sur Alestes baremoze du lac Tchad.
En résumé, le modèle de Beverton et Holt (1957) a rendu de grands services dans la présente étude et, s'il est sujet à caution, cela est dû en grande partie aux différentes imprécisions relevées dans la détermination des paramètres démographiques:
variations de M et de F avec l'âge,
choix de la taille de recrutement et détermination de celle de première capture,
variation de l'effort de pêche et de son rendement au cours de l'année.
Il est illusoire d'espèrer prévoir l'évolution de la pêche au lac de Mantasoa vu la fragilité des peuplements tropicaux et de celui de ce lac en particulier. Il est plus intéressant de suggérer des recommandations quant au développement de l'effort de pêche. Encore faut-il comprendre que toute mesure à prendre pour améliorer la production exploitée de ces lacs doit tenir compte des faits suivants:
Il est très difficile, sans une vulgarisation adéquate, de demander aux pêcheurs de restreindre leur activité, c'est-à-dire, pour l'immédiat, de diminuer le revenu tiré de la pêche. La fermeture de la pêche ordonnée au lac Itasy pour l'année 1968 a été une mesure très impopulaire parce que mal comprise même si, dans ce cas précis, elle était en partie justifiée.
Les directives données pour faire évoluer l'effort de pêche devront être suffisamment simples et peu nombreuses pour être facilement comprises et appliquées par des paysans le plus souvent illettrés.
L'état, c'est-à-dire, en ce qui nous concerne, le Service des Eaux et Forêts, doit se doter d'un service de vulgarisation et d'encadrement des pêcheurs distinct des services de répression et de sanction.
Compte-tenu de ces divers impératifs, les mesures à proposer paraissent les suivantes:
pour faciliter le développement de S. niloticus, il conviendrait de protéger totalement cette espèce, vis-à-vis de T. rendalli, l'effort de pêche pourrait être augmenté à condition d'utiliser des filets semblables à ceux en usage actuellement et dont les mailles ont 3 à 4 cm noeud à noeud.
Ces mesures amèneraient le lac à sa production maximale équilibrée mais son évolution devra être suivie ultérieurement car elle n'est pas prévisible à moyen et à long terme.
Il faut souhaiter que ces suggestions simples, dans leur énoncé comme dans leur application, puissent être effectivement appliquées sur place; ceci suppose, de la part des autorités locales, une prise de conscience réelle de l'importance des plans d'eau d'altitude et de leurs possibilités piscioles et une véritable volonté d'y développer la pêche. Une action correctement conduite pour l'augmentation de la production exploitée du lac étudié ici contribuerait, d'une façon sensible, à l'amélioration des conditions nutritionnelles des habitants de la région.
Allen, K.R., 1951 The Horokiwi stream: A study of a trout population. Fish.Bull.N.Z.Mar.Dep., (10):231
Allen, K.R., 1971 Relation between production and biomass. J.Fish.Res.Board Can., 28(10):1573–81
Balon, E.K., 1973 Result of fish population size assessment in Lake Kariba coves, a decade after their creation. Geophys.Monogr.Serv., (17):149–58
Balon, E.K., 1974 Fish production of a tropical ecosystem. In Lake Kariba: a man-made tropical ecosystem in Central Africa, edited by E. Balon and A.G. Coche. The Hague, Dr. W. Junk b.v. Publishers, pp. 253–676
Benech, V., 1975 Croissance, mortalité et production de Brachysynodontis batensoda (Pisces, Mochocidae) dans l'archipel sud-est du lac Tchad. Cah.ORSTOM (Sér.Hydrobiol.), 9(2):91–103
Beverton, R.J.H. et S.J. Holt, 1957 On the dynamics of exploited fish populations. Fish.Invest.Minist. Agric.Fish.Food G.B. (2. Sea Fish.), 19:533 p.
Beverton, R.J.H., 1964 Tables of yield functions for fisheries assessment. FAO Fish.Tech.Pap., (38):49 p.
Bourgeat, F., 1972 Sols sur socle ancien à Madagascar: types de différenciations et interprétation chronologique au cours du quaternaire. Mém. ORSTOM, (57):335 p.
Bourgeat, F. et M. Petit, 1969 Contribution à l'étude des surfaces d'aplanissement sur les Hautes Terres centrales de Madagascar. Ann.Géogr., 1969:158–88
Bourlière, F., 1975 Dynamique des populations de grands mammifères. In Problèmes d'écologie: la démographie des populations de vertébrés, par M. Lamotte et F. Bourlière. Paris, Ed. Masson, pp.115–27
Breder, C.M.J., 1967 On the survival values of fish schools. Zoologica, N.Y., 52:25–40
Bruton, M.N. et R.E. Bolt, 1975 Aspects of the biology of Tilapia mossambica Peters (Pisces, Cichlidae) in a natural freshwater lake (Lake Sibaya, South Africa). J.Fish Biol., 7(3):423–45
Caulton, M.S., 1975 Diurnal movement and temperature selection by juvenile and sub-adult Tilapia rendalli (Boulenger), Cichlidae. Trans.Rhod.Sci.Assoc., 56(4):51–6
Charpy, B., 1955 La pisciculture du Tilapia. Bull.F r.Piscic., 27(178):5–20
Clark, C.W., 1974 Possible effects of schooling on the dynamics of exploited fish populations. J.Cons. CIEM, 36(1):7–14
Daget, J., 1971 L'échantillonnage des peuplements de poissons d'eau douce. In Problèmes d'écologie: l'échantillonnage des peuplements animaux des milieux aquatiques, par M. Lamotte and F. Bourlière. Paris, Ed. Masson, pp.85–108
Daget, J. et J.M. Ecoutin, 1976 Modèles mathématiques de production applicables aux poissons tropicaux subissant un arrêt annuel prolongé de croissance. Cah.ORSTOM (Sér.Hydrobiol.), 10(2):59–69
Daget, J., 1973 N. Planquette and P. Planquette, Premières données sur la dynamique des peuplements de poissons de Bandama (Côte d'Ivoire). Bull.Mus.Natl.Hist.Nat.Paris (3e sér.) (Ecol. Gén.7), 151:129–43
Donnelly, B.G., 1969 A preliminary survey of Tilapia nurseries on Lake Kariba during 1967–68. Hydrobiologia, 34(2):195–206
Durand, J.R., 1978 Biologie et dynamique des populations d'Alestes baremoze du bassin tchadien. Trav.Doc.ORSTOM, (98):332 p.
Dussart, B., 1966 Limnologie, l'étude des eaux continentales. Paris, Ed. Gauthiers Villars, 678 p.
Fryer, G., 1961 Observations on the biology of T. variabilis (Boulenger) in the northern waters of lake Victoria. Rev.Zool.Bot.Afr., 64(1–2):1–33
Garrod, D.J., 1963 An estimation of the mortality rates in a population of Tilapia esculenta Graham (Pisces, Cichlidae) in Lake Victoria, East Africa. J.Fish.Res.Board Can., 20(1):195–227
Greenwood, P.H. et J.W.G. Lunds, 1973 A discussion on the biology of an equatorial lake: Lake George, Uganda. Proc.R.Soc.Lond.(B.Biol.Sci.), 184(1076):227–346
Gulland, J.A., 1977 Fish population dynamics. London, J. Wiley & Sons, 372 p.
Gwahaba, J.J., 1973 Effects of fishing on the Tilapia nilotica (Linné, 1757) population in lake George, Uganda, over the past 20 years. E.Afr.Wildl.J., 11:317–28
Henderson, H.F. and R.L. Welcomme, 1974 The relationship of yield to morpho-edaphic index and numbers of fishermen in African inland fisheries. Relation entre la production, l'indice morphoédaphique et le nombre de pêcheurs des pêcheries des eaux continentales d'Afrique. CIFA Occas.Pap./Doc.Occas.CPCA, (1):19 p.
Jackson, C.H.N., 1939 The analysis of an animal population. J.Anim.Ecol., 8(2):238–46
Laurent, M. et P. Lamarque, 1974 Utilisation de la méthode des captures successives (de Lury) pour l'évaluation des peuplements piscicoles. Ann.Hydrobiol., 5(2):121–32
Loubens, G., 1969 Etude de certains peuplements ichtyologiques par des pêches au poisson. Cah.ORSTOM (Sér.Hydrobiol.), 3(2):45–73
Lévèque, C., 1977 J.R. Durand et J.M. Ecoutin, Relation entre le rapport P/B et la longévité des organismes. Cah.ORSTOM (Sér.Hydrobiol.), 11(1):17–32
Meadows, B.J., 1973 The use of rotenone in fisheries management. Fish.Manage., 4(1):12–5
Ricker, W.E., 1975 Computation and interpretation of biological statistics of fish populations. Bull.Fish. Res.Board Can., (191):382 p.
Rowe-Rowe, D.T., 1971 Rotenone tolerance of some freshwater fishes of Natal. Prog.Fish-Cult., 33(4):206–9
Rowe-Rowe, D.T., 1972 Laboratory and field experiments in the revival of fishes affected by rotenone. J.South.Afr.Wildl.Manage.Assoc., 3(1):19–23
Seber, G.A.F. et E.D. Le Cren, 1967 Estimating populations parameters from catch large to relative populations. J.Anim.Ecol., 36(3):631–43
Seghers, B.H., 1974 Schooling behaviour in the guppy (P. reticulata): an evolutionary response to predation. Evolution, 28(3):486–9
Ssentongo, G.W., 1971 Yield equations and indices for tropical freshwater fish populations. Thesis University of British Columbia, Vancouver, 108 p.
Talling, J.F., 1969 The incidence of vertical mixing, and some biological consequences, in tropical African lakes. Verh.Int.Theor.Angew.Limnol., 17(2):998–1012
Talling, J.F. et I.B. Talling, 1965 The chemical composition of African lake waters. Int.Rev.Geoamt. Hydrobiol., 50(3):421–63
Swingle, H.S. and W.E. Swingle, 1968 Problems in dynamics of fish population in reservoirs. In Reservoir fishery resources symposium, presented by the Reservoir Committee of the Southern Division, American Fisheries Society. Washington, D.C., American Fisheries Society, pp.229–43
by
Aboul-Foutouh Abdel-Latif
Vice-President
Academy of Scientific Research and Technology
Cairo, Egypt
ABSTRACT |
| Lake Nasser is the Egyptian - and the major - part of the Aswan High Dam reservoir on the Nile. The main objectives of the dam construction were prower production and storage of water for irrigation. Fishery development has been an additional benefit providing currently about U.S.$7.2 million gross sale value of fish. Tilapia galilaea and T. nilotica are the major fish landed, comprising 95 percent (1978) of the total fresh, and 75.1 (1978) of the total fresh and salted fish landed. The present tilapia landings are considered to be near to the maximum production, but there is an underutilized stock of other species. Open waters have been little fished and fishing possibilities for these large areas need to be investigated. Proper management measures are needed to optimize fish landings of all stocks. Government bodies have developed or are developing the fisheries infrastructure, especially ice plants, boat building and repairs, fish processing complex and some others. Training programmes in boat building and net-mending have been successful, but further training programmes are still needed. Fishery village construction schemes have to be strengthened. |
RESUME |
| Le Lac Nasser est la partie égyptienne - et la plus grande - du réservoir formé par le haut barrage d'Assouan sur le Nil. La construction du barrage avait pour principaux objectifs de produire de l'énergie et de stocker de l'eau pour l'irrigation. Le développement des pêches -- qui fournissent actuellement environ 7,2 millions de dollars E.-U., (valeur marchande brute du poisson) -- a été un des avantages supplémentaires. Tilapia galilaea et T. nilotica sont les principales espèces capturées en 1978, elles répresentent 95 pour cent des captures totales de poisson frais, 75,1 pour cent (1978) de l'ensemble des prises de poisson frais, et salé. On estime que les quantités de Tilapia actuellement débarquées sont proches de la production maximale mais que les stocks d'autres espèces sont insuffisamment exploités. Les eaux fluviales et lacustres ont été peu exploitées et il faut étudier les possibilités de pêche qui existent dans ces grandes étendues d'eau. Il faut prendre des mesure d'aménagement adéquates pour améliorer les captures de tous les stocks de poisson. Les services gouvernementaux ont mis ou mettent en place des infrastructures halieutiques, notamment des fabriques de glace, des chantiers de construction naval et de réparations, des complexes de traitement du poisson, etc. Des programmes de formation à la construction de bateaux, et à la réparation des filets ont donné de bons résultats, mais il faut encore élaborer d'autres programmes de formation. Les programmes de construction de villages de pêcheurs doivent être renforcés. |
This is a rockfilled dam constructed across the Nile, 7 km south of the old Aswan dam. Its crest is 111 m high above the Nile River bed. The dam is 980 m wide at its base and 40 m wide at its top. The dam has an impervious core, a grout curtain extending 180 m under the core to meet the bed rock, and a horizontal upstream impervious blanket.
Water is diverted to flow through a new water passage, with six main tunnels which are equipped with control and service gates. Each tunnel has two outlet branches feeding 12 turbines, each having a capacity of 150 mW.
Lake Nasser lies in the arid subtropical region with almost no rainfall. The desert areas on both sides are practically without vegetation. The minimum daily temperatures range from 15°C in January to 32°C in July and the maximum from 21°C in January to 48°C in July. The relative humidity is at the maximum (around 45 percent) in December and January and at its minimum (24–27 percent) in April/June. Wind speed ranges between 3–4 m/sec.
The Aswan High Dam reservoir (Lakes Nasser and Nubia) at the full storage level (183 m above mean sea level) will extend between latitudes 23°58' N at the High Dam and 20°27' N at the Dal Cataract in the Sudan, and between longitudes 30°07' E and 33°15' E. The reservoir will be 496 km long. It includes two sections, Lake Nasser in Egypt and Lake Nubia in the Sudan (Fig.1, Table 1).
The level started rising from 127.6 m above mean sea level (MSL) in 1964/65, to 167.6 m in 1971, but dropped in 1972. The level resumed its increase to reach 175 m on 13 October 1975. In the last six years (1976–1981) water level ranged between 176–197.4 m (Table 2).
During the year, the level varies decreasing in the first seven months of the year due to the discharge of water for electricity production and irrigation of agricultural lands downstream and rising during the rest of the year as a result of the water reaching the lake in the annual floods when water input exceeds the discharge (Fig.2).
The reservoir storage capacity consists of:
Dead storage of 31 × 109 m3 (equivalent to 147 m water level), which is the minimum level required to operate the hydroelectric power station;
Live storage of 90 × 109 m3 corresponding to water level between 147 and 175 m; and
Flood control storage of about 41 × 109 m3 between 175 and 182 m water levels.
The relation between the area or volume of the reservoir and storage level is given in Table 3.
With the creation of the lake, the water changed its riverine character into a lacustrine one. Thus, while the difference between surface and bottom temperatures in the river is slight, such difference is greater in the reservoir. The surface water temperature of Lake Nasser increases in summer reaching 28 to 31°C. From July to September along the longitudinal axis between Aswan and Adindan there is a 8 to 12°C temperature gradient between surface and bottom waters.
The water column is well oxygenated in winter and spring but, as the surface water temperature increases and the depth of the photic zone decreases, the dissolved oxygen concentration in deeper water decreases. The upper oxygenated water layer is shallower in the north than in the south of Lake Nasser. With the incoming flood in late summer, mixing takes place along the entire length of Lake Nubia and in the southernmost part of Lake Nasser.
Lake Nasser can be divided into three clearly defined sectors (Fig.3):
The northern sector, which is fully lacustrine, and extends south from the High Dam to Amada or Tushka or slightly beyond;
The middle sector, semiriverine, comprising the southern reach of Lake Nasser and the northern region of Lake Nubia up to Daweishat, and characterized by riverine properties during the flood season and by lacustrine properties during the rest of the year; and
The southern sector, with all-year-round riverine characteristics, extending between Daweishat and Akasha at the southern tip of Lake Nubia.
Lake Nasser experiences only one overturn per year, which, in the southermost part of the lake starts with the onset of the floods but is mainly the result of lower temperatures in the north.
Floods in the southermost part of Lake Nasser bring in turbid water with higher load of sediments. Floods destroy the oxygen and temperature stratification, and lead to a decrease in electrical conductivity. Usually, flood waters push in front of them the lake water mass of a relatively high electrical conductivity.
The lowest surface water temperature since 1970/71 is 16–17°C, and the highest of 29.3 to 31.8°C is recorded in August. The monthly water temperatures for El-Madiq and Tushka as presented in Fig.4 shows the breakdown of the summer stratification in the southern part of the lake under the impact of floods.
Seasonal changes in dissolved oxygen concentrations since 1970 are given in Table 5 and Fig.5.
In winter, the water column is oxygenated from the surface to the bottom and the dissolved oxygen concentrations range between 6.7 and 11.0 mg/l for surface water and 5.4 to 8.7 mg/l for the bottom water at a depth of 50 m or more. The oxygen concentrations usually did not decrease in water below the 10–15 m depth.
In spring represented by March and April, the surface water was well oxygenated with oxygen concentrations of 7.06 to 13.4 mg/l. In March 1970 and 1976, the southern part of the lake had a higher oxygen content than the northern part. In April 1974, the surface water oxygen concentration was higher at the High Dam and at Gurf Hussein than in the south at Tushka or Adindan. However, in April 1978 or 1979, Tushka surface water was better oxygenated.
ranges of dissolved oxygen for bottom water were 4.1–7.28 mg/l and 2.9–7.19 mg/l for March 1970 and 1979 respectively. In April 1974, 1978 and 1979 the values corresponded to 3.35–5.5, 5.5–6.9 and 1.2–4.8 mg/l.
In June, July or August of some years, the dissolved oxygen concentrations ranged between 4.88 and 10.0 mg/l and in most cases they were more than 7.0 mg/l. The lowest values were measured in most years at Adindan and Gurf Hussein. The bottom water layer was deoxygenated.
In October 1978, the bottom water layer was deoxygenated. There was a gradual oxygenation of this layer starting from the south at Adindan in November 1970, and extending northwards to Tushka in November 1974. The dissolved oxygen range was 5.2– 10.1 mg/l in the surface water in November (1970, 1974, 1976 and 1977).
The Nile flood usually carries a heavy load of mud, on the average 134 million tonnes annually. This decreases the water transparency, but this varies throughout the years (Fig.7). A comparison between lakes Nasser and Nubia is presented in Table 6. For Lake Nasser, seasonal differences in water transparency are shown in Fig.7.
During the incoming flood, the allochthonous suspended matter is predominantly inorganic in the riverine and semiriverine sections of the lake. In the lacustrine environment nearer to the High Dam autochthonous suspended particles predominate with organic particles (detritus) at much lower concentrations (1–10 mg/l) when compared to the amount of allochthonous silt (hundreds to 8 000 mg/l) in water arriving at southern sector of the reservoir.
The apparent colour of the water in Lake Nasser fluctuates between greenish blue to bluish green, due to the abundance of the blue green algae which flourish in the lake especially in spring. The picture becomes changed for the southermost part of Lake Nasser besides Lake Nubia during the flood, whence the colour turns to greyish brown due to the silt load whereby the transparency diminishes. Generally, the progress of the flood water along a larger distance in the early years resulted in a lower transparency than in the recent years (Table 7).
Table 8 and Fig.8 show mean values of E.C. in some selected months of 1970 to 1979. The E.C. shows the tendency to decrease with time. The highest value so far recorded is about 300 μmhos cm-1 for the northern 50 km at the High Dam and Kalabsha in November 1970. The July 1973 values were higher than those for 1974, 1975 and 1979. E.C. values were also higher in February 1973 than in January 1975 or February 1977. In autumn (November), especially for the northern part, E.C. was the highest in 1970 as compared with the following years, although the 1978 (October) values were higher again.
The average values for electrical conductivity show a southwards decreasing pattern in the different seasons with the exception of summer, which generally exhibits a reverse picture (Table 9, Fig.9). On the whole, the electrical conductivity ranges were 199–244, 198–249, 225–244, and 206–265 μmhos cm-1 in winter, spring, summer and autumn respectively.
Bicarbonate concentration, within the limits of the available data was the highest in 1974. It increased from 1970 to 1974 declining afterwards (in 1976 and in 1978). The last and first years had similar values. This trend is particularly clear when considering the average for either maximum or minimum values for each of the surface or bottom water layers in different years (Fig.10).
Carbonate concentration in Lake Nasser decreased between 1970 and 1978. The maximum values were 53.96 mg/l in 1970 and 19.0 mg/l in 1974. However, in the latter year the carbonate range for surface water was only 1.73–5.63 mg/l. In 1976 and 1977, concentrations were generally nil and when present they were not more than 1.0 mg/l for surface waters (Fig.11).
Table 10 shows the ranges and averages for nutrients concentrations in two different periods represented by the years 1970/71 and 1976/77. With the exception of the bottom waters in the former period, orthophosphate, nitrate and silicate concentrations were higher in 1976/77 than in 1970/71, with the widest difference for nitrate.
With the increase in the age of the impoundment, the pH values tended to increase notably in winter time. This phenomenon is quite clear when comparing average values of December 1974/January 1975 with those for February 1977 and 1978 (Table 11).
On the basis of the data available for some years, chloride concentration increased from the early years of the impoundment to the more recent years (Table 12). The ranges were 2.96–4.16, 6.08–7.66, and 8.83–9.83 mg/l for 1970/71, 1975/76 and 1977/78 respectively.
For 1976/77, the average sulphate concentration at various stations for different seasons had ranges of 5.0–10.83, 5.0–8.25, 5.0–8.33 mg/l for the surface, middle and bottom water respectively. The values were higher for the surface water than for the deeper water layers and tended to decrease southwards.
Winter and spring lake's water was free from sulphide ions. These were detected in summer and autumn in the deep water with the prevalence of anaerobic conditions.
The rise in the sulphide concentration was very sharp close to the bottom of the lake and khors, particularly in the water layer 0.5–1.0 m above the bottom. At 90 m depth the values reached up to 400 mg/l as compared with about 0.5 mg/l at 80 m depth in some localities in 1976. This coincides with the appearance of black colloidal or granular material containing iron sulphide mixed with dead organisms in different stages of the decomposition in the sediment.
The ranges of concentrations of the major cations were 8.2–27.8, 1.9–8.0, 14.29–27.5 and 4.5–12.5 mg/l for Na+, K+, Ca+ and Mg++ respectively. The concentration of the cations examined was in decreasing order, Ca++, Na+, Mg++ and K+, and the difference between the first and the second ion cited was not as great as it was between them both and the third and fourth cations. The basic ratio Na+K:Ca+Mg is generally less than 1, a character which is in favour of the development of diatoms and many other groups of algae.
The formation of Lake Nasser has led to radical changes in the abundance and composition of the zooplankton community. In March 1970 colonies of Volvox were common and formed numerically 49.1 percent of the total near the southern end of the lake, while Cladocera and Copepoda formed 34.2 and 6.7 percent respectively. The picture was different in the middle third of the lake, where Cladocera, Copepoda and Volvox comprised numerically 42.6, 34.6 and 13.8 percent respectively. Daphnia was the commonest among the Cladocera, and Cyclops among the Copepoda.
The picture of phytoplankton at present is different in terms of numbers and types from the early years of impoundment. Furthermore, the flood affected regions of the lake exhibit different features from the areas beyond the reach of the flood. The phytoplankton counts were 3.2–11.5 and 4.7–9.5 million per litre in March and August 1976, respectively. The differential magnitude along the main axis of the lake is shown in Fig.12A: in August 1976 the flood waters pushed downstream the phytoplankton which resulted in the highest numbers found at Tushka. Adindan, in the southermost part of the reservoir, most exposed to floods, had August values lower than those for March.
Chlorophyta did not show wide differences and constituted only a small proportion (0.5–3.0 percent in March and 2.2–3.6 percent in August) of phytoplankton. Cyanophytes were the most common in August, with their percentage between 87.4 and 96.4 percent (average 94.3 percent), while diatoms averaged only 2.7 percent (range 1.1–9.0 percent). In March, the picture was different with cyanophytes being more common than diatoms between the High Dam to Amada, and with the percentage range of 71.2–89.0 percent. However, at Tushka and Adindan cyanophytes comprised only 7.0 and 0.9 percent respectively. Thus, in the post-flood season, the diatoms constitute the bulk of phytoplankton in areas affected by flood (Fig.12B).
On the other hand, zooplankton was more frequent in March than in August and averaged about 50 300 (range 29–60 000) and 34 400 (range about 15–67 000) per cubic metre respectively. In March, zooplankton was most frequent in the region from El-Mediq to Tushka while Adindan had the lowest value. In August, the northern half of the lake had lower concentrations than the southern part; Tushka and Abu-Simbel showed the maximum values while at Adindan zooplankton was much less frequent (Fig.13A).
At all seasons and stations, copepods were the most abundant among zooplankton as they comprised about 80 (range 73–89 percent) and 76 percent (range about 63–83 percent) in March and August respectively. Cladocerans came next in abundance and comprised about 20 percent. Rotifers were much less abundant and comprised about 1 and 2 percent in March and August respectively.
The erection of the High Dam has caused an increase in the primary production in Lake Nasser as compared with the primary production in the Old Aswan Dam, the latter being 1.06 gC/m2/day (February–March 1959).
In the High Dam the primary production ranged from 5.23 to 13.21 gC/m2/day during March 1970. Values of 10.7 to 16.4 gC/m2/day were recorded in 1979.
During 1978/79, the northern part of Lake Nasser had a chlorophyll-a content of 8–25 μg/l in the upper 10 m layer. The concentration ranges for the surface water during September, October and November 1980 were 10.3–13.8, 12.6–17.4 and 2.1–2.2 μg/l in the morning as compared with 10.8–16.2, 19.2–28.5 and 3.1–4.2 μg/l in the afternoon. At 10 m depth the ranges were 18.9–24.6, 1.2–2.3 μg/l in the morning as compared with 5.4–23.5, 1.8–3.1 μg/l in the afternoon during October and November respectively. Generally, the lowest values of 1.8–4.2 μg/l were recorded in 1980 in the windy days for the surface water. On the contrary, the highest values of 24.6–28.5 μg/l were recorded in the calm days.
In Lake Nasser, Tilapia nilotica and T. galilaea reach age group IV, Alestes nurse and Labeo forskalii reach age group V, and Eutropius niloticus can be older by one year. Age group VII is reached by Alestes baremose, Labeo niloticus, Barbus bynni and Hydrocynus forskalii while Labeo horie and L. coubie reach age group VIII. For Lates niloticus, age group XV was recorded. A summary of age groups versus length is given below.
| Oldest Age Group Found | Species | Length (cm) range (Age I to Oldest) |
| IV | Tilapia nilotica | 20.7 – 43.2 |
| T. galilaea | 18.6 – 32.0 | |
| V | Alestes nurse | 3.8 – 11.4 |
| Labeo forskalii | 15.7 – 39.2 | |
| VI | Eutropius niloticus | 10.7 – 30.1 |
| VII | Alestes baremose | 6.4 – 40.4 |
| Labeo niloticus | 19.1 – 61.1 | |
| Barbus bynni | 18.5 – 63.4 | |
| Hydrocynus forskalii | 19.1 – 58.8 | |
| VIII | Labeo horie | 17.8 – 66.6 |
| L. coubie | 18.8 – 67.3 | |
| XV | Lates niloticus | 23.0 – 130.5 |
Table 14 shows the calculated weight for the different age groups. Thus, while the maximum weight is about 35 g in Alestes nurse, Lates niloticus could be more than 50 kg in weight. Again, the difference between the different species, even for those belonging to the same genus, is more prominent with weight than it is with lenght. As examples, Tilapia nilotica of age group IV had a calculated weight of 2 936 g, as compared with only 1 344 g for T. galilaea. The calculated weight for age group III is about 11 g only in A. nurse, slightly about 100 g in Eutropius niloticus and Alestes baremose, about 625 g in Labeo forskalii, about 1 200 g in Barbus bynni and Labeo coubie, about 2 200 g in T. galilaea, and 2 350 g in L. niloticus.
(i) Spawning season
Analysis of frequency of maturity stages, gonad index (percentage of gonad weight to body weight), and egg diameter revealed that fish of Lake Nasser could be separated into two groups:
The first group includes Alestes nurse, Tilapia nilotica, T. galilaea and Lates niloticus, whose spawning season lies mainly within the March–June period;
The second group includes Alestes baremose, Eutropius niloticus, Labeo coubie, L. horie, Barbus bynni, whose spawning season is within the July–August period.
(ii) Egg size
Ripe eggs vary considerably in size from one species to another. The smallest are the pelagic eggs of Lates niloticus while the largest are those of Tilapia nilotica and T. galilaea (Table 15).
(iii) First sexual maturity
Different species attain their first sexual maturity at different lengths or age. Examples:
Smallest size at sexual maturity (cm)
| Females | Males | |
| Eutropius niloticus | 18 | 16 |
| Alestes nurse | 6 | 4–5 |
| A. baremose | 20 | 23 |
| Tilapia galilaea | 16 | n.d. |
| Lates niloticus | 27 | 19 |
(iv) Fecundity
Among the important species, Tilapia nilotica and T. galilaea have the lowest fecundity while Lates niloticus has the highest number of eggs. Eutropius niloticus and Alestes baremose have a fecundity nearer to that of Tilapia. Within the limits of fish samples available, absolute fecundity ranges from 7 200 in Tilapia to 618 300 in Lates. Comparing the fecundity-age relation, the absolute fecundity is about 5 600, 37 500, 97 900 and 481 900 for Tilapia galilaea, Eutropius niloticus, Alestes baremose and Lates niloticus for age group IV (Table 16).
The fish landings at the fish receiving centre increased from 749 t in 1966 to 33 933 t in 1981, which is equivalent to an increase of about 45 times. The fresh fish landings (landed iced or frozen) progressively increased throughout this period, from about 345 t in 1966 to about 31 422 t in 1981. Salted fish exhibited a different pattern as they increased from 404 in 1966 to 3 038 t in 1972, decreasing to 2 556 t in 1973, and increasing again to 6 165 t in 1977. Afterwards followed a considerable decline in 1978, in 1979/80 (3 827 and 3 971 t respectively), and in 1981 (2 512 t). The proportion of salted fish among the catch has become lower:
| Percentage range | ||
| Period | Fresh fish | Salted fish |
| 1966–70 | 43.3–60.0 | 40.0–56.7 |
| 1971–75 | 63.3–76.1 | 23.9–36.7 |
| 1976–77 | 66.5–69.6 | 30.4–33.5 |
| 1978–79 | 78.7–86.0 | 14.0–21.3 |
| 1980–81 | 86.9–92.6 | 7.4–13.1 |
Taking 1966 as a base, by 1981 the fresh fish landings increased about 90 times and salted fish about 6 times. Commercial fish landings are shown in Fig.14.
The major species landed iced or frozen are Tilapia nilotica, T. galilaea, Lates niloticus, Labeo spp. Clarias spp., Bagrus bayad, B. docmac, Synodontis spp. and to a much less extent schilbeids (mainly Eutropius niloticus). Tilapia spp. have the leading position.
Among the salted fish dominate Kalb (Hydrocynus spp.), Raya (Alestes spp.), Shilba (mainly Eutropius niloticus) and to a lesser extent Lates and Tilapia. Raya and Kalb formed 53–82 percent, Labeo spp. came next and contributed 12–34 percent.
In the total landings (Table 17), Tilapia has progressively increased and contributed 27 percent in 1968, 68 percent in 1973, 75 percent in 1978 and 90 percent in 1981. Raya and Kalb (Characidae) showed a reversed pattern as they formed 35 percent in 1968, decreasing to 22 percent in 1970, 19 percent in 1976, 17 percent in 1978 and only 4 percent in 1981. Cyprinids represented by Labeo and Barbus spp. also became less common as they formed 29 percent in 1968 and 18 percent in 1970 but only 4–7 percent afterwards. Lates contribution increased from 3 percent in 1968 to 9 percent in 1970, but decreased afterwards and formed only 1.4 percent in 1981. The catfishes (Bagrus, Synodontis, and Eutropius) formed about 4 percent in 1968, increasing to 5.5 in 1970, but decreased to 3.4 percent in 1973 and 1.1 percent in 1976, forming only 0.1 percent in the most recent years.
In the 1968 fish landings, there is no wide difference between the percentage of periphyton feeders (Tilapia nilotica and T. galilaea), the omnivorous (Labeo, Barbus, Synodontids, Schilbeids, Mormyrids and the carnivorous (Lates, Hydrocynus, Bagrus). Since then, a marked difference took place as the first group has gradually increased reaching about 75 percent in 1978. Omnivorous species which formed about 33 percent in 1968, decreased to 23–24 percent in 1969–70, to 16–17 percent in 1971–72, 12–13 percent in 1973–74, 11–13 percent in 1976–77 and 5–6 percent in 1975–78. Carnivorous fishes comprised 23–27 percent in the period 1968–72, decreasing to about 14 percent in 1973, increasing to about 19 percent in 1974 and 22 percent in 1975 but declining to 15–17 percent in 1976–77 and to 12 percent in 1978. Plankton feeders such as Alestes spp. have the fourth position and their percentage was about 15 percent in 1968, 9–11 percent in 1969–72, decreasing to about 5.5 percent in 1973 but increasing to 9 percent in 1975–76, followed by about 7 percent in 1978 (Fig.15A, Table 18).
The picture is different between lakes Nasser and Nubia (Fig.15B). Based on exploratory fishing undertaken in July 1979 by gill- and trammel nets the periphyton feeders form nearly 65 percent in Lake Nasser, as compared with 8.5 percent for Lake Nubia. On the contrary, plankton feeders and carnivorous fishes of Lake Nubia are about 1½–2 times as in Lake Nasser. Omnivorous fishes percentage is 66 percent for Lake Nasser and 17 percent for Lake Nubia respectively.
As seen in Table 19, the fresh fish landings are the highest in March–April period as the average for the period 1967–1971 shows that the percentage increased from 13 percent for January–February period to 29 percent for March–April period, and decreased progressively till the end of the year. In 1975, 1976 and 1981, March–April landings formed 30–31 percent of the total annual fresh fish landings. Between March and June, the fresh fish landings ranged from 45 to 49 percent. In other words, slightly less than 50 percent of the annual fresh fish was landed in the March–June period. In the following four months (July–October) the fresh fish landings ranged between 30 and 32 percent with the exception of 1981 (24 percent). During the November to February period, the fresh fish landings were 20 to 25 percent of the annual landings but these increased to 31 percent in 1981.
The landings per hectare increased from 15.7 kg in 1968 to 52.9 kg in 1978, which is equivalent to an increase from 0.076 mg to 0.202 g/m3 (Fig.16).
According to data from the Fishermen Cooperative Society, since 1966 till 1978, the number of boats increased from 200 to 1 962 and the number of fishermen increased from 800 to 5 964. In most cases, landings per boat or per fisherman have been increasing. The 1978 values are nearly four times higher than for 1966. The landings per boat increased from 3.7 t to 14.5 t and per fisherman from 937 kg to 3 787 kg (Fig.17).
The fish catches are collected by transportation vessels owned by the Lake Nasser Development Authority (LNDA) or the Fisherman Cooperative Societies (FCS). Each vessel covers a certain area or serves a number of fishermen according to a schedule agreed upon by the different concerned bodies, especially LNDA and FCS. Fresh fish is transported iced or frozen while salted fish is kept in tins.
At present 92 vessels are available, with a total capacity of 1 786 t. The capacity of these vessels varies from 6 to 60 t and a horse power ranging from 30 to 200 hp.
Gill and trammel nets are commonly used for fishing in the lake. Gillnets are about 2 m deep and catch mainly Alestes and Hydrocynus. The main fishes caught by trammel nets are Nile tilapia, Nile perch and cyprinids. Experimental deep gillnets, 10–12 m deep, made of mor-or multifilament twine gave better results than the nets used by commercial fishermen.
Most of the commercial fishing is undertaken in surface waters. Application of sunken gillnets with wide mesh in deep waters is limited mostly to the winter season, when the whole water mass is oxygenated, and is mostly used for fishing large Labeo, Clarias and Bagrus. Drifting gillnets gave a good catch of Lates and Bagrus in Khor Kalabsha. Hoop nets, fixed in areas of 10 m depth, gave a good catch of Tilapia in winter from the same area. If these methods were used on a commercial scale they could increase the catch during the present season of low fishing activity. Also, management of the fisheries by prohibiting fishing during the spawning peak of Tilapia in March/April would be facilitated if catches could be increased from other periods of the year. Furthermore, fishing in open waters has been till now limited and fishing possibilities from these vast areas have been so far subject to few investigations.
Two types of fishing boats are being used. The first is a small flat-bottom canoe of the Alexandrian type and manned by two fishermen. The second is the traditional Nile River type which is larger, heavier, broader and manned by four or five fishermen.
Few ferrocement mechanized boats were introduced and according to their size and design can serve different purposes of fishing and/or transportation. The experiment has stopped after the production of a number of boats in situ due to the lack of interest of government agencies to extend the experiment or to convince fishermen. The use of outboard motors is limited.
Some of the fishes of Lake Nasser are salted. The cleaned, gutted large fishes are rubbed in salt and packed in tins with salt in between layers and on the surface. The grade of the product varies, being of the highest grade for Alestes and the lowest for Eutropius and Schilbe spp. Salted fish find markets mostly in Upper Egypt, but with improved methods the product could be more popular elsewhere.
Sun-drying of fish is limited at present, but the possibilities for this type of product are good. Tilapia gave the best results but Lates and Labeo gave a product of inferior quality.
Experimentally, it was proved that Alestes and Hydrocynus could be smoked and canned and the product were of good quality.
The iced fish is landed at the first receiving harbour on the western side of the High Dam. There, a “Fish Complex”, with units for freezing, filleting and fish powder and oil production, has been established.
Fresh fish is delivered at the fish receiving harbour to the Fish Marketing Company. Part of this landed fish is consumed locally in Aswan province while most of the fish (90 percent) is prepared for consumption in other parts of Egypt, especially Cairo. In the Fish Complex part of it is made into fish fillets or definned fish. Generally, the prices of whole fish differ according to the type of fish as given below.
Price for ton (1 L.E. = 1.2 US$)
| Fish | Fisherman | Cooperative Society | Marketing Company | Consumer |
| Tilapia | 103.410 | 113.410 | 168.410 | 200 |
| Lates | 161.550 | 171.550 | 228.550 | 250 |
| Bagrus | 151.850 | 161.850 | 218.850 | 250 |
| Labeo and Clarias | 137.300 | 147.300 | 204.300 | 200 |
The fish fillets are sold at a price of 1.0 L.E. per kilogramme. Salted fish is sold by auction at Aswan and the wholesale price is about 20 L.E. per tin (20 kg) of salted Alestes and Hydrocynus and 8 L.E. for a tin of other types. The price for consumer ranges from 2 to 3 L.E. per kilogramme.
The original riverine population residing in the villages of the Old Nubia, which is the present lake area, was moved between 1959 and 1964 into several villages in newly reclaimed areas on Kom Ombo plateau about 40 km north to Aswan. This region is now known as New Nubia.
With the formation of the lake, a number of fishermen who were originally farmers shifted from Qena and Sohag Governorates. They are not settled and move in and out depending upon the fishing opportunities, seasonal employment in home villages, absence due to Ramadan (fasting month) and other festivals, etc. The number of fishermen increased from 151 in 1962 to about 4 000 in 1972, and to about 9 000 in 1982.
At present the Lake Nasser fishermen are organized in four cooperative societies:
| Name | No. of members | No. of fishermen | ||
| 1. | Fishermen Society | 2 069 | 6 000 | |
| 2. | Aswan Citizens Society | 400 | 2 000 | |
| 3. | Nubians Society | 500 | 700 | |
| 4. | Integration Society | 100 | 260 | |
| Total | 3 069 | 8 960 | ||
The role of the Society is to provide fishing gears to the members. These gears are received or bought from governmental agencies at a tax-free price. On behalf of the members, the society receives from the southern Fishing Company the price of the fish transported by this Company in the lake area. The society is also concerned with solving the problems which arise between the fishermen of neighbouring bases, runs a cooperative shop for food supplies required by the fishermen and undertakes the yearly registration of fishing boats.
A sociological survey has shown that at least 70 percent of the fishermen are willing to settle down around Lake Nasser. They consider farming in their new settlements as a subsidiary activity, mainly to be carried out by the rest of their family members.
Based on the fisheries, sociological and public health surveys the ten selected settlement sites are shown in Fig.18.
The navigation route between Wadi Halfa and Aswan was demarcated and a road between Aswan and Wadi Halfa is being constructed on the western side of the lake (Fig.19). The approximate distance between the proposed villages and the sailing line and the Egypt-Sudan road is given in Table 20. All the suggested sites except Allaqi are not more than 8 km distant from the navigation route. The two proposed sites for Allaqi cannot be connected with the road as they are on the eastern side of the lake.
On the whole, the promotion of the welfare of the fishermen must be an overall plan and development of fish production and agriculture, provision of medical facilities, education of children, vocational training of adults and recreation, as well as religious instructions, and social education ought to be considered.
The fish species of the new impoundment were known in the original river where the reservoir was created. However, the response of the riverine species to the new environments has been different and this has resulted in marked differences in their abundance under lacustrine conditions. According to the exploratory fishing in the early 1970's, Alestes nurse and Hydrocynus forskalii were more common in the catch by gillnets in Lake Nasser than in Lake Nubia and reverse was true for Alestes baremose, A. dentex and schilbeids (Fig.20). Among the catch by trammel nets, Tilapia and Hydrocynus were generally common in Lake Nasser and the reverse was true for Labeo, Synodontis, Bagrus, Barbus, Mormyrus, Eutropius, Schilbe, Alestes dentex and A. baremose. Synodontis batensoda and S. membranaceus were only recorded in Lake Nubia. Eutropius niloticus, Schilbe mystus and S. uranoscopus were more frequent under riverine conditions than in lacustrine habitats and the schilbeids, even within Lake Nubia, were generally more common in its southern part. With the progressive flooding of Lake Nasser, these fishes have become more frequent in areas affected by turbid waters than elsewhere in the reservoir. On the contrary, Alestes baremose and A. dentex prefer clear water and thus their fisheries flourish in Lake Nasser prior to the flood. Such behaviour is reflected in the relative frequency of these fishes in the riverine and semiriverine localities of the reservoir. Fig.21 shows the percentage of Alestes spp. and Eutropius niloticus at Adindan (Lake Nasser) and other stations extending along the length of Lake Nubia on the basis of surveys undertaken in some selected months.
Different fish species have different behaviour and variable responses to conditions in the reservoir. This has accounted for the differences in their distribution in catches. This is particularly significant for species of economic importance in commercial fisheries. Comparing the fish landings from Lake Nasser in two periods, 1966–1970 and 1971–1975, Tilapia species comprised about 36 percent and 57 percent in the two periods, respectively, showing an increased share in the catch. Landings of Lates niloticus increased from about 4.5 to about 6 percent. Catfishes, and cyprinids represented by Labeo and Barbus showed a decline in their share in the catch. Characinids represented by Hydrocynus and Alestes also showed a similar trend but this is primarily due to the fact that the latter are found mainly in Lake Nubia. Personal observations in the early years of impoundment showed that Labeo constituted the main fish caught by trammel nets in April 1967 from the northern part of Lake Nasser. This is not the situation at present. On the contrary, Tilapia galilaea, which was sporadically recorded in the early years of impoundment, has become the commonest fish in the catch at present.
Before the construction of the High Dam, 71 fish species were recorded in the Egyptian part of the River Nile. Some fish, such as Tilapia, Bagrus, and Labeo are endemic, while some others, such as Mugil and Anguilla used to enter the Nile through its two branches (viz., Damietta and Rosetta) from the Mediterranean Sea. At present, only 31 fish species are recorded in the Nile north of Aswan High Dam.
The construction of the High Dam and the formation of water impoundment have created significant changes in physico-chemical characteristics of the water that have consequently affected the biological features. One of the most dramatic changes is the cessation of the silt carried previously by flood whereby the water became lighter with relatively higher light penetration and greater concentrations of dissolved salts. This new environment has resulted in an increased phytoplankton and macrophytes production.
The new conditions have proved more favourable for some fish than for others. As an example, Tilapia form at present about 75 percent of the total production as compared with only 25 percent in the past. On the whole, as shown in Table 21, Tilapia nilotica, Clarias lazera, Bagrus bayad, Labeo niloticus and Barbus bynni are the main commercial fish species during the period 1976–78.
Generally speaking, the fish production from the Nile as well as the number of fishing boats have increased. Between 1958 and 1964 the production ranged from 3 140 to 4 000 t, with an average of about 3 500 t. However, from 1965 to 1970, the fish landings increased gradually from 3 560 t to 7 560 t. From 1971 to 1980, the fish production was 7 500–7 600 t for 1974 and 1975, 8 000 t in 1973, and 9 000 t in 1979. The number of fishing boats increased from 2 671 in 1959 to 11 069 in 1980 (Table 22).
Fish production from the Mediterranean Sea has declined after the construction of the High Dam resulting in a limited discharge of the Nile water to the sea. Thus, the landings decreased from about 38 000 t in 1962 to about 7 000 t in 1979, although they reached about 12 000 t in 1978 and 20 000 t in 1979. Sardines were mostly affected and their proportion in catches decreased from about 37 percent to about 9 percent.
The proportion of Tilapia in the total fish landings from Lake Nasser has greatly increased in the last few years. The pattern of the monthly yield by all species follows very closely that of Tilapia and the relationship is clearly shown in Fig.22 (Ryder and Henderson, 1974).
Annual percentage of Tilapia in total fish landings
| Years | In fresh fish landings | In total fish landings (fresh and salted) |
| 1968 | 60.9 | 26.8 |
| 1970 | 69.5 | 41.5 |
| 1973 | 89.3 | 68.4 |
| 1976 | 94.7 | 66.0 |
| 1978 | 95.0 | 75.1 |
Tilapia (bolti) may thus serve as a suitable indicator species for the total fishery as this fish will be the species most affected by fishing pressure or other stresses.
As shown before, most landings take place in March and April which coincides with the peak of spawning in Lake Nasser. On the basis of the data given by Latif and Rashid (1972), Ryder and Henderson (1974) demonstrated a close correlation between Tilapia landings and the gonad index of the male (Fig.23). The spawners are extremely vulnerable to the current fishing activity in the lake. It can be suggested that the bolti brood stock will be badly reduced if management procedures especially restriction of catch during spawning are not applied.
The length frequency distribution of Tilapia landings is shown in Fig.24. For Tilapia nilotica, the modal length ranges are 28–31.9, 36–39.9 and 44–47.9 cm in 1965, 1966 and 1970 respectively, showing that larger fish were being caught. However, in 1978, smaller fish were being caught again with fish up to 31.9 cm in total length comprising about 53 percent as compared with only 25.3 percent and 6.7 percent in 1966 and 1970 respectively. For Tilapia galilaea the modal standard length range was 22–23.9 cm in 1979, as compared with length range of 26–27.9 cm in 1972.
The effect of fishing intensity on the main species, viz. Hydrocynus forskalii, Tilapia galilaea, T. nilotica and Lates niloticus was examined from data available from fishing surveys on Khor Kalabsha and Khor El-Ramla in March 1978 by using a strand of gillnets and a trammel net and pooling the fish catch for length or weight analysis. As seen in Fig.25 the mean length or weight is higher for Khor Kalabsha than Khor El-Ramla. Mean lengths are 36.5, 21.8, 28.6 and 38.1 cm for the first Khor and 32.0, 18.0, 23.4 and 35.3 cm in for the second Khor for Hydrocynus, T. galilaea, Lates and T. nilotica respectively. The catch per unit effort is higher at Khor Kalabsha with 2.93 g/m2/hr as compared with 1.72 g/m2/hr for Khor El-Ramla. These differences reveal clearly the signs of fishing stress to a greater extent at Khor El-Ramla than at Khor Kalabsha.
According to Henderson et al. (1973), the rapid increase in nutrient level, following the filling of a lake, is paralleled by increased fish production (after an appropriate time lag) with resulting higher yields. The Volta reservoir in Ghana showed increasing yields subsequent to flooding which parallelled increased nutrient levels, represented by alkalinity. The lag between peak nutrient levels and peak yield was one year. The maximum water level was reached by 1968, subsequently nutrient levels declined and the fish yield became correlated with both alkalinity and MEI if the appropriate timelag was taken into account. Once depth, volume and area are stabilized some of the abiotic and biotic variables decrease, notably nutrient levels and yield per unit of effort (Fig.26A).
Applying the MEI to Aswan High Dam reservoir, Ryder and Henderson (1974) estimated the potential production of Lake Nasser as 19 000 t at 180 m level. As shown before, the total landings reached about 18 400 t in 1977 whence the maximum level reached 177 m. In 1978, the landings of Lake Nasser of about 22 500 t are near the potential production of the whole reservoir including Nasser and Nubia lakes. In successive years, total landings and yield (landings/ha and landings/boat) have increased mostly progressively. The pattern is different when considering the bicarbonate level of Lake Nasser as it is higher in 1974/75 than before or after those years (Fig.26B). On this account, the picture of Lake Nasser is different from that of Lake Volta, and even some years after reaching the peak of bicarbonate content, fish landings are still increasing. The increased landings can be attributed to intensified fishing operations. This is indicated by the smaller-sized fishes in the current landings than in the landings from earlier years.
The concerned governmental bodies have or are developing the fisheries infrastructure especially ice plants, boat building and repair, fish processing complex, etc. However, the settlements are still faced with difficulties and the village construction schemes have to be strengthened. Some training programmes on boat building and net-mending had been successfully executed with the support of Unicef but further training is needed. On spot construction and maintenance of transport vessels are being carried out by some Egyptian companies. Small fishing boats are constructed by a number of private enterprises in Aswan area including the lake's side.
The main objectives of the Aswan High Dam is power production and storage of water to be used for downstream irrigation. The benefits gained are:
Expansion of the cultivated area by 1.3 million feddans (1 feddan = 4 200 m2).
Conversion of 700 000 feddans from the basin irrigation system to the perennial irrigation system thus multiplying their crops.
Ensuring the water requirements for irrigation of the present and newly reclaimed lands.
Protecting the country against high floods.
Increasing the productivity of land by improving its drainage through lowering the ground water table.
Expansion in the rice crop for export.
Improving the navigation conditions along the Nile.
Generating an annual electric energy amounting to 10 billion kW to be used for industrial and agricultural development. Besides, it will increase the amount of energy produced from the present Aswan Dam Power Station.
The direct annual increase in the national income is more than 200 million L.E.
For the Sudan, the High Dam will avail an extra quantity of irrigation water amounting to 14.5 billion m3 annually. The extra water will be used for agricultural expansion by three fold the present cultivated area.
Fishery development is undoubtedly one of the gratifying benefits of the High Dam but the value of this resource cannot be compared with the primary objectives, viz. water storage and electricity generation. The gross sale value of fish is more than 6 million L.E. (about U.S.$7.2 million).
The operation of the dam is the responsibility of Aswan High Dam Authority, affiliated to the Ministry of Irrigation. The power station and electricity utilization is the responsibility of the Ministry of Electricity and Power. The two ministries cooperate in regulating downstream water discharge and power production.
Lake Nasser Research Station belonging to the Branch of Inland Waters and Aquaculture (Institute of Oceanography and Fisheries, Academy of Scientific Research and Technology) has been established in the vicinity of the reservoir in 1963. Research covers different areas including the nature of the environment, and its biota as well as fish potential. Research staff at present includes:
| Number | Degree | Specialization |
| 2 | Ph.D. | Fish Biology |
| 1 | Ph.D. | Chemistry |
| 1 | M.Sc. | Geology |
| 1 | M.Sc. | Plankton |
| 1 | M.Sc. | Fish Biology |
| 1 | B.Sc. | Chemistry |
| 1 | B.Sc. | Bottom Fauna |
The Lake Nasser Development Authority established about two years ago a Fish-Management Centre in Cooperation with Japan. The staff is limited and is currently undergoing training.
Based on the research undertaken by the specialists since 1967, the new fisheries law includes a reference to the minimal legal size for economic fish of Lake Nasser besides fish from other fishing territories. A proper fishery management board is not existing and management procedures can be adopted by the Ministry of Development and Land Reforms responsible for Lake Nasser. This is not difficult as fish is landed at one site and delivered completely to Lake Nasser Development Authority. In conclusion, management procedures which would encourage better use of the reservoirs underutilized resources are needed. As the reservoir apparently is reaching its maximum potential for tilapia production, management measures will soon be required to regulate this fishery or to otherwise enhance its output.
Henderson, H.F., R.A. Ryder and A.W. Kudhongania, 1973 Assessing fishery potentials of lakes and reservoirs. J.Fish.Res.Board Can., 30: 2000–9
Latif, F.A. and M.M. Rashid, 1972 Studies on Tilapia nilotica from Lake Nasser. 1. Macroscopic characters of gonads. Bull.Inst.Oceanogr.Fish.UAR, 2: 215–38
Ryder, R.A. and H.F. Henderson, 1974 Fish yield projections on the Nasser reservoir. UNDP, FAO, FI:DP/EGY/66/558, Tech.Rep. 5