Data from thirty one tropical African lakes are combined to evaluate the influence of Morpho-Edaphic factors on fish catch. A relationship exists between increasing Morpho-Edaphic Index (MEI) and catch, deviations from which are partly accounted for by differences in the numbers of fishermen operating in the lakes. The expression catch kg/ha = 14.3136 MEI0.4681 describes the relationship for lakes which are approaching or have reached their maximum level of exploitation.
Catch per fishermen also increases with increasing values of MEI. With increasing numbers of fishermen/km2 the individual catch rises up to a fisherman density of 1.5 km2 and then probably falls. The initial rise, which is not predicted from the inverse relationship between catch per unit effort, is attributed to the intervention of economic factors.
Morpho-Edaphic Indices and variation in catch per fisherman density may be used as valuable tools for the management of fishery resources.
On combine les données relatives à trente-et-un lacs de l'Afrique tropicale pour évaluer l'influence des facteurs Morpho-Edaphiques sur les captures de poissons. Il existe une relation de proportionnalité entre l'Indice Morpho-Edaphique (IME) et le chiffre des captures; les écarts s'expliquent en partie par les différences entre les effectifs des pêcheurs opérant dans les lacs. L'expression captures kg/ha = 14,3136 MEI0,4681 donne l'expression mathématique de cette relation pour les lacs où l'on se rapproche du taux maximum d'exploitation ou bien où celui-ci a déjà été atteint.
Le chiffre des captures par pêcheur augmente également proportionnellement aux valeurs de l'IME. Lorsque le nombre de pêcheurs au km2 augmente, les quantités capturées par chacun d'entre eux augmentent jusqu'à ce que la densité atteigne un pêcheur 1,5 km2, puis elles diminuent probablement. L'accroissement initial, qui ne peut pas être prévu du fait que les captures par unité d'effort sont inversement proportionnelles à l'effort de pêche, est attribué à l'intervention de facteurs économiques.
Les Indices Morpho-Edaphiques et les variations des quantités capturées en fonction du nombre de pêcheurs peuvent constituter des instruments précieux pour l'aménagement des ressources halieutiques.
Many attempts have been made to equate some aspect of the productivity of lakes with independent limnological variables and two factors, mean depth and water chemistry, have emerged as particularly significant. Rawson (1952 and 1955) has shown an inverse relationship to exist between mean depth and fish production in large Canadian lakes, and Fryer and Iles (1972) have demonstrated a similar relationship for African waters. The relationship between water chemistry and fish production has been investigated by Moyle (1956) for lakes in Minnesota, and the correlation between physical and chemical indices of production and the standing crop of bottom fauna and fish in British Columbian lakes has been described by Northcote and Larkin (1956). These separate morphological and chemical indices have been combined by Ryder (1965) to form a Morpho-Edaphic Index (MEI) derived from the expression

and the use of this index which is also known as ‘Ryder's Index’ has been further elaborated upon by Jenkins (1968 and 1970). The application of the Morpho-Edaphic Index to African waters was first considered by Regier, Cordone and Ryder (1971) for seven African lakes and the principles underlying the use of the index in Africa were further elaborated by Henderson, Ryder and Kudhongania (in press). Data are now available for a greater number of tropical African lakes and these permit the more detailed evaluation of the Morpho-Edaphic Index presented here.
Morpho-Edaphic Indices have been calculated for 31 African lakes from the data presented in Table I which is derived from numerous sources compiled by Welcomme (1972) and updated where possible. Because of the greater availability of data on the conductivity of African waters compared with total dissolved solids, this factor has been substituted in Ryder's original equation to give the formula

Additional data are available on total catch and numbers of fishermen for each of these lakes although the reliability of these data is somewhat limited by the difficulties of accurately determining catch and fishermen numbers on such large bodies of water in Africa.
Relationships between MEI and catch are assumed to be characteristic for sets of lakes that possess a certain number of limnological conditions in common, i.e., that the ionic content is dominated by the carbonate-bicarbonate system, that the water body is not dystrophic, that the volume does not fluctuate noticeably and that the temperature regimes are similar (Ryder, 1965). Several of the lakes in the set shown in Figure 1 do not in fact conform to all these criteria. Lakes Mweru-Wa-Ntipa and Chilwa fluctuate considerably in level, Lake Rudolf lies outside the carbonate-bicarbonate system, and the 9 850 km2 Lake Bangweulu includes an area of 7 500 km2 of swamp which cannot be separated from the lake with currently available information. It is however judged useful to include these lakes within the set for the purposes of this exercise, in order to see how they compare with the more typical water bodies.
Comparison between lakes within the set also supposes that they are being exploited at similar levels relative to their maximum sustainable yield. A major difference between the African lakes, however, is the intensity of their exploitation. One simple measure of this intensity is the number of fishermen operating per unit area (1 km2) of lake, assuming equal efficiency. This assumption is supported by the fact that most African inland fisheries are artisanal and limited therefore by the capability of the individual fisherman to handle his gear, and this measure of intensity of exploitation is therefore adopted here.
The plot of recorded catch of the fishery in kg/ha against MEI (Figure 1) shows considerable scatter, but the best fit regression line catch kg/ha - 8.7489 MEI0.3813 calculated for these points has a correlation coefficient r = 0.5073 which is significant at the 0.01 level. A Ryder type linear plot has been fitted to these data rather than the curvilinear plot adopted by Jenkins (1968) as the scatter scarcely justifies fitting an additional term. The point plotted for Lake Chad in Figure 1 is based on an estimate of 30 000 t/year made at a time when the lake level was relatively stable and the fishery little developed. In recent years a rapid lowering of lake level has made the calculation of a Morpho-Edaphic Index difficult, but the latest estimate of production of 140 000 t, equivalent to 100 kg/ha (Durand, 1973) is more consistent with the level of production predicted from the regression line.
As catches also fluctuate with intensity of exploitation, here represented by the number of fishermen operating on the lakes, the recorded catch has been examined as a function of this factor in Figure 2.
Substantially lower values of catch occur at densities less than one fisherman/km2. Above this level however the catches are similar, suggesting that by and large catches between 50 and 200 kg/ha are resource-limited thus represent the potential catches of this set of lakes.
We have drawn a line through these data to represent what we believe to be a reasonable model of catch-effort relationship. The downward slope of this model above 2.5–3.0 fishermen per km2, while hardly justified by data given, is, we believe, real as the fishery with the highest density of fishermen is one which most clearly shows conventional signs of overfishing (e.g., declining catches, substantial decrease in the size of individual fish in the catches accompanying choice of smaller and smaller mesh nets by the fishermen (Bazigos, personal communications)).
As a check on the influence of this factor the residuals, log actual catch - log estimated catch, where estimated catch is calculated from the formula yest = 8.7489x 0.3813 (Figure 1), were plotted against the number of fishermen/km2 (Figure 3). The derived (solid) line y = 0.9179x is significant at the 0.01 level and the correlation coefficient r = 0.750 indicates that 56 percent of the scatter in Figure 1 is explainable by differences in intensity of exploitation. Although a straight line plot has been used in Figure 3, data in Figure 2 suggest that these points may be better fitted by a curve of the general form of the dotted line.
Estimation of the lakes which form exceptions to the general conditions of the set shows that all of them, except Lake Tanganyika, give low values of catch when compared with the best fit regression line. However, of these Chilwa with 0.9 fishermen/km2, Mweru-Wa-Ntipa with 0.7 km2 and Rudolf with 0.2 fishermen/km2, all have low exploitation rates and show similar levels of catch to those of other lakes more typical of the set having the same numbers of fishermen/km2. This suggests that the limits defined for the set may be less stringent than anticipated and that these limits may be relaxed to include lakes with fluctuating volume and lakes whose chemical regimes are not of the carbonate-bicarbonate system. Only Lake Bangweulu, with 1.2 fishermen/km2, has a level of exploitation which should be consistent with the predicted values, but as previously stated, this lake is in fact a lake/swamp system which may be excluded from the set by reason of its morphology.
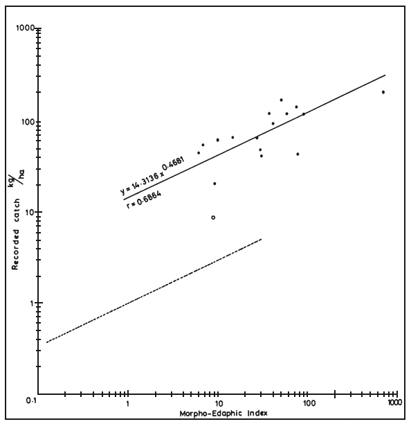
To compensate for the variation introduced by the diversity in intensity of exploitation, catch against MEI is replotted in Figure 4 excluding those lakes with less than one fisherman/km2. The resulting best fit line catch kg/ha = 14.3136 = MEI0.4681, has an improved correlation coefficient (r = 0.6864) compared with that of Figure 1, although this does not improve the level of significance (0.01 level). Both the regression coefficient a, = 0.3813 and a, = 0.4681 are sufficiently close to Ryder's (1965) coefficient a, = 0.44610 and a, = 0.44351 (Ryder, 1965) to confirm the contention made by Regier, Cordone and Ryder (1971) that lines of best fit for different sets of lakes are approximately parallel if only displaced vertically. Ryder's 1965 line, y = 2.094 x0.44610, for 23 moderately intensively fished lakes, converted to metric units, is plotted as a dashed line in Figure 4 for comparison, and does not differ significantly from the line y = 14.3136 x0.4681 (t = 0.1466 significant to 0.9 level). These relationships indicate that the yield from north-temperate waters is about one tenth that of tropical African waters. This is largely explicable by differences in seasonality and mean temperature (about 10°C for north-temperate zone and 25°C for the tropics) between the two regions.
If the point for the aberant Lake Bangweulu (open circle) is excluded in Figure 4, the maximum and minimum values of fish catch at any one value of MEI indicate that the estimates of fish catch from the Morpho-Edaphic Index vary between half and twice the mean value (i.e. ½x - 2x).
The relationship between catch per fisherman and MEI is plotted in Figure 5. The best fit regression line catch/fisherman = 0.7779 MEI0.3775 has a correlation coefficient r = 0.7390 which is significant at the .001 level showing that there is a very definite increase in catch per fisherman with increasing MEI. Lakes Malawi, Tanganyika and Victoria (shown by crosses in Figure 5) which were excluded in calculating this regression, do not conform to this relationship having catches per fisherman far higher than might be expected from the other lakes. This may be due in part to the fact that Lakes Malawi and Tanganyika, at least, have developed industrial fisheries. These are also lakes with relatively low recorded densities of fishermen.
The catch per fisherman may be regarded as an index of the standing crop or biomass of fish. As the Morpho-Edaphic Index is assumed to measure relative productivity of the lakes, a better correlation should be expected with catch per fisherman than with catch, and this seems to be the case.
From the assumed relationship between catch per unit effort and increasing effort, it might be expected that catch per fisherman is likewise inversely proportional to the number of fishermen/km2. The data for the lakes are plotted in Figure 6. From the relationship in Figure 2, calculated mean values of catch per fisherman were plotted and the line thus derived (solid line) shows an increasing catch per fisherman with increasing numbers of fishermen up to a level of about 1.5 fishermen/km2. Thereafter the catch shows the expected decline, and if a regression is calculated for all points above 1.5 fishermen/km2 the resulting dashed straight line y = 8.784-1.58x (r = -0.531) coincides with the calculated curve sufficiently well to support the latter's validity.
The initial increase in catch, up to a level of 1.5 fishermen/km2, which deviates from this line, suggests that further factors are operating on the fisheries of lakes with low levels of exploitation. An analysis of the residuals of log actual catch - log expected catch (where estimated catch per fisherman is calculated from the formula: y = 0.7779 MEI0.3775) when plotted against number of fishermen/km2 (Figure 7), shows that the apparent scatter is resolvable by two factors. There is firstly a group of lakes (solid circle in Figure 7) which conform well to the expected inverse relationship between catch per unit effort and increasing number of fishermen (shown by dotted line, drawn by eye), and a second group (open circles) which do not conform to this relationship. Examination of the second group which is characterized by lakes of low fisherman density and low catch per fisherman shows them to consist mainly of those lakes which are isolated or are in regions where there is low demand for fish. It is therefore suggested that in these cases economic constraints are responsible for the apparent low efficiency of the fishermen.
Until reliable data are obtained from monitoring the history of any particular fishery under varying conditions of exploitation, the most useful approach to the evaluation of the condition of the fishery and its potential for development is through comparative studies of similar fisheries. In this paper we have confirmed the previously postulated relationship between annual catch of lakes and their limnological and morphological characteristics as represented by Ryder's Morpho-Edaphic Index. Further, there are indications that the number of fishermen per unit area of lake can be used as an index of intensity of exploitation for this class of lakes, and that comparisons of recorded annual catches with estimated potentials may be improved by taking the concentration of fishermen into account.
For the purposes of estimating the potential yield of lakes for which actual catch data are unavailable, we suggest that the regression relationships shown in Figures 4 and 5 may be used. In planning for fishery development and in managing these fisheries, the relationship of catch to concentration of fishermen as evidenced by Figure 2 may be even more useful than estimates of potential yields. There is, however, rather too much scatter in the data relating the catch per fisherman and differences in potential yield to the density of fishermen (fishing effort) Figures 3, 6 and 7 to provide empirical evidence of the form of the relationship between catch and effort in the set of lakes studied.
A warning of the difficulties which may be found in assuming some of the simpler models of catch and effort relationships is given by the apparent low average catch per fisherman in lakes that are lightly exploited. We have suggested that economic constraints such as poor market conditions may be an important factor in producing low catch per effort in association with low numbers of fishermen, but other factors could be operating as well. We are convinced, however, that the expectation of reduced annual yield per fisherman with high densities of fishermen is confirmed in these data. Densities of 4 of 5 fishermen per km2 of lake surface may be regarded as indicative of intense exploitation, probably sufficient to reduce the average annual catch to less than might be obtained at lower intensity. Further, improved fishing techniques will reduce the number of fishermen that can be supported if the annual catch is to remain unchanged.
It is clearly beyond the scope of this kind of analysis to recommend an optimal fishing intensity for African lakes. Further study, particularly of the changes in catch per effort with changing effort in particular lakes of the set, is urgently needed to clarify the extent to which the average fisherman's catch is diminished by increased numbers of fishermen. It is nevertheless unlikely that the average fisherman's catch will be maximal at the same concentration of fishermen that produces maximal yield from the lake. In many instances, regional economic objectives may require that the part of the possible yield of the lake be sacrificed in the interest of increasing employment perhaps up to the intensity of exploitation which leaves the fishermen with an income (catch per year) equal to income levels of alternative employment. Such conclusions as are drawn in this paper, while leaving a considerable margin of uncertainty in the catches that can be expected from such lakes, should be of considerable assistance in defining the compromises which must be expected in emphasizing different ones of these objectives.
ACKNOWLEDGEMENTS
The authors wish to express their gratitude to all those workers who have contributed the data upon which this study is based. We also thank H.A. Regier and J.A. Gulland and others who have provided helpful criticism. Inasmuch as the working paper containing the original proposal for use of the Morpho-Edaphic Index in Africa could not be generally circulated, we wish to particularly acknowledge these contributions to the present paper by H.A. Regier, A.J. Cordone and R.A. Ryder.
Morphometric, edaphic and fish production data on 31 tropical African lakes
Données morphométriques, édaphiques et de la productivité piscicole sur 31 lacs tropicaux d'Afrique
| Lake/Lac | Area/Superficie (km2) | Mean depth/Profondeur moyenne (m) | Conductivity/Conductibilité (K20 u mhos) | Catch/Prises (t) | No. of fishermen/No. de pêcheurs |
| Albert [Mobutu Seseseku] | 5 600 | 27.0 | 700 | 28 230 | 9 600 |
| Ayame | 135 | 10.0 | 100 | 1 000 | 550 |
| Bangweulu | 9 850 | 4.0 | 35 | 9 000 | 11 780 |
| Baringo | 130 | 5.6 | 416 | 600 | 330 |
| Chad/Tchad | 22 000 | 3.9 | 250 | 30 000 | 10 000 |
| Chilwa | 1 750 | 2.0 | 1 600 | 9 800 | 1 740 |
| Chiuta | 113 | 5.0 | 150 | 500 | 193 |
| Edward [Idi Amin Dada] | 2 300 | 34.0 | 900 | 16 031 | 5 700 |
| George | 270 | 2.5 | 180 | 4 242 | 600 |
| Guiers | 170 | 2.0 | 113 | 2 250 | 370 |
| Kainji | 1 270 | 11.0 | 73 | 7 200 | 6 320 |
| Kariba | 5 364 | 29.2 | 100 | 4 080 | 1 600 |
| Kitangiri | 1 200 | 5.0 | 785 | 4 113 | 317 |
| Kivu | 2 699 | 240.0 | 1 240 | 315 | 600 |
| Kyoga | 2 700 | 6.0 | 300 | 48 900 | 6 000 |
| Maji Ndombe | 2 300 | 5.0 | 50 | 1 094 | 1 000 |
| Malawi | 30 800 | 426.0 | 220 | 28 000 | 10 154 |
| Malombe | 390 | 4.0 | 225 | 5 000 | 900 |
| Mwadingusha | 393 | 2.6 | 217 | 5 000 | 1 400 |
| Mweru | 4 580 | 7.0 | 100 | 31 000 | 6 000 |
| Mweru-Wa-Ntipa | 1 520 | 3.0 | 600 | 5 812 | 1 100 |
| Nasser | 3 330 | 25.0 | 230 | 7 000 | 3 500 |
| Nzilo | 280 | 10.0 | 400 | 2 800 | 450 |
| Rudolf | 7 200 | 40.0 | 3 000 | 2 000 | 1 100 |
| Rukwa | 2 000 | 4.0 | 2 750 | 9 876 | 1 381 |
| Tana | 3 500 | 8.0 | 160 | 500 | 350 |
| Tanganyika | 32 900 | 700.0 | 566 | 73 268 | 15 000 |
| Tumba | 767 | 3.0 | 27 | 443 | 300 |
| Upemba | 530 | 0.3 | 200 | 12 000 | 1 000 |
| Victoria | 68 800 | 40.0 | 95 | 101 082 | 26 000 |
| Volta | 8 482 | 19.0 | 1 115 | 40 000 | 27 700 |

Figure 1. The relationship between Morpho-Edaphic Index and recorded catch in 31 tropical African lakes
Relation entre l'Indice Morpho-Edaphique et le chiffre des captures dans 31 lacs d'Afrique tropicale
MEI = IME
Recorded catch = chiffre de capture

Figure 2. Variations in recorded catch at different numbers of fisherman/km2 in 31 African lakes
Variations du chiffre des captures en fonction de la densité des pêcheurs au km2 dans 31 lacs africains
Number of fishermen/km2 = Nombre de pêcheurs au km2
Recorded catch = chiffre de capture

Figure 3. Relationship between variations of y/yest from Figure 1 and fishermen density
Relation entre les variations de y/y estimé données par la Figure 1 et la densité des pêcheurs
Number of fishermen/km2 = Nombre de pêcheurs au km2


Figure 4. The relationship between Morpho-Edaphic Index and recorded catch in 17 African lakes having levels of exploitation greater than 1 fisherman/km2 (solid line). Line derived from Ryder (1965) is plotted for comparison (dashed line)
Relation entre l'Indice Morpho-Edaphique et le chiffre des captures dans 17 lacs africains où le nombre de pêcheurs dépasse une personne au km2 (ligne continue). On a représenté sur le même graphique, aux fins de comparaison, la courbe originale discontinue obtenue d'après Ryder (1965)

Figure 5. The relationship between Morpho-Edaphic Index and catch per fisherman for 31 African lakes. Lakes Victoria, Malawi and Tanganyika are shown by crosses and all other lakes by dots
Relation entre l'Indice Horpho-Edaphique et le chiffre des captures par pêcheur pour 31 lacs africains. Les lacs Victoria, Malawi et Tanganyika sont indiqués par des croix et tous les autres par des points
Catch per fisherman = capture par pêcheur
Morpho-Edaphic Index = Indice Morpho-Edaphique

Figure 6. The relationship between catch per unit effort (catch per fisherman) and effort (number of fisherman/km2) for 31 African lakes
Relation entre les captures par unité d'effort (capture par pêcheur) et l'effort de pêche (nombre de pêcheurs au km2) pour 31 lacs africains

Figure 7. The relationship between y/yest from Figure 4 and fisherman density
Relation entre le rapport y/yest obtenu d'après la Figure 4 et la densité des pêcheurs
Number of fishermen/km2 = Nombre de pêcheurs au km2
