Although small water bodies have considerable potential for fish production, there are some constraints on their potential. Because of their small size they are likely to be affected by events in their catchments much sooner than are large ones. This is a factor that will be of importance in their management, and some of these constraints are discussed in the following sections.

Figure 16. Relationship between altitude and the productivity of fish ponds in Malawi (points) and Madagascar (histogram)
(From Balarin, 1988)
Because so much of southern Africa lies at a relatively high altitude, temperature will have a much greater influence on productivity than would be expected in areas at relatively low latitudes. The effects of temperature on fish productivity is poorly understood in most of the region, although a clear relationship between altitude and the productivity of fish ponds has been demonstrated in both Malawi and Madagascar (Figure 16). Under some circumstances, low temperatures can bring about considerable mortality.
This as a problem will be most severe in the highest and southernmost parts of the region, and most reports of cold-induced mortality, therefore, have come from South Africa (Allanson, Ernst and Noble, 1962; Bruton and Taylor, 1979; Jubb, 1979). There was a close relationship between the number of degree-days below 10°C (air temperature) and the mortality of juvenile Oreochromis mossambicus in the Hartbeespoort Dam (Cochrane, 1986). In severe winters (> 30 degree-days below 10°C), the mortality rate of these fish reached 100% and there was a complete failure of recruitment to the fishery.
Cichlid fish seem to be the most vulnerable to cold and their productivity is likely to be limited by temperature in Lesotho, much of South Africa, and areas of high altitude in other parts of the region. Little can be done to overcome the effects of temperature, except perhaps to utilize fish species that are better able to resist low temperatures.
The morphometry of a water body will affect its productivity. Reservoirs, in particular, vary considerably in their shape, and shallow, dendritic ones will tend to be more productive because of the greater interaction between the sediments and the water. Deep, steep-sided ones, like some of those that are under construction in Lesotho, will be the least productive.
Productivity is also affected by catchment geology, either on a regional scale or a local one. Large tracts of the western and central parts of southern Africa are covered with Kalahari sand, an aeolian deposit with very few nutrients. Rivers draining these sands are very low in nutrients, as illustrated by data from the Zambezi River (Table 13). Above the Victoria Falls, the drainage area of the river is almost entirely Kalahari sand and the conductivity of the water is only about 75 μS/cm. Major tributaries which enter below the Victoria Falls do not drain Kalahari sands and there the conductivity of their water is much higher, ranging from 147 to 315 μS/cm.
Table 13. Water chemistry of the Zambezi River and some of its major tributaries
| pH | Conductivity (μS/cm) | Total alkalinity (mg/l CaCO3) | Nitrate (mg/l NO3-N) | Orthophosphate (μg/l PO4-P) | |
|---|---|---|---|---|---|
| Zambezi (above Kariba) | 7.6 | 75 | 33 | 0.01 | 13 |
| Zambezi (Kariba outflow) | 7.1 | 93 | 40.5 | 0.03 | 7 |
| Kafue River | 7.5 | 231 | 124 | - | - |
| Luangwa River | 7.9 | 147 | 57 | 0.15 | 78 |
| Zambezi (Tete) | 7.8 | 119 | 53 | 0.16 | 121 |
| Lake Cahora Bassa | 7.6 | 108 | - | 0.10 | 212 |
| Shire River | 7.5 | 315 | 110 | 0.18 | 69 |
| Zambezi (below Shire) | 7.8 | 153 | 73 | 0.13 | 78 |
(From Davies, 1986)
Note: ‘-’ indicates no data available.
Much the same happens on a local scale. Williams (1970) studied small dams within an 80 km radius of Harare, Zimbabwe, and found that the levels of dissolved ions were lowest in those whose catchments were predominantly granite (Table 14). Small water bodies are much more likely to be affected by variations in catchment geology than larger ones although little is known about this aspect at present.
Table 14. Zimbabwean plateau water composition in relation to the drainage basin geology
| Granite | Metavolcanic | Limestone | ||
|---|---|---|---|---|
| Conductivity | (μS/cm) | 30 | 165 | 330 |
| pH | 6.9 | 7.8 | 7.7 | |
| HCO3- | (mg/l) | 17 | 113 | 234 |
| Ca++ | (mg/l) | 2.1 | 22 | 45 |
(From Williams, 1970)
Again, little can be done to mitigate these effects except to appreciate that small water bodies could vary widely, even if situated quite close together. Provided the reasons for this variation are known, they can be managed accordingly.
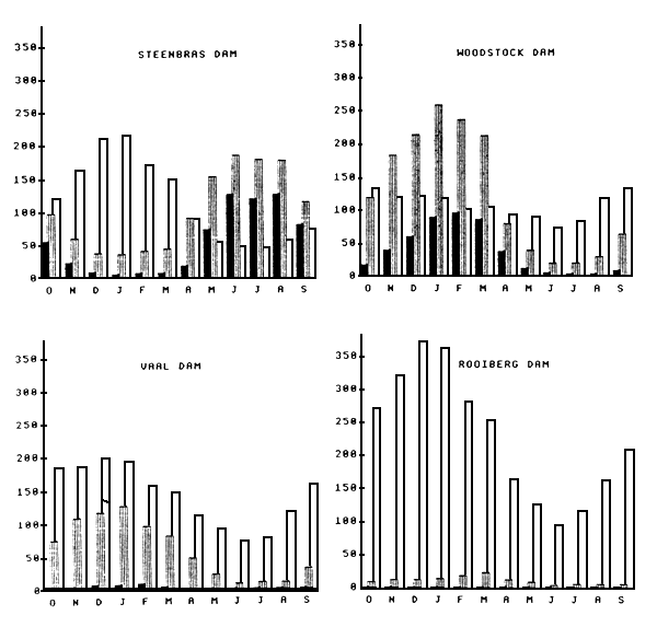
Much of southern Africa is arid or semi-arid and drought is a constant hindrance to fisheries development throughout the region. Even in years of relatively “normal” rainfall, evaporation rates are high and in many reservoirs the losses from evaporation may exceed contributions from rainfall and river flow (Figure 17). Many small reservoirs have been built in dry areas where fish is generally unavailable; unfortunately, because they are liable to dry out, they are also the ones least likely to contribute to a significant improvement in fish availability. These constraints can be overcome by suitable management practices, such as restocking after the rains, and so forth.
Even relatively large bodies of water can be affected by drought. Lake Ngami in Botswana contained water during the 19th Century, but was largely dry during the 20th. It filled completely during the 1970s, however, attaining an area of some 200 km2 and producing about 700 t of fish in 1977. It had dried up completely by 1982 and the fishery had collapsed (Vanden Bossche and Bernacsek, 1990). The same applied to Lake Liambezi in Botswana and Namibia, which produced about 800 t annually in the 1960s and 1970s, but was dry by 1986.
Although droughts devastate fisheries, a reasonable degree of water level fluctuations are not entirely disadvantageous. Alternating wet and dry conditions reverse the loss of nutrients through oxidation and leaching, which stimulates high production in both phases (Hildrew, 1981). This was shown clearly in some pans of the Pongolo floodplain, South Africa, where there was a close relationship between the conductivity of the water and its level (Figure 18). In Lake Kariba, nutrient levels in shallow water (200 mm) increased rapidly as the water rose and the availability of these nutrients led to a dramatic increase in the number of benthic invertebrates, notably chironomid larvae (McLachlan, S.M., 1971; McLachlan, A.J., 1970). The same phenomenon was observed in Lake Chivero, where the numbers of chironomid larvae in the mud increased dramatically following a rise in lake level (Figure 19).
The incidence of drought cannot be predicated or controlled, and there is little that the fishery manager can do to mitigate its effects. Fisheries in small water bodies might not be sustainable in arid areas, and planning should take this into account.
![]() | |
| Steenbras Dam is located in the winter rainfall area at the Cape of Good Hope; Woodstock Dam is in the humid climatic zone of Natal; Vaal Dam is in the semi-humid high plateau of the Transvaal; and Rooiberg Dam is in the arid northwest. | |
| The vertical scale is in mm; unshaded = gross evaporation; vertical shading = precipitation; solid shading = runoff. | |
| (From Alexander, 1985) | |
Figure 17. Relationship between mean monthly precipitation, potential open water surface evaporation and river flow at four reservoir sites in South Africa
The increasing rate of deforestation and land clearance in Africa, combined with poor agricultural practices and the unrelenting growth of the human population, is perhaps the most serious threat to small water bodies. Whitlow (1983) has shown that soil losses through erosion were over 20 times greater from cleared plots than from protected ones at a sandveld site in Zimbabwe (Table 15). There is little doubt that soil erosion is becoming an increasingly serious problem in much of southern Africa and is having a serious impact on its aquatic environments.
Table 15 Effect of different land uses on runoff and soil erosion in sandveld soils in Zimbabwe
| Mean runoff(1) | R(2) | Soil loss(3) | |
|---|---|---|---|
| Bare plots | 20.6 | 30.3 | 4.32 |
| Burnt annually | 6.0 | 8.8 | 0.47 |
| Burnt every 4 years | 3.3 | 4.8 | 0.28 |
| Protected plots | 2.6 | 3.8 | 0.20 |
Notes: 1. Mean runoff in cm/yr.
2. Runoff as a percentage of mean annual precipitation.
3. Soil loss in t/ha/yr.
(Data from Whitlow, 1983)

Figure 18. Fluctuations in the concentration of dissolved solids in the water of Mhlolo Pan, Pongolo river, showing the effects of flooding and concentration
(From Heeg and Breen, 1982)

Figure 19. The relationship between the abundance of benthic animals and lake level in the littoral zone of Lake Chivero
(From Marshall, 1978b)
Large water bodies are not immune and there is evidence to show that the littoral areas of Lake Tanganyika are beginning to suffer from the blanketing effect of sediment carried into the lake (Cohen et al., 1993). Suspended sediments in the water lead to high turbidity which, in turn, affects productivity and fish growth. The growth rates of Barbus and Labeo species in Lake le Roux, South Africa, were greatly reduced when transparency of the water decreased (Tomasson and Allanson, 1983; Merron and Tomasson, 1984).
However, the effect of sediments will be much more detrimental in small water bodies, which, in some areas, have lost significant quantities of their storage capacities.
These losses can be serious in arid areas: a small dam in the Orange Free State lost 33% of its capacity through sediment deposition between 1942 and 1970 (le Roux and Roos, 1979). The situation seems to be much worse in wetter areas, where the population and level of agricultural activity is greater. In the Save River catchment, Zimbabwe, the storage capacity lost each year amounted to 262 × 106 m3, which is equivalent to that of the Mazvikadei Dam, the second largest in the country (Magadza, 1992). In many small dams, massive losses of storage capacity occurred in anything from 2 to 10 years and, on average, they lost 39% of their capacity in 20 years (Table 16). Losses on this scale mean that fish production from these dams is unsustainable.
Table 16. Loss of storage capacity in some small dams in Zimbabwe
| LC(1) | Time(2) | |
|---|---|---|
| Chepiri Dam | 0.5 | 36 |
| Zuwa Dam | 4 | 37 |
| Hanjane Dam | 10 | 36 |
| Nyazvizvi Dam | 15 | 37 |
| Chidoda Dam | 30 | 37 |
| Ngomahuru Weir | 31 | 6 |
| Jotsholo Weir | 33 | 6 |
| Marah Ranch Dam | 40 | 10 |
| Glen Avelin Weir | 46 | 10 |
| Astral Weir | 53 | 10 |
| Gizwe Dam | 66 | 22 |
| Rinette Weir | 73 | 9 |
| Zaka Weir | 100 | 22 |
| Mean | 38.6 | 19.8 |
Notes: 1. LC = loss of storage capacity (%).
2. Time in years in which loss occurred.
(From Magadza, 1984)
This problem can only be solved through a solution to the wider environmental problems of the subcontinent. Improvements to the agricultural system in affected catchments is essential, and fishery projects should take note of the situation in catchments before any development begins.
Salinity is a problem in some areas, notably low-lying coastal regions, such as the lower Limpopo valley in Mozambique, where fish culture is severely limited by salty water. However, increases in the salinity of inland waters is a potentially much more serious problem, especially in arid areas. This process is partly a consequence of dissolved salts being leached out of the rocks, but is being aggravated by human activities. Irrigation is a major culprit, and the Vaal-Hartz irrigation scheme in South Africa is responsible for a three-fold increase in the concentration of total dissolved solids in the Hartz River (Allanson et al., 1990). Urban and industrial effluents also contribute to the problem.
Sewage effluent discharged into the Crocodile River north of Johannesburg has caused the concentrations of chloride and sulphate ions to rise by 178% and 151% respectively (Allanson and Rabie, 1983). The concentrations of total dissolved solids in the water abstracted from the Vaal river south of Johannesburg exceeded 500 mg/l for 23% of the period 1951 to 1964, and exceeded 700 mg/l for 8% of this period. Later, the values rose to 42% and 30% respectively for the period 1965 to 1969, which reflects the increasing discharge of salinized effluents into the tributary streams (Allanson and Rabie, 1983). The levels of chloride ions in Lake Chivero have risen from about 7 mg/l in the 1950s to 37 mg/l in 1991 because of the sewage effluent discharged into it (Marshall, 1994).
Increased salinity may not yet limit fish production anywhere in southern Africa: its effects are still poorly understood and it may take some time before it begins to affect freshwater organisms. Nevertheless, it is a potential problem, which is likely to increase, especially around urban areas. Small water bodies around cities are especially at risk from this process and the situation should be carefully monitored.
As with the problem of siltation, the solution to this problem depends on solving wider ecological problems. Fishery projects in susceptible areas might be given a lower priority, but there is little else that a fishery manager can do to deal with this problem.
The continuing growth of cities in southern Africa, and the commitment of its countries' governments to development, means that pollution and eutrophication will become increasingly serious problems. Some pollution of small water bodies occurs as a result of their use by humans. In Lesotho, for example, dams around towns tend to be used by the population for washing clothes, cars and engines, and for the general disposal of waste. As a result, they have become so polluted that they can support few fish other than the carp, Cyprinus carpio.
Major pollution problems that have been documented in the region include the discharge of organic matter of various kinds (e.g., Harrison, 1958; Oliff, 1960; Allanson, 1961; Chutter, 1971, 1972) and acid discharges from mines and factories (e.g., Oliff, 1963; Hancock, 1973; Bosman and Kempster, 1985; Mathuthu, Zaranyika and Jonnalagadda, 1993). Contamination by heavy metals is associated with industrialization and urban growth. In their study of heavy metals in African lake ecosystems, Greichus et al. (1977, 1978a, 1978b) showed that the levels of these substances were highest in the Hartbeespoort Dam and lowest in Lake Nakuru, with Lake Chivero in between. This corresponded with the level of industrialization in their respective catchment areas. Little is known about the effects of these pollutants on fish, however, and the extent to which this type of pollution could affect fisheries production remains to be determined.
Pesticides have been widely applied throughout the region in an attempt to control tsetse fly, and the aerial application of endosulphan has caused fish kills in the Okavango delta in Botswana (Russel-Smith, 1976; Fox and Matthiessen, 1982), but it is not the short-term application of pesticides that poses a long-term threat to fisheries production. Far more important are the long-term effects of persistent pesticides such as DDT, which is widely distributed in aquatic systems throughout the region (Greichus et al., 1977, 1978a, 1978b; Matthiessen, 1985). Fortunately, the use of most persistent pesticides is banned in many countries, and their concentrations in the ecosystem have declined after the bans were enforced. Table 17 shows the changes in the concentration of DDT in sediments and in two species of fish in Lake Chivero, and the sharp drop in concentration following the ban in 1983 on DDT for agricultural use is obvious.
Table 17. DDT concentration changes in sediments and two species of fish in Lake Chivero
| Concentration of DDT (μg/g dry weight) | |||
|---|---|---|---|
| 1974 | 1979 | 1988/89 | |
| Sediments | 57 | - | 76 |
| O. macrochir (>500 g) | 450 | 1 270 | 210 |
| Clarius gariepinus | - | 1 510 | 180 |
(Data from Greichus et al., 1978a; Greichus, 1982; and Mhlanga and Madziva, 1990.)
Eutrophication is likely to become a major problem and has been widely-reported from parts of South Africa and Zimbabwe. The problem is mostly caused by the discharge of sewage, or sewage effluents, into the streams that flow into lakes. Eutrophication is manifested by enhanced capacity for plant growth, either in the form of rooted macrophytes or as phytoplankton, which gives the water a green coloration. Primary productivity is high in eutrophic systems. In its early stages, at least, fish production is greatly increased by eutrophication, which is therefore beneficial in some respects (Figure 20).

Figure 20. Changes in concentration of total dissolved solids and fish catches in Lake Chivero, showing the effects of eutrophication and subsequent improvement in water quality.
(From Marshall, 1978b)
This production potential can be restricted by the absence of species able to utilize this plant growth (Dunn, 1989). For example, many grazing zooplankters are unable to feed on blue-green algae such as Microcystis, and few aquatic organisms can utilize floating plants like Eichhornia or Salvinia. Furthermore, worsening conditions lead to a decrease in fish species diversity, as in the hypertrophic Hartbeespoort Dam, where the fish fauna is dominated by only three species, Oreochromis mossambicus, Clarias gariepinus and Cyprinus carpio, and there is some evidence that their growth rates are slower than in less eutrophic systems (Cochrane, 1985). Anaerobic conditions in the hypolimnion tend to become more extensive and to last longer in eutrophic systems, which increases the risk of fish kills. Extensive fish kills occurred in Lake Chivero in the 1970s, for example, but their frequency decreased as measures to control nutrient inputs started to take effect (Marshall, 1982).
Many countries in the region have effluent standards which are regulated by law, although they may not always be strictly enforced. Most eutrophic systems are also used for other purposes, such as drinking water, which means that there is a strong incentive for the authorities to deal with their problems. Successful control measures are possible; the nutrient diversion from Lake Chivero demonstrated this (Thornton, 1982) although the growth of the city of Harare eventually negated them (Marshall, 1994).
Many small water bodies, especially man-made ones, may have a reduced species diversity, which can limit their productivity. In many cases this problem can be solved by introducing exotic species or translocating native ones. This is a relatively old management practice, having been carried out in South Africa and Zimbabwe for almost a century (de Moor and Bruton, 1988; Toots, 1970) and in most other countries. Growing appreciation of possible environmental risks has led to a decrease in fish translocations and strict codes of practice (Turner, 1988), but it remains a useful way of improving fish yields.