In Lake Nasser, Tilapia nilotica, T. galilaea, Hydrocynus forskahlii and Alestes nurse are spawning fractionally in most months of the year, as indicated by the gonad index (GI) of mature and gravid females. The other species spawn once or twice per year (Table 13).
Spawning in some cyprinids and characins is induced by the flood, as ripe males and females could be secured only in Lake Nubia. The fish move upstream beyond the Second Cataract or the Amka area. There they move into the comparatively narrow area of the reservoir and become affected by the early washes of the flood, which probably triggers their spawning process. Mass spawning of these species is noticed in July.
Labeo niloticus and Barbus bynni of more than 1 kg in weight were found in Khor Wadi Halfa in February, and larger specimens were found in the riverine section of Lake Nubia at Daweishat and Akasha regions in April. The fingerlings and young Labeo coubie (14 cm) and Barbus bynni (10–11 cm) were found at Wadi Halfa in May and August. Juveniles of 10–15 cm length of the species Alestes baremose, Hydrocynus sp., Labeo niloticus, B. bynni, Lates niloticus, Synodontis serratus and Eutropius niloticus were found in the southern part of the shore region at Abdel Kader in Lake Nubia in August, when the transparency was 32 cm. Larger specimens (24 cm and 140 g) of B. bynni were found at Amka near the end of July.
In the beginning of September, the majority of females of Eutropius niloticus were spent, and fingerlings of 7.5 – 8.5 cm and 10–15 g were found outside Khor Sarra.
Tilapia nilotica is a fractional spawner, with large demersal eggs of about 3 mm in diameter, a low fecundity and a low mortality rate because of the parental care of this species (Latif and Rashid, 1972, 1983). Lates niloticus, however, produces several millions of pelagic eggs with a diameter of 600 μm.
Table 13 Gonad index of mature-ripe females of different species in spawning periods
| Species | Period | Gonad Index | |
| Maximum | Minimum | ||
| A. Cichlids | |||
| Tilapia nilotica | February – March | 3.58 | 0.85 |
| April – May | 3.94 | 1.35 | |
| August – Sept. | 3.29 | 0.73 | |
| Oct. – Dec. | 2.08 | 0.60 | |
| Tilapia galilaea | Feb. – March | 5.83 | 2.12 |
| April – May | 4.21 | 1.58 | |
| June – August | 3.53 | 0.97 | |
| Nov. – Dec. | 3.73 | 1.06 | |
| B. Centropomid | |||
| Lates niloticus | Feb. – June | 5.14 | 1.01 |
| September | 2.12 | 0.58 | |
| Nov. – Dec. | 2.86 | 0.82 | |
| C. Characins | |||
| Alestes nurse | Jan. – March | 11.30 | 1.59 |
| April – June | 19.95 | 6.88 | |
| July – Sept. | 15.53 | 3.55 | |
| Oct. – Nov. | 13.59 | 2.09 | |
| Alestes baremose | July – August | 15.12 | 0.98 |
| Hydrocynus forskahlii | Jan. – March | 9.38 | 1.25 |
| April | 12.51 | 4.54 | |
| May | 5.49 | 0.98 | |
| July – August | 6.76 | 1.52 | |
| D. Cyprinids | |||
| Barbus bynni | April – July | 6.76 | 1.38 |
| Dec. – Feb. | - | 1.47 | |
| Labeo niloticus | Dec. – Feb. | 18.87 | 0.82 |
| April – August | - | 2.09 | |
| Labeo coubie | May – Sept. | 4.29 | 0.50 |
| Labeo horie | April – July | 13.48 | - |
| E. Catfishes | |||
| Bagrus bayad | August – April | 2.22 | - |
| Bagrus docmac | August – May | 1.47 | 0.66 |
| Synodontis schall | July – August | 15.75 | 1.36 |
| Synodontis serratus | July – May | 5.87 | 0.53 |
| Clarias lazera | October | 4.27 | - |
| Eutropius niloticus | July – Sept. | 15.12 | 2.82 |
| Schilbe uranoscopus | July – Sept. | 7.71 | 3.63 |
| F. Mormyrids | |||
| Mormyrus kannume | July – August | 8.23 | 4.02 |
| Dec. – April | - | 1.21 | |
| Mormyrus caschive | Feb. – April | 7.09 | 1.16 |
| May – July | 4.29 | 2.06 | |
| Petrocephalus bane | July – August | 4.07 | 0.50 |
| Mormyrops anguilloides | July – August | 0.90 | 0.50 |
The various food items in the lake are periphyton, phytoplankton and zooplankton, insect larvae (the chironomids), gastropods, bivalves, juveniles of fishes and fresh water shrimp.
Fish species can be classified into the following categories according to their feeding habits:
| 1. Periphyton feeders: | T. nilotica and T. galilaea |
| 2. Omnivores: | Labeo spp., Barbus spp., Synodontis spp, and the schilbeides and mormyrids. |
| 3. Piscivores: | Lates spp., Hydrocynus spp., Bagrus spp., Clarias spp. and Heterobranchus spp. |
| 4. Plankton feeders: | Alestes spp. |
Fish may sometimes change their feeding habits according to food availability.
Table 14 The commercial fishes of Lake Nasser
| Family | Species | Local name |
| Cichlidae | Tilapia nilotica | Bolti |
| Tilapia galilaea | Bolti | |
| Centropomidae | Lates niloticus | Samoos |
| Cyprinidae | Labeo niloticus | Lebis |
| Labeo coubie | Souda | |
| Labeo horie | Souda | |
| Barbus bynni | Benni | |
| Characinidae | Alestes dentex | Raya |
| Alestes baremose | Raya | |
| Hydrocynus forskahlii | Kallab el samak | |
| Hydrocynus lineatus | Kallab el samak | |
| Hydrocynus brevis | Kallab el samak | |
| Catfishes | ||
| Bagridae | Bagrus bayad | Bayad |
| Bagrus docmac | Docmac | |
| Clariidae | Heterobranchus bidorsalis | Hout |
| Clarias lazera | Hout | |
| Schilbeidae | Eutropius niloticus | Shilba |
| Schilbe mystus | Shilba | |
| Schilbe uranoscopus | Shilba arabi | |
| Synodontidae | Synodontis spp. | Schall |
The most important commercial fish species in the High Dam Lake are given in Table 14.
Total fish landings were approximately 34 000 t in 1981. They decreased to about 15 700 t in 1989 and increased again to 22 000 t in 1990 and 30 800 t in 1991 (Table 15).
Table 15 Total fish landings and percentage of important fish species in total landings from Lake Nasser in the period 1981 to 1990
| Year | Total landings (tonnes) | % fresh fish | Tilapia | Labeo and Barbus | Alestes | Lates | Catfishes and Hydrocynus |
| 1981 | 34 045 | 92 | 89.3 | 4.6 | 4.7 | 1.1 | 0.3 |
| 1982 | 28 609 | 91 | 88.5 | 5.0 | 5.3 | 1.0 | 0.2 |
| 1983 | 31 224 | 92 | 90.7 | 4.3 | 4.0 | 0.8 | 0.2 |
| 1984 | 23 987 | 92 | 90.3 | 5.2 | 3.7 | 0.6 | 0.2 |
| 1985 | 25 111 | 94 | 93.1 | 4.2 | 2.1 | 0.5 | 0.1 |
| 1986 | 16 317 | 92 | 87.9 | 7.7 | 2.7 | 1.5 | 0.2 |
| 1987 | 16 840 | 91 | 86.2 | 9.5 | 2.4 | 1.8 | 0.1 |
| 1988 | 16 124 | 92 | 86.2 | 7.1 | 3.3 | 3.4 | 0.01 |
| 1989 | 15 651 | 90 | 83.1 | 8.2 | 4.2 | 4.5 | 0.01 |
| 1990 | 21 883 | 92 | 89.4 | 5.2 | 3.2 | 2.2 | - |
| 1991 | 30 800 |
The percentage of fresh fish in the total landings was about 90% in the last decade, with salted fish less than 10% of the total landings, compared with 40–57% in 1966–1970 (Latif, 1984). Fresh fish landings mainly consist of tilapias (96%), Nile perch, catfishes and mormyrids, while salted fish landings consist of cyprinids (55%) and characins (45%).
Using the Morpho-edaphic Index model, Ryder and Henderson (1972) estimated the potential fish yield at the 160 m and 180 m water levels of the High Dam Lake at 39 and 36 kg/ha respectively. Corresponding fish yields were 12 000 and 23 000 t/yr respectively.
However, in a recent FAO study on yield models for African inland waters, the application of the MEI yield model was questioned, as statistical results based on ratios such as MEI and mean depth are prone to spurious self-correlations, contributing to inflated correlations and incorrect interpretation (Crul, 1992).
The most important species in the fish landings are Tilapia nilotica and T. galilaea (89%), while the cyprinids Labeo spp. and Barbus bynni formed 6%, the characins Alestes baremose, Alestes dentex and Hydrocynus spp. about 3.5%, and Lates niloticus and catfishes less than 2% of the total landings (Table 15).
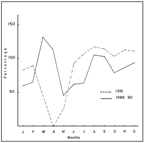
Highest fish landings were observed in March–April in 1988 and 1990, and coincided with the peak spawning of Tilapia in Lake Nasser (Figure 9). Fishing in this period had a destructive effect on the Tilapia stocks in the lake and therefore a closed season for Tilapia fishing was imposed in 1991 for the period 15th March to 15th May. The closed season resulted in an increased predation of the fingerlings and juveniles of Tilapia in their nursery areas by Lates niloticus, Hydrocynus spp., Clarias spp. and Bagrus spp.

Figure 9 Average percentage of Tilapia in total landings in 1988–1990 and in 1991
The catch per boat increased from 3.75 t in 1966 to 13–14 t in 1980–1991, and the catch per fisherman from 1.25 t to 4–8 t (Table 16).
Table 16 Catch per unit effort (CPUE) in different years from Lake Nasser
| Year | Number of boats | Number of fishers | CPUE (t/fisher) | CPUE (t/boat) |
| 1966 | 200 | 600 | 1.25 | 3.75 |
| 1970 | 816 | 2 466 | 2.28 | 6.88 |
| 1975 | 1 569 | 4 500 | 3.29 | 9.44 |
| 1980 | 2 300 | 7 000 | 4.40 | 13.38 |
| 1982 | 1 864 | 3 670 | 7.80 | 14.50 |
| 1991 | 2 195 | 5 815 | 5.30 | 14.03 |
The gears used for fishing in the High Dam Lake are floating gill nets (sakarota), trammel nets (duk), sunken gill nets (kobok), beach seines (gorrafa) and longlines (sinnar). The most common gears are gill nets and trammel nets.
CPUE is highest with duk trammel nets. About half the fish caught in the lake is by means of these nets. Drift gill nets have the second highest CPUE, followed by sunken gill nets. Beach seines have the lowest CPUE.
Floating gill nets (sakarota).
Raya (Alestes spp.) and kalb (Hydrocynus spp.) are mainly caught in floating gill nets which are designed to fish in surface waters. The mesh size of these nets varies from 30 to 60 mm. Their length varies from 20 to 50 m and their depth from 1.5 to 2 m. A number of nets are stringed to form a long net. The number varies from 20 to 40, and, at times, 100 nets are joined together to form a single net, particularly during the flood season. This fishery goes on every night and the catch is gutted and salted.
Trammel nets (duk)
The net length ranges from 10 to 20 m, and is 1.2 to 1.5 m deep. The outside walls have mesh of 300 to 400 mm and inside walls of 80 to 100 mm. The net is cast and set off against the rocky faces on long poles and hits the surface of the water (duk). The fish drift into the nets and get entangled. These nets are used to catch bolti, samoos, bayad and hout which have attained a good size. This fishing commences after darkness and continues until just before dawn. Most of catch is marketed fresh.
Sunken gill nets (kobok)
These nets are used on a semi-permanent basis. They are usually set in the khors, but sometimes in open waters, depending on the location of the fishing camp. They are raised every second night or sometimes every night. Their length and depth vary considerably. Their mesh size ranges from 100 to 200 mm. The fish caught in these nets are samoos, bolti, lebis, bayad, benny and hout. Most of these are marketed fresh.
Beach seines (gorrafa)
These nets are used for day-time fishing, and catch mainly bolti.
Long-lines (sinnar)
Longlines are commonly used in deep waters to catch samoos and bayad in the summer season. The fry and fingerlings of bolti (Tilapia nilotica) and lebis (Labeo forskahlii) are used as bait.
Exploratory fishing was carried out with multifilament and monofilament gill nets of various mesh sizes (multifilament: 3.0 – 21 cm stretched; and monofilament: 2.8–9.8 cm stretched).
The maximum CPUE was obtained with 7 cm mesh size monofilament gill nets and Hydrocynus was the main species caught. For multifilament gill nets, the optimum mesh size was 7 cm for Hydrocynus and Alestes, 13 cm for Lates niloticus, 19 cm for Tilapia, 13 cm for Labeo niloticus and 16 cm for Clarias and Heterobranchus.
Three phases can be distinguished in the period 1966–1991 with regard to the annual costs and benefits of the fishermen at Aswan, Lake Nasser: phase I, between 1966 and 1972; phase II between 1973 and 1980; and phase III between 1982 and 1991. Annual cost and benefit in the three phases are given in Table 17.
Table 17 Annual costs and benefits for a fisherman at Aswan, Lake Nasser
| Parameter (values in Egyptian Pounds (LE)) | Phase I (1966–72) | Phase II (1973–80) | Phase III (1982–90) | |
| Cost of nets | 83.64 | 103.71 | 1 000.00 | |
| Cost of boat | 3.81 | 5.00 | 225.00 | |
| Other purchases | 7.22 | 10.55 | 500.00 | |
| Transportation cost | 41.56 | 98.36 | 1 338.00 | |
| Tax | 15.21 | 32.14 | 97.50 | |
| Licence | 3.05 | 3.33 | 65.00 | |
| Insurance | 23.33 | 55.19 | 162.50 | |
| Total costs | 177.82 | 308.27 | 3 388.00 | |
| Income (TR) | 241.17 | 616.63 | 7 255.50 | |
| Net revenue (NR) | 63.36 | 308.37 | 3 867.50 | |
In the first phase the fishermen did not earn much and the net revenue was just adequate to cover the cost of labour and materials. In the second and third phases, the net benefit to the fishermen increased, especially in later years due to the rapidly rising fish prices.
The annual fish consumption per person in Egypt is about 4 kg. Henderson (1973) indicated that gear improvement and changes in the distribution of the fishing effort in the Lake may result in a major change in the landings per boat. The CPUE (t/fisherman) increased in recent years, and became more than the average CPUE for African inland fisheries.
Since gill nets are very effective in catching Alestes and Hydrocynus, an increase in gill net fishing alone in the open waters of the lake could considerably increase the total catch. Gill nets of 5–7 cm (stretched) mesh were very effective and the open water provides a substantial unexploited reserve of fish. DeWitt (1973) estimated that the total catch could at least be doubled when fully exploiting the open waters of the lake.
As only a few species appear to be able to feed on plankton in the lake, it may be possible to introduce some new plankton feeders. Clupeids are thought to be suitable for the open water region of the High Dam Lake. The extension of fish culture in the lake, especially in the khors, might also increase fish production without harming the wild fish stocks.
Crul, R.C.M. 1992. Models for estimating potential fish yields of African inland waters. CIFA Occasional Paper, No 16. FAO, Rome. 22p.
DeWitt, J.W. 1973. Lake Nasser fisheries survey and training programme. Technical Report No 10 of UNDP/FAO project FI:DP/EGY/66/558.
Entz, B. 1973. Morphometry of Lake Nasser. LNCD, RPS, UNDP/FAO Working Paper, No 2.
Entz, B. 1974. The Morphometry of Lake Nasser and Lake Nubia. LNCD, RPS, UNDP/FAO Working Paper, No 5.
Entz, B., & Latif, A.F.A. 1974. Report on surveys to Lake Nasser and Lake Nubia-1974 – 1972 – 1973. RPA, UNDP/FAO Working Paper, No 6.
Entz, B. 1976. Lake Nasser and Lake Nubia. pp. 271–298, in: Rzoska, J. (ed) The Nile: Biology of an Ancient River. The Hague: Junk.
Entz, B. 1977. Environmental conditions of percid waters in central Europe. Journal of the Fisheries Research Board of Canada, 34(10): 1586–1591.
Henderson, H.F. 1973. Actual and potential yield of fish in Lake Nasser. Technical Report No 11 of UNDP/FAO project FI:DP/EGY/66/558.
Hutchinson, G.E. 1975. A treatise on Limnology. Chemistry of Lakes. Vol. 1, Part 2. No place: John Wiley and Sons.
Lagler, K.F. 1969. Man-made Lakes: Planning and Development. Rome: FAO.
Latif, F.A. 1984. Lake Nasser. pp. 193–246, in: Kapetsky, J.M., & Petr, T. (eds) Status of African reservoirs fisheries. FAO CIFA Technical Paper, No 10.
Latif, F.A., & Rashid. M.M. 1971. Catch of fishes from Lake Nasser, Egypt in the early years of impoundment, 1966–1969.
Latif, F.A., & Rashid, M.M. 1972. Studies on Tilapia nilotica from Lake Nasser. 1: Macroscopic characters of gonads. Bull. Inst. Ocean. Fish. UAR, 2: 215–238.
Latif, F.A., & Rashid, M.M. 1983. Reproduction of Tilapia nilotica (L.) Asw. Sci. Tech. Bull., 4(1): 207–223.
Ryder, R.A. 1964. Chemical characteristics of Ontario lakes as related to glacial history. Trans. Am. Fish. Soc., 93(3): 260–268.
Ryder, R.A., & Henderson, H.F. 1974. Fish yield projections on the Nasser reservoir. Technical Report No 5 of UNDP/FAO project FI:DP/EGY/66/558.