J. Toivonen, H. Auvinen, E. Ikonen, T. Alapassi and U. Kokko
Finnish Game and Fisheries Research Institute
Helsinki, Finland
ABSTRACT
The paper deals with the tagging experiments with brown trout (Salmo trutta m. lacustris) in Finnish lakes in the sixties and seventies. These were performed on fish in different kinds of lakes in order to monitor profitability and to find the best fish size and date for stocking. The yield per 1 000 stocked smolts varied between 0 and 600 kg. The recommended minimum size for stocking is 18 cm, and 25 cm in most of the regulated lakes. Stocking in spring has given considerably better results than stocking in autumn. The best results have been obtained in large, clear, oligotrophic lakes with dense stocks of vendace (Coregonus albula).
RESUME
Au cours des années 60 et 70, des expériences de marquage de truites (Salmo trutta m. lacustris) ont été effectuées en Finlande dans différents types de lacs. Il s'agissait de suivre l'évolution des rendements et de déterminer quelles étaient les conditions optimales pour le repeuplement (date et taille des poissons). On a constaté que les rendements variaient entre 0 et 600 kg pour 1 000 juvéniles mis à l'eau et que la taille minimale de ces juvéniles devait être de 18 cm en général et de 25 cm dans la plupart des lacs aux eaux régularisées. Le repeuplement de printemps s'est révélé bien plus efficace que celui d'automne. Les meilleurs résultats ont été obtenus dans de grands lacs oligotrophes, aux eaux claires, où vivaient des populations denses de Coregonus albula.
In Finland, stocking with brown trout (Salmo trutta m. lacustris) was started in the fifties in all main waters in order to maintain a fishable stock. Natural reproduction was prevented by power-plant constructions, pollution and dredging for timber floating. In spite of the fact that the price of smolts is quite high and the stocking results are unknown, the number of stocked smolts has increased rapidly. In many cases money is badly invested in such stocking. This paper gives a brief report of the results of brown trout stocking in Finnish lakes in the sixties and seventies based on tagging experiments. Some ideas on fish size and stocking time and place are given.
The material includes tagging experiments in Finnish lakes, rivers and impoundments in 1959–76. The total number of tagged smolts was 211 062 (73 635 in the sixties, 137 427 in the seventies) in 503 experimental groups (210 in the sixties, 293 in the seventies). The mean number of tagged fish in each experimental group was 350 in the sixties and 469 in the seventies. The tag most commonly used was the Carlin tag (Carlin, 1955). The age of the tagged fish was usually two years. The conditions under which the fish were tagged varied considerably.
Table 1 gives the poorest, best and mean catches per 1 000 stocked smolts in tagging experiments in the main water courses of Finland. The best result was 538 kg/1 000 stocked smolts in 1966 in Lake Puruvesi, a large, clear, oligotrophic lake in the Vuoksi watercourse. The mean catch was lower in the seventies than in the sixties (Fig. 1).
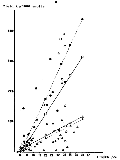
Figs. 2a–2c show that stocking in spring usually gives better results than stocking in autumn. The same figures also show that bigger smolts have a better chance of survival until fished.
Tagging results do not represent the results obtained by stocking with untagged fish. It is obvious that untagged fish give much better results than tagged ones. This is due to the higher mortality and slower growth rate of tagged fish, tag losses, unreported tags, etc. Neither are we necessarily comparing the different experimental groups because smolt-rearing conditions, taggers, transporters and other factors differ greatly.
The 1982 price of one brown trout smolt is about 4.6 Finnish marks. The value of the brown trout catch for the fisherman in 1980 was 30 marks/kg. On this basis, a yield of more than 150 kg/1 000 stocked smolts is the limit for the profitability of brown trout stocking. The costs of fishing have not been taken into account in this estimate. They may be as high as 50 percent. However, fishing for brown trout is mainly recreational, which is why it is difficult to evaluate the profitability of stocking. Usually the prospects of catching brown trout are sufficient to start and maintain a recreational fishery.
The trend toward poorer results (Fig. 1) is not very clear but raises many questions. It is not believed that the reporting rate in inland waters has fallen off, because no limitations on fishing (TAC or others) have been imposed. There may be a change in the condition of the stocking material. In Finland most brown trout eggs are produced from hatchery-reared spawners, which may cause severe genetic problems due to inbreeding (Kincaid, 1976). However, a special study is required before this can be verified. There have been no major change in either food or tagging methods.
As may be expected from the need of brown trout, the best results have generally been obtained in large oligotrophic lakes. A dense stock of vendace (Coregonus albula) will further increase the yield. When the brown trout are stocked at a size large enough to eat fish, the result will be better than with smaller fish which have to feed on benthos for a time. This is especially true in lakes where water-level regulation causes a poor bottom fauna in the littoral (Nilsson, 1961). Very good catches have been reported for stocking with a minimum smolt size of 25 cm in regulated lakes (Salojarvi et al., 1981). In unregulated lakes the bottom fauna is better and supplies the smolts with adequate food. Here good results can be obtained even with smaller smolts.
Carlin, B., 1955 Markning àv utvandringsfärdiga laxungar i Lagen. Vandringsfiskutredningsmedd., 1955:5
Kincaid, H.L., 1976 Inbreeding in salmonids. In Salmonids genetics: status and role in mariculture, edited by T.Y. Nosko and W.K. Hershberger. Seattle, University of Washington, Sea Grant Report (WSG-WO-76-2):33–7
Nilsson, N.-A., 1961 The effect of water-level fluctuations on the feeding habits of trout and char in the lakes Blåsjön and Jormsjón, North Sweden. Rep.Inst.Freshwat.Res., Drottningholm, (42):238–61
Salojärvi, K. et al., 1981 Oulujoen vesistön kalatalouden hoitosuunnitelma. Riista- ja kalatalouden tutkimuslaitos, kalantutkimusosasto, Monistettuja julkaisuja, 1–277
Table 1 Results of stocking with brown trout of age 1+ to 3+ years in five main watercourses in Finland
(kg/1 000 stocked fish)
| Stocking year | Vuoksi | Kymijoki | Kokemäenjoki | Oulujoki | Kemijoki | |||||||||||||||
| worst | best | mean | No. | worst | best | mean | No. | worst | best | mean | No. | worst | best | mean | No. | worst | best | mean | No. | |
| 1961 | 0 | 228 | 64 | 6 | - | - | 26 | 26 | 26 | 1 | - | |||||||||
| 1962 | 3 | 93 | 48 | 10 | 102 | 102 | 102 | 1 | - | 30 | 30 | 30 | 1 | 0.5 | 0.5 | 0.5 | 1 | |||
| 1963 | - | - | - | 53 | 53 | 53 | 1 | - | ||||||||||||
| 1964 | 4 | 84 | 48 | 6 | 136 | 292 | 204 | 4 | - | 11 | 11 | 11 | 1 | - | ||||||
| 1965 | 43 | 324 | 184 | 2 | 3 | 496 | 175 | 6 | - | 4 | 23 | 14 | 2 | 19 | 120 | 70 | 2 | |||
| 1966 | 538 | 538 | 538 | 1 | 82 | 199 | 130 | 3 | 18 | 262 | 114 | 3 | - | 5 | 185 | 81 | 11 | |||
| 1967 | 390 | 448 | 419 | 2 | 31 | 147 | 76 | 7 | 16 | 50 | 32 | 3 | 17 | 17 | 17 | 1 | 1 | 70 | 20 | 35 |
| 1968 | 153 | 372 | 278 | 4 | 7 | 78 | 28 | 6 | - | - | 1 | 32 | 15 | 6 | ||||||
| 1969 | 1 | 289 | 61 | 10 | 1 | 59 | 24 | 10 | 24 | 24 | 24 | 1 | 1 | 25 | 13 | 2 | 44 | 44 | 44 | 1 |
| 1970 | 0 | 126 | 20 | 11 | 0 | 139 | 26 | 21 | 12 | 14 | 13 | 2 | 1 | 139 | 47 | 3 | 0 | 94 | 45 | 4 |
| 1971 | 20 | 78 | 50 | 3 | 0 | 67 | 15 | 15 | - | 9 | 10 | 9 | 1 | 0 | 37 | 8 | 8 | |||
| 1971 | 28 | 280 | 140 | 6 | 4 | 251 | 124 | 14 | 0 | 45 | 17 | 4 | 5 | 7 | 6 | 2 | 0 | 123 | 33 | 9 |
| 1973 | 3 | 101 | 36 | 9 | 52 | 387 | 206 | 4 | 114 | 114 | 114 | 1 | 0 | 15 | 9 | 4 | 39 | 124 | 78 | 9 |
| 1974 | 118 | 118 | 118 | 1 | 19 | 105 | 58 | 4 | - | 4 | 60 | 17 | 5 | 134 | 134 | 134 | 1 | |||
| 1975 | 103 | 132 | 117 | 3 | 1 | 177 | 60 | 9 | - | 0 | 47 | 15 | 12 | 15 | 96 | 43 | 7 | |||
| 1976 | - | 0 | 223 | 71 | 11 | 1 | 66 | 34 | 2 | 2 | 2 | 2 | 2 | 159 | 159 | 159 | 1 | |||
| Mean | 100 | 229 | 151 | 74 | 31 | 194 | 93 | 115 | 26 | 82 | 50 | 16 | 12 | 33 | 19 | 39 | 32 | 94 | 56 | 95 |

Fig. 1 Results of stocking with brown trout in Finnish lakes in 1960–76

Vuoksi watercourse
spring stocking: y= 32.0x - 513, r= 0.60, n= 23
autumn stocking: y= 9.8x - 138, r= 0.30, n= 21
Kymi watercourse
spring stocking: y= 44.0x - 704, r= 0.78, n= 19
autumn stocking: y= 10.4x - 162, r= 0.74, n= 10
Fig. 2a Comparison of stocking with brown trout in spring and autumn in the sixties

spring stocking
n = 30
autumn stocking
n = 2
Fig. 2b Comparison of stocking with brown trout in spring and autumn in the Vuoksi watercourse in the seventies

spring stocking
n = 62
autumn stocking
n = 11
Fig. 2c Comparison of stocking with brown trout in spring and autumn in the Kymi watercourse in the seventies