P. Reyes Marchant et J. Moreau
Laboratoire d'Ichtyologie appliquée
Toulouse, France
RESUME
Pour les besoins de la pêche sportive, des déversements de truites communes sont effectués au moins une fois par an dans les cours d'eau à Salmonidés dominants (première catégorie dans la législation française) plus spécialement dans des secteurs de rivières dits “parcours de pêche”. D'autres secteurs sont aménagés en “réserve” de pêche où toute pêche est prohibée et où les jeunes truites sont maintenues jusqu'à la taille de 18 cm, taille légale de capture à laquelle elles sont déversées dans les parcours de pêche. Ces deux types de pratiques sont aussi en vigueur dans les lacs d'altitude également pêchés par les touristes.
La présente note tente une synthèse des connaissances actuelles sur l'adaptation des truites ainsi déversées et leur influence possible sur leur habitata.
ABSTRACT
For sportfishing salmonid rivers and streams (first class in French legislation) stocking with S. fario occurs at least once a year, especially in those areas designated “fishing areas” or “parcours de pêche”. Other parts of the rivers are managed as reserves where fishing is strictly forbidden and, every year, trout of legal size (more than 18 cm total length) are taken to the “fishing areas”. These two management strategies are also used for mountain lakes of the Pyrenees.
This paper is a synthesis of information on the behaviour of common trout on stocking and on the possible effects of this stocking on the environment. The main information is:
Trout coming from intensive fish culture are less wild than those coming from nursery streams (ruisseaux pépinières) or natural rivers. Mortalities of hatchery-reared fish are higher and so are their downstream migrations; territoriality takes longer to appear.
In lakes, the food consumption of hatchery-reared fish is greater than that of the wild fish and growth is, therefore, faster where size at stocking is more than 10 cm total length. In rivers condition decreases for a few weeks before the beginning of a new growth period. Catchability and hence fishing mortality are greater in hatchery-reared trout than in native ones.
The main influence of stocking on the environment concerns the invertebrate fauna and the benthos, both of which appear to become poor under heavy stocking of common trout, particularly in “stocking areas”.
Les milieux salmonicoles de la région Midi-Pyrénées (France) comportent les lacs de la chaîne des Pyrénées elle-même et les cours d'eau à Salmonidés dominants dit de première catégorie dans la législation française.
Il s'agit de collections d'eau très fréquentées par les pêcheurs sportifs dont beaucoup sont des vacanciers recherchant les zones en question, pendant les congés d'été, en raison de leur attrait touristique.
La gestion de ces collections d'eau est sous la responsabilité d'Associations de Pêcheurs regroupées en Fédérations Départementales de Pêche qui exécuteront elles-mêmes les opérations jugées nécessaires au bon maintien du potentiel piscicole des eaux à Salmonidés. En effet, le recrutement issu des populations de S. fario autochtone ne suffit pas, dans l'immense majorité des cas, pour compenser le prélèvement effectué par les pêcheurs.
Le but de la présente note est d'exposer ces opérations qui sont en fait des empoissonnements, d'examiner leur influence sur la production exploitée des milieux en question et de comparer certains éléments de biologie des sujets ainsi introduits avec ce que l'on sait de sujets ayant passé toute leur vie dans le milieu. On tentera également une approche, en fait difficile. Compte tenu des connaissances actuelles, de l'influence possible de ces déversements de poissons sur le milieu considéré dans son ensemble.
Pour décider d'un mode de repeuplement et de son opportunité plusieurs facteurs doivent être considérés (Cuinat, 1971; Vibert, 1975; Arrignon, 1976): importance de l'effort de pêche, richesse du milieu en frayères naturelles et en zone d'abris pour les jeunes alevins, nombre de géniteurs et potentiel reproducteur, caractéristiques géographiques de la collection d'eau, conditions générales amenant une probabilité maximale de capture et obtention d'un prix de revient minimum, des sujets déversés réellement repêchés à la taille légale (Ricard et Roqueplo, 1976).
2.1 Les différents types de repeuplement pratiqués
2.1.1 Le repeuplement par oeufs ou alevins vésiculés
Ce mode de repeuplement sera efficace en cas d'insuffisance de géniteurs ou du manque ou de la médiocrité des frayères. Il se caractérise par le coût peu élevé de production des sujets déversés et par leur nécessaire rusticité.
Le modalités d'immersion utilisant toujours les boîtes Vibert varient avec les caractéristiques des lieux lesquels doivent satisfaire aux conditions générales suivantes: existence d'un courant d'eau de qualité à l'emplacement même de la boîte Vibert, boîte à l'obscurité totale, non-ensablement, non-envasement, rivières, sources et ruisseaux à eau limpide et à courant assez vif mais pas trop rapide.
En revanche les rivières à eau limpide et à faible courant peuvent donner de bons résultats si l'on surélève la boîte par rapport au fond (Vibert, 1975).
Le nombre d'oeufs à immerger sera fonction de la capacité biogénique du milieu et de la surface concernée; Cuinat (1971) a proposé un maximum de 10 m2 en ruisseau ou 5 m2 en rivière moyenne.
2.1.2 Le repeuplement par alevins ou truitelles de moins d'un an
Ce mode de repeuplement est destiné à éviter une trop forte prédation sur des alevins très jeunes. On pense que ces alevins nourris en pisciculture et déversés à une certain taille (5 à 10 cm) seront plus capables de résister aux conditions défavorables du milieu, prédation comprise. Les alevins sont déversés à l'issue de leur première période de croissance (octobre); on parle d'“alevins d'un été”. Quelquefois ils sont aussi introduits en fin d'hiver (février) avant l'ouverture de la pêche. Les quantités déversées sont variables faute de données de bases sûres; ce sont des poissons produits soit en pisciculture (cf. ci-dessous) soit en ruisseau pépinière (cf. ci-après).
2.1.3 Repeuplement en sujets de plus d'un an, parfois de tailles légales
Les sujets ainsi déversés proviennent de piscicultures dites de repeuplement gérées par les Fédérations départementales de Pêche (Arrignon, 1976). Ils peuvent venir aussi de réserves de pêche (cf. plus loin) fonctionnant comme des viviers. Les repeuplements peuvent être annuels lorsqu'ils ne sont destinés qu'à compenser un effort de pêche léger. Ils sont parfois hebdomadaires pour permettre des captures en grand nombre pendant le week-end. Dans ce cas extrême, l'eau ne constitue plus que le simple support d'une population piscicole sans cesse renouvelée artificiellement dans des zones très ou trop fréquentes par les pêcheurs.
2.2 Les milieux empoissonnés
2.2.1 Les ruisseaux pépinières
Les ruisseaux pépinières sont des milieux naturels choisis et aménagés pour permettre dans de bonnes conditions l'éclosion des oeufs embryonnés et la croissance des alevins qui en sont issus pendant une période au plus égale à un an. Les sujets y sont élevés sans distribution de nourriture dans un milieu le plus “sauvage” possible, à l'abri de prédateurs et disposant de nombreuses caches. Lorsque le peuplement est très dense, il est nécessaire de faire des ponctions par pêche électrique et de transférer une partie des individus en aval, généralement sous-peuplé afin que les truites aient une croissance individuelle acceptable. Ainsi, les jeunes truites recueillies à la fin de l'élevage mesurent entre 6 et 12 cm à l'âge de 9 à 11 mois.
2.2.2 Les réserves de pêche
Certains secteurs sont classés en “Réserve de Pêche”, soit par convenance (propriétés privées) soit par obligation (abord d'ouvrage) ou par opportunité biologique; (productivité piscicole élevée) (Arrignon, 1976). Dans ces milieux la pêche est normalement interdite pendant cinq ans; selon les besoins, une fois tous les ans ou tous les deux ans, la vidange se fait par pêche électrique, soit pour obtenir les géniteurs pour la production d'oeufs en pisciculture, soit pour repeupler en sujets de taille légale, en début ou en fin de période de pêche, les zones surexploitées par le pêcheur sportif.
Les réserves de pêches sont normalement mises en charge avec des oeufs embryonnés ou des alevins vésiculés et parfois avec des sujets venant de ruisseaux pépinières où ils ont donc passé quelques mois.
2.2.3 Les parcours de pêche
Ce sont les portions de rivières où la pêche est autorisée pendant la saison normale (en montagne, en général, mars à septembre). Ils sont dotés de commodités d'accès et autres aménagements qui en rendent la fréquentation agréable. Ils sont mis en charge, en cas de nécessité avec des sujets de taille légale issus des réserves de pêche. Dans des cas de surexploitation extrême, les déversements sont hebdomadaires comme dit plus haut, les poissons venant, éventuellement, directement de piscicultures de repeuplements.
2.3 Rendement de ces repeuplements, influence sur la production exploitée (Tableau 1)
On appelera rendement ou taux de reprise de repeuplement le rapport entre le nombre d'individus capturés à la taille légale ou à une taille plus élevée et le nombre de poissons déversés dont ils proviennent.
2.3.1 Cas des oeufs ou d'alevins vésiculés
Le taux de reprise est de 0,3 à 3 pour cent (très faible) l'implantation (definie par Cuinat, 1971, comme le taux de survie après atteinte de la taille légale), se traduisant par un étalement des captures sur plusieurs mois et éventuellement une reproduction dans le cours d'eau, et généralement bonne: analogue à celle des sujets sauvages.
2.3.2 Avec des poissons de moins d'un an
Les observations sont difficiles car les alevins de moins de 6 à 7 cm ne peuvent être marqués sans danger (seule est possible l'ablation de la nageoire ce qui limite les possibilités d'investigation). Cependant les rendements de déversement de truitelles de 6 à 12 mois ont pû être évalués en diverses occasions:
Dans la Nivelle (Pyrénées-Atlantiques), 11 pour cent des truitelles de 13 cm en moyenne (10 à 16 cm), déversées en février à partir de piscicultures, ont été reprises par les pêcheurs en avril et mai, à une taille moyenne de 15,5 cm (presque toutes au-dessous de la taille légale). Aucune capture ni survie ultérieure n'ont été observées (Cuinat, 1971).
Vibert (1975) signale que le taux de survie est de 5 à 20 pour cent entre le déversement et l'arrivée à la taille légale, la faible efficacité de ce type de repeuplement conduit donc à donner la préférence aux truitelles produites en ruisseaux pépinières.
En effet, après libération d'environ 1 000 truitelles de ruisseau pépinière dans la Nivelle, on a constaté une amélioration de la croissance (8 cm dans l'année suivant le transfer, au lieu de 3 à 4 cm dans le ruisseau d'origine); de plus, la capturabilité est inférieure à celle des truitelles de pisciculture intensive, ce qui, même dans des parcours très pêchés, explique que les reprises soient beaucoup plus étalées dans le temps.
Le taux de survie est très supérieur à celui de truitelles produites selon les techniques habituelles de pisciculture intensive: environ 30 pour cent par an soit approximativement le même taux que les truites autochtones; les reprises sont peu importantes mais réparties tout au long de la saison de pêche, pendant deux saisons consécutives; deux ans après le transfert, un nombre appréciable de ces truites étaient encore présentes dans le parcours et susceptibles de se reproduire; certains d'entre elles ont été encore capturées à une forte taille, dans ce même parcours dans la troisième saison après le transfert (Cuinat, 1971; Vibert, 1975).
D'une façon générale les repeuplements à partir d'alevins ou truitelles d'une taille entre 5 à 14 cm, déversés en fin d'été ou en hiver et provenant d'élevages extensifs (rigoles d'alevinage ou ruisseaux pépinières) permettent des taux de reprise faibles (0,5 à 20 pour cent) avec une implantation importante (Cuinat, 1971).
2.3.3 Avec des poissons d'un an et plus
Les mises en charge de poissons de grande taille s'accompagnaient toujours d'une très forte perte en raison de diverses difficultés d'adaptation. L'implantation, telle que la définit Cuinat (1971) est donc faible; en lac (Fabre et Senocq, 1981) 30 pour cent des sujets déversés subsistent au bout d'une année comportant six mois de saison de pêche. En rivière, Gayou et Simonet (1978) font état de faibles captures de poissons récemment introduits dans les secteurs étudiés. La dévalaison (cf. plus loin) semble la première cause de ces disparitions, surtout lorsque les empoissonnements ont lieu en fin d'hiver avant les crues printanières de fonte des neiges.
En rivière également, Abad (1982) a marqué des poissons de taille légale (18 cm) à l'automne; en six mois ces poissons avaient pratiquement tous disparu du secteur de rivière étudié en l'absence de toute pêche. Certains ont été ensuite retrouvés plusieurs kilomètres en aval.
En revanche, les individus de grande taille récemment déversés seront plus vulnérables à la pêche que les sujets sauvages de même taille. Les pêcheurs l'ont maintes fois constaté, reconnaissant les deux types de poissons à la couleur de la robe, plus claire chez les poissons récemment introduits, et au nombre et à la forme des tâches.
3.1 La territorialité
La hiérarchisation et l'acquisition d'un territoire par les jeunes alevins déversés dans un milieu ont été particulièrement étudiées dans la région Midi-Pyrénées notamment par Heland (1977, 1980) dont les observations sont résumés ci-après:
Dans un petit ruisseau affluent de la Nivelle, des alevins ont été déversés à résorbtion de la vésicule à raison de 5/m2. Au début des observations quelques alevins se tiennent immobiles sur le fond dans les intersectices entre les galets. A partir du cinquième jour environ après la résorption, quelques uns présentent des mouvements de nage statique face au courant, très près du fond; en quelques jours les 2/3 des alevins adoptent cette nage stationnaire; dans le même temps les alevins capturent des proies qui sont entraînées par les courant; les proies sont capturées directement sur le substrat.
Les premiers comportements agressifs apparaissent très précocément; dès que les alevins sont capables de nager en eau libre ils ont des comportements de morsure et de chasse, cette agressivité devient plus fréquente au fur et à mesure que les alevins adoptent la nage statique; la fréquence des rencontres agressives semble liée à la densité des alevins en présence, cette agressivité conduit à la séparation de deux groupes:
- les plus agressifs et (ou) plus vigoureux chassent les autres et se partagent la zone favorable;
- les autres dominés dans les combats sont contraints de se cacher sous les blocs ou sous les berges et deviennent marginaux.
Un certain nombre d'alevins, parmi les plus gros, occupe de plus en plus fréquemment des postes de chasse situés dans les zones d'eau courante assez profondes.
Lors des déversements, les alevins vésiculés ou de très petite taille semble se disperser, à partir de la zone empoissonnée où ils ont été rassemblés, pour se fixer sur des postes de chasse qui ont une position particulière par rapport au courant et à la dérive d'invertébrés dont ils s'alimentent; l'apparition des comportements agressifs pour défendre ces postes provoque une structure territoriale, en forme de mosaïque qui perdra en partie sa rigidité chez les poissons plus âgés.
Cette territorialité explique la sédentarité des truitelles juvéniles au moins jusqu'à la fin du premier été. Plus tard, au cours de l'automne ou du premier hiver, des déplacements peuvent intervenir, en général sous forme de dévalaison.
Le comportement alimentaire joue un rôle déterminant dans l'acquisition du territoire. En effet, cette dernière apparaît comme une stratégie utilisée par les salmonidés d'eau courante pour exploiter la nourriture accessible dans le milieu sous forme d'un “flux d'invertébrés”. apporté par le courant d'eau (Heland, 1977). L'apparition du comportement agressif influe aussi sur le comportement alimentaire. En effet, une évolution parallèle se produit entre le développement du comportement agressif et l'attachement au poste de chasse, à partir duquel l'animal prélève la nourriture.
3.2 La hiérarchisation
Chez l'alevin de truite, l'apparitiion des comportements agressifs about it à l'établissement d'une hiérarchie. En effet, après une phase initiale d'indifférence, succède une phase de perception visuelle des congénères qui se traduit par le respect de distances interindividuelles entre alevins; ensuite, des rapports d'agréssivité s'instaurent dans la population et les alevins entrent en compétition pour les meilleurs postes de chasse et pour l'obtention du rang dans la hiérarchie sociale; la stabilisation territoriale conduit, par la suite, à une restriction des possibilités de rencontre entre alevins occupant des territoires limitrophes (Heland, 1977).
En définitive, les truitelles commencent par respecter entre elles des distances interindividuelles. Au sein de la population, des relations de dominant à dominé s'organisent, conduisant à l'établissement progressif d'une hiérarchie. Les truites dominantes vont progressivement se fixer géographiquement dans une zone, favourable, ce qui produit la stabilité momentanée des répartitions et fait aussi qu'un poste déterminé puisse convenir à plusieurs animaux successivement; il semble que la rigidité de la hiérarchie exprimée par les divers comportements agressifs, obligerait chaque poisson à se maintenir à sa place; puis, maintenu sur le même emplacement pendant un certain temps, l'animal s'y attache.
Heland a observé que certaines truitelles dominées manifestent une tendance marquée à s'enfoncer sous les pierres et à rester immobiles, là elles se nourrissent très peu et succombent d'anorexie au bout de quelques semaines; des qu'elles sortent vers l'eau libre, en général pour attraper une proie, elles sont attaquées par les dominantes et s'enfouissent à nouveau aussitôt ou s'enfuient vers l'aval, à courte distance, vers l'abri le plus proche. D'autres poissons ont carrément un comportement de dévalaison de plus grande amplitude surtout lorsqu'ils sont plus âgés.
3.3 La dévalaison
Heland (1977, 1980) souligne qu'il y ait trois sortes de dévalaison chez les très jeunes alevins et qu'elles se superposent légèrement dans le temps; la première coïncide avec l'émergence: au moment de la sortie des graviers les alevins apprennent la nage contre le courant et cela entraîne un glissement de certaines d'entre eux vers l'aval. Heland (1971) a constaté des déplacements vers l'amont mais ils étaient toujours beaucoup moins fréquents que les déplacements vers l'aval. La deuxième catégorie d'alevins dévalants (apparemment la plus nombreuse) se recrute parmi les alevins qui dévalent après l'émergence, mais avant les premières manifestations de la territorialité; cette période coïncide avec l'établissement de la nage statique. Chez ces derniers alevins, le mouvement de dévalaison est ample, durable et traduit en fait un manque d'aptitude à la nage face au courant. Le dernier type de dévalaison apparaît au moment de la mise en place de la hiérarchie par le jeu des comportements agressifs et se poursuit jusqu'après la stabilisation territoriale. Il concerne non seulement les alevins qui émergent tardivement et trouvent l'espace occupé, mais aussi des alevins dominés qui ne réussissent pas à établir de territoire au moment de la stabilisation lorsqu'il y a surpopulation.
Ces alevins dominés dévalants sont nettement distincts de dominés “sédentaires” évoqués plus haut.
Ils s'avèrent capables d'établir plus tard un territoire, dés que l'environnement le permet.
Les dévalaisons ont lieu essentiellement la nuit. Le jour les dévalants adoptent un comportement de nage statique et cherchent donc à s'organiser en territoire. Les alevins dévalants sont plus petits que les sédentaires et présentent très vite un retard de croissance que l'on retrouvera chez les adultes.
Les alevins nomades conservent pendant une dizaine de jours une forte tendance à la dévalaison qui diminue ensuite. Il est possible que dans des ruisseaux où les conditions de reproduction sont bonnes et les densités d'alevins élevées, une notable partie des dévalaisons aboutisse à une régulation de la population de juvéniles.
L'influence des facteurs du milieu sur la dévalaison a été étudiée par Cuinat et Heland (1979). Dans le Lissuraga les facteurs abiotiques en particulier le débit, ne semblent avoir aucune influence sur la dévalaison des alevins; plus tard, chez les truitelles, la dévalaison serait liée aux précipitations et aux crues; la température influencerait nettement le comportement de dévalaison de jeunes salmonidés. Tous ces facteurs abiotiques n'auraient cependant qu'un rôle déclencheur ou inhibiteur.
L'importance des dévalaisons d'alevins dans le Lissuraga ne semble pas liée à la densité d'alevins présents dans le ruisseau. D'ailleurs, si la dévalaison était liée à un phénomène de compétition territoriale, donc à la densité des alevins en présence, elle ne pourrait s'exercer qu'à partir de l'établissement de la hiérarchie sociale dans la population et non avant.
Les dévalaisons, bien étudiées chez le jeune comme on vient de le voir, sont aussi le fait des individus plus âgés. Les sujets de grande taille (plus de 10 cm de longueur totale) issus de piscicultures y sont particulièrement sensibles. Leur dévalaison, repérée par marquage, peut s'étendre sur plusieurs kilomètres (Abad, 1982).
L'aptitude des sujets déversés à prendre place dans un milieu parmi des sujets sauvages, dépendra de leur rusticité. Celle-ci est liée à des facteurs génétiques et aux conditions d'élevage et doit pouvoir se mesurer.
4.1 Les facteurs génétiques
Dans les lacs et les cours d'eau, la sélection naturelle amène l'élimination des sujets les moins résistants avant leur puberté. Des poissons introduits résisteront donc plus ou moins bien selon le potentiel légué par leurs ascendants (Cuinat, 1971). C'est pourquoi les meilleurs poissons de repeuplement sont en fait ceux issus de souches sauvages. Ces dernières sont d'ailleurs utilisées de plus en plus comme géniteurs dans les piscicultures de repeuplements (Cuinat, 1971).
4.2 Conditions d'élevage
L'incubation et les phases larvaires doivent se dérouler dans des conditions rappelant au maximum le milieu naturel (gravier, courant d'eau). La façon dont est distribué l'alimentation peut aussi favoriser la rusticité. On visera en effet à préparer le jeune poisson à la recherche de la nourriture et même à la chasse de proies mobiles analogues à celles dont il se nourrit après son déversement en eaux libres (Cuinat, 1971). C'est la raison pour laquelle on généralise l'emploi des ruisseaux pépinières (cf. plus haut).
4.3 Mesures de la rusticité
Gayou et Simonet (1978) ont mis au point des critères possibles d'appréciation de la rusticité destinés à comparer de ce point de vue des individus sauvages et d'autres élevés en pisciculture intensive.
Les critères les plus faciles à employer sont le temps de nage forcée obtenu dans un courant de vitesse contrôlée artificiellement et la lactacidémie du sang dosée pendant l'effort de nage prolongée et la phase de récupération.
4.3.1 Les critères de fatigabilité
Le temps maximum de nage effective, dans un courant d'eau artificiel de vitesse imposée et connue donne une bonne indication des capacités à lutter contre la fatigue.
Il en est de même de la lactacidémie. En effet, chez les poissons, la corrélation entre la fatigue et l'accumulation de l'acide lactique a été démontrée pour la première fois par Van Buddenbrock (in Gayou et Simonet, 1978).
Les lactates (sels de l'acide lactique) proviennent de l'activité musculaire et résultent de la métabolisation du glycogène contu dans le muscle. Les lactates rencontrés dans le sang pendant et après l'effort dérivent de ceux produits dans le muscle.
Si la métabolisation du clycogène musculaire incorporé dans le cycle de Krebs s'accomplit avec une réduction du taux d'oxygène, les lactates s'accumulent dans le muscle et passent dans le sang par simple diffusion.
Ainsi, lorsqu'un poisson est soumis à un effort intense, l'apport d'oxygène devient insuffisant malgré l'augmentation des mouvements respiratoires et l'acide lactique s'accumule.
A l'inverse, pendant la phase de récupération, la teneur du sang en oxygène redevient normale et les lactates en excès sont éliminés. Par conséquent, pendant la phase d'activité, le taux des lactates sanguins augmente rapidement, mais continue encore à s'élever pendant un certain temps après l'effort.
Le taux des lactates sanguins décroit lentement, pour atteindre la valeur initiale au bout de 24 heures de récupération (Soncondat, in Gayou et Simonet, 1978).
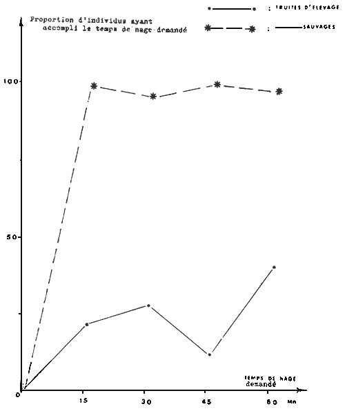
4.3.2 Résultats (Gayou et Simonet, 1978)
Parmi les individus venant de pisciculture, 50 pour cent des individus ne peuvent fournir un effort de plus de 30 mn dans les conditions expérimentales. Seuls 42 pour cent des individus nagent pendant une heure. En revanche, les individus issus du milieu naturel accomplissent des performances bien supérieures puisque 98 pour cent des truites testées accompliseent un effort complet de 60 mn (Fig. 1).
Ils apparaissent donc incontestablement plus résistants à l'effort que les individus élevés en pisciculture intensive, au comportement très hétérogène.
Après un effort de 60 mn, la lactacidémie observée chez les truites d'élevage atteint cinq fois la valeur de repos, alors que chez les truites sauvages, la valeur initiale n'est multipliée que par 4.5 (Fig. 2).
La différence devient très grande pendant la phase de repos puisque, au bout de deux heures de récupération, la lactacidémie est deux fois plus importante chez les truites d'élevage que chez les truites sauvages.
Enfin, la récupération des individus sauvages est beaucoup plus rapide, puisque, après quatre heures de repos, leur lactacidémie atteint seulement 1,5 fois la valeur initiale, alors que celle des truites d'élevage est près de cinq fois plus importante.
Ces observations montrent que, à effort de durée égale, les individus d'élevage sont beaucoup plus fatiguables que ceux issus du milieu naturel et qu'en particulier, leur résistance vis-à-vis du courant est amoindrie.
La chute de la lactacidémie, observée immédiatement à la fin de l'effort chez les sujets sauvages prouverait que cet effort n'a pas été assez prolongé pour les fatiguer; mais cette contrainte a été suffisante pour épuiser les sujets d'élevage et l'évolution de leur lactacidémie la met en évidence; en particulier, on constate l'apparition d'un taux élevé de lactates pendant la phase de récupération.
En conclusion, la moindre rusticité observée chez les truites d'élevage intensif se situe à deux niveaux:
- des temps de nage relativement limités, dans un courant d'eau à vitesse constante par rapport à ceux obtenus avec des truites sauvages;
- à effort égal, une fatigue physiologique plus intense, se traduisant par une accumulation importante de l'acide lactique et une élimination beaucoup plus longue que chez les truites sauvages.
4.3.3 Rôle possible de la sélection naturelle
La quasi totalité des truites sauvages a accompli d'excellentes performances de nage. En revanche, si certaines truites d'élevage intensif sont de bonnes nageuses, d'autres ne peuvent fournir que des efforts moyens et parfois très modestes.
La population de truites sauvages étudiée forme donc un ensemble homogène, alors que la population de truites d'élevage intensif montre une grande hétérogénéite. Ceci met en évidence un facteur de sélection qui opère dans le milieu naturel, mais qui est inexistant en pisciculture. En effet, en milieu naturel, les individus les moins résistants sont éliminés et il ne subsiste qu'un ensemble d'individus de bonne rusticité qu'il convient de faire acquérire aux poissons de repeuplement.
5.1 Reproduction
La reproduction de S. fario s'accompagne toujours d'une migration vers des frayères en amont, notamment étudiée en milieu lacustre (Fabre et Senocq, 1981). Mais cette migration survient également en rivière même lorsque les truites passent l'année sur des zones très riches en frayères (Abad, 1982). Les observations les plus précises sur a reproduction de S. fario pour la région Midi-Pyrénées sont celles de Fabre et Senocq dans un petit lac comportant un tributaire avec d'abondantes frayères.
La maturité sexuelle est acquise aux âges ci-dessous. Les mâles étant toujours plus jeunes que les femelles et les poissons sédentaires dans la tributaire étant mûrs plus tôt que ceux vivant dans le lac. Ceci est en relation avec la longévité des poissons.
L'âge de première maturité des S. fario du tributaire est conforme aux résultats de Gayou et Simonet (1978) sur la Neste d'Aure et à ceux de Vibert et Cuinat (1963) dans les Pyrénées-Orientales.
A la suite de leurs observations, Fabre et Senocq émettent l'hypothèse de l'existence de deux sous-populations et géniteurs, l'une vivant dans le lac, l'autre surtout dans le tributaire comme montré sur le schéma ci-dessous:

Au niveau des frayères, il y aurait en effet deux montaisons sucessives de géniteurs.
Dès le mois de décembre, les S. fario pubères du tributaire sont déjà sur la frayère; à la même période, les géniteurs du lac ont pénétré dans la partie aval du ruisseau. Dans les deux cas, les mâles sont les premiers à effectuer la migration. Une partie des géniteurs lacustres parvient jusqu'aux frayères amont, soit après la reproduction des S. fario du tributaire, soit pendant cette reproduction, ce qui laisserait supposer un brassage des géniteurs. La frayère est donc fonctionnelle pour deux populations différentes. Les premières pontes ont lieu en décembre et les dernières dans le courant du mois de janvier.
La montée des adultes s'accompagne d'une descente de poissons d'un été ou plus âgés car l'apport entre octobre et fin décembre de jeunes sujets de taille jamais observée auparavant s'effectue en parallèle avec la baisse des effectifs de géniteurs S. fario du lac. On peut suggérer que la dévalaison s'opère en sens inverse du déplacement des adultes dans le ruisseau en période d'étiage. La brusque augmentation de la population dans le ruisseau favoriserait la descente de jeunes sujets issus des reproductions antérieures.
Le pourcentage observé des poissons migrants à cette période en fonction de l'âge est résumé ci-dessous:
| Age | 1+ | 2+ | 3+ | 4+ | 5+ |
| % | 2,4 | 24,3 | 40,0 | 25,8 | 6,3 |
En effet, la dévalaison concernerait plusieurs classes d'âge des truites du ruisseau.
Ces hypothèses rejoignent les résultats de Thorpe (1972) sur le Loch Level, d'après lesquels les truites fario migrent à des tailles variant entre 5 et 20 cm, selon qu'elles ont séjourné un ou deux ans dans le ruisseau qui fait fonction de nursery. Il serait souhaitable d'effectuer des analyses électrophorétiques afin de déterminer s'il existe des différences génétiques entre la population du tributaire et celle du lac. C'est en effet par cette méthode qu'Allendorf et al. (1976) démontrent la présence de deux populations de S. fario séparées génétiquement dans le lac Bunners Joarna.
Ces observations concernent les sujets sauvages ou introduits très jeunes (alevins vésiculés). Des poissons provenant de pisciculture et déversés à plus grande taille, éventuellement la taille légale de capture, amènent à maturité les produits génitaux mais ne semblent pas susceptibles d'activité sexuelle complète. En effet, leur présence sur les frayères est exceptionnelle et leur agressivité est inférieure à celle des sujets sauvages.
En rivière, Abad (1982) met en évidence, par des marquages systématiques de tous les poissons présents, dans un bief riche en frayères avant le début de la reproduction, la disparition de certains d'entre eux par migration de reproduction. Ces poissons absents en saison de reproduction sont retrouvés plus tard. Ceci comme 26 pour cent du cheptel marqué au début de l'étude.
Les poissons introduits dans le milieu à 1 ou 2 ans (âge légal de capture), parviennent à la puberté mais ne semblent pas se reproduire pour les mêmes raisons qu'au lac de Suyen.
5.2 Alimentation
5.2.1 Caractères généraux
La composition de la nourriture est variable suivant l'époque de l'année et la taille des truites, qu'elles soient autochtones ou introduites.
La diversité de régimes alimentaires décrits dans la plupart des travaux tend à prouver que la truite est opportuniste et que son régime est lié à la faune en place et c'est la comparaison entre le pourcentage des différents groupes d'invertébrés dans les contenus stomacaux et dans la dérive, préférentiellement recherchée, qui permet de connaître les preferences alimentaires des truites.
Ainsi dans le ruisseau de la Mousquère (Angeller, 1975) les larves de Diptères et d'Ephémères ne paraissent pas recherchées car leur proportion dans les contenus stomacaux est plus faible que dans la dérive; les Plécoptères sont en proportion équivalente, les Trichoptères font l'objet d'un choix car ils sont de trois à six fois plus importants dans les contenus stomacaux que dans la dérive.
Très souvent, deux classes d'âge adjacentes capturent le même organisme, mais à des stades différents; cette spécialisation saisonnière permet une diversification des possibilités alimentaires, une meilleure exploitation du milieu et une diminution des risques de compétition. La distance trophique entre deux classes d'âge consécutives augmente d'ailleurs avec la diversité des proies (Neveu et Thibault, 1977).
La fréquence des repas est en liaison avec la température; Elliot (1973) sur l'Estibère, note chez S. fario, un seul repas par jour pour des températures de 3,5 et 7.3°C, et deux repas à une température de 10,8°C; Neveu (1978) trouve également un repas à 4°C et trois à 18°C dans le Lissuraga. Enfin, la truite capture plus facilement la faune aérienne le jour que la nuit; les mollusques ne dérivant pas, leur capture nocturne est donc en rapport avec une activité plus intense de la truite (Neveu et Thibault, 1977).
5.2.2 Variation de l'alimentation avec l'âge
La consommation de faune aérienne augmente progressivement avec l'âge et la truite a tendance à diversifier sa nourriture au fur et à mesure de sa croissance.
Dans les ruisseaux pyrénéens (Neveu et Thibault, 1977) les truitelles consomment beaucoup d'Ephéméroptères et, en lac de montagne (Fabre et Senocq, 1981) elles se nourrissent à partir de Diptères et de crustacés (76,67 pour cent du nombre de proies ingérées), les S. fario de plus de 10 cm ont une alimentation à base de Dipères et de Ephéméroptères (75 pour cent des proies). A plus de 20 cm elles consomment 90,37 pour cent de Trichoptères, Diptères et Ephéméroptères. Plusieurs auteurs ont également signalé l'ingestion de mollusques à l'âge de 1 à 2 ans (Tableau 4 et Fig. 3).
Le nombre et la taille des proies est en grande partie fonction de la taille du prédateur et ceci est vrai à l'intérieur de chaque groupe de proie (Fig. 4) (Neveu et Thibault, 1977).
5.2.3 Influence de saison
L'influence de saison se traduit principalement par des variations de l'importance de certains groupes dans les captures.
Dans le Lissuraga (Neveu et Thibault, 1977) le bol alimentaire est constitué en majorité de:
- Plécoptères et Trichoptères en hiver
- Ephéméroptères au printemps
- Diptères en été
- Mollusques en automne (Fig. 5).
Selon Fabre et Senocq (1981) en lac de montagne, l'importance relative des différents groupes d'invertébrés varie de la façon suivante:
- les Diptères dominent de mars à juillet
- les Ephéméroptères sont les plus abondants en juin
- les Plécoptères sont présents en proportion constante
- la diversité de la nourriture est faible en mars; la quasi totalité des proies sont des Diptères (Fig. 4).
La croissance, le développement des gonades et l'embonpoint présentent des variations saisonnières liées directement à la quantité de nourriture ingérée. Ainsi, en lac de montagne (Fabre et Senocq, 1981), l'embonpoint de la truite s'améliore de janvier à octobre en rapport avec l'augmentation de la consommation.
Par leur abondance et leur qualité, les ressources alimentaires du milieu conditionnent étroitement la vitesse de croissance. La variation de ces ressources, au cours de l'année, entraîne donc des fluctuations dans la croissance. C'est ainsi que Fabre et Senocq ont observé un ralentissement de la croissance en hiver et au printemps alors que la faune invertébrée se trouve dans le milieu en quantité minimale et une accélération en fin d'été et en automne quand les apports, surtout exogènes, de nourriture sont plus importants. Ceux-ci représentent en effet jusqu'à 96 pour cent du poids de nourriture ingérée par les truites fario du lac étudié pendant le mois de septembre.
5.3 La croissance
5.3.1 Difficultés d'études (Fig. 6)
Les études de croissance dans les milieux concernés ici présentent deux types de difficultés:
Les annuli inscrits sur les écailles et qui traduisent normalement des arrêts de croissance annuels des poissons sont souvent difficiles à identifier (Gayou et Simonet, 1978; Fabre et Senocq, 1981). Il faut employer l'otolithométrie ou les méthodes de détermination statistiques de l'âge ou les marquages.
Les déversements, à plusieurs époques de l'année, de poissons de pisciculture introduisent des sujets n'ayant pas grossi dans le milieu et ne présentant pas de marque de croissance due aux changements saisonniers, mais plutôt à des stress liés aux manipulations en pisciculture. Ces poissons, en nombre et en taille souvent inconnus au moment de leur déversement ne se distinguent pas toujours morphologiquement au cours des diagnoses de terrain. Le relatif espacement des circuli et l'absence d'annulus central sur les écailles permettent seulement alors une certaine présomption.
5.3.2 Comparaison de sujets introduits et sauvages
La croissance ne peut donc être étudiée que lorsque les sujets sauvages et introduits peuvent être distingués sans erreur au besoin par des marquages.
Ainsi ont fait, Fabre et Senocq (1981) au lac de Suyen où une population sauvage a été comparée à un lot de truites fario introduites à 10 cm de longueur totale qui, dans l'intervalle d'âge et de taille étudié a grossi beaucoup plus vite que les individus “sauvages” (Fig. 7).
En effet, l'augmentation annuelle de la taille est de l'ordre de 6 à 8 cm au lieu de 3 à 4 cm chez les truites autochtones. Cette différence dans la vitesse de croissance est due principalement à ce que les sujets venant de pisciculture y ont pris l'habitude de manger tout ce qui leur était présenté à n'importe quel moment de la journée. Les truites autochtones seraient beaucoup plus sélectives dans le choix de leur nourriture, ne se nourrissant qu'à des périodes bien déterminées de la journée, ce qui entraînerait une alimentation moins abondante que celle des sujets introduits. De plus, contrairement aux poissons introduits, les truites autochtones se reproduisaient. Ceci soustrayait une partie de l'énergie normalement consacrée à sa croissance. A cela s'ajoutait le jeûne synchronique qui précède la reproduction et qui prive les poissons d'aports énergétiques pendant une période de l'annéee (Fabre et Senocq, 1981).
En d'autres circonstances, Abad (1982) a étudié la croissance de Salmo fario dans des zones où le recrutement naturel, très abondant, rendait superflu tous déversements. L'étude portait également sur des milieux où une population sauvage cohabitait avec une population venant de déversements réguliers d'alevins d'un été. Ces derniers sujets étaient reconnaissables à leur robe et certains d'entre eux avaient été marqués très jeunes par ablation de la nageoire anale. Leur croissance était sensiblement plus rapide que celle des poissons sauvages (Fig. 8). Ils n'ont pu être influencé par leur vie en pisciculture dans leur comportement alimentaire. En revanche, la sélection de géniteurs à croissance rapide sur les piscicultures fédérales peut-être permis, à terme, l'obtention de descendants auxquels cette qualité a été, en partie, transmise. Aucune recherche n'a été faite à ce sujet mais elle mériterait d'être effectuée.
Enfin, il faut noter que dans tous les cas étudiés, les sujets venant de pisciculture et introduits à plus d'un an ont subi un amaigrissement durant plusieurs semaines avant la reprise de la croissance pondérale quelle que soit l'époque de déversement, même en conditions favorables comme au lac de Suyen.
La perte de poids peut atteindre 20 à 30 pour cent (Fabre et Senocq, 1981), c'est pourquoi la croissance pondérale annuelle de la première année de séjour dans le milieu apparaît plus faible que celle de la deuxième année. Cet amaigrissement temporaire ne concerne pas les truitelles de moins d'un été.
5.3.3 Croissance des poissons sauvages dans différents milieux
Les croissances de S. fario acclimaté dans différents milieux (les populations sauvages ou poissons introduits au stade oeufs vésiculés ou d'alevins d'un été élevés en ruisseaux pépinières) sont extrêmement variables. Dans les réserves de pêche où l'on peut considérer, faute d'informations plus précises, que la densité de population est maximale par rapport aux capacités d'accueil, il semblerait que la croissance linéaire soit en partie fonction de l'altitude, comme en témoigne le tableau cidessous et la Fig. 9.
| Réserve | Altitude | Age auquel Lt = 18 cm (1) | Auteur |
| Belestat | 450 m | 2,5 ans | Reyes, M. (n.p.) |
| Viane | 550 m | 3,0 ans | Abad (1982) |
| Alas | 550 m | 3,5 ans | Reyes, M. (n.p.) |
| Aulus | 750 m | 4,5 ans | Reyes, M. (n.p.) |
| Siguers | 900 m | 5,0 ans | Reyes, M. (n.p.) |
| Courtignou | 1 100 m | 5,5 ans | Reyes, M. (n.p.) |
(1) Longueur totale minimale de capture
De plus, la croissance est plus rapide à altitude égale en lac qu'en rivière comme le montre le tableau ci-dessous:
| Réserve | Altitude | Age auquel Lt = 18 cm (1) | Auteur |
| Bethmale | 1 050 m | 2,5 ans | Fabre et Senocq (n.p.) |
| Suyen | 1 535 m | 4,5 ans | Fabre et Senocq (1981) |
| Gloriettes | 1 670 m | 3,5 ans | Fabre et Senocq (n.p.) |
Les relations possibles entre la croissance et d'autres facteurs du milieu aisés à mesurer, sont un des thèmes de recherche du Laboratoire.
5.4 Les mortalités
Les méthodes habituelles d'évaluation de la mortalité sont presque toujours en défaut dans les études de démographie des salmonidés de la région en raison de l'extrême variabilité du recrutement d'origine naturelle d'une année à l'autre et de la méconnaissance totale que l'on en a. De plus, les déversements de poissons de différents âges à plusieurs époques de l'année, sur les parcours de pêche, en nombre souvent inconnu par la Fédération de pêche elle-même, modifient les structures de tailles dans des proportions impossibles à préciser. La mortalité ne peut donc être étudiée que sur des secteurs non empoissonnés parce que peu pêchés ou dans des conditions expérimentales où les entrées de poissons sont strictement contrôlées.
En fait deux méthodes peuvent être envisagées: le marquage et l'étude de la longévité, c'est-àdire de l'âge maximum observé.
Les mortalités toujours abondantes observées chez le poisson en milieu sauvage sévissent jusqu'à l'âge d'un an. La prédation par les individus plus âgés est très importante surtout sur les frayères, pendant la fraie elle-même (Fabre et Senocq, 1981). L'âge d'un an peut être considéré comme celui de recrutement dans la mesure où les truitelles ont, au-delà de cet âge, le comportement des adultes et échappent aux fortes mortalités par prédation.
Au-delà de cet âge d'un an, l'espérance de vie et la longévité sont très variables d'un milieu à l'autre indépendamment de la pêche. En lac de montagne ou en rivière de faible altitude, la longévité peut atteindre huit ans; dans les eaux courantes d'altitude, elle ne dépassera pas cinq ans. Si l'on suit les suggestions de Lévèque, Durand et Ecoutin (1977) Z est alors de 0,75 dans le premier cas, et s'élève à 1,35 dans le second.
En fait, la mortalité est très variable avec l'âge et elle augmente en raison de la pêche au-delà de l'âge de première capture. Le fait le plus important est le suivant: Les poissons non sédentaires sont les plus vulnérables à la pêche (Abad, 1982) parce que sans doute plus attirés par les leurres. Les poissons élevés en pisciculture sont également capturés plus vite après leur déversement comme dit plus haut. D'après Abad (1982), la mortalité évaluée par marquage est deux fois moins importante pendant la saison de pêche pour les sujets sédentaires que pour les autres. Les pêcheurs sportifs l'ont souvent constaté; ils capturent plus facilement les individus de grande taille récemment déversés et par conséquent non sédentaires, que les sujets sauvages de même longueur qui cohabitent avec eux.
L'espèce S. fario est autochtone dans les Pyrénées. En 1935, on note sa présence dans une soixantaine de lacs (Chimits, 1970). Le repeuplement systématique a débuté vers 1936 avec la création de la pisciculture de Cauterets (Hautes-Pyrénées).
6.1 Influence sur les espèces de salmonidés déjà présentes
Plusieurs auteurs ont vérifié la situation d'infériorité de la truite arc-en-ciel face à la truite commune non seulement en France mais aussi dans son pays d'origine, les Etats-Unis. Cette hiérarchie entre les deux espèces n'est pas due à une antériorité dans le milieu. Elle est explicable notamment par un comportement plus agressif de la truite commune particulièrement sur les frayères.
En plus, les truites fario ont un grossissement supérieur à celui des autres salmonidés qui cohabitent avec elles (Fabre et Senocq, 1981) avec une consommation égale de nourriture de même type. C'est donc l'espèce qui paraît la mieux adaptée lorsque le milieu présente un faible niveau trophique comme c'est le cas dans les eaux pyrénéennes.
Ces éléments expliquent en partie que S. gairdnerii, comme d'autres salmonidés, sont dominées dans la région en présence de S. fario.
6.2 Influence sur le milleu
Les observations peu nombreuses à ce sujet font état d'appauvrissement de la faune d'invertébrés (dérive et benthos) en cas d'introduction ou de repeuplements périodiques en truite fario. Cela a été constaté notamment en Afrique du Sud (FAO, 1970). Dans les eaux courantes d'altitude pyrénéenne il semble que la mise en réserve de secteurs de rivières où la densité de S. fario augmente alors considérablement amène aussi une diminution des invertébrés par rapport aux parcours de pêche en amont sur les mêmes cours d'eau. Ceci serait plus net en été qu'en hiver, période où les truites se nourrissent peu. Des recherches systématiques sont en cours au Laboratoire à ce sujet.
Les repeuplements périodiques en S. fario tels qu'ils sont pratiqués dans les milieux exploités par les pêcheurs sportifs satisfont à leurs exigences immédiates mais il n'est pas certain qu'ils soient la meilleur façon de tirer le parti optimum des milieux aquatiques concernés. Les effets récents de certaines fédérations départementales de pêche pour généraliser les déversements de sujets de moins d'un été et les résultats encourageants qu'elles obtiennent montrent l'intérêt d'augmenter la rusticité des poissons déversés. C'est ainsi que l'on augmentera la sédentarité de ces poissons, que l'on diminuera les difficultés alimentaires liées à leur transfert dans un nouveau milleu et que l'on pourra espérer de leur part une activité sexuelle complète.
Si ces différents points ont pu être relativement bien étudiés chacun dans des conditions écologiques ou expérimentales particulières, l'acquisition de la rusticité offre un très large champ d'investigations pour des recherches approfondies de génétique des populations de salmonidés.
Abad, N., 1982 Etude écologique et dynamique des populations de Salmo fario de rivières lère catég. dans le dép. du Tarn. Thèse 3èeme cycle, INP, Toulouse, (à paraître)
Etude écologique et dynamique des populations de Salmo fario de rivières lère catég. dans le dép. du Tarn. 1982 Thèse 3ème cycle, INP, Toulouse, (à paraître)
Allendorf, F. et al., 1976 Genetic variations in Scandinavian brown trout (Salmo trutta L.): evidence of distinct sympatric population Hereditas, 83: 73–82
Arrignon, J., 1976 Aménagement écologique et piscicole des eaux douces. Paris, Ed. Gauthier-Villars, 320 p.
Chimits, P., 1970 La pêche sportive dans le Parc National des Pyrénées. Bull.Fr.Piscic., (237):113–36
Cuinat, R., 1971 Ecologie et repeuplement des cours d'eau à truites. Première partie. Bull.Fr.Piscic., (240):72–106
Cuinat, R., 1971a Ecologie et repeuplement des cours d'eau à truites. Deuxième partie. Bull.Fr.Piscic., (242):6–32
Cuinat, R., 1971b Ecologie et repeuplement des cours d'eau à truites. Deuxième partie (suite et fin). Bull.Fr.Piscic., (243):69–90
Cuinat, R. et M. Heland, 1979 Observations sur la dévalaison d'alevins de truite commune Salmo trutta dans le Lissuraga. Bull.Fr.Piscic., (274):1–17
FAO, 1970 Introductions of fishes, prawn and crayfishes. FAO Fish Cult.Bull., 2(4):1–15
Fabre, H. et B. Senocq, 1981 Etude de quelques lacs d'altitude des Pyrénées: biologie et dynamique des populations piscicoles; aménagements. Thèse 3ème cycle INP Toulouse, 87:338 p.
Gayou, F. et F. Simonet, 1978 Dynamique des populations de truites (Salmo trutta fario L.). Aménagements piscicoles en Haute Vallée d'Aure. Thèse 3ème cycle INP toulouse, 20:253 p.
Heland, M., 1971 Influence de la densité du peuplement initial sur l'acquisition des territoires chez la truite commune Salmo trutta en ruisseau artificiel. Ann.Limnol., 16(3):299–21
Heland, M., 1971a Influence de la densité du peuplement initial sur l'acquisition des territoires chez la truite commune Salmo trutta en ruisseau artificiel. Ann.Limnol., 16(3):299–321
Heland, M., 1977 Recherches sur l'ontogénèse du comportement territorial chez l'alevin de truite commune Salmo trutta L. Thèse 3ème cycle, Université de Rennes, 488 (177) 240 p.
Heland, M., 1980 La dévalasion des alevins de truite commune Salmo trutta L. Caracterisation en milieu artificiel. Ann.Limnol., 16(3):233–45
Heland, M., 1980a La dévalaison des alevins de truite commune Salmo trutta. 2. Activité des alevins “Devalants” comparés aux sédentaires. Ann.Limnol., 16(3):247–54
Lévèque, C., J.R. Durand et J.M. Ecoutin, 1977 Relation entre le rapport P/B et la longévité des organismes. Cah.ORSTOM, sér.Hydrobiol., 11(1):17–32
Neveu, A. et M. Thibault, 1977 Comportement alimentaire d'une population sauvage de truites fario (Salmo trutta L.) dans un ruisseau des Pyrénées Atlantiques. Le Lissuraga. Ann.Hydrobiol., 8(2):111–28
Ricard, J.M. et C. Roqueplo, 1976 Etude sur la dynamique des populations et les aménagements piscicoles du Rioumajou. Thèse 3ème cycle Université Paul Sabatier, 180 p.
Thorpe, J.E., 1972 Trout and perch population at Loch Leven, Kinross. Proc.R.Soc.Edinb., 74(20):295–313
Vibert, R., 1975 Repeuplements des eaux à truites. Piscic.Fr., 42:25–48
Vibert, R. et R. Cuinat, 1963 Diagnose, démographique dans les populations de poissons des cours d'eau à truites. Stud.Rev.Gen.Fish.Conc.Medit., 21:26 p.
Tableau 1 Taux de reprise et implantation selon le mode de repeuplement et l'origine des sujets utilisés
| MODE DE REPEUPLEMENT | ORIGINE DES SUJETS MODE D'ELEVAGE | RESULTATS | |||
| Type | Taille ou Stade | Epoque | Taux de reprise | Implantation (1) | |
| surdensitaire | légale | pendant saison de pêche | salmoniculture intensive | élevé: 60 à 90 % | très faible à nulle |
| Intermédiaire | 1 à 6 mois avant saison de pêche | assez élevé: 40 à 60 % | faible à nulle | ||
| sub-légale : 14 à 18 cm | généralement automne ou hiver | salmoniculture intensive | faible à moyen : 5 à 40% | généralement faible | |
| d'entretien | alevins ou truitelles : 5 à 14 cm | généralement été à hiver | salmoniculture intensive | très faible à faible : 0,5 à 20 % (2) | généralement faible (2) |
| élevages extensifs (rigoles d'alevinage ou ruisseaux pépinières) | très faible à faible : 0.5 à 20 % (2) | généralement appréciable (2) | |||
| œufs ou alevins vésiculés | hiver ou début printemps | sujets non nourris | très faible : 0.3 à 3 % (2) | généralement analogue à celle des sujets indigènes (2) | |
d'aprés CUINAT (1971)
Tableau 2 Taille et âge de S. fario mâtures dans le tributaire et dans le lac
| Taille et âge a la première maturité | |||
| Géniteurs du tributaire | Géniteurs du lac | ||
| 11,6 cm | 3 ans | 19,5 cm | 4 ans |
| 20,9 cm | 4 ans | 23,0 cm | 5 ans |
| Taille et âge des plus grands géniteurs pêchés | |||
| 24,6 cm | 6 ans | 30,9 cm | 7 ans |
| 24,0 cm | 6 ans | 29,7 cm | 7 ans |
Tableau 3 Proportions des différents groupes d'invertébrés dans la dérive et dans les contenus stomacaux de S. fario. Cas du ruisseau de la Mousquère (Angelier, 1976)
| 1973 | 1974 | ||||
| % dans les contenus stomacaux | % dans la dérive | % dans le benthos | % dans les contenus stomacaux | % dans la dérive | |
| Ephémères | 22 | 47,8 | 39,2 | 18,0 | 45,0 |
| Plécoptères | 3 | 3,0 | 20,0 | 10,5 | 10,0 |
| Trichoptères | 7 | 2,0 | 6,0 | 25,0 | 4,1 |
| Diptères | 8 | 32,0 | 15,0 | 25,0 | 27,7 |
Tableau 4 Etude des régimes alimentaires des S. fario en fonction de la taille (juillèt à septembre) (d'après Fabre et Senocq (1981)
| F 10 | 10 F 20 | F 20 | ||||
| % N | % P | % N | % P | % N | % P | |
| Trichoptères | 0,80 | 4,28 | 10,26 | 27,44 | 17,91 | 26,88 |
| Diptères | 46,06 | 18,51 | 35,34 | 22,06 | 40,19 | 13,34 |
| Plécoptères | 4,74 | 6,87 | 13,86 | 16,42 | 2,17 | 1,77 |
| Ephéméroptères | 14,02 | 58,60 | 35,20 | 28,54 | 35,27 | 40,33 |
| Coléoptères | 2,35 | 4,51 | 2,49 | 11,46 | ||
| Annélides | 0,03 | 2,70 | ||||
| Mollusques | 2,87 | 0,98 | ||||
| Crustacés | 29,61 | |||||
| Insectes terrestres | 4,70 | 11,67 | 1,07 | 2,85 | ||
![]() | ![]() |
Fig. 1 Performances de nage des truites fario d'élevages intensif et “sauvage” (Gayou et Simonet, 1978) | Fig. 2 Evolution de la lactacidémie des deux lots de truites pendant l'effort et au cours de la phase de repos après un effort de une heure (Simonet et Gayou, 1978) |
S. fario > 20 cm

Abondance relative mensuelle des invertébrés ingérés.
![]() | Trichoptères | ![]() | Plécoptères | ![]() | Coléoptères | ![]() | Hydracariens | ![]() | Mollusques |
![]() | Diptères | ![]() | Ephéméroptères | ![]() | Invertébrés Exogènes | ![]() | Crustacés | ![]() | Oligochètes |
10 < S. fario < 20 cm

Fig. 3 Variations saisonnières de l'alimentation chez S. fario au lac de Suyen (Fabre et Senocq, 1981)

Fig. 4 Relation entre le nombre moyen de proies et le poids individuel moyen du poisson (p); in Neveu et Thibault (1977)

Fig. 5 Variations saisonnières du taux de consommation sur les principaux groupes d'invertébrés (n = nombre de proies par gramme de truite) in Neveu et Thibault (1977)
![]() | ![]() |
| Photo a - Ecailles de O+ | Photo b - Otolithe de O+ |
![]() | ![]() |
| Photo c - Ecaille de 3+ | Photo d - Otolithe de 3+ |
![]() | ![]() |
Photo e - Ecaille inutilisable pour la détermination de l'âge | Photo f - Otolithe de 4+ |
Fig. 6 Difficultés liées aux choix du critère d'âge chez S. fario du lac de Suyen (Fabre et Senocq, 1981)

Fig. 7 Croissance comparée des S. fario sauvages et introduites de pisciculture au lac de Suyen (Pyrénées) d'après Fabre et Senocq, 1981

Fig. 8 Croissance linéaire comparée de S. fario de deux provenances dans la rivière Vebre (Abad, 1982)

Fig. 9 Croissance linéaire comparée de S. fario dans des réserves de pêche installées à différentes altitudes (Reyes Marchant, n.p.)