O. Enderlein
Institute of Freshwater Research
Drottningholm, Sweden
ABSTRACT
Large-scale tagging of fish in Sweden has a history of more than 30 years. There have been great changes in technique and purpose and also in the fish species under study and the number of fish tagged. This paper reviews the history behind these changes and also attempts to evaluate and discuss some of the now obvious mistakes as well as the evident successes. This review will only cover fresh waters as sea-going salmon and trout are dealt with by the Swedish Salmon Research Institute.
RESUME
Le marquage des poissons se pratique sur une grande échelle en Suède depuis plus de 30 ans. Il va sans dire que les techniques ont beaucoup évolué, que les fine poursuivies et les espèces étudiées ont elles aussi changé et - ce qui n'est pas le moins important - que le nombre des poissons marqués est ajourd'hui beaucoup plus élevé. L'auteur examine ces changements, certaines des erreurs qui ont été indubitablement commises et certaines réussites incontestables. Cet examan ne porte que sur les poissons d'eau douce anadromes et catadromes autres que le saumon, espèce dont s'occupe un institut suédois spécialisé.
The ides of tagging fish came to Sweden from England and was tried here for the first time by Trybom in 1903, who tagged eel and brood fish of salmon and trout with very poor results (Trybom, 1903, 1910 and 1911). During the period 1903–48 a couple of other fisheries biologists also tried to tag fish with more or less the same poor results. It was not until Börje Carlin (1948) began to rationalize the technique for smolt rearing that things improved. Carlin needed good tags and tagging techniques for production control. During the period 1948–55 he developed the method of tagging fish in the back under the dorsal fin. The real breakthrough came when he inserted a link between the wire attached to the fish and the tag (Fig. 1).
Carlin's major interest (as Director of the Swedish Salmon Research Institute until 1971) was the release of salmon in the Baltic. His ideas were soon successfully tried on other fish species but, as Carlin was not very interested in these, the responsibilities for tagging of species other than salmon and some sea-migrating trout fell upon the Institute of Freshwater Research.
At this institute a small administrative department was started, dealing mainly with service to external taggers, such as correspondence and payment of rewards. Except for a few yearly tagging experiments all the tagging of freshwater fishes was carried out by local fisheries administrations who also made their own evaluation of the material. Unfortunately, this has led to an incomplete evaluation of the material as local administrations usually had narrow alms and an unclear conception of the overall picture. The situation is not cased by the fact that to-date all date is recorded manually. This is in strong contrast to the Swedish Salmon Research Institute where Carlin early saw the advantage of computers. However, changes are now on the way even at the Institute of Freshwater Research.
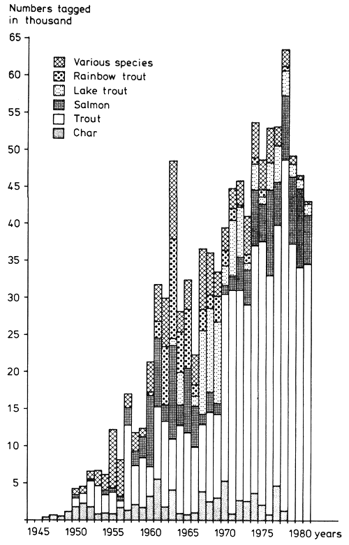
The most obvious change is the steady increase in numbers of fish tagged (Fig. 2) - from almost none in 1945 to nearly 65 000 in 1978.
The need for continued tagging is increasingly questioned on the basis of the supposedly limited advantages to acquiring further information. However, at present the main factor limiting the extent of tagging is money, the shortage of which may limit further increases in numbers tagged.
Initially, the numbers tagged in each experiment varied between 1 and 1 500 fish. That this variation has now been reduced can be seen from the standard error values in Table 1. Even the mean numbers of fish tagged in each experiment has reached a certain level of stability at least for the most important species. For example, initially the mean number of trout tagged fluctuated around 100 and had a wide range of variability but in the last few years the mean has increased to about 300 and is less variable.
Salmon have undergone a similar trend with a present mean of about 500 tagged fish which corresponds well with the lower return rates compared to trout (Fig. 3).
Lake trout, a species in which recovery rates are very high, have changed conversely, from a high mean number of tagged fish at the start of the experiments to a low number today. Other species such as rainbow trout, grayling, pike and char have still not stabilized.
Over the years 20 freshwater species have been tagged (Table 2).
Interest in the different species has changed over the years (Fig. 2). Most remarkable perhaps is the increase in trout tagging especially during the seventies. In the sixties the rainbow trout was under intense study but the fish did not come up to expectations as a species suitable to compensate for damage to the ecosystem due to hydro-power and interest in tagging the species has now died, although the species rainbow trout is still widely used in “put and take” sports fisheries and in fishfarming.
The lake trout, which Svärdson brought to Sweden as roe in 1958, have been tagged since 1962 and have proved to be of great value in some lakes; experiments with this species are still going on. (Results are presented elsewhere at this symposium by Gönczi and Nilsson.)
In the effort to improve fishing, a number of hybrids have been tested (Table 2). More than 20 000 of these hybrids were tagged from 1962 to 1976 but the results are rather poor and no fish of this category have been tagged since 1976.
A number of tagging methods including streamer tags, floy tags, nose tags, colour injections, freeze and heat branding as well as modifications of the Carlin tags have been tried, but so far nothing has proved superior to the Carlin tag. Even the method of attaching tags described by Ottosson (1981) has remained unchanged since the fifties. Only the anaesthetic has been changed from the carcinogenic urethane to MS 222 (ethyl m-aminobenzoate methanesulphonate).
The main objective of tagging programmes was originally to investigate questions of fish especially in connexion with evaluation of how installations for generating hydro-power would influence the fish populations. Later when it became obvious that hydro-power plants and dams had an adverse effect on the fish stock, experiments were aimed at finding fish stocks suitable for the modified environment.
A number of species introductions were attempted to mitigate these adverse effects but of species such as lake trout, rainbow trout, brook trout and hybrids, only lake trout proved successful.
When it became clear that exotic species were not completely successful the search transferred to the different strains of trout. This is one of the main reasons for the tremendous increase in trout tagging together with trout production control. Great numbers of trout are reared and released every year to compensate for spawning damage due to hydro-power installations.
No real review of all information on freshwater tagging has ever been made in Sweden. The results given here are a preliminary attempt at such an anlaysis.
For each species all the recovered fish from 1963 and 1965–74 have been pooled on a yearly basis and the cumulative recoveries in percent plotted. The result can be seen in Figs. 3 and 4. There is, of course, a great deal of variation from experiment to experiment but this will be dealt with in later papers.
The same material as for the recoveries has been used. The estimates are calculated according to Ricker (1975) and are shown in Table 3.
In the past the designers of tagging experiments have been overambitious. In an urge to solve too many problems the tagged material was so diffused that there were often too few recoveries to furnish definite answers. This has improved today but hopefully ambitions will be further limited and the number of tagged fish in each experiment will be increased. Knowing the numbers of recovered fishes needed for proper statistical analysis and somewhat more of what to expect from these recoveries should make it easier for today's fishery workers to design adequate experiments.
There have already been changes in the species selected for tagging which reflect changing preferences in species suitable for stocking. These trends will doubtless continue in the future. It is, however, unlikely that rainbow trout, hybrid salmonids, whitefish, perch, roach and pike will be very much in demand for tagging in the near future; rainbow trout and hybrids, because their survival rate is so low that stocking with them does not last in any lasting improvement in the fishery (Table 3). They continue to be suitable for “put-and-take” fisheries, where recoveries are good (Fig. 3). Recovery rates for roach and perch are so low (Fig. 4) that they would have to be tagged in great numbers to obtain any results. Whitefish and pike have good recovery and survival rates and are, therefore, suitable for tagging but these species may be considered to be of low priority for economical reasons.
Both survival rate and recovery rate are rather low for trout but the variation in the material is high and the means given do not reveal the entire truth. The main cause of variation in recovery rate is the range of sizes of trout used for stocking. The recovery rate increases tremendously with increasing size. This will, however, be discussed in detail by other authors.
Trout tagging will continue partly for production control and partly for evaluation of different strains in the search for selected strains suitable for various purposes. It would be desirable to be able to give performance characteristics for each strain. One fisheries biologist told me that he was looking for a “square trout” suitable for hydro-power reservoirs. It is probably going to take some time before he finds one.
Salmon have a high survival rate but low recovery rate. The growth is, however, so good in great lakes that it is in great demand for stocking. Salmon will continue to be tagged in the future but mostly for production control.
Another fish in great demand, in this case from the sport fisheries, is grayling. Although it has been tagged for many years very few results are available. My opinion is that far too few fishes have been tagged in each experiment (Table 1) in relation to the low recovery rate (Fig. 3). Another design with greater numbers tagged but fewer experiments would be preferable.
Zander is a species stocked in many south-Swedish lakes. The interest is easily explained by the recovery curve (Fig. 4). Unfortunately, the curve is very primitive and some improvement is desirable.
The results from tagging lake trout are most spectacular. Both recovery and survival rates are very high, which means that natural mortality must be very low. One of the administrators has observed that “lake trout never die”, in the sense that an experiment on most other species is usually followed for seven years and then filed, because there are hardly any recoveries after that, whereas lake trout continue to be caught and the files are therefore difficult to close.
One problem with Carlin tags is that many newly released young fish are caught in nets used to capture larger fish, because the metal wires tangle in the meshes. This problem is especially pronounced in fresh water where the number of nets are very high in relation to the water volume and can perhaps be overcome by modified Carlin tags with polythene monofilament attachment. Experiments are underway and if successful tagging methods will be modified.
Objectives of tagging programmes other than production control and evaluation of different species and strains are stock assessment and evaluation of stocking methods. The use of tagging as a tool for stock assessment is almost entirely neglected in Swedish fresh waters and must be improved to increase the output from the numerous tagging experiments carried out.
Techniques for rearing and transportation of fish are well developed but the last step releasing the fish from the transporter - is in great need of improvement. Having been fed and cared for with great tenderness over a number of years the fish are then suddenly handed over to a hurried lorry driver who wants nothing more than to get rid of them. More money and care must be spent on this final step to lower the variations in recoveries between experiments which cannot be explained in any other way than by differences in stocking success. It is not to fatten the seagulls that rivers and lakes are stocked with high quality fish.
Ottosson, Y., 1981 Instruktion för fiskmärkning mad märken av “Carlin-typ”. LFI Inf., (1):9 p.
Ricker, W.E., 1975 Computation and interpretation of biological statistics of fish populations, Bull.Fish.Res.Board Can., (191):382 p.
Trybom, F., 1903 Märkning av lax och al. Svensk.Fiskeritidskr., 12(4):195–9
Trybom, F., 1910 Bericht über die Aufzucht, die Markierung und den Fang von Lachsen und Meerforellen im Ostseegebiete während der Jahre 1904 bis 1908. Rapp.P.-V.Reun.CIEM, 12(6):1–47
Trybom, F., 1911 Bericht Über die Aufzucht die Markierung und den Fang von Lachsen und Meerforellen im Ostseegeblete im Jahre 1909. Rapp.P.-V.Reun,CIEM 13(5):1–31
Table 1 Mean size (X) of the experiment in numbers of tagged fish as well as the standard-error (SE) on a yearly basis
| Char | Lake trout | Trout | Salmon | Rainbow trout | Grayling | Pike | ||||||||
| X | SE | X | SE | X | SE | X | SE | X | SE | X | SE | X | SE | |
| 1950 | 446 | 413 | - | - | 103 | 60 | 35 | 8 | - | - | - | - | - | - |
| 1951 | 391 | 324 | - | - | 77 | 37 | 1 | - | - | - | - | - | 34 | 27 |
| 1952 | 170 | 67 | - | - | 156 | 91 | 38 | 22 | - | - | - | - | 28 | 17 |
| 1953 | 153 | 89 | - | - | 244 | 65 | 20 | - | - | - | - | - | 38 | 10 |
| 1954 | 165 | 80 | - | - | 158 | 58 | 104 | 50 | 15 | - | 134 | 125 | 23 | 7 |
| 1955 | 93 | 37 | - | - | 133 | 45 | 206 | 188 | - | - | 91 | - | 93 | 17 |
| 1956 | 115 | 38 | - | - | 60 | 15 | 146 | 135 | - | - | 37 | 15 | 233 | 79 |
| 1957 | 144 | 42 | - | - | 321 | 67 | 386 | 243 | - | - | 70 | 28 | 132 | 61 |
| 1958 | 90 | 41 | - | - | 108 | 29 | 402 | 249 | - | - | 43 | 18 | 81 | 39 |
| 1959 | 245 | 161 | - | - | 141 | 36 | 555 | 286 | - | - | 26 | 11 | 199 | - |
| 1960 | 416 | 157 | - | - | 118 | 43 | 740 | 111 | 175 | - | 127 | 87 | 73 | 26 |
| 1961 | 1 139 | 299 | - | - | 197 | 48 | 513 | 96 | 190 | 27 | 114 | 99 | 106 | 36 |
| 1962 | 444 | 353 | 91 | - | 327 | 68 | 295 | 147 | 456 | 77 | 147 | 116 | 53 | 12 |
| 1963 | 274 | 110 | 1 000 | - | 158 | 45 | 699 | 82 | 305 | 46 | 171 | 152 | 20 | 16 |
| 1964 | 498 | - | 562 | 100 | 152 | 23 | 177 | 84 | 175 | 36 | 51 | 38 | 50 | - |
| 1965 | 35 | 6 | - | - | 106 | 17 | 223 | 56 | 330 | 42 | 58 | - | 82 | 48 |
| 1966 | 73 | 22 | 950 | - | 88 | 13 | 268 | 83 | 141 | 43 | 53 | 21 | 25 | 4 |
| 1967 | 138 | 25 | 401 | 65 | 156 | 32 | 199 | 86 | 206 | 24 | 133 | 39 | 66 | 19 |
| 1968 | 102 | 26 | 452 | 24 | 142 | 17 | 207 | 70 | 133 | 24 | 71 | 47 | 18 | 5 |
| 1969 | 163 | 51 | 528 | 66 | 138 | 16 | 190 | 90 | 164 | 30 | 78 | - | 72 | 23 |
| 1970 | 258 | 67 | 550 | 50 | 290 | 25 | 302 | 235 | 211 | 99 | 53 | 21 | 35 | 5 |
| 1971 | 84 | 41 | 625 | 52 | 266 | 21 | 302 | 95 | 219 | 74 | 44 | 9 | 44 | 3 |
| 1972 | 258 | 61 | 575 | 101 | 243 | 17 | 462 | 109 | 97 | - | 62 | - | 46 | 13 |
| 1973 | 302 | 70 | 213 | 101 | 273 | 19 | 470 | 73 | 374 | - | 102 | - | 249 | - |
| 1974 | 418 | 58 | 327 | 42 | 291 | 18 | 625 | 65 | 386 | - | 55 | 20 | 122 | - |
| 1975 | 223 | 69 | 250 | 88 | 268 | 14 | 392 | 70 | 333 | - | 45 | - | 65 | 32 |
| 1976 | 325 | 66 | 284 | 36 | 273 | 14 | 521 | 59 | - | - | 78 | - | - | - |
| 1977 | 450 | 50 | 436 | 78 | 259 | 16 | 500 | 0 | - | - | 56 | 16 | - | - |
| 1978 | 1 500 | - | 278 | 43 | 290 | 14 | 455 | 28 | 600 | - | - | - | 40 | - |
| 1979 | - | - | 213 | 20 | 265 | 13 | 458 | 29 | 27 | - | 31 | - | - | - |
| 1980 | 42 | - | 154 | 21 | 249 | 14 | 536 | 41 | - | - | 67 | 53 | - | - |
| 1981 | - | - | 248 | 56 | 302 | 23 | 506 | 77 | - | - | - | - | - | - |
Table 2 Freshwater species tagged during the period 1950 to 1981
| Char | Salvelinus spp. (alpinus complex) |
| Lake trout | S. namaycush (Walbaum) |
| Brook trout | S. fontinalis (Mitchill) |
| Trout | Salmo trutta (L.) |
| Salmon | S. salar (L.) |
| Rainbow trout | S. gairdneri (Richardson) |
| Grayling | Thymallus thymallus (L.) |
| Whitefish | Coregonus spp. |
| Cisco | C. albula (L.) |
| Perch | Perca fluviatilis (L.) |
| Sander | Lucioperca lucioperca (L.) |
| Pike | Esox lucius (L.) |
| Roach | Rutilus rutilus (L.) |
| Bream | Abramis brama (L.) |
| Burbot | Lota lota (L.) |
| Silver eel | Anguilla anguilla (L.) |
| Lake trout × char | |
| Brook trout × char | |
| Hybrids | Lake trout × brook trout |
| Salmon × trout |
Table 3 Survival rate estimate. Material from 1963 and 1965–74
| Species | Total numbers released | Total numbers recovered | Instantaneous rate of mortality (Z) | Coefficient of determination (Rz) | Survival rate/in % |
| Lake trout | 56 955 | 16 677 | 0.73 | 0.84 | 48.1 |
| Char | 32 587 | 6 341 | 0.78 | 0.95 | 45.8 |
| Salmon | 52 548 | 4 339 | 0.87 | 0.79 | 42.1 |
| Pike | 5 071 | 696 | 0.89 | 0.92 | 41.2 |
| Grayling | 9 432 | 917 | 0.90 | 0.98 | 40.5 |
| Perch | 2 220 | 92 | 0.99 | 0.98 | 37.3 |
| Whitefish | 4 187 | 761 | 0.99 | 0.95 | 37.3 |
| Trout | 201 913 | 28 212 | 1.16 | 0.84 | 31.3 |
| Rainbow trout | 38 507 | 8 896 | 1.29 | 0.90 | 27.5 |
| Hybrids | 16 285 | 3 116 | 1.30 | 0.96 | 27.3 |


Fig. 1 Method of attaching a standard Carlin tag to a fish (Ottosson, 1981)

Fig. 2 The total numbers of tagged fish handled by the Institute of Freshwater Research from 1946 to 1981

Fig. 3 The cumulative recoveries of tagged salmonid fishes in percentage. Material from 1963 and 1965–74. The number n is the total number recovered for each species

Fig. 4 The cumulative recoveries of tagged fish others than salmonids in percentage. Material from 1963 and 1965–74. The number n is the total number recovered for each species
EIFAC TECHNICAL PAPERS ISSUED DOCUMENTS TECHNIQUES DE LA CECPI PUBLIES
| EIFAC/T1 | Water quality criteria for European freshwater fish. Report on finely divided solids and inland fisheries (1964) |
| Critères de qualité des eaux pour les poissons d'eau douce européens. Rapport sur les solides finement divisés et les pêches intérieures (1964) | |
| EIFAC/T2 | Fish diseases. Technical Notes submitted to EIFAC Third Session by Messrs. J. Heyl, H. Mann, C.J. Rasmussen and A. van der Struik (1965) |
| Maladies des poissons. Notes présentées à la troisième session de la CECPI par J. Heyl, H. Mann, C.J. Rasmussen et A. van der Struik (1965) | |
| EIFAC/T3 | Feeding in trout and salmon culture. Papers submitted to a Symposium, EIFAC Fourth Session (1967) |
| Alimentation dans l'élevage de la truite et du saumon. Communications présentées à un symposium quatrième session de la CECPI (1967) | |
| EIFAC/T4 | Water quality criteria for European freshwater fish. Report on extreme pH values and inland fisheries (1968) |
| Critères de qualité des eaux pour les poissons d'eau douce européens. Rapport sur les valeurs extrêmes du pH et les pêches intérieures (1968) | |
| EIFAC/T5 | Organization of inland fisheries administration in Europe, by Jean-Louis Gaudet (1968) |
| Organisation de l'administration des pêches intérieures en Europe, par Jean-Louis Gaudet (1968) | |
| EIFAC/T5(Rev.1) | Organization of inland fisheries administration in Europe. Revised edition (1974) |
| Organisation de l'administration des pêches en Europe (édition révisée) (1974) | |
| EIFAC/T6 | Water quality criteria for European freshwater fish. Report on water temperature and inland fisheries based mainly on Slavonic literature (1968) |
| Critères de qualité des eaux pour les poissons d'eau douce européens. Rapport sur la température de l'eau et les pêches intérieures basé essentiellement sur la documentation slave (1968) | |
| EIFAC/T7 | Economic evaluation of inland sport fishing, by Ingemar Norling (1968) |
| Evaluation économique de la pêche sportive dans les eaux continentales, par Ingemar Norling (1968) | |
| EIFAC/T8 | Water quality criteria for European freshwater fish. List of literature on the effect of water temperature on fish (1969) |
| Critères de qualité des eaux pour les poissons d'eau douce européens. Références bibliographiques sur les effets de la température de l'eau sur le poisson (1969) | |
| EIFAC/T9 | New developments in carp and trout nutrition. Papers submitted to a Symposium,EIFAC Fifth Session (1969) |
| Récents développements dans la nutrition de la carpe et de la truite. Communications présentées à un symposium, cinquième session de la CECPI (1969) | |
| EIFAC/T10 | Comparative study of laws and regulations governing the international traffic in live fish and fish eggs, by F.B. Zenny, FAO Legislation Branch (1969) |
| Etude comparée des mesures législatives et administratives régissant les échanges internationaux de poissons vivants et d'oeufs de poisson, par F.B. Zenny, Service de législation de la FAO (1969) | |
| EIFAC/T11 | Water quality criteria for European freshwater fish. Report on ammonia and inland fisheries (1970) |
| Critères de qualité des eaux pour les poissons d'eau douce européens. Rapport sur l'ammoniac et les pêches intérieures (1971) | |
| EIFAC/T12 | Salmon and trout feeds and feeding (1971) |
| CECPI/T12 | Aliments du saumon et de la truite et leur distribution (1973) |
| EIFAC/T13 | Some considerations on the theory of age determination of fish from their scales -Finding proofs of reliability, by R. Sych (1971) |
| EIFAC/T14 | EIFAC consultation on eel fishing gear and techniques (1971) |
| Consultation de la CECPI sur les engins et techniques de pêche à l'anguille (1971) | |
| EIFAC/T15 | Water quality criteria for European freshwater fish. Report on monohydric phenols and inland fisheries (1972) |
| CECPI/T15 | Critères de qualité des eaux pour les poissons d'eau douce européens: rapport sur les phénols monohydratés et les pêches intérieures (1973) |
| EIFAC/T16 | Symposium on the nature and extent of water pollution problems affecting inland fisheries in Europe. Synthesis of national reports (1972) |
| Symposium sur la nature et l'étendue des problèmes de pollution des eaux affectant les pêches continentales en Europe. Synthèse des rapports nationaux (1972) | |
| EIFAC/T17 | Symposium on the major communicable fish diseases in Europe and their control. Report (1972) |
| CECPI/T17 | Rapport du symposium sur les principales maladies transmissibles des poissons en Europe et la lutte contre celles-ci (1973) |
| EIFAC/T17 Suppl.1 | The major communicable fish disease of Europe and North America. A review of national and international measures for their control, by P.E. Thompson,W.A. Dill and G. Moore (1973) |
| CECPI/T17 Suppl.1 | Les principales maladies transmissibles des poissons en Europe et en Amérique du Nord: examen de mesures nationales et internationales sur la lutte contre ces maladies, par P.E. Thompson, W.A. Dill et G. Moore (1973) |
| EIFAC/T17 Suppl.2 | Symposium on the major communicable fish diseases in Europe and their control. Panel reviews and relevant papers (1973) |
| CECPI/T17 Suppl.2 | Symposium sur les principales maladies transmissibles des poissons en Europe et la lutte contre celles-ci: exposés des groupes et communications apparentées (1973) |
| EIFAC/T18 | The role of administrative action as a tool in water pollution control, by G.K. Moore(1973) |
| CECPI/T18 | Le rôle instrumental de l'administration dans la lutte contre la pollution des eaux, par G.K. Moore (1973) |
| EIFAC/T19 | Water quality criteria for European freshwater fish. Report on dissolved oxygen and inland fisheries (1973) |
| CECPI/T19 | Critères de qualité des eaux pour les poissons d'eau douce européens. Rapport sur l'oxygène dissous et les pêches intérieures (1973) |
| EIFAC/T20 | Water quality criteria for European freshwater fish. Report on chlorine and freshwater fish (1973) |
| CECPI/T20 | Critères de qualité des eaux pour les poissons d'eau douce européens. Rapport sur le chlore et les poissons d'eau douce (1973) |
| EIFAC/T21 | Water quality criteria for European freshwater fish. Report on zinc and freshwater fish (1973) |
| CECPI/T21 | Critères de qualité des eaux pour les poissons d'eau douce européens. Rapport sur le zinc et les poissons d'eau douce (1973) |
| EIFAC/T22 | Ecological diagnosis in salmonid streams - Method and Example, by R. Cuinat et al. (1973) |
| CECPI/T22 | Diagnose écologique en cours d'eau à salmonidés. Méthode et exemple, par R. Cuinat et al. (1975) |
| EIFAC/T23 | Report on the Symposium on methodology for the survey, monitoring and appraisal of fishery resources in lakes and large rivers (1974) |
| Rapport du Symposium sur les méthodes de prospection, de surveillance et d'évaluation des ressources ichtyologiques dans les lacs et grands cours d'eau (1974) | |
| EIFAC/T23 Suppl.1 | Symposium on the methodology for the survey, monitoring and appraisal of fishery resources in lakes and large rivers -Panel reviews and relevant papers. Vol. I and II (1975) |
| CECPI/T23 Suppl.1 | Symposium sur les méthodes de prospection, de surveillance et d'évaluation des ressources ichtyologiques dans les lacs et grands cours d'eau - Exposés des groupes et communications apparentées, Vol. I et II (1975) |
| EIFAC/T24 | Report on fish toxicity testing procedures (1975) |
| Rapport sur les tests de toxicité sur les poissons (1976) | |
| EIFAC/T24 (Rev.1) | Revised report on fish toxicity testing procedures (1982) |
| CECPI/T24 (Rév.1) | Rapport révisé sur les tests de toxicité sur les poissons (1983) |
| EIFAC/T25 | Workshop on controlled reproduction of cultivated fishes - Report and relevant papers(1975) |
| Réunion sur la production contrôlée des poissons d'élevage. Rapport et communications apparentées (1975) | |
| EIFAC/T26 | Economic evaluation of sport and commercial fisheries. Report and technical papers (1977) |
| Deuxième consultation européenne sur l'évaluation économique de la pêche sportive et commerciale. Rapport et communications apparentées (1977) | |
| EIFAC/T27 | Water quality criteria for European freshwater fish. Report on copper and freshwater fish (1976) |
| Critères de qualité des eaux pour les poissons d'eau douce européens. Rapport sur le cuivre et les poissons d'eau douce (1976) | |
| EIFAC/T28 | Joint ICES/EIFAC Symposium on eel research and management (Anguilla spp.). Report (1976) |
| Symposium conjoint CIEM/CECPI sur la recherche et l'exploitation des anguilles (Anguilla spp.). Rapport (1976) | |
| EIFAC/T29 | Water quality criteria for European freshwater fish. Report on the effect of zinc and copper pollution on the salmonid fisheries in a river and lake system in central Norway (1977) |
| Critères de qualité des eaux pour les poissons d'eau douce européens. Rapport sur l'effet de la pollution par le zinc et le cuivre sur les pêcheries de salmonidés dans un système fluvio-lacustre du centre de la Norvège (1977) | |
| EIFAC/T30 | Water quality criteria for European freshwater fish. Report on cadmium and freshwater fish (1977) |
| Critères de qualité des eaux pour les poissons d'eau douce européens. Rapport sur le cadmium et les poissons d'eau douce (1977) | |
| EIFAC/T31 | Report of the Symposium on Finfish Nutrition and Feed Technology (1978) |
| CECPI/T31 | Rapport du symposium sur la nutrition des poissons et la technologie de leurs aliments artificiels (1978) |
| EIFAC/T32 | The value and limitations of various approaches to the monitoring of water quality for freshwater fish (1978) |
| CECPI/T32 | La valeur et les limites des diverses méthodes de surveillance biologique de la qualité des eaux pour les poissons d'eau douce (1978) |
| EIFAC/T33 | Guidelines for sampling fish in freshwater (1980) |
| EIFAC/T34 | EIFAC fishing gear intercalibration experiments (1979) |
| CECPI/T34 | Essais CECPI d'interétalonnage des engins de pêche (1979) |
| EIFAC/T35 | Report of the EIFAC workshop on mass rearing of fry and fingerlings of freshwater fishes (1979) |
| CECPI/T35 | Rapport du stage CECPI sur la production massive du frai et des alevins en eau douce (1979) |
| EIFAC/T35 Suppl.I | EIFAC Workshop on mass rearing of fry and fingerlings of freshwater fishes Papers (1979) |
| EIFAC/T36 | Report of the EIFAC/IUNS and ICES working group on standardization of methodology in fish nutrition research (1980) |
| CECPI/T36 | Rapport du groupe de travail de la CECPI, de l'UISN et du CIEM sur la normalisation de la méthodologie dans la recherche sur la nutrition des poissons (1980) |
| EIFAC/T37 | Report on combined effects on freshwater fish and other aquatic life of mixtures of toxicants in water (1980) |
| CECPI/T37 | Rapport sur les effets produits par la combinaison de toxiques dans l'eau sur les poissons d'eau douce et sur d'autres formes de vie aquatique (1981) |
| EIFAC/T38 | Report of the technical consultation on the allocation of fishery resources (1981) |
| CECPI/T38 | Rapport de la Consultation technique sur la répartition des ressources ichtyologiques (1981) |
| EIFAC/T39 | Utilization of heated effluents and recirculation systems for intensive aquaculture (1981) |
| CECPI/T39 | Rapport du Symposium sur les récents développements de l'utilisation des eaux réchauffées et des eaux recyclées en aquaculture intensive (1981) |
| EIFAC/T40 | Problems of fish culture economics with special reference to carp culture in eastern Europe, by M. Leopold (1981) |
| EIFAC/T41 | Report of the EIFAC Workshop on fish-farm effluents, by John S. Alabaster (1982) |
| EIFAC/T42 | Report of the Symposium on stock enhancement in the management of freshwater fisheries (1982) |
| CECPI/T42 | Rapport du Symposium sur l'amélioration des stocks dans le cadre de l'aménagement des pêcheries d'eau douce (1983) |
| EIFAC/CECPI/T42(Suppl.) | Documents presented at the Symposium on stock enhancement in the management of freshwater fisheries, Volume 1: Stocking, Volume 2: Introductions and Transplantations (1984) |
| Documents presentés au Symposium sur l'amélioration des stocks dans de cadre de l'aménagement des pêcheries d'eau douce, Volume 1: Repeuplement, Volume 2:Introductions et transplantations (1984) | |
| EIFAC/T43 | Water quality criteria for European freshwater fish. Report on chromium and freshwater fish (1983) |
| CECPI/T43 | Critères de qualité des eaux pour les poissons d'eau douce européens. Rapport sur le chrome et les poissons d'eau douce (1983) |