A.S. Churchward, P. Hickley and E. North
Severn-Trent Water Authority
Malvern, Worcestershire, England
ABSTRACT
The barbel (Barbus barbus L.) were introduced into the River Severn, the longest river in Great Britain, in order to improve sport for anglers. From an initial stocking of only 509 fish in 1956, the barbel has become the predominant species in the 75 km-long middle reach of the river, whilst sparser populations exist throughout the whole system.
The biology of the barbel is discussed with particular reference to an observed decline in relative growth rate.
The present status of the barbel as a sport fish, and how its importance in catches varies with river temperatures is assessed from analysis of angling returns. Results, based on a Relative Importance Value, show that the barbel now dominates fish catches in the middle reach of the river and is steadily increasing in importance elsewhere. Implications are that the barbel does not have a deleterious effect on resident populations of other fish but behaves as a supplementary species.
RESUME
Le barbeau (Barbus barbus L.) a été introduit dans la Severn, le plus long fleuve de Grande-Bretagne, pour améliorer la pêche sportive. La première introduction remonte à 1956; elle ne portait que sur 509 individus. Aujourd'hui, le barbeau est l'espèce dominante du cours moyen (75 km de long) et il est présent, mais à des densités plus faibles, dans l'ensemble du réseau.
La colonisation du fleuve est examinée sous l'angle de la structure, de la densité et des mouvements des populations; l'auteur fournit également des données de base sur la croissance et sur l'écologie de la reproduction.
A partir de l'analyse des captures, l'auteur évalue la situation actuelle du barbeau en tant que poisson de pêche sportive et montre comment son importance dans les prises varie en fonction de la température des eaux. L'examen de l'importance relative des poissons pêchés dans la Severn montre que le barbeau est l'espèce dominante sur le cours moyen et qu'il ne cesse de gagner en importance dans le reste du fleuve. L'auteur conclut que le barbeau n'a pas d'effets néfastes sur les autres populations de poissons auxquels il ne fait que s'ajouter.
The River Severn is the longest river in Great Britain, measuring 354 km from its source in the Welsh hills to its estuary within the Bristol Channel. It drains a basin of approximately 11 500 km2. Fig. 1 indicates the position of the basin together with a map of the river. Below point BZ1, the river is impounded. The long-term mean flow at Bewdley is 5 300 M1/d.
As the Severn is of high water quality throughout its length, it supports almost every kind of freshwater fish found in the British Isles including salmon (Salmo salar), trout (Salmo trutta), grayling (Thymallus thymallus), chub (Leuciscus cephalus), dace (Leuciscus leuciscus), roach (Rutilus rutilus), bream (Abramis brama), pike (Esox lucius), barbel (Barbus barbus) and perch (Perca fluviatilis).
The barbel population in the Severn derives entirely from a stock of 509 fish from the River Kennet, England, introduced in September 1956 between Shrewsbury and Bewdley in a reach noted principally as a chub and dace fishery (see Fig. 1). An additional introduction of 102 barbel from the River Swale, Yorkshire, was made to the River Avon in 1964. Both barbel and chub populations are heavily infested with the acanthocephalan Pomphorhynchus laevis.
Fishing for freshwater fish is very popular, particularly between Bewdley and Bridgnorth with thousands of anglers using the river during the season.
Hunt and Jones (1974a, b; 1975) and Hancock (1976) used back calculated lengths to study the seasonal and life growth patterns of Severn barbel between 1961 and 1975. A reappraisal of their data has been made in order to assess the change in relative growth rate between 1963 and 1975 taking female barbel as the example. Relative growth rates given in Table 1 were derived using the method of Kempe (1962) as interpreted by Hickley (1980). The very clear trend of declining relative growth rates is evident and may be associated with substantial increases in density of the species following their introduction in 1956.
Both Hunt and Jones (1974b) and Hancock (1976) studied the movements of barbel in the Severn. From their recapture data Hunt and Jones suggest two discrete components of the population, one static and the other mobile.
Hancock, who continued the mark-recapture work but used different analysis techniques confirmed the two components of the population and convincingly suggested a home range of only 2 km for the static component. Both groups of workers present evidence indicating that the mobile populations are composed of larger individuals and that the main movements occur in the spawning period of May–July with a maximum recorded upstream movement of 40 km. 0+ barbel fry were found predominantly in the extensive gravel reaches between Ironbridge and Shrewsbury (Sites S1 to S4, Fig. 1) well upstream of the principal home ranges of the adults (Sites S5 to S8, Fig. 1).
From his studies on the reproductive biology of Severn barbel, Hancock (1976) infers that spawning is likely to occur once river temperatures rise to 14°C and that it is temperature rather than day length or flow that controls its onset. Laboratory experiments showed that temperature significantly affected egg survival with an optimum range between 12°C to 16°C and zero survival at 8°C and 22°C. Minimal larval abnormalities were recorded between 13° and 16°C.
Barbel first featured in catches in 1958, two years after their release in the river. There was then a steady increase in the number of reports received and by 1965 it seems that barbel were appearing regularly in catches taken between Shrewsbury and Worcester, with most fish being caught between Bridgnorth and Bewdley (Fig. 1). The first incidence of a fishing contest winner having an all barbel catch followed two years later in 1967. In the same year angler interest in the species started to improve after two anglers publicised their catching of over 300 barbel in six months. In 1970, barbel were deemed to be the most important species for many stretches of river with contest winners on the middle reach of the river usually having barbel-dominated catches.
The fish continued to spread throughout the catchment with reports of captures in the last five years in all the major tributaries including the Teme, Vyrnwy, Banwy, Tanat and Avon (Fig. 1).
An angling census commenced in 1975, and data from six fishing seasons have been processed. Catches of coarse fish made during fishing competitions held in three river sections, spaced between Shrewsbury and Tewkesbury (Fig. 1), were monitored by a postal questionnaire system (North, 1980). Sections A and B are in the predicted barbel reach of the river whereas Section C is outside it.
A comparison of river temperature and catchability (percentage of anglers catching any species of fish) shows a remarkable correlation with a statistically valid parabolic regression (North, 1980). Barbel are particularly sensitive to temperature and virtually disappear from anglers catches below 8°C.
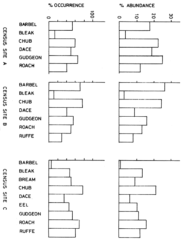
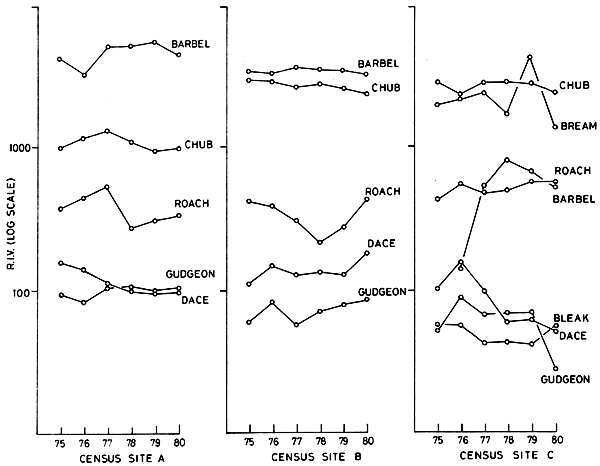
A measure of relative abundance of the various species was derived using a points system whereby, for each contest result, individual species were awarded 3, 2 or 1 point in relation to their observed contribution to the catch. Percentage Abundance of a species was then the sum of its awarded points expressed as a percentage of the sum for all species combined. Percentage Occurrence of a species was calculated as the percentage number of competitions in which that species was caught. Histograms for these abundance and occurrence values are given in Fig. 2. Mean weights for different fish in the three river sections were determined from field measurements and then converted to relative weights by dividing the mean weights of the different species by that of the smallest species.
This data was then used to calculate a Relative Importance Value (Hickley and North, 1981) for each type of fish where:
RIV = (% Abundance + % Occurrence) × Relative Weight
The RIV results are plotted in Fig. 3, and show how catch composition varied during the six fishing seasons monitored so far. It is clear that at sites A and B barbel are predominant and can readily be considered to be the most important species in this part of the River Severn. Even at site C barbel are starting to make an important overall contribution to catches although actual abundance is low at present (Fig. 3).
Clearly the barbel, stocked to improve anglers' sport, has successfully established itself in a vacant niche in the Severn Basin but its range is still expanding 25 years after its introduction in 1956. It has not, however, expanded in the same way in the River Avon due mainly to the impounded nature of most of the river and the comparatively short stretch of spawning gravel. Its success on the Severn is due to the physical compatibility of the habitat with the species requirements, in terms of temperature tolerance, spawning facilities and bed gradient.
Before the introduction of barbel, chub was the dominant species in anglers' catches, but it is believed that the barbel has not competed with it in any way and may be considered a bonus to anglers rather than a substitute. The fact that Relative Importance Values for the Mid Severn for chub and barbel have remained static, supports this.
The success of the barbel was not foreseen and it is fortunate that it has proved to be an additional species without detrimental effects.
Hancock, R.S., 1976 Aspects of the reproductive ecology of the barbel Barbus barbus in the Rivers Severn and Hull. Ph.D. Thesis. Liverpool University
Hickley, P., 1980 An ecological investigation of benthic invertebrates and fish in a small lowland river. Ph.D. Thesis. Chelsea College, London University
Hickley, P. and E. North, 1981 An appraisal of anglers' catch composition in the barbel reach of the River Severn. In Proceedings of the Second British Freshwater Fish Conference. University of Liverpool, pp. 94–100
Huet, M., 1949 Apercu des relations entre la pente et les populations piscicoles des eaux courantes. Schweiz.Z.Hydrol., 11:333–51
Hunt, P.C. and J.W. Jones, 1974 A population study of Barbus barbus L. in the River Severn, England. 1. Density. J.Fish Biol., 6:255–67
Hunt, P.C., 1974a A population study of Barbus barbus L. in the River Severn, England. 2. Movement. J.Fish Biol., 6:269–78
Hunt, P.C., 1975 A population study of Barbus barbus L. in the River Severn, England. 3. Growth. J.Fish Biol., 7:361–76
Kempe, O., 1962 The growth of roach (Leusiscus rutilus L.) in some Swedish lakes. Rep.Inst.Freshwat.Res., Drottningholm, (44):142–204
North, E., 1980 The effects of water temperature and flow upon angling success in the River Severn. Fish.Manage, 11(1):1–9
Table 1 Relative growth rates of female barbel (Barbus barbus) during the years 1963–75 where a value of 100 is the standard (0 group excluded)
| Season of growth | Relative growth rate |
| 1963 | 167 |
| 1964 | 196 |
| 1965 | 189 |
| 1966 | 157 |
| 1967 | 148 |
| 1968 | 147 |
| 1969 | 122 |
| 1970 | 116 |
| 1971 | 102 |
| 1972 | 91 |
| 1973 | 105 |
| 1974 | 115 |
| 1975 | 95 |

Fig. 1 Map of the Severn Basin showing barbel distribution, initial sites of introduction, and angling
census sites

Fig. 2 Percentage abundance and occurrence of major species in the three angling census sites, R. Severn

Fig. 3 Relative Importance Values 1975–80