| Cyangugu | (Cya)* | le lieu de pêche dans l'extrême Sud des eaux rwandaises - Centre de pêche | |
| Kamembe | (Kmb) | à 1,5 km au Nord de Cyangugu | territoire rwandais |
| Kinini | (Kin) | à 1,5 km " " " | |
| Rutaba | (Rtb) | à 3,0 km " " " | |
| Muhali | (Mhl) | à 4,0 km " " " | |
| Reba (île) | (Re) | à 4,5 km " " " | |
| Gihaya (île) | (Gih) | à 5,0 km " " " | |
| Rusunyu | (Rus) | à 6,0 km " " " | |
| Kazimbi (île) | (Kaz) | à 7,0 km " " " | |
| Nkombo (île) | (Nko) | à 9,0 km " " " | |
| Kabutembo | (Kab) | à 9,5 km " " " | |
| Mwito | (Mw) | à 16,5km " " " | |
| Mukoma | (Mk) | à 18,0km " " " | |
| Kinyabarangi | (Kbg) | à 7,0 km à l'Ouest de Cyangugu | territoire zaïrois |
| Budoke | (Bud) | à 8,0 km " " " | |
| Bralima | (Brm) | à 9,5 km à l'Ouest de Cyangugu | |
| Gakoma | (Gak) | à 10,0km " " " | |
| Honga | (Ho) | à 11,0km " " " | |
| Muhumba | (Muh) | à 12,0km " " " | |
| Kamarali | (Kam) | à 13,0km " " " | |
| Rundazi | (Rdz) | à 13,5 km " " " | |
| Kumana (Bindia île) | (Kum) | à 15,0 km " " " | |
Les distances indiquées sont mesurées à vol d'oiseau à partir de Cyangugu même comme point de référence. | |||
* Les abréviations utilisées pour lieux de pêche sont indiquées entre parenthèses

FIG. 1 : Carte du lac Kivu montrant la trajectoire des radiales des prospections en mars et juin 1985.

FIG. 2 : Carte du lac Kivu montrant la trajectoire des radiales des prospections en septembre 1986 et mars 1987 et l'emplacement des stations limnologiques.



FIG. 3 : Echogrammes typiques correspondant aux catégories subjectives d'abondance (a) A, (b) B, (c) C.

FIG. 4: Carte du lac Kivu montrant les différents secteurs géographiques et la localisation des centres de pêche.

Température moyenne

(Source : Bulletin Climatologique 1985 et 1986).
FIG. 5 : La variation de la pluviosité et la température moyenne à Gisenyi en 1985 et 1986.
![]() | ![]() | ![]() |
![]() | ![]() | ![]() |
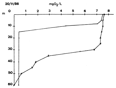
FIG. 6 : Profile de la concentration d'oxygène dissous et de la température en fonction de la profondeur en mars 1987 dans différents secteurs du lac Kivu.
![]() | ![]() |
![]() | ![]() |
FIG. 7 : Comparaison des profiles des paramètres physico-chimiques en fonction de la profondeur, dans la baie de Kabuno et dans le Bassin Nord devant la baie de Kabuno en mars 1987.


FIG. 8 : Limite inférieure de l'oxygène au lac Kivu. Les variations de la transparence de l'eau au cours d'un cycle annuel.
(D'après Verbeke, 1954).


FIG. 9 : Variation de la quantité de zooplancton au cours d'un
cycle annuel.
Variation de la quantité de Copépodes et de Cladocères
dans le zooplancton au cours d'un cycle annuel.
(D'après Verbeke, 1954).

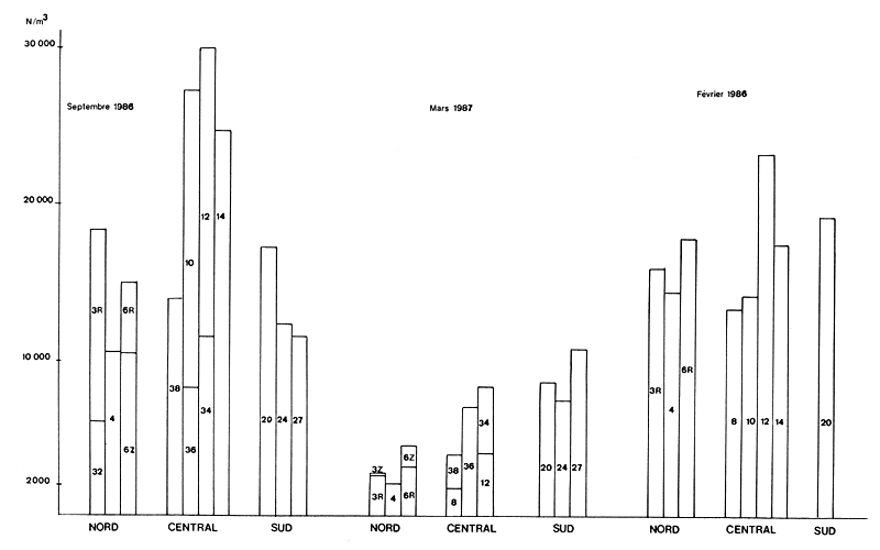
FIG. 10 : Densité de zooplancton (N/m3) à chaque station, les stations groupées par secteur géographique.

FIG. 11 : Evolution de la proportion d'individus en stade de maturité III, IV et V au cours de 2 cycles annuels 1985–1987.

FIG. 12 : Evolution de la proportion d'individus mûrs au cours d'un cycle annuel 1980
(D'après Spliethoff et De Iongh 1981).

FIG. 13 : Variations mensuelles dans le rapport des sexes au cours de 2 cycles annuels.

FIG. 14 : Relation longueur-poids (conversion linéaire logarithme de la longueur/logarithme du poids) pour la période mars 1985 à février 1986.

FIG. 15 : Relation longueur-poids (conversion linéaire logarithme de la longueur/logarithme du poids) pour la période mars 1986 à février 1987.

FIG. 16 : Variations mensuelles du coefficient de condition de 3 groupes de taille d'adultes au cours de 2 cycles annuels (1985–1987).

FIG. 17 : Variations du pourcentage mensuel d'individus remplis de tissus adipeux.

FIG. 18 : Distribution de la taille de poissons maigres.

FIG. 19 : Pourcentage de poissons maigres au cours de 2 cycles annuels 1985–1987.




FIG. 20 : Pourcentage de poissons capturés par intervalle de 2 heures, au cours d'un cycle de 24 heures.

FIG. 21 : Evolution du cannibalisme au cours de la période de Mars 1985 – Avril 1986
(D'après Mutamba, 1987)

FIG. 22: Evolution de la fréquence de proie en fonction de la taille du prédateur
(D'après Mutamba, 1987)

FIG. 23 : Echogramme montrant la configuration de 3 couches distinctes de poissons (Novembre 1984).

FIG. 24 : Echogramme montrant les 2 couches supérieures qui se confondent et la bande dense et étroite inférieure restant séparée (Novembre 1984).

FIG. 25 : Echogramme montrant une stratification en 2 couches avec les bancs élongés dans la couche supérieure et les bancs irréguliers en profondeur (Septembre 1986).

FIG. 26 a : Echogramme montrant le début de la dispersion en bancs peu cohérents durant des conditions de mauvais temps (stries à la surface) (Mars 1987).

FIG. 26 b : Echogramme montrant des bancs peu cohérents (Février 1986).

FIG. 27 : Echogramme montrant l'occurence de la configuration verticale en zone littorale (Mars 1987).

FIG. 28 : Echogramme montrant la distribution particulière dans la baie de Kabuno -stries en dessous de 10 m sont des émanations de gaz - (Novembre 1986).

FIG. 29 a : Echogramme montrant la distribution de nuit - configuration dispersée- à la pleine lune.

FIG. 29 b : Echogramme montrant la distribution de nuit - configuration dispersée- à la nouvelle lune.

FIG. 29 c : Echogramme montrant la distribution de nuit - configuration dispersée- au dernier quartier.

FIG. 29 d : Echogramme montrant la distribution de nuit - configuration dispersée- au premier quartier.

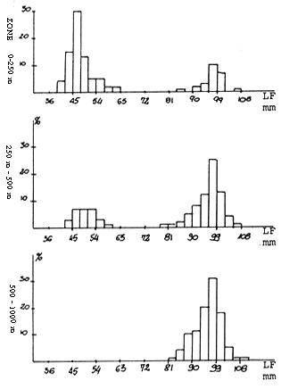
FIG. 30 : Distribution de longueur des captures à différentes distances de la côte, (a) 5m, (b) 50m, (c) 250m et (d) 1000m.
(D'après Spliethoff et De Iongh, 1981).

FIG. 31 : Distribution de longueur dans la frange littorale (0–250m) -moyenne de mars 1985-avril 1986.
(D'après Mutamba, 1987).
![]() | ![]() | ![]() |
| DECEMBRE 85 | JANVIER 86 | FEVRIER 86 |
![]() | ![]() | ![]() |
| MARS 86 | AVRIL 86 | MAI 86 |
JUIN 86
FIG. 32 : La structure de taille des captures en zone littorale, intermédiaire et pélagique au cours de la période de décembre à juin 1986.

FIG. 33 : La zone de pêche de Gisenyi avec ses différents lieux de pêche.

FIG. 34 : La zone de pêche de Kibuye avec ses différents lieux de pêche.

FIG. 35 : La zone de pêche de Cyangugu avec ses différents lieux de pêche.

FIG. 36 : Variation de la PUE mensuelle (%) au cours d'un cycle annuel pour la zone de Gisenyi (moyenne pour 1980–1986), de Kibuye (moyenne pour 1981–1986) et Cyangugu (moyenne pour 1985–1986).
GISENYI
| 17 MAR 1985 time : 1985.20822 Total sample size : 996 Max freq. : 113 | 16 JUL 1985 time : 1985.53973 Total sample size : 605 Max freq. : 141 |
![]() | ![]() |
| 16 APR 1985 time : 1985.29041 Total sample size : 860 Max freq. : 204 | 1985 time : 1985.62904 18 AUG size : 300 Max freq. : 193 Total sample |
![]() | ![]() |
| 18 MAY 1985 time : 1985.37877 Total sample size : 1188 Max freq. : 81 | 17 SEP 1985 time : 1985.71302 Total sample size : 582 Max freq. : 139 |
![]() | ![]() |
| 16 JUN 1985 time : 1985.45799 Total sample size : 538 Max freq. : 162 | 17 OCT 1985 time : 1985.79384 Total sample size : 423 Max freq. : 119 |
![]() | ![]() |
| 15 NOV 1985 time : 1985.87397 Total sample size : 668 Max freq. : 120 | 17 MAR 1986 time : 1986.20822 Total sample size : 553 Max freq. : 105 |
![]() | ![]() |
| 16 DEC 1985 time : 1985.95982 Total sample size : 1600 Max freq. : 383 | 8 APR 1986 time : 1986.26849 Total sample size : 416 Max freq. : 105 |
![]() | ![]() |
| 17 JAN 1986 time : 1986.04749 Total sample size : 1505 Max freq. : 270 | 11 MAY 1986 time : 1986.35891 Total sample size : 456 Max freq. : 151 |
![]() | ![]() |
| 15 FEB 1986 time : 1986.12603 Total sample size : 1099 Max freq. : 177 | 11 JUN 1986 time : 1986.44521 Total sample size : 957 Max freq. : 167 |
![]() | ![]() |
| 14 JUL 1986 time : 1986.53288 Total sample size : 700 Max freq. : 160 | 2 NOV 1986 time : 1986.83835 Total sample size : 550 Max freq. : 89 |
![]() | ![]() |
| 10 AUG 1986 time : 1986.60731 Total sample size : 1000 Max freq. : 209 | 17 DEC 1986 time : 1986.96165 Total sample size : 600 Max freq. : 143 |
![]() | ![]() |
| 6 SEP 1986 time : 1986.68356 Total sample size : 600 Max freq. : 88 | 18 JAN 1987 time : 1987.0484 Total sample size : 900 Max freq. : 160 |
![]() | ![]() |
| 8 OCT 1986 time : 1986.7685 Total sample size : 599 Max freq. : 70 | 19 FEB 1987 time : 1987.13699 Total sample size : 300 Max freq. : 72 |
![]() | ![]() |
KIBUYE
| limnothrissa miodon Kibuye march 85 – June 86 | |
| 23 MAR 1985 time : 1985.22466 Total sample size : 210 Max freq. : 52 | 15 AUG 1985 time : 1985.62192 Total sample size : 80 Max freq. : 28 |
![]() | ![]() |
| 24 JUN 1985 time : 1985.47945 Total sample size : 180 Max freq. : 53 | 9 JAN 1986 time : 1986.02466 Total sample size : 82 Max freq. : 12 |
![]() | ![]() |
| 27 JUL 1985 time : 1985.56986 Total sample size : 100 Max freq. : 40 | 11 FEB 1986 time : 1986.11507 Total sample size : 101 Max freq. : 28 |
![]() | ![]() |
17 MAR 1986 time : 1986.20822
Total sample size : 200 Max freq. : 25

18 APR 1986 time : 1986.29589
Total sample size : 108 Max freq. : 38

11 JUN 1986 time : 1986.44384
Total sample size : 100 Max freq. : 37

FIG. 37 : La structure de taille des captures de la pêche artisanale au cours de la période de mars 1985 à février 1987 dans la zone de Gisenyi et de mars 1985 à juin 1986 dans la zone de Kibuye.


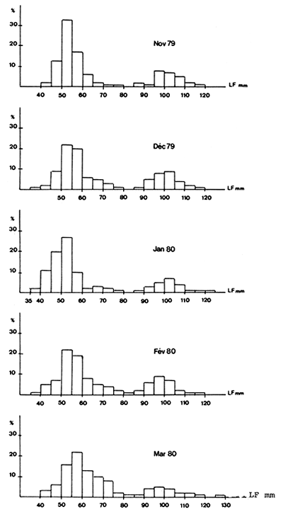
FIG. 38 : La structure de taille des captures de la pêche artisanale pour la période de novembre 1979 à septembre 1980.
(D'après Mahy 1980)
| Filet maillant | Senne tournante | Pêche artisanalé |
![]() | ![]() | ![]() |
![]() | ![]() | ![]() |
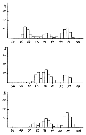
FIG. 39 : Comparaison de la structure de taille des captures de différents engins de pêche.

FIG. 40 : - Carte du lac Kivu montrant la distribution des abondances relatives en trois catégories subjectives d'abondance
En Novembre 1984 d'après Johannesson

FIG. 41 : Carte du lac Kivu montrant la distribution des abondances relatives en trois catégories subjectives d'abondance en mars (avril) 1985.

FIG. 42 : Carte du lac Kivu montrant la distribution des abondances relatives en trois catégories subjectives d'abondance en juin 1985.

FIG. 43 : Carte du lac Kivu montrant la distribution des abondances relatives en trois catégories subjectives d'abondance en septembre 1986.

FIG. 44 : Carte du lac Kivu montrant la distribution des abondances relatives en trois catégories subjectives d'abondance en mars 1987.