After the proteins and lipids, the carbohydrates represent the third most abundant group of organic compounds in the animal body. By contrast, carbohydrates constitute the major class of organic nutrients within plant tissues. The carbohydrate group includes such important compounds as glucose, fructose, sucrose, lactose, starch, glycogen, chitin, and cellulose.
Carbohydrates are usually defined as substances containing carbon, hydrogen and oxygen, with the last two elements being present in the same ratio as in water (ie. Cx(H2O)y ). Although this definition is satisfactory for the majority of compounds present within this group, a few carbohydrates contain a lower proportion of oxygen than that in water or exist as carbohydrate derivatives which may contain nitrogen and sulphur.
The carbohydrates can be divided into two major groups according to their chemical structure; the sugars and non-sugars (Table 8). The simplest sugars are called monosaccharides, and these inturn can be divided into five sub-groups depending on the number of carbon atoms present in the molecule: Trioses (C3H6O3), Tetroses (C4H8O4), Pentoses (C5H10O5), and Hexoses (C6H12O6) These monosaccharides may also inturn be linked together (with the elimination of water) to form di, tri or polysaccharides containing two, three or more monosaccharide units or residues respectively. Here the term ‘sugar’ is restricted to those carbohydrates containing less than 10 monosaccharide units. Non-sugars are therefore carbohydrates which contain more than 10 monosaccharide units and which do not possess a sweet taste. The non-sugars can be divided into two sub-groups, homopolysaccharides and heteropolysaccharides; the former consisting of identical monosaccharide units and the latter of mixtures of different monosaccharide units.
In general all monosaccharides are soluble in water, sparingly soluble in ethanol and insoluble in ether, are optically active, possess reducing properties (ie. reduce Fehling's solution), can be represented by the general formula CxH2xOx, and generally possess a sweet taste.
The chain formula of some of the more common monosaccharides can be represented thus;
| Triose (C3H6O3) | Pentose (C5H10O5) | Hexose (C6H12O6) | Hexose (C6H12O6) |
![]() | ![]() | ![]() | ![]() |
| D(+)-glyceraldehyde | D(+)-ribose | D(+)-glucose | D(+)-galactose |
Table 8. Carbohydrate classification

| Hexose (C6H12O6) | Hexose (C6H12O6) |
![]() | ![]() |
| D(+)-mannose | D(-)-fructose |
Within the structural formulae presented ‘D’ represents the configuration or direction of the hydroxyl group (OH) on the carbon atom next to the last carbon from the functional or aldehyde group. For example, in the case of D(+)-glyceraldehyde and D(+)-glucose the hydroxyl group on the penultimate carbon atom (ie. C2 and C5 respectively) is on the right when the aldehyde group (CHO) is at the top of the formula. Similarly, the symbol (+) or (-) denotes the direction of optical rotation observed when a solution of that sugar is placed in a polarimeter; dextro-rotatory (clockwise direction, +) or laevorotatory (anti-clockwise direction, -). Virtually all naturally occuring monosaccharides are members of the D series of sugars, the configuration around the penultimate carbon atom being the same as that in D-glyceraldehyde. In addition, all naturally occuring monosaccharides are dextro-rotatory, with the exception of fructose and erythrose.
There is considerable evidence to suggest that monosaccharides may also exist in a ring or cyclic molecular form. For example, two cyclic forms of D-glucose are known to occur in nature; α-D-glucose and β-D-glucose. As with the chain formulae, the difference between these two cyclic forms depends upon the configuration or direction of the hydroxyl group on carbon atom 1.
![]() | ![]() |
| α-D-glucose | β-D-glucose |
The biological importance of the structural difference between α and β -D-glucose must be stressed here; the structural configuration determining the physical and subsequent biological properties of polysaccharides composed of individual monosaccharide units. For example, the polysaccharide cellulose is composed of insoluble zig-zag chains of β-glucose units, whereas the polysaccharides starch and glycogen are composed of more biological reactive helical or branched chains of α-glucose units.
It should be mentioned at this stage that monosaccharides are seldom directly involved in biochemical reactions within the cell, but are first transformed into appropriate monosaccharide derivatives. Important monosaccharide derivatives include the sugar phosphate esters (D-glucose-6-phosphate, D-glucose-1-phosphate, D-fructose-6-phosphate, and phosphate diesters), amino sugars (D-glucosamine), sugar acids (gluconic acid, glucuronic acid) and sugar alcohols (sorbitol).
![]() | ![]() | ![]() |
| D-glucose-6-phosphate | β-glucuronic acid | α-D-glucosamine |
Pentoses
Important pentose monosaccharides include L-arabinose, D-xylose and D-ribose. From a nutritional viewpoint the most important pentose is D-ribose and its derivatives D-deoxyribose and ribitol. For example, D-ribose and D-deoxyribose are essential components of ribonucleic acid (RNA) and deoxyribose nucleic acid (DNA) respectively, and ribitol an essential component of the vitamin riboflavin.
![]() | ![]() |
| α-D-ribose | α-D-deoxyribose |
Hexoses
Glucose: occurs in its free form in plant tissues, fruits, honey and blood. In most natural foodstuffs glucose is present in a combined form, either as the sole monosaccharide component of disaccharides (ie. maltose) and polysaccharides (ie. starch, glycogen, cellulose), or combined with other monosaccharides in the form of lactose (milk sugar), sucrose and heteropolysaccharides. Glucose is fermented by yeast during the manufacture of beers and wine to yield alcohol and carbon dioxide. Similarly, as fruit ripen their free sugar or glucose content normally increases and starch content decreases accordingly.
Fructose: like glucose, fructose is found in its free state in plant juices, fruit and honey. It is a componet of the disaccharide sucrose, and is the sweetest sugar known in nature (ie. it is responsible for the exceptional sweet taste of honey).
Galactose: although galactose does not occur in its free state in nature, it exists as a component of the disaccharide lactose and many polysaccharides, including galactolipids, gums, and mucilages.
Disaccharides are composed of two hexose sugars joined together with the elimination of water, thus;
C6H12O6 + C6H12O6 = C12H22O12 + H2O
The most important naturally occuring disaccharides are maltose, sucrose and lactose.
Maltose: is composed of two molecules of glucose joined together through a α-1,4-glycoside linkage. Maltose is a reducing sugar and is soluble in water.

Maltose is not found in nature to any extent but is a product obtained during the enzymatic degradation of starch. For example, maltose is produced from starch during the germination of barley by the action of the enzyme amylase; after germination and drying the barley (or ‘malt’ as it is now called) is used in the manufacture of beer and malt whisky.
Sucrose: is composed of one molecule of glucose and fructose joined together through aα-1, β-2-glycoside linkage. Since both functional reducing groups are involved in the glycoside linkage, sucrose does not possess reducing properties.

Sucrose is widely distributed in nature and occurs in most plants; rich sources of sucrose include sugar cane (20% sucrose), sugar beet (15–20%), mangolds and carrots. Sucrose is the sugar of familiar use in the domestic household. When sucrose is heated to a temperature of 160°C it forms barley sugar, and at 200°C forms caramel. Beet or cane molasses are agricultural by-products obtained from the manufacture of sucrose from sugar beets or sugar cane respectively. Molasses are dark coloured, viscous liquids (20–30% moisture), from which no further sucrose can be separated by usual crystallization procedures because of the presence of appreciable quantities of reducing sugars (ie. glucose) and non-sugar impurities.
Lactose: is composed of one molecule of glucose and galactose joined together by an β-1,4-glycoside linkage. Like maltose it has reducing properties. Lactose, or milk sugar, is the principal sugar found in milk and is unique to mammals. It forms about 40% of the total milk solids; the total lactose content of cows milk and human milk being 4.6–4.8% and 7% respectively. Lactose readily undergoes bacterial fermentation; for example the souring of milk by Streptococcus lactis by the fermentation of lactose to lactic acid. Like sucrose, if lactose is heated to a temperature of 175°C it forms lactocaramel.

These carbohydrates are very different from the sugars. They have a high molecular weight and are composed of large numbers of hexose or to a lesser extent pentose residues. Many of them occur in plants or animals as a reserve food material (ie. starch or glycogen) or as structural materials (ie. cellulose or chitin).
Starch: is composed of two structural components, amylose and amylopectin. Although the relative proportions of amylose and amylopectin within plant starches varies depending on the species (20–30% amylose and 70–80% amylopectin), the fundamental unit of these two structural components is α-D-glucose. For example, amylose consists of long unbranched chains of 100 or more D-glucose units joined together by α-1,4 linkages. On the otherhand, amylopectin is composed of highly branched chains of D-glucose units (20–30 units per branch); the units being joined together by α-1,4 linkages and also α-1,6 linkages (the α-1,6 glycoside linkages used only at the beginning of a side chain).
Starch is the depot form of sugar or glucose in plants; it occurs in stems, fruits, seeds, roots or leaves, forming the greatest carbohydrate food reserve of plants and consequently constitutes the largest carbohydrate component of animal feeds. For example, starch may account for up to 70% by weight of seeds and up to 30% of fruit, tubers, or roots. Starch is stored within plants in the form of granules, the size and shape of which varies from species to species. Each granule is surrounded by a thin layer of cellulose which render them insoluble in water and undigestible in their raw or uncooked form by non-ruminant animals including fish and shrimp. Cooking, by heating in the presence of moisture will however facilitate the rupture of the cellulose membrane, resulting in the absorption of water by the starch within, which in the presence of heat will result in the gelatinization of the starch forming a gelatinous solution or paste. When starch is subjected to dry heat, dextrin is formed; dextrin being an intermediate degradation product of starch in the sequence starch → dextrin → maltose → glucose. For example, starch in bread is converted to dextrin when toasted, the dextrin giving toast its characteristic taste.
Glycogen: is composed of branched chains of α-D-glucose units joined together by α -1,4 linkages and α -1,6 linkages; the latter being more numerous in glycogen (as compared with amylopectin) due to the presence of more and shorter branches of 10–20 glucose units. Glycogen is the form in which carbohydrate is stored within the animal body; being particularly concentrated in the liver and muscle.
Cellulose: is composed of very long chains of D-glucose units joined together by β-1,4 linkages. It is a very stable polysaccharide and is the most abundant carbohydrate in nature; forming the fundamental structure of the plant cell wall. Cellulose has great tensile strength and is resistant to chemical attack. Although cellulose can be hydrolysed by strong acid treatment, with the exception of micro-organisms, few non-ruminant animals have the necessary endogenous enzymes (ie. cellulases) capable of hydrolysing and digesting cellulose. Forexample, the cellulase enzymes which are capable of attacking cellulose are only found in germinating seeds, fungi and bacteria (ie. such as those present in the digestive tract of ruminants). An example of a nearly pure form of cellulose is cotton.
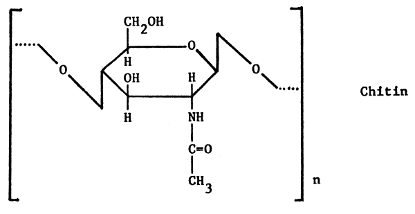
Chitin: is composed of repeating units of N-acetyl-D-glucosamine joined together by β -1,4 linkages and is therefore similar in structure to cellulose.

Chitin is the major structural component of the cuticle of insects and the exoskeleton of crustaceans.
In contrast to the homopolysaccharides, the heteropolysaccharides consist of high molecular weight mixtures of different monosaccharide units.
Hemicellulose: is composed principally of xylose units linked together by β -1,4 linkages, but may also contain hexoses and sugar acids (ie. uronic acid). These polysaccharides normally accompany cellulose in the leafy and woody structure of higher plants and seeds. They are insoluble in water and like cellulose are not easily digested by non-ruminant animals.
Gums: are constituents of plant wounds and are very complex compounds; on hydrolysis yielding a variety of monosaccharide and sugar acids. An example of a gum is gum arabic (acacia gum).
Mucilages: complex carbohydrates present in certain plants and seeds. Many algae, and especially seaweeds, yield mucilages which are soluble in hot water and which form a gel on cooling. Agar, a sulphuric acid polymer of galactose, is a widely used mucilage or gel obtained from red seaweeds (Gelidium family). Other examples include alginic acid derived from brown seaweeds (Laminaria family).
Pectic substances: complex carbohydrates which contain D-galacto-uronic acid as the main constituent. They occur mainly in the primary cell wall and intercellular layers of land plants, and are particularly abundant in citrus fruit, sugar beet, apples, and some root vegetables (ie. turnips). As with mucilages, pectic acids have strong gelling properties and are often used in the preparation of jams.
Mucopolysaccharides: complex carbohydrates which contain amino sugars and uronic acids, and constitute the mucous secretions of animals. They are acidic in nature and may be rich in sulphate ester groups; important mucopolysaccharides include chondroitin sulphate (present in cartilage, bone, heart valves, tendons and the cornea of the eye), heparin (anti-coagulant present in blood vessels, liver, lung, and spleen), and hyaluronic acid (viscous lubricating fluid present in the skin, vitreous humour of the eye, the synovial fluid of joints, and the umbilical cord of mammals). Finally, mucopolysaccharides constitute the principal component of the cell wall of many bacteria; the mucopolysaccharide cell wall consisting of alternating units of N-acetyl-muramic acid and N-acetyl-glucosamine linked to short peptide chains.
Carbohydrates are synthesized in all green plants by a process called photosynthesis, which can be represented thus;
| 6CO2 + 6H2O + | Light | → C6H12O6 + 6O2 |
| (673 kcal) |
Within man and terrestrial farm animals dietary carbohydrates serve as the principal source of metabolic energy (ATP). This reaction can be represented as;
C6H12O6 + 6O2 → 6CO2 + 6H2O + 38 ATP1
In fish and shrimp no absolute dietary requirement for carbohydrate has been established to date. This contrasts markedly with that of dietary protein and lipid, where specific dietary requirements have been established for certain essential amino acids and fatty acids. To a large extent this has been due:
The carnivorous/omnivorous feeding habit of the majority of farmed fish and and shrimp species.
The ability of fish and shrimp to synthesize carbohydrates (ie. glucose) from non-carbohydrate substrates such as protein and lipid (a process called gluconeogenesis).
The ability of fish and shrimp to satisfy their dietary energy requirements through protein and lipid catabolism alone if so required.
However, despite the apparent absence of a dietary requirement for carbohydrate in fish or shrimp, there is no doubt that carbohydrates perform many important biological functions within the animal body. For example; glucose, the end product of carbohydrate digestion in animals, serves as the major energy source of brain and nervous tissue, and as a metabolic intermediate for the synthesis of many biologically important compounds, including the chitin exoskeleton of crustacea, the nucleic acids RNA and DNA, and the mucopolysaccharide mucous secretions.
Although carbohydrates may be regarded as non-essential dietary nutrients for fish and shrimp, their inclusion in practical diets is warranted because:
They represent an inexpensive source of valuable dietary energy for noncarnivorous fish and shrimp species.
Their careful use in practical diets can spare the more valuable protein for growth instead of energy provision (a procedure called ‘protein sparing’.
They serve as essential dietary constituents for the manufacture of water stable diets when used as binders (ie. gelatinized starch, alginates, gums).
Certain carbohydrate sources serve as dietary components which can increase feed palatability and reduce the dust content of finished feeds (ie. cane or beet molasses).
Although glycogen constitutes the major fuel source during anaerobic metabolism (glycolysis) within the white muscle of fish during ‘burst’ swimming activities, the ability of the liver and tissues to store glycogen is limited; total carbohydrates as glycogen constituting less than one percent of the wet body tissue (Cowey and Sargent, 1979). By contrast, juvenile shrimp P. japonicus have been found to contain glucose, acetyl glucosamine and trehalose as the major carbohydrates of body tissue (Kanazawa, 1983).
In contrast to omnivorous mammals, fish do not mobilize liver glycogen rapidly when they are starved. In fact it has been shown within starving fish that the oxidation of non-carbohydrate substrates takes precedence over the mobilization and hydrolysis of glycogen. This suggests that the capacity of fish to oxidize glucose aerobically is somewhat limited. It follows therefore that gluconeogenesis may play a major role in maintaining blood sugar levels in starving or fasting fish. For example, for cultured fish fed a high protein diet it is probable that the energy demand of tissues (ie. brain and nervous tissue) which catabolise glucose are met by gluconeogenesis (from amino acids and triacylglycerol) rather than by glycogenolysis (for review see Walton and Cowey, 1982). However, studies with the eel (A. japonica) would appear to contradict the above general hypothesis (Degani, Viola and Levanon, 1986).
The ability of carnivorous fish species to hydrolyze or digest complex carbohydrates is limited due to the weak amylotic activity in their digestive tract (Spannhof and Plantikow, 1983). Thus, for fish species such as trout, as the proportion of dietary starch is increased, starch digestibility decreases accordingly (Singh and Nose, 1967; Bergot and Breque, 1983). Furthermore, in long term feeding trials with carnivorous fish species (ie. salmonids) it has been shown that high dietary carbohydrate levels depress growth, elevate liver glycogen levels, and cause eventual mortality (Phillips et. al., 1948; Austreng et al., 1977). By contrast, warmwater omnivorous or herbivorous fish speceis such as carp (C. carpio), channel catfish (I. punctatus), tilapia (O. niloticus), and eel (A. japonica) have been found to be more tolerant of high dietary carbohydrate levels; the dietary carbohydrate being effectively utilized as a dietary energy source or excess stored in the form of body lipid (Chiou and Ogino, 1975; Robinson and Wilson, 1985; Anderson et al., 1984; Degani, Viola and Levanon, 1986).
The utilization of dietary carbohydrate has also been found to vary with the complexity or chemical structure of the carbohydrate source used (digestible polysaccharides and disaccharides having a more beneficial effect on growth than monosaccharides: fish - Pieper and Pfeffer, 1980; Robinson and Wilson, 1985; Anderson et al., 1984; shrimp - Alava and Pascual, 1984; Deshimaru, 1981; 1 Kanazawa, 1983), the physical state of the carbohydrate source used (cooked or gelatinized starches having a higher digestibility and beneficial effect on growth than native or raw starches: fish - Spannhof and Plantikow, 1983; Bergot and Breque, 1983; Robinson and Lovell, 1984), and daily feed intake (a restricted feeding regime having a beneficial effect on starch digestibility: fish - Bergot and Breque, 1983). From the above discussion it appears that the ability of fish or shrimp to adapt to high carbohydrate diets depends on their ability to convert excess energy (ie. glucose) into lipids or non-essential amino acids.
Since most farmed fish species have a relatively short gastro-intestinal tract that does not lend its self to the development of an extensive bacterial flora (as in a ruminant animal), the intestinal cellulase activity of fish from resident bacteria is weak or absent (Stickney and Shumway, 1974). It follows therefore that dietary cellulose or ‘crude fibre’ (ie. dietary carbohydrates which are resistant to chemical treatment with dilute acid or alkali, including cellulose and hemicellulose) has no utilizable energy value to fish, and in dietary excess has a deleterious effect on growth and feed efficiency (Anderson et al., 1984; Poston, 1986; Hilton, Atkinson and Slinger, 1983; Bromley and Adkins, 1984).