Página precedente Indice Página siguiente


7. PRODUCCION DE ARTEMIA EN SISTEMAS DE CULTIVO INTENSIVO

7.1 Introducción

Aunque la Artemia en su medio natural solo aparece en aguas de alta salinidad (generalmente por encima de 100‰), tambien puede desarrollarse en agua de mar. De hecho, tal como fué mencionado con anterioridad (ver apartado 2.3.), el límite inferior de salinidad en el que esta especie aparece en la naturaleza, está marcado por el límite superior de tolerancia a la salinidad de sus predadores locales (ej. peces, insectos, etc.). No obstante, su mejor desarrollo fisiológico, en términos de tasa de crecimiento y de eficiencia en la conversión del alimento, se logra a niveles de salinidad mucho más bajos, ej. en agua de mar a 35‰ (Reeve, 1963). Como resultado de todo lo anterior, el cultivo de Artemia, en agua de mar, debe ser realizado en sistemas de cultivo que puedan ser aislados de los predadores, que pudiesen venir con el agua o incluso por el aire (ej. insectos predadores de la familia Corixidae). Por lo tanto, los tanques de cultivo deben ser instalados en lugares cerrados o bien estarán cubiertos por red mosquitera.

Las mayores ventajas de la producción controlada de Artemia en tanques, o en “raceways”, son que se pueden realizar a densidades muy elevadas (ej. varios miles de animales por litro, frente a unos pocos cientos individuos por litro en los estanques de cultivo naturales), e independientemente de las condiciones climáticas locales (ej. durante las estaciones secas o de lluvia) o de la disponibilidad “in situ” de agua de mar natural (ej. usando pozos salinos o efluentes, o bien utilizando agua de mar artificial en sistemas de recirculación).

Sin embargo, es obvio que dado su sofisticado funcionamiento, el consumo de energía y alimento, la producción intensiva de Artemia es mucho más costosa que la producción extensiva en estanques.

A pesar de ello, tanto en la acuariofilia, como en la industria acuícola, se van emprendiendo más y más aplicaciones basadas en el cultivo intensivo de Artemia.

Fotografía 17

Fotografía 17. Montaje de tanques de 300 litros para el cultivo estanco con AWL (las dimensiones de los tanques se describen en la Figura 35).

7.2. Cultivo estanco (“batch”) sin renovación de agua

Como regla general, las técnicas más apropiadas para su aplicación en el cultivo a alta densidad y a gran escala implican los siguientes requisitos:

De las diversas técnicas que han sido ensayadas para el engorde, desde nauplio hasta adulto, en cultivo estanco sin renovación de agua, los “raceways” equipados con bombas aire-agua (“air-water lift”, AWL) han demostrado ser los más adecuados (Bossuyt y Sorgeloos, 1980). La construcción y manejo de este sistema de cultivo son bastante simples, y habiendose obtenido, sin embargo, grandes cifras de producción.

Un “raceway-AWL” consiste básicamente en un tanque rectangular provisto con un tabique de división central y los “air-water lifts”. Por la configuración específica del tanque y la posición de los AWL, se logra una circulación unidireccional, en el sentido de las agujas del reloj, que provoca los siguientes efectos:

Figura 32

Figura 32. Vistas superior y lateral de los “raceways” usados en el cultivo de Artemia señalando la posición del tabique central (altura H y anchura W de la columna de agua). (Según Bossuyt y Sorgeloos, 1980)

7.2.1. Construcción v manejo de un “raceway” equipado con “air-water-lift” (AWL).

7.2.1.1. Diseño del tanque

Un “raceway” para Artemia consiste, esencialmente en un tanque rectangular con un tabique central de división. Las esquinas del tanque pueden ser curvadas, para evitar zonas muertas donde se puedan producir sedimentaciones, aunque esta forma no sea absolutamente necesaria.

Con el fín de asegurar una circulación óptima del agua, el tabique de división central no estará más cerca de la pared del lado más pequeño que la anchura del canal (Figura 32). Este tabique tambien estará separado, unos 2 a 5 cm, del fondo del tanque, para lograr esto se puede suspenderlo de dos estacas de madera, colocadas a los lados del “raceway”, o bien, colocarlo en su posición central sobre dos pequeños bloques colocados en el fondo del tanque, para sujetarlo se emplearán elásticos sobre la parte superior del tabique.

El parámetro más importante para la configuración del tanque es la relación altura/anchura que, en nuestra opinión, deberá ser más pequeña que 1 (Figura 32). Para una circulación óptima se usarán soplantes axiales, mientras que la profundidad del agua no excederá de 1 m. Tanques más profundos obligarán al uso de compresores de aire más costosos, por lo cual, el aumento de la anchura del tanque (para mantener la relación altura/anchura más pequeña que 1) disminuye la eficiencia de la circulación del agua obtenida con una sola fila de AWL.

Se pueden emplear materiales diversos para la construcción de los “raceway” ej. hormigón, tablero marino, fibra de vidrio, PVC (Fotografías 17, 18, 19). Existen varios métodos para lograr impermeabilizar el “raceway” tales como, recubrirlo con fibra de vidrio o con pinturas epoxi de dos componentes, o bien revestirlo con una lámina de plástico. Cualquiera que sean los materiales empleados en la construcción del “raceway”, está altamente recomendado “envejecer” los tanques nuevos, por medio de lavados repetidos hasta eliminar posibles materiales tóxicos liberados al medio.

Fotografía 18

Fotografía 18. “Raceway” experimental de 2m3 con AWL para el cultivo estanco (el tanque está hecho de bloques de cemento, aislado con polexpan (“Styrofoam”) y cubierto con una lámina de PVC; un intercambiador de calor en serpentín de cobre como el descrito en la Fig. 37; el separador central está hecho de madera; en la esquina superior izquierda de la fotografía se aprecia el flujo de vertido procedente del separador de placas y la columna filtradora para la captación del medio de cultivo hacia el separador de placas; las dimensiones del tanque se recogen en la Fig. 35)

Fotografía 19

Fotografía 19. Prototipo de “raceway” de 5m3 con AWL para el cultivo estanco (las dimensiones de los tanques se recogen en la Fig. 35) (el tanque está fabricado con placas de aluminio, aislado con polexpan (“styrofam”) y cubierto con una lámina de PVC; el radiador de plcas de calefacción doméstica se usa como tabique central + intercambiador de calor)

7.2.1.2. Construcción e instalación de los AWL

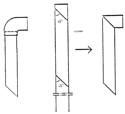
La manera más fácil de construir un AWL es usar codos y tubos de PVC. La parte inferior del tubo se corta en ángulo de 45°, colocandose sobre el fondo del “raceway” (Fig. 33). Si no existen codos disponibles, se puede corta la parte superior de un AWL en ángulo de 45°, pegando las dos partes según se muestra en la Fig. 33B.

En función de los materiales disponibles, se pueden considerar varios sistemas, para sujetar los AWL al tabique divisorio central, de forma a mantenerlos en una posición bien definida, asegurando una circulación óptima del agua en el “raceway” (Fig. 34). A tal fín el flujo de salida del codo formará un ángulo de 30 a 45°, con el tabique central. Para obtener una circulación y una aireación óptimas del medio (sin la formación de pequeñas burbujas), la salida del AWL estará sumergida hasta su mitad. Según hemos comprobado, la ingestión de pequeñas burbujas por los animales, o la captura de estas burbujas entre los toracópodos, provoca la flotación del animal, su imposibilidad de alimentarse y en consecuencia, finalmente su muerte. Por esta misma razón no hemos empleado nunca, en los AWL piedras porosas de aireación, aún a sabiendas, que de esta forma se obtendría un excelente efecto aireatorio. Las piedras porosas de aireción pueden igualmente provocar la aparición de espuma, que tambien puede ocasionar mortalidades al quedar los animales atrapados en la espuma sin poder retornar al agua.

Cuando los niveles de oxígeno caen en valores críticamente bajos (ej. 1–2 ppm O2), el efecto aireatorio de los AWL puede ser incrementado, aumentando la capacidad de bombeo (aumentando el flujo de aire), o levantando unos pocos centímetros la salida de los AWL, por encima del nivel de agua, provocando un efecto de cascada (Spotte, 1970), sin embargo, en vista del aumento del riesgo de lesiones mecánicas de los animales, al pasar por el interior del AWL, esta técnica se utilizará únicamente en caso de emergencia.

Figura 33

Figura 33. Air-water-lift (A) montado con una pieza en codo o (B) fabricado unicamente con un trozo de tubería de PVC (según Bossuyt y Sorgeloos, 1980)

Figura 34

Figura 34. Tres sistemas diferentes para fijar los AWL al panel divisorio central de un “raceway” (según Bossuyt y Sorgeloos, 1980)

Figura 35

Figura 35. Vistas superiores y dimensiones de diferentes sistemas de “raceway” usados para el cultivo de Artemia (longitud en cm) (según Bossuyt y Sorgeloos, 1980)

Con respecto al número de AWL por tanque, se logran una circulación y aireación ótimas, cuando los tubos de aireación están colocados a intervalos de 25 a 40 cm. Con el fín de lograr un efecto de bombeo maximo de agua, es evidente que el diámetro de los AWL estará relacionado con la profundidad de agua. Según nuestra propia experiencia con algunos tipos de “raceways” podemos sugerir las siguientes relaciones:

Nivel de agua
(mm)
Diámetro interior de los AWL
(mm)
20025
40040
75050
100060

La configuración y dimensiones de 3 sistemas de “raceways” que han dado resultados satisfactorios en el cultivo de Artemia están representados en la Fig. 35.

7.2.1.3. Suministro general de aire y distribución a los AWL

Tal como mencionamos con anterioridad, el cultivo estanco de Artemia se realizará en tanques cuya profundidad no exceda de 1 m; en estas condiciones es mejor utilizar una soplante axial, en lugar de un compresor, ya que una soplante axial, proporciona grandes volúmenes de aire libres de aceite y a baja presión, es relativamente barata y no necesita mantenimiento. Una soplante de 1.6 m3/min, del tipo Roots o similar, es suficiente para suministrar aire a sistemas de cultivo de 20–30 m3 capaces de producir 300 kg de preadultos de Artemia por mes.

Figura 36

Figura 36. Detalles de la instalación de las líneas de aireación en los AWL de los “raceways” (recopilado de Bossuyt y Sorgeloos, 1980)

Unos tubos finos de polietileno (3–6 mm de diámetro) sirven de líneas de aireación, pudiendo insertarse en el AWL a través de un agujero, del mismo diámetro, efectuado en la parte superior del codo de PVC (Fig. 36). Las líneas de aireación pueden ser subidas o bajadas a voluntad, mientras que su sólido ajuste en el codo, evita desplazamientos inadecuados. Las líneas de aireacion se situarán lo más profundamente posible en el AWL, a fín de obtener un efecto máximo de bombeo de agua.

Con el fín de evitar la necesidad de una valvula de regulación para cada una de las diferentes líneas de aireación, todos los tubos irán conectados a un cilindro de distribucion centralizada de aire. Una aireación constante e identica se obtiene ajustando, dentro de los AWL todas las tuberías de aire a la misma profundidad hidrostática.

7.2.1.4. Calentamiento del medio de cultivo

La temperatura óptima de cultivo para la mayoría de las cepas de Artemia se encuentra en el intervalo de 25–30°C. En los climas má s fríos es necesario el calentamiento del medio de cultivo y el aislamiento de los tanques. Para mantener esa temperatura, se pueden sumergir directamente en el agua termostatos y calentadores (fabricados en acero inoxidable, vidrio o cualquier otro material no corrosible). Varios intercambiadores indirectos susceptibles de uso en acuicultura (ej. la valorización de los efluentes térmicos de una central térmica) han sido descritos por Huguenin (1976).

El primer tipo con el que trabajamos, fué un tubo serpenteante de cobre instalado bajo el fondo del “raceway”, y por el que circulaba agua dulce calentada en un calentador a 40–50°C. Este intercambiador fué colocado sobre una plancha aislante y cubierto con una lámina de aluminio (1 mm de espesor), todo ello por debajo de la línea plástica de PVC en el fondo del “raceway” (ver Fig. 37). La temperatura del medio fué controlada por medio de un termostato sumergido que activaba la bomba de circulación.

Más recientemente, hemos comprobado que los radiadores de placas, usados corrientemente para la calefacción doméstica son muy aptos para el cultivo en “raceway”. Una vez protegidos con pintura epoxi sirven, al mismo tiempo como intercambiadores de calor y como tabique divisorio central al que se pueden fijar los AWL.

Figura 37

Figura 37. Esquema de un intercambiador de calor en serpentín de cobre usado en un “raceway” de 2000 l con AWL (según Bossuyt y Sorgeloos, 1980)

Las pérdidas de calor pueden ser minimizadas con un aislamiento apropiado del tanque de cultivo, ej. polexpan (styrofoam) o poliuretano. La evaporación de agua, una de las mayores causas de perdida de calor, pueden reducirse en gran medida colocando una tapa aislante sobre el “raceway”. Una tapadera no transparente es más recomendable, ya que los animales crecen más rápidamente en oscuridad que a la luz (Sorgeloos, 1972).

7.2.2. Selección, preparación y distribución del alimento.

Es conocido por la literatura, que existe un amplio abanico de alimentos vivos o inertes que pueden ser utilizados, con éxito, en el cultivo de la Artemia (ver Tabla XIV). Dado que esta especie es un consumidor obligatorio y no selectivo de partículas (Barker-Jörgensen. 1966), se consideran como fundamentales los siguientes factores para la selección de una dieta adecuada para Artemia:

Varios productos de desecho de cultivos agrícolas ej. arroz, soja y maiz, o de las bio-industrias, leche desnatada deshidratada, proteinas unicelulares, han demostrado ser una fuente de alimento muy aceptable en el cultivo de Artemia.

En la mayoríia de los casos, sin embargo, los alimentos disponibles comercialmente no poseen el tamaño de partícula requerido y un nuevo tratamiento es necesario. Cuando la mano de obra es barata se puede realizar una preparación manual, para obtener partículas de alimento comprendidas entre 50–60 micras de tamaño. El método manual consiste en una homogeneización en agua de mar (utilizando una batidora de cocina), seguido por el escurrido de la suspensión a través de una malla o filtro de 50 micras. Dado que la suspensión de alimento obtenida no se puede almacenar, este método manual solo se puede usar para el procesado diario del alimento. Por otra parte, este procesado manual no es muy efectivo con productos que posean un alto contenido en fibras ej. salvado de arroz.

TABLA XV

Lista de algunos alimentos vivos e inertes reconocidos por proporcionar un buen crecimiento de Artemia (Según Dobbeleir et al., 1980)

Algas vivas: 
   Diatomeas:Chaetoceros, Cyclotalla, Phaedactylum, Nitzchia
   Clorofíceas:Dunaliella, Chlamydomonas, Chlorella Platymonas, Stichococcus, Steohanoptera, Brachiomonas.
   Crisoficeas:Isochrysis, Monochrysis, Stichochrvsis, Syracosohaera.

Algas secas:

Chlorella, Scenedesmus, Soirulina

Levaduras:

Levaduras de panaderia y cerveceria

Productos inertes:

Harina de trigo, harina de pescado, yema de huevo, hígado homogeneizado, polvo de arroz, salvado de arroz, salvado y harina de soja, leche desnatada deshidratada.

Con el fín de reducir el trabajo manual en la preparación del alimento y obtener un producto seco y conservable con las propiedades físicas apropiadas, es necesario emplear técnicas mecánicas de trituración y procesado en seco. De las diferentes técnicas examinadas hasta la fecha, solo se han obtenido resultados satisfactorios con la micronización; utilizando salvado de arroz desgrasado, el 80% en peso de las parículas tratadas tienen un tamaño de partícula inferior a 60 micras.

Los materiales solubles no pueden ser ingeridos por la Artemia y serán descompuestos por las bacterias an el medio de cultivo, lo que provocará el deterioro de la calidad del agua por acumulación de sustancias toxicas tales como amonio y nitritos. De esta forma los alimentos que posean grandes cantidades de proteinas solubles (ej. harina de soja) deberán ser tratados para eliminar la fracción soluble. Esto puede lograrse, facilmente, aireando durante 1–2 horas la suspensión de alimento, tras lo cual se detiene la aireación y se dejan decantar las partículas durante hora y media. Los materiales disueltos permanecerán en la fracción acuosa, que puede ser eliminada recuperando, unicamente, las partículas sedimentadas. este método de lavado se repetirá hasta que toda la fracción soluble en agua haya sido eliminada.

Dado que la Artemia es un filtrador continuo, sus mayores crecimientos, así como las conversiones más eficientes del alimento, se lograrán a densidades constantes de alimento. El cultivo a alta densidad implica que el alimento deberá ser distribuido muy frecuentemente, bien manual o preferiblemente automáticamente.

La cantidad óptima de alimento que debe ser suministrada es función de numerosos parámetros, tales como la densidad de larvas, el estado de desarrollo, la temperatura del agua, etc. Ello hace que la dosificación sea una labor complicada. Hemos comprobado que la transparencia del medio de cultivo es un parámetro muy útil para la determinción del nivel de alimento presente (Bossuyt y Sorgeloos, 1980). Una estimación aproximada de la transparencia del medio se puede lograr con un bastón provisto de una placa en su extremo, lo que en realidad sería un tipo de disco de Secchi (Fig. 38). El procedimiento práctico es muy simple: el bastón es sumergido en el medio, introduciendolo hacia el fondo hasta que la placa de la base es apenas legible, momento en el que se añade la suspensión de alimento hasta que el nivel de transparencia alcanza el valor deseado. Dado que la intensidad de luz y el grado de agitamiento interfieren con las lecturas de transparencia, las medidas necesitan ser estandarizadas. Para medidas precisas en cultivos con animales de mayor edad es necesario controlar la transparencia del medio en lugares donde los animales no estén presentes ej. en el sistema de filtración (ver 7.2.3.1.).

Figura 38

Figura 38. Varilla de transparencia usada en el cultivo de Artemia

Figura 39

Figura 39. Esquema de un sistema de distribución de alimento por “air-lift” (según Bossuyt y Sorgeloos, 1980)

A una densidad inicial de 5000 nauplios/litro y utilizando salvado de arroz micronizado como alimento, los niveles de transparencia se mantendra, entre 15–20 cm durante la primera semana y entre 20–25 cm posteriormente.

Una distribución frecuente y automática del álimento a los tanques de cultivo se puede realizar por medio de bombas peristálticas, controladas por temporizador; por medio de pequeñas bombas de acuario; por medio de AWL, etc. Un sistema fiable y barato que hemos utilizado durante varios años en cultivo en “raceway” está representado esquemáticamente en la Fig. 39. El alimento, tamizado o micronizado, es suspendido en una salmuera a saturada de NaCl a una concentración de hasta 75 g/1 en un recipiente cónico o con forma de V (ej. el mismo tipo de recipiente empleado para la eclosión de los quistes, ver Fig. 17). Esta suspensión es aireada suavemente desde el fondo con el fín de evitar la sedimentación de las partículas. La suspensión de alimento fluye hasta una pieza en T por medio de un sifón curvado o preferiblemente por medio de una conexión en la parte inferior del tanque cónico; un extremo de la pieza en T está conectatado a una entrada de aire, mientras que el otro lleva el tubo de distribución del alimento que deberá pasar por encidel nivel que el agua alcanza en el tanque que contiene el alimento. Un temporizador activa una bomba de aire a intervalos de tiempo preestablecidos (lo que será ajustado en función de los requerimientos de alimento determinados por medidas manuales de la transparencia), el flujo de aire en la pieza en T crea un efecto de bombeo de la suspensión de alimento hacia el tanque de cultivo.

Un sistema de suministro más sofisticado que permite asegurar una tasa de aporte constante de alimento, independientemente del volumen de suspensión que quede en el recipiente, está esquematizado en la Fig. 40.

Figura 40

Figura 40. Esquema de un sistema de distribución de alimento: el alimento es continuamente bombeado (1) al tanque de presión hidrostática constante (3), el rebosamiento del cual vierte en el depósito principal (4); las bombas (2) distribuyen la suspensión de alimento a los respectivos tanques de cultivo siendo activadas por temporiza dores electrónicos, que pueden ser regulados para cada tanque (se gún Lavens et al., 1985)

Una distribución automática del alimento se puede lograr con medidores de transparencia como los descritos por Versichele et al., (1979) y Lavens et al., (1985) (ver sección 7.3.3.).

7.2.3. Tratamiento primario del medio de cultivo

En los cultivos estancos a alta densidad (5–10.000 N/1) la acumulación de heces, exuvias y flóculos deberán ser minimizados, ya que interfieren, seriamente, con el crecimiento y supervivencia de la población. Este tipo de elementos entorpecen físicamente la toma de partículas de alimento, así como los movimientos natatorios de los animales. Por otra parte, la descomposición de los materiales fecales y de los agregados de comida no asimilada afectan la calidad del agua. Las partículas de desecho deberán ser eliminadas continuamente del medio de cultivo a partir del cuarto dia, es decir cuando comienza a acumularse en el medio.

Varios sistemas son empleados, corrientemente, en acuicultura para separar las partículas de desecho del medio líquido. Aunque algunos métodos puedan ser más baratos e incluso mejores que el separador de placas, nosotros preferimos esta técnica, ya que permite el retorno al tanque de cultivo de un gran número de partículas de alimento de pequeño (aquellas con menor densidad física), (el tiempo de retención del agua en el separador de placas debe ser lo suficientemente largo como para permitir la sedimentación de las partículas de desecho de gran tamaño, pero no la de las pequeñas partículas alimentícias).

7.2.3.1. Fitro de retención de Artemia

Con el fín de asegurar unicamente la eliminación de los sólidos en suspensión y no de la Artemia, es preciso instalar, dentro del tanque, un sistema de filtración desde donde el efluente es bombeado hasta la unidad de purificación primaria. Esta columna filtradora (Fig. 41) está formada por un tubo de PVC colocado verticalmente y al cual se le han cortado los 2/3 de su superficie en forma de rectángulo. Alrededor de este soporte cilíndrico, se fija, con elásticos una malla intercambiable de nylon. A la base del cilindro se pega una placa circular de PVC. En la parte inferior de esta columna filtradora se coloca un collar de aireación, necho de un tubo plástico perforado en su superficie a intervalos de 2 cm; el ascenso continuo de las burbujas de aire sobre las paredes de la malla del filtro reducen de una manera eficaz su colmatación. Es esencial que el nivel del agua alcance el anillo superior del filtro para avitar la peroida de larvas con la espuma.

Figura 41

Figura 41. Esquema de una columna filtradora usada para retener la Artemia en el tanque de cultivo

A medida que los animales crecen, el filtro será retirado y la malla cambiada por una de mayor paso de luz ej. 200, 250, 300 y 400 μm.

Sistemas de filtración más sofisticados y con mejores capacidades de filtración seran descritos más acelante (ver sección 7.3.1.).

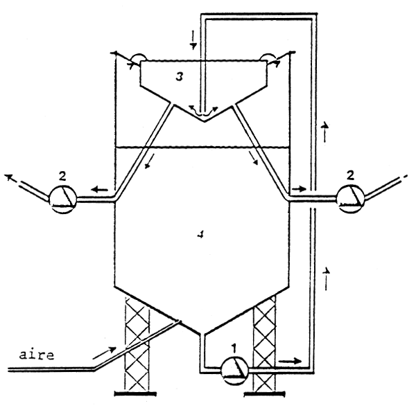
7.2.3.2. Separador de placas

Este separador de partículas (Fig. 42) consiste en un tanque rectangular, subdividido en un pequeño receptáculo para la entrada del medio y un gran receptáculo de sedimentación, interconectados por un espacio abierto en la zona pendiente del fondo. En la sección de decantación están instaladas varias placas (preferiblemente con una superficie rugosa) en posición inclinada, con un ángulo de 30–45° y orientadas en la dirección del flujo de agua dentro del tanque separador.

El medio de cultivo cargado de partículas (ej. heces, mudas, partículas de alimento) es bombeado de forma continua por medio de los AWL, o de una bomba eléctrica, dentro del compartimento de recogida del medio. La suspensión fluye, a traves de la abertura del fondo, hacia la sección de decantación donde el material particulado sedimenta sobre el fondo, o bien se acumula sobre las placas. Una sedimentación óptima se logra cuando el flujo de agua es laminar, lo que se consigue cuando la entrada se distribuye sobre toda la superficie del compartimento de entrada, con ello se previene la creación de un canal de flujo en el compartimento de sedimentación que entorpecerá una sedimentación eficaz.

Figura 42

Figura 42. Esquema de dos tipos de separadores de placas usados en el cultivo de Artemía (recopilado de Sorgeloos et al., 1983)

Con el fín de favorecer la decantación y de evitar la colmatación entre las placas, estas se situarán a una disdistancia mínima de 2 cm. La precipitación de los desechos se mejora ajustando la tasa de bombeo desde el tanque de cultivo al compartimento de recepción, es decir, optimalizando el tiempo de retención de la suspensión en el tanque de separación. Hemos comprobado que un tiempo de retención de 15 a 20 minutos permite una buena separación de la mayoría de las partículas de desecho, mientras que las partículas ligeras y de pequeño tamaño no tienen ocasión de sedimentar y son arrastradas de nuevo al medio de cultivo.

Con el fín de evitar un deterioro de la calidad del agua por la producción de bacterias descomponedoras, los desechos acumulados deben ser eliminados, al menos en días alternos. Esto se puede lograr facilmente por medio de sifones fijos situados, a intervalos de 10–15 cm, en el fondo del tanque. Antes de drenar los desechos, que se han acumulado sobre las placas y fondo, se detendrá el flujo de agua y se sacudirán las placas. De esta forma, las partículas agregadas sobre las placas se resuspenden y precipitan sobre el fondo en forma de grandes flóculos. Tras unos 10 minutos de espera se puede retirar un pequeño volumen del separador de placas en el cual irá todo el material de desecho.

En un sistema de cultivo estanco convencional, el volumen del separador debe ser al menos del 10% del volumen del “raceway”; con un tiempo de retención de solo 30 minutos, la totalidad del medio de cultivo pasará por la unidad de tratamiento primario en aproximadamente 5 horas. Esto mantiene la concentración de material particulado en el medio de cultivo a un nivel bajo y aceptable.

Las características de un separador de placas usado corrientemente para tratar un “raceway” de 2 m3 están resumidas en la Tabla XVI.

TABLA XVI

Características de un separador de placas empleado en el tratamiento de un “raceway” de 2 m3 (según Bossuyt y Sorgeloos, 1980).

Dimensiones: Longitud60 cm
                     Anchura40 cm
                     Profundidad50–80 cm
Número de placas11
Inclinación de las placas30–40°
Inclinación del fondo30–40°
Tasa de bombeo4 1/mn
Diámetro de los desagües2 cm
Tiempo de retención30–40 mn
Figura 43

Figura 43. Sistema de tamiz de flujo cruzado usado para eliminar las heces de Artemia (según Bossuyt y Sorgeloos, 1980)

7.2.3.3. Tamiz de flujo cruzado o filtro de malla prismática soldada.

Aunque el separador de placas es un medio muy eficaz para el tratamiento primario del agua, una desventaja importante es su gran tamaño. Para reducir el volumen necesario para el tratamiento primario se puede emplear, de forma combinada con el separador de placas, un tamiz autolavable con desagüe, al cual es utilizado habitualmente para la eliminación de sólidos en los tratamientos de grandes volúmenes de aguas residuales. Tal como se muestra, esquemáticamente en la Fig. 43, este sistema consiste básicamente en una malla prismática soldada, de acero inoxidable, con una abertura en hendidura de 150 micras colocada con una cierta inclinación. El medio de cultivo, libre de larvas y preadultos por un sistema de filtración como el usado con el separador de placas (ver 7.2.3.1.), es bombeado continuamente en la parte superior del tamiz de flujo cruzado, distribuyendose sobre el plano de aceleración del mismo (Fig. 43). En condiciones óptimas de orientación del tamiz y de velocidad de la suspensión, la fina lámina de medio de cultivo que fluye es cortada ej. el agua y las partículas más pequeñas pasarán a traves del tamiz retornando al tanque de cultivo, mientras que las partículas mayores ej. heces, mudas, etc. son retenidas sobre la superficie externa del tamiz deslizandose por la parte inferior hasta un separador de placas más pequeño.

Hemos comprobado que trabajando con este sistema de tamiz de flujo cruzado, en el cultivo de Artemia, se reduce en gran manera el tamaño de la unidad necesaria para el tratamiento primario del agua, ej. resultados satisfactorios se han obtenido en un “raceway” de 2 m3 con un tamiz de solo 20×30 cm. Dado su alto costo de inversión, consideramos que el tamiz de flujo cruzado solo es justificativo del coste, cuando se usa en sistemas de cultivo a gran escala, o en climas más fríos donde las pérdidas de calor necesitan ser reducidas al máximo.

Figura 44

Figura 44. Esquema de un separador de espuma

7.2.4. Tratamiento secundario del medio cultivo

Aparte de eliminar las particulas de desecho del medio de cultivo, puede ser necesario el tener que evacuar tambien los compuestos solubles, especialmente cuando los alimentos usados son ricos en proteinas o contienen una proporción elevada de materiales solubles. Esos desechos solubles afectan el crecimiento y la supervivencia, al ir deteriorando la calidad del agua, debido a la producción de compuestos tóxicos de nitrógeno (ej. amonio, nitritos, nitratos) originados en los procesos bacterianos de descomposición.

Existen técnicas sofisticadas para eliminar esta fracción soluble, sin embargo, son demasiado complejas o demasiado costosas para su uso en cultivos estancos. La desespumación es la única técnica, que hemos experimentado como tratamiento secundario en cultivos estancos de Artemia. Un esquema de la torre de desespumación que empleamos en el tratamiento del efluente de un separador de placas de un “raceway” de 2 m3, estárepresentado en la Fig. 44. Consiste en un tubo de PVC provisto de un codo y cerrado en el otro extremo con una placa de PVC que actua de soporte.

Un tubo de entrada está instalado a la misma altura que la salida del separador de placas. El tubo de desagüe está inserto a pocos centímetros del fondo y asciende hasta alcanzar la misma altura que el tubo de entrada. Pequeñas burbujas de aire liberadas en la parte inferior del tubo van ascendiendo, encontra, corriente con el flujo de agua lo que provoca la formación de espuma en la que quedan atrapadas las sustancias orgánicas solubles. La espuma es forzada a dirigirse hacia el codo, por donde sale pudiendo, eventualmente ser recogida en un cubo que contiene una sustancia antiespumante; la reducción de la tensión superficial destruirá las burbujas lo que resultará en una suspensión de color parduzco debido a la concentración de materias orgánicas disueltas.

Hemos experimentado que la eficiencia de la desespumación puede verse sustancialmente incrementada, con el uso de un ozonador conectado a la entrada de aire en la torre de desespumación. Más informaciones técnicas sobre este proceso de desespumación están recogidos en Wheaton (1977).

TABLA XVII

Crecimiento y supervivencia de diferentes cepas de Artemia cultivadas en laboratorio bajo condiciones estandar usando Dunaliella (DUN) o salvado de arroz (RB) como alimento durante un período de 7 diás (según Sorgeloos, 1980b; Vanhaecke y Sorgeloos, en preparación).

 Supervivencía al 7° díaCrecimiento expresado como % definido para la cepa de referencia de San Francisco Bay (288–2596)
 DUN
Dieta
RB
Dieta
DUN
Dieta
RB
Dieta
Lanarca Salt Lake (Chipre)70* 88* 
Santa Pola (España)76* 88* 
Salin dy Giraud (Francia66* 90* 
China (localidad desconocida)848391* 
Shark Bay (Australia)90(84)51*95(96)89*
San Francisco Bay (CA/USA); lote n° 236–2016)98 96 
Macau (Brasil; cosechada en Marzo de 1978)84(96)9096(98)102
Barotac Nuevo (Filipinas)868697103
Tientsin (China)968698 
San Francisco Bay (CA/USA; lote n° 236–2016) 94 99
Aigues Mortes (Francia)90 99 
Izmir (Turquia)9688101108
Margherita di Savoia (Italia)968810299
San Felix (España)74* 102 
Macau (Brasil, cosechada en Mayo 1978)94 103 
Bonaire (Antillas Holandesas)66*90104104
San Pablo Bay (CA/USA; lote 1628)9092105106
Port Araya (Venezuela)9081107112
Eilat (Israel)92* 107 
Lavadue (Francia)70*9310996
Adelaide (Australia)88(88) 113*(113) 
Manaure (Colombia)9085115**129**
Bahia de Salinas (Puerto Rico)8874*122**122**
Great Salt Lake (UT/USA; cosechada en 1977)9486119**(125)115**
Buenos Aires (Argentina)72*80126**124**
Galera Zamba (Colombia)9887126**133**
Great Salt Lake(UT/USA; cosechada en 1966)66* 127** 
Chaplin Lake (Canada)8877130**130**

() resultado de la prueba replicada en el tiempo
* significativamente diferente de la cepa de referencia al nivel del 0.05
** significativamente diferente de la cepa de referencia al nivel del 0.01

7.2.5. Selección de cepas

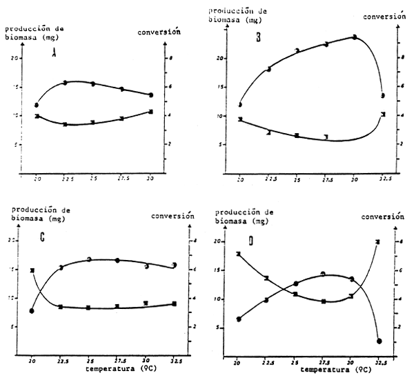
La investigación llevada a cabo por el Estudio Internacional sobre Artemia con diferentes cepas de esta especie, mantenidas en pequeños sistemas de cultivo, bajo condiciones estandar, ha demostrado diferencias significativas en el crecimiento larvario y en las tasas de supervivencia (ver Tabla XVII). Otros ensayos han indicado que los intervalos óptimos de temperatura-salinidad para la supervivencia larvaria varían de una cepa a otra (Fig. 45, 46). En la Tabla XVIII y Fig. 42 se recogen los datos sobre el efecto de 5 temperaturas, comprendidas en el intervalo de 20–32.5° C sobre la supervivencia, producción de biomasa, tasa específica de crecimiento y eficiencia en la conversión del alimento, para larvas de 8 cepas diferentes de Artemia alimentadas durante 9 días a base de células de Dunaliella, en tubos de ensayo de 500 ml. En base a estós resultados de laboratorio se pueden dar líneas maestras para la selección de cepas en función de los intervalos óptimos de temperatura y del rendimiento en cultivo (Tabla XIX, Fig. 48).

Las cepas siguientes han sido cultivadas con éxito en “raceways” con AWL de 300 l y 2000 l : San Francisco Bay (CA-USA). Great Salt Lake (UT-USA), Chaplin Lake (Canada), Macau (Brasil), Tientsin (RP China), Galera Zamba (Colombia) y Shark Bay (Australia).

7.2.6. Cosecha, procesado, envasado y transporte

La cosecha de cultivos de Artemia de alta densidad puede verse facilitada dada la capacidad de respiración superficial de estos animales. Cuando se interrumpe la aireación en el “raceway”, los niveles de oxígeno en el medio de cultivo descienden rapidamente y todos los sólidos en suspensión (paquetes de heces, mudas, etc.). se decantan sobre el fondo; tras unos 30 minutos, la Artemia responde al deficit de oxigeno concentrandose en la superficie del agua, donde puede mantenerse por medio de la respiración superficial (moviendo los toracópodos en la interfase aire-agua) y desde donde pueden ser facilmente recogidos con una red.

A bajas concentraciones, los animales se pueden cosechar vaciando el contenido del “raceway” sobre una red de malla de un tamaño de luz apropiado.

Figura 45

Figura 45. Representación gráfica bidimensional (superior) y tridimensional (inferior) de las superficies de respuesta para la supervivencia de 5 cepas de Artemia franciscana en función de la temperatura (°C) y de la salinidad c(‰); isopletas de respuesta (1, 10, 50, 70, 90% de supervivencia) para (A) San Francisco Bay, CA-USA (B) Macau, Brasil (C) Chaplin Lake, Canada (D) Great Salt Lake, UT-USA; las larvas fueron cultivadas con una dieta de Dunaliella durante un período de 9 días (según Vanhaecke et al., 1984)

Figura 45. (continuación) Artemia persimilis (E: Buenos Aires, Argentina) y Artemia tunisiana (F: Larnaca, Chipre; G: Barbanera, España)

Figura 45. (continuación) Artemia parthenogenética (H: Shark Bay, Australia; I: Tuticorin, India; J: Margherita di Savoia, Italia; K: Tientsin, RP China)

Figura 46

Figura 46. Intervalo más frecuente de temperatura y salinidad para el cultivo de cepas de Artemia estudiadas por Vanhaecke et al., (1984) en el cual la supervivencia excede el 90%.

TABLA XVIII

Efectos de la temperatura sobre diferentes parámetros de producción para varias cepas geográficas de Artemia (según Vanhaecke y Sorgellos, en preparación)

Cepa geográficaTemperatura (°C)
2022.52527.53032.5
San Francisco Bay, CA-USA      
   Supervivencia (%)9797949166-5
   Producción de biomasa (%)1751011009488-
   Tasa de crecimiento específico20.431d40.464a0.463ab0.456b0.448c-
   Conversión de alimento33.89b3.35a3.64b3.87b4.15c-
Great Salt Lake, UT-USA      
   Supervivencia (%)778589898788
   Producción de biomasa (%)6910412212813578
   Tasa de crecimiento específico0.392e0.437c0.454b0.460ab0.465a0.406d
   Conversión de alimento3.79c2.90b2.65ab2.52a2.40a4.14d
Chaplin Lake, Canada      
   Supervivencia (%)7275776550-
   Producción de biomasa (%)7810210810690-
   Tasa de crecimiento específico0.422c0.452ab0.459a0.456a0.437bc-
   Conversión de alimento3.42a3.00a3.03a3.11a3.72a-
Manaure, Colombia      
   Supervivencia (%)949491938677
   Producción de biomasa (%)52102112110104105
   Tasa de crecimiento específico0.379c0.451b0.462a0.460ab0.454ab0.455ab
   Conversión de alimento5.82b3.43a3.36a3.40a3.62c3.56a
Buenos Aires, Argentina      
   Supervivencia (%)9690949180-
   Producción de biomasa (%)931131159896-
   Tasa de crecimiento específico0.462b0.483a0.485a0.468b0.465b-
   Conversión de alimento2.78a2.66a2.81a3.29b3.38b-
Lanarca, Chipre      
   Supervivencia (%)989489623-
   Producción de biomasa (%)619495830-
   Tasa de crecimiento específico0.384b0.430a0.432a0.417c0d-
   Conversión de alimento4.29b3.23a3.43a3.93b--
Shark Bay, Australia      
   Supervivencia (%)9796979268-
   Producción de biomasa (%)4867847566-
   Tasa de crecimiento específico0.332c0.369b0.393a0.381ab0.367b-
   Conversión de alimento6.49c5.35ab4.57a5.08a5.81bc-
Tientsin, PR China      
   Supervivencia (%)959491938454
   Producción de biomasa (%)416180928516
   Tasa de crecimiento específico0.299c0.343b0.371a0.387a0.378a0.208d
   Conversión de alimento7.22c5.42b4.46ab3.84a4.22ab22.04d

1 expresado como % del registrado para una cepa de Artemia de referencia (San Francisco Bay, lote 288–2596) a 25°C tras 9 días de cultivo a base de una dieta de células de Dunaliella

2 tasa de crecimiento específico
con T = duración del experimento en días (= 9)
3 conversión de alimento
F = μg de peso seco de Dunaliella aportada como alimento
Wt = μg de peso seco de biomasa de Artemia tras 9 días de cultivo
W0 = μg de peso seco de biomasa de Artemia al comienzo del experimento

4 medias con el mismo exponente (de a a e) no son significativamente diferentes al nível P<0.05

5 no analizada

TABLA XIX

Capacidad de producción óptima de varias cepas de Artemia a diferentes temperaturas de cultivo

20 °C: Buenos Aires, Chaplin Lake, Macau, San Francisco Bay
22.5 °C: Buenos Aires, Galera Zamba, Great Salt Lake, Chaplin Lake
25 °C: Great Salt Lake, Buenos Aires, Manaure, Galera Zamba, Chaplin Lake
27,5 °C: Great Salt Lake, Galera Zamba, Manaure, Chaplin Lake
30 °C: Great Salt Lake, Galera Zamba, Manaure
32,5 °C: Manaure, Galera Zamba, Great Salt Lake, Tuticorin
Figura 47

Figura 47. Producción de biomasa (círculos) y eficiencia de conversión del alimento (cuadrados) de larvas de Artemia cultivadas durante 9 días a base de una dieta de Dunaliella y a 5 temperaturas diferentes: San Francisco Bay (A), Great Salt Lake (B), Manaure (C) y Tientsin (D) (según Vanhaecke, 1983; el orígen de las cepas se encuentra descrito en la Tabla XVIII)

Figura 48

Figura 48. Intervalos óptimos de temperatura para el cultivo de diferentes cepas de Artemia (según Vanhaecke y Sorgeloos, en preparación; el origen de las cepas se recoge en la Tabla XVIII)

Figura 49

Figura 49. Bolsa (A) y caja de polexpan (“styrofoam”) conteniendo varias bolsas e hielo (B), usados para el transporte de Artemia viva

Tras un lavado minucioso con agua dulce o salada, la Artemia cosechada puede usarse directamente como alimento vivo de predadores de agua dulce o marinos. Dado que la Artemia es un hipoosmoregulador, sus fluidos corporales tienen un bajo contenido en sales (alrededor de 9‰) lo que lo convierte en un alimento aceptable para animales de agua dulce.

Cuando la Artemia es transferida a un medio de agua dulce, continua nadando durante, aproximadamente, unas 5 horas, tras lo cual, puede morir debido al “stress” osmoregulatorio.

Utilizando una tecnica similar a la empleada para el transporte de larvas de peces o crustáceos vivos, la biomamasa puede ser envasada viva en sacos plásticos conteniendo 1/3 de agua de mar enfriada (5–10°C) y 2/3 de oxígeno.

Tasas de supervivencia del 90 % se han obtenido en transporte de 24 horas, utilizando bolsas de plástico de 9 1 con un contenido de 300 gr de peso húmedo de Artemia adulta y 3 1 de agua de mar.

Una vez que la bolsa ha sido llenada con oxígeno, se retuerce la boca y se dobla hacia abajo rodeandola fuertemente con elásticos, colocando los sacos en cajas isotermas de polexpan (“styrofoam”) llenas de hielo (Fig. 49).

La biomasa cosechada que no es consumida en el acto puede ser congelada, o secada en migas despues de un lavado minucioso con agua dulce. Con el fín de garantizar la calidad óptima del producto, la Artemia puede ser congelada cuando todavia está viva. La biomasa escurrida se extenderá en capas delgadas, ej. 1 cm de espesor, en bolsas de plástico, o en bandejas de fabricación de cubos de hielo (ien cubos pequeños!) siendo depositadas en congeladores rápidos (al menos a - 25°C). El exoesqueleto de los adultos no se ve dañado cuando la biomasa es congelada adecuadamente. Una vez puestos a descongelar los cubos de Artemia, los animales aparecen intactos, con lo que no se poluciona el agua por la liberación de los fluídos corporales (ver Fig. 31 para control de calidad).

7.2.7. Esquema de manejo para el cultivo

7.2.8. Resultados de producción (Fig. 50)

Trabajando con varios tamaños de “raceways” equipados con AWL (con volúmenes comprendidos entre 300 l y 5000 l) hemos obtenido unas cosechas máximas cuyas medias son respectivamente de 7 y 5 kg de peso húmedo de biomasa/m3 al cabo de 2 semanas de cultivo.

Las cifras máximas de producción no se diferencian mucho en función de la alimentación o de la cepa utilizada. En cambio, el tiempo de cultivo y especialmente la eficiencia de conversion son función del tipo de alimento y de la cepa empleada.

7.3. Cultivo en circuito abierto

En comparación con los cultivos estancos en “raceways” con AWL y sin renovación de agua, se pueden lograr cultivos de Artemia de mucha mayor intensidad, usando la técnica de circuito abierto en el cual el agua es continuamente renovada. Es obvio que esta renovación continua de los metabolitos particulados y disueltos permitirá densidades de siembra más altas (ej. más de 20.000/l) y creará unas condiciones óptimas de cultivo. Como resultado de ello, se logran mejores tasas de crecimiento y supervivencia que en los cultivos estancos. Por otro lado las técnicas de circuito abierto permiten una mayor automatización y un mejor control de los procesos de cultivo.

Figura 51

Figura 51. Sección transversal de una unidad de cultivo, en circuito abierto, usando algas como alimento (según Tobias et al., 1980)

En contraste con la técnica de cultivo estanco, que se puede realizar en cualquier parte del mundo, la aplicación del cultivo en circuito abierto está limitado a aquellos lugares, donde se dispone de grandes volúmenes de agua de mar, suficientemente caliente, o donde la salmuera es disponible a un precio razonable, ej. plantas de desalinización, efluentes térmicos de centrales térmicas, pozos geotermales, efluentes de salinas, proyectos de afloramientos (“upwelling”) artificiales, sistemas de tratamientos terciarios. Esta restricción, sin embargo, se puede salvar con la adaptación de un método de producción, funcionando en circuito cerrado, tal como ha sido demostrado recientemente por Lavens et al., (1985). Un sistema de cultivo en circuito abierto, pero con racirculación, crea unas condiciones de independencia del medio de cultivo, pero, por otro lado, implica unos costos de producción más elevados.

7.3.1. Construcción y manejo de un sistema de cultivo en circuito abierto

El equipamiento más importante (y esencial) en el cultivo en circuito abierto es el filtro intercambiable y autolavable, que retiene a los animales en el medio de cultivo mientras que permite el paso del agua y los paquetes de heces. Inicialmente, cuando trabajamos con algas, vivas, utilizabamos el mismo tipo de filtro vertical de retención de Artemia que el empleado en los “raceways” con AWL para el tratamiento primario del medio (Fig. 41). La única diferencia era que el agua y las partículas de desechos, pasaban a través de la malla del filtro, saliendo del tanque de cultivo por medio de un tubo de desagüe que enlazaba el cilindro de PVC y la pared del tanque (Fig. 51).

Trabajando con salvado de arroz u otros alimentos inertes hemos observado que la colmatación de la malla del filtro, especialmente cuando usabamos las más finas, es mucho más importante. Por ello, se desarrolló un nuevo tipo de filtro que es más eficaz en su funcionamiento y a la vez más adecuado para un incremento en la escala de cultivo (Brisset et al., 1982). La construcción de este sistema de filtro rectangular está representada esquemáticamente en la Fig. 52

Figura 52

Figura 52. Diseño esquemático de un sistema de filtro rectangular usado en el cultivo en circuito abierto (según Brisset et al., 1982)

Este filtro consta de una estructura oblonga, con forma de embudo, ensamblada con piezas de madera o con tubos de PVC, codos y piezas en T. Los 4 extremos verticales estan montados formando un ángulo de 9 con el fondo. Los filtros de malla de nylon (mallas de 150, 200, 250, 300 y 400 μm) están fabricados para adaptarse al modelo y asegurar una fijación perfecta a la estructura de soporte. La parte más alta del filtro, que comienza justo por debajo del nivel del agua, está fabricada de nylon: esta superficie suave proporciona una oportunidad a las larvas que han sido atrapadas en la esouma, por efecto del collar de aireación, de deslizarse de nuevo al medio de cultivo. Cada filtro está equipado con un tubo de vaciado (2 cm de diámetro) instalado, bajo el agua, en uno de los laterales de menor tamaño. El sistema de filtración, es decir el filtro de saco y el armazón, se adapta exactamente dentro de un ćollar de aireación que ha sido pegado al fondo del tanque de cultivo y que está fabricado en tubería de PVC de 10 mm de diámetro y presenta perforaciones de 1.5 mm situadas a intervalos de 1 cm. El desplazamiento ascendente de las burbujas de aire, no solo previenen la colmatación de la superficie del filtro, sino que al mismo tiempo asegura una aireación y mezcla suficiente del cultivo.

Para los grandes tanques de cultivo se puede mantener el principio del “raceway” con AWL, con la instalación de uno o dos sistemas de filtración para vaciar las aguas etluentes fuera del tanque de cultivo.

En lugar del filtro cilíndrico o rectangular con malla de nylon descritos hasta ahora, un nuevo tipo de filtración cilíndrica ha sido ensayado recientemente por Lavens et al., (1985). Consiste en un cilindro vertical de malla prismática soldada fabricado en acero inoxidable, el fondo y la parte superior se insertan en unos anillos de PVC (Fig. 53). Un collar de aireación circular está fijado al anillo del fondo. El anillo superior de PVC (o un cilindro de plástico fijado sobre la parte superior del filtro, ver Foto 20) se coloca inmediatamente por debajo de la superficie del agua, reduciendo las pérdidas de larvas que hubieran sido atrapadas por la espuma.

El ensuciamiento de la parte interior del filtro, se reduce, en gran medida, colocando un cilindro de PVC en el interior del filtro para incrementar la tasa de flujo. Comparando con los filtros de nylon las tasas de colmatación se ven reducidas en gran medida, al mismo tiempo que la eliminación de partículas es mucho más eficiente (debido a las aberturas en hendidura frente a las aberturas cuadradas). Como resultado de todo allo, la tediosa labor diaria de limpieza de los filtros, solo es necesaria para las mallas más finas (150, 200 y 250 μm) mientras que las de mayor tamaño (300, 350 y 400 μm) solo es necesario limpiarlas en días alternos.

Figura 53

Figura 53. Cilindro filtrador de malla prismática soldada usado en el cultivo en circuito abierto

Fotografía 20

Fotografía 20: Filtro de acero inoxidable de malla prismática soldada usado en el cultivo en circuito abierto (A): detalle en un tanque vacío; B: puesto en funcionamiento)

Figura 54

Figura 54. Sistema de distribución de agua para el cultivo en circuito abierto

El agua es continuamente bombeada dentro del tanque de cultivo por medio de una tubería conectada a un depósito con presión hidrostática constante. Las tasas de flujo a los cultivos individuales deben ser ajustadas para lograr una eliminación aceptable de los paquetes fecales. En lugar de emplear grifos bastante caros, una solución más barata es el uso de tapas intercambiables de PVC adaptadas en la tubería de PVC de suministro de agua, estos tapones tienen una pequeña abertura, cuyo tamaño determinará la tasa de flujo (Fig. 54). Se calibrarán de antemano una serie de estos taponcitos con varios tamaños de abertura. Se puede de esta forma, cambiar facilmente el flujo de entrada en el tanque de cultivo intercambiando los tapones en la tubería de distribución.

Trabajando a una densidad larvaria de 10.000/1 el tiempo de retención se mantendrá en 3 horas durante los primeros días, siendo progresivamente reducido hasta un mínimo de una media hora a partir del doceavo día. Al comienzo del cultivo se instalará un filtro con una apertura de malla de 125 micras. A medida que los animales van creciendo es fundamental ir cambiandolo por mallas progresivamente mayores, de esta forma se mejora la capacidad de separación de los sólidos en suspensión del propio medio de cultivo.

7.3.2. Cultivos de alqas como combinación de alimento y medio de cultivo.

Los cultivos de microalgas marinas pueden ser utilizados como una combinación de medio de cultivo y una fuente de alimento para los cultivos de Artemia en circuito abierto (Tobias et al., 1979). Las algas pueden ser cultivadas tanto en el llamado “Proyecto de Afloramiento Artificial” (Roels et al., 1976), como en sistemas de tratamiento terciarios (Milligan et al., 1980) o bien pueden ser cósechadas de los estanques de evaporación de las salinas. A pesar de que D'Agostino (1980) publicó una larga lista de especies de algas aptas para el cultivo de Artemia (ver Tabla XX), es aconsejable verificar la calidad nutritiva (ingestibilidad, digestibilidad y valor alimenticio) de las cepas de algas seleccionadas, por medio de ensayos preliminares de crecimiento y supervivencia, ej. inoculando placas Petri de vidrio (10 cm de diámetro) con 10 nauplios recién nacidos en 25 ml de la suspensión de algas (a diferentes concentraciones celulares) durante 7 días.

TABLA XX
Medida cualitativa del valor nutritivo de varias cepas de algas usadas como alimento en cultivos monoxénicos de Artemia de Great Salt Lake (UT, USA) (según D'Agostino, 1980)
 SupervivenciaEstados de desarrollo alcanzados SupervivenciaEstados de desarrollo alcanzados
(días)JuvenilPre-adultoM-HH-huevos(días)juvenilPre-adultoM-HH-huevos
Chiorophycese     Dinoonvceae     
brachiomonasosp. (no 7)   20–24 Ampnidinium carreri (no 1)1–2TNC   
Brachiomonas pulsifera   10–15 Glenodinium montanum (no 1120)1–2TNC   
Brachiomonas submarina  6–7  Gonvaulax catenella1–3TNC   
Carterii sp. (no 1)10–13NC   Gonyaulax monilata1–3TNC   
Carterii chui6–8NC   Gonyaulax tamarensis1–2TNC   
Carterii convaluta6–8NC   Gymnodinium sp. (Thomas)6–12NC   
Chlorella marina (no 580)  16–18  Gymnodimium brevis1–2T    
Dunaliella sp. (brine)9–10NC   Gyrodinium connil5–8NC   
Dunaliella sp. (marina)    14–18Peridinium sp.3–10NC   
Dunaliella parva8–9NC   Peridinium triquetum3–7NC   
Dunaliella salina    16–20Peridinium trocnoideum2–4NC   
Dunaliella terriolecta    15–20Prorocentrum micans2–9NC   
Dunaliella viridis    18–20Bacillariophvceae     
Nanochloris oculats   15–40 Acnnantnes brevipos 8–12   
Nanochloris thomas   16–30 Amphora coffaciformis   20–21 
Platymonas tetrahela   18–32 Amphora palunosa  10–14  
Prasinocladus lubricus  25–28  Amphora perpusilla   18–25 
Pyramimonas incostans8–10NC   Chaetoceros lorenzianus2–8NC   
Stephanoptera gracilis   20–28 Cosciuodiscus asteromphalus3–8NC   
Stichococcus fragilis4–5NC   Cyclotella sp.   14–18 
Chrysophyceae     Cyclotella nana (no 131)2–8NC   
Chrysochromulina brevifilum2–4NC   Cyclotella nana (no 3H)   15–19 
Chrysochromulina strobilum3–6NC   Navicula incerta  8–13  
Chrysochromulina kappa2–7NC   Nitzacnia sp.   14–28 
Coccolithus huxleii (no 92A)9–10NC   Nitzachia acicularis   15–16 
Hymenomonas sp. (no 156)1–7NC   Nitzachia closterium (no 640)   16–17 
Isochrysis galbana   10–14 Nitzachia frustulum (no 53M)  19–20  
Manochrysis lucherii   20–30 Nitzachia frustulum (no 13M)3–24NC   
Pavlova gyrans3–13NC   Nitzachia ovalis (no 49M)  13–20  
Stichochrysis inmobilis    28–30Phaeodactylum tricornutum 13–15   
Syrachosphera sp. (no 181)2–7NC   Rhizosolenia sp.2–4NC   
Syrachosphera elongata   20–30 Skeletonema costatum2–6NC   
      Stephanopyxis turis2–12NC   
Cryptophycease     Thallasiosira fluviatilis2–6NC   
Chroomonas sp.    20–23      
Chroomonas pauciplastida6–12NC   Cyanophyceae     
Cryptomonas sp.    12–14Coccocnioris sp. 8–13   
Hemiselmis rufescena    13–15Plectonema roseolum3–11NC   
Hemiselmis Virescena 9–10   Rhodoonvceae     
Rhodomonas sp.    14–15Rhodosarus marina 4–14   
Rhodomonas lens    11–14      
      Euelenophyceae     
      Eutreptia sp.4–13NC   

Las cifras indican el número de días de supervivencia o los días empleados
para alcanzar el estado de desarrollo indicado: M-H - sexualmente diferen
ciado (M) machos y (H) hembras, H- huevos - hembras adultas con huevos.
NC = sin crecimiento; T = tóxico.

Antes de iniciar un cultivo en circuito abierto, con un alga adecuada, se necesita determinar la llamada “concentración mínima celular de algas”. Ya que, bajo ciertas concentraciones críticas de densidad alimentaria, las larvas no pueden tomar una cantidad de energía necesaria por unidad de tiempo, para completar sus necesidades metabólicas y poder crecer.

A fín de conocer la concentración mínima celular a la que se puede cultivar Artemia, se puede realizar el siguiente ensayo: 3.000 larvas (preferentemente en estado II-III) son puestas en suspensión con una aireación suave dentro de una probeta de 2 l, llena con una concentración conocida de algas (la concentración que produjo los mejores resultados durante los ensayos preliminares de crecimiento y supervivencia). La temperatura se mantendrá constante a 25°C, midiendo la densidad de algas cada 10 minutos (ver la descripción de la técnica de recuento con una cámara cuentaglóbulos en el Apéndice 7) y representándola sobre una gráfica (Fig. 55). Este muestreo se prolongará hasta que ya no se registre ninguna caída significativa en la concentración celular. El valor, al que los niveles de ingestión se detiene (alrededor de 5.000 cel/ml para Chaetoceros curvisetus, ver fig. 55), es específico de la especie de alga (especialmente determinado por las dimensiones celulares) y se considera como la concentración mínima celular para el cultivo en circuito abierto. La conversión más eficiente de las algas por la Artemia cultivada en circuito abierto, se logra, cuando la concentración de algas en el efluente se aproxima a la concentración mínima celular. Esto se puede conseguir, ajustando el tiempo de retención del flujo de entrada del cultivo de algas que se aporta al tanque de Artemia, en función de la concentración celular existente en el efluente del propio tanque de Artemia. La densidad celular en el efluente se medirá diariamente, ajustando el flujo de entrada del cultivo de algas para asegurar el mantenimiento de un número suficiente de células en el tanque de cultivo. Las producciones están limitadas, mayormente, por la densidad celular an el cultivo de algas, ej. en el Proyecto de Afloramiento Artificial de St. Croix los tiempos de retención en el estado pre-adulto (es decir animales con 2 semanas de edad) tuvieron que ser reducidos a unos pocos minutos para asegurar un aporte suficiente de alimento a una densidad de Artemia de 18.000/1. Las máximas cosechas obtuvieron una media de 25 kg de biomasa en peso húmedo/m3 empleando un volumen total de cultivo de Chaetoceros curvisetus (STX-167) de 4.000 m3 a una densidad celular de 4,5 ×104 cel./ml (Roels et al., 1979; Sorgeloos, 1985).

Figura 55

Figura 55. Descenso en la concentración celular de Chaetoceros curvisetus en ensayos de cultivo estanco con Artemia adulta (más detalles en el texto)

Esquema de manejo del cultivo:

Figura 56

Figura 56. Esquema de un medidor electrónico de transparencia usado en el cultivo de Artemia en circuito abierto (según Lavens et al., 1985)

7.3.3. Utilización de alimentos inertes en el cultivo en circuito abierto

El empleo de algas vivas en al cultivo en circuito abierto de Artemia está fundamentalmente restringido por los grandes volúmenes de algas necesarios para la producción de la biomasa de Artemia. La gama de alimentos potencialmente adecuados para el cultivo de Artemia, no está limitado, sin embargo, a las algas vivas. Alimentos inertes baratos que han demostrado ser adecuados en los cultivos estancos pueden tambien ser usados, pudiendo ahora, ademas, considerar alimentos que tienen una solubilidad elevada en agua tales como leche desnatada deshidratada y la harina de soja. De manera general, la preparación del alimento, las técnicas estratégicas de alimentación son similares a las descritas en el apartado 7.2.2..

Dado que la densidad de animales es más elevada y el agua del cultivo es renovada continuamente, la suspensión de alimento debe ser añadida mucho más frecuentemente (preferentemente cada pocos minutos) para minimizar las fluctuaciones en la concentración de alimento. Las cantidades y tasas de adición de la suspensión concentrada de alimento son controladas por lecturas de la transparencia realizadas en el interior del sistema de filtración. La transparencia en el medio de cultivo se mantendrá en 25 cm, aproximadamente. Desde la segunda semana en adelante, el control de la transparencia del régimen alimenticio se hace más dificil ya que la toma de alimento es muy rápida debido a la elevada densidad de estos filtradores tan efectivos. Cuando la transparencia se mantiene por encima de 25 cm, es mejor controlar las adiciones de alimento, en términos de peso seco de alimento por biomasa en peso húmedo en el tanque (ver apartado 7.5.1.1.).

Tal como ha sido descrito por Lavens et al., (1985) se puede conectar al efluente del tanque de cultivo un medidor de transparencia, bastante simple (Fig. 56), para controlar las condiciones eventuales de sobrealimentación.

Cuando la transparencia del medio de cultivo cae por debajo de un mínimo preseleccionado, el medidor electrónico activará el encendido de la bomba distribuidora del alimento. El flujo continuado de agua a través del aparato, junto a una inyección regular de aire cerca del emisor de luz, limita la sedimentación y colmatación. Este sistema es simple de construir y asegura unas medidas precisas de la transparencia durante períodos de más de 24 horas.

Según van creciendo los animales, los tiempos de retención deben ser acortados para permitir una eficiente eliminación de los paquetes fecales y las mudas. Debido a estos cortos períodos de retención una buena proporción del alimento aparece presente en las aguas del efluente. Con el fín de limitar las tasas de consumo de agua y evitar de esta forma la pérdida de alimento, es posible realizar un reciclaje parcial de los efluentes por medio de un separador de places.

Según nuestra experiencia con alimentos inertes, las cifras de producción son comparables a esas obtenidas con los cultivos de algas, ej. se consiguieron cosechas de 20 kg de Artemia por metro cúbico tras dos semanas de cultivo a 25°C utilizando salvado de arroz micronizado como alimento y alrededor de 150 m3 de agua de mar como medio de cultivo. Unas cifras similares de producción se han logrado recientemente usando desechos de soja como alimento. La adecuación de estos alimentos inertes para el cultivo de Artemia está reflejada en las tasas de conversión del alimento, ej. 0.75 kg de alimento seco para producir 1 kg en peso húmedo de biomasa de Artemia.

Esquema de manejo del cultivo:

7.3.4. Cultivo en circuito abierto con recirculación

Un requerimiento básico para el cultivo en circuito abierto es la disponibilidad de grandes volúmenes de agua de mar caliente o de salmuera, lo que restringe su aplicación a un número limitado de lugares. Sin embargo, esto se puede superar con la adopción de la misma técnica de cultivo aunque aplicando un sistema de flujo continuo en circuito cerrado. Ello implica la adición de una unidad de filtración biológica, combinada con un sistema de separación de partículas y una unidad de desinfección para tratar los efluentes del tanque de cultivo cargados de productos de excreción, tales como restos de heces y metabolitos solubles, exuvias, particulas y agregados de alimento, etc.

El sistema de purificación consiste, esencialmente, en la degradación de los compuestos orgánicos solubles por medio de la mineralización y nitrificación bacteriana, así como la eliminación de esta biomasa orgánica.

Figura 57

Figura 57. Esquema del montaje de una unidad de cultivo en circuito cerrado con flujo continuo (1) = sistema de tamiz de flujo cruzado; (2) = separador de placa (según Lavens et al., 1984)

Los procesos de nitrificación aerobia son especialmente importantes, ya que por ellos se convierte el amonio, producido en la mineralización, y que es tóxico a baja concentración, en nitritos (tambien tóxicos) y finalmente en nitratos (solamente tóxicos a niveles relativamente altos). Por lo tanto el sistema de purificación biológica requiere un medio oxigenado y grandes cantidades de sustrato sobre el que las bacterias puedan fijarse.

A pesar del uso frecuente de tales sistemas de circuito cerrado para el cultivo de organismos acuáticos, existe todavia una falta de conocimientos básicos para diseñar un sistema de recirculación bien equilibrado; aparentemente, el buen manejo de un sistema de circuito cerrado caé más en la categoría de un arte que en la de una ciencia (ver revisiones en Chiba, 1981; Rosenthal, 1981b). Hablando de forma práctica, esto significa que no existe hasta ahora un concepto “óptimo” para sistemas marinos de recirculación.

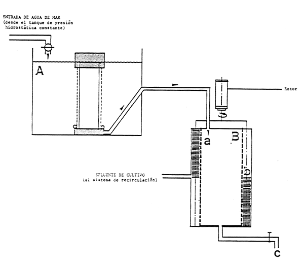
En los ultimos años se ha ido ganando, en el Centro de Referencia de Artemia, experiencia práctica con cultivos cerrados de flujo contínuo, usando un disco rotatorio de contacto biológico o biodisco, como unidad de tratamiento biológico (Lavens y Sorgeloos, 1984, Lavens et al., 1985, ver diagrama en figura 57 y Foto 21). Los efluentes de seis tanques de cultivo de 300 l son recogidos y vaciados en el biodisco. Este sistema de purificación biológica fue seleccionado ya que había sido utilizado con éxito en el cultivo en circuito cerrado de peces y crustáceos (Lewis y Buynak, 1976, Mock et al., 1977), además de por su estabilidad de operación, bajo condiciones de fluctuaciones hidraúlicas o de carga en materia orgánica. Mayores detalles técnicos sobre los procesos en el biodisco pueden encontrarse en Lewis y Buynak (1976), Clark et al., (1977) y Famularo et al., (1978).

Nuestro biodisco consiste de 4 unidades formadas por discos de PVC espolvoreados de arena (1 m de diámetro) que giran a 6 rpm en compartimentos interconectados (Fig. 58). El total de la superficie de contacto es de 190 m2. El modelo de flujo específico del efluente de agua en el biodisco, asegura un contacto cercano de los desechos orgánicos disueltos con las bacterias fijadas a los discos. El oxígeno es suministrado a esos microorganismos durante la rotación cuando la superficie plana del disco es expuesta al aire.

Fotografía 21

Fotografía 21. Vista general (A) y detalles de los tanques de cultivo de 300 1 (B) instalados para el cultivo en circuito cerrado por flujo continuo (a): unidad de disco biológico; b: tamiz de flujo cruzado; c: separador de placa; d: columna de presión hidrostática constante; e: tanque de cultivo de 300 1)

Figura 58

Figura 58. Esquema de un filtro biológico de contacto rotatorio (A) Vista superior, (B) Vista lateral, (C) Vista de la sección transversal de una unidad (según Lavens y Sorgeloos, 1984)

TABLA XXI

Datos de producción de Artemia de Great Salt Lake cultivada con varias dietas durante 14 días en un sistema de recirculación (recopilado de Lavens et al., 1986)

Composición de la dietaSupervivencia CrecimientoProducción de biomasaEficiencia de conversión
%(mm)(g/l)
Día 7Día 14Día 7Día 14Día 7Día 14Día 7Día 14
subproducto del maíz - salvado de arroz (1:1)93731.83.52.311.61.60.65
subproducto del maíz - desechos de la soja (4:1)59193.18.25.011.30.841.13
subproducto del maíz - subproducto del trigo (1:1)71702.25.6-7.2-1.04
subproducto del maíz - salvado de trigo (1:1)85712.24.93.514.51.30.8
subproducto del queso76152.15.14.14.30.480.58
subproducto del maíz - subproducto del queso (1:1)80333.67.77.914.70.510.82

El efluente del tratamiento biológico es bombeado sobre un tamiz de flujo cruzado y su vertido desagüa en un separador de placas (ver 7.2.3.). El medio de cultivo, libre de sólidos en suspensión, es vaciado finalmente en un tanque de almacenamiento desde donde es bombeado a la torre de presión hidrostática constante y desde allí al circuito de flujo continuo (ver 7.3.1.).

El tratamiento biológico y mecánico de este sistema, da como resultado unas tasas de purificación que llegan a ser inferiores a 5 mg/1 de BOD para una tasa de flujo de 3 m3 por hora, con un volumen total de cultivo de 6 m3 de agua de mar (Lavens et al., 1985). La limpieza rutinaria diaria del separador de placas, sistemas de filtración etc. resulta en un cambio de agua total, incluyendo compensaciones por evaporación de hasta el 100% por mes. La presencia de compuestos nitrogenados fue analizada regularmente , permaneciendo por debajo de 0,10 ppm de amonio y 0,15 ppm de nitrito.

Nuestro sistema de circuito cerrado con flujo continuo no incluye un sistema de desinfección, ej. esterilizador, U.V. u ozonizador. En algunas ocasiones hemos sufrido perdidas completas como resultado de una contaminación por Leucothrix; la totalidad del sistema de cultivo tuvo que ser vaciado y desinfectado (con hipoclorito). Según Kinne (1976) Liao (1981) y Rosenthal (1981a) se debería incorporar al sistema de cultivo en flujo continuo, un sistema de desinfección “en el circuito”.

Aunque nuestro sistema actual de recirculación puede ser ulteriormente mejorado, las cifras de producción son comparables a esas obtenidas en un sistema de cultivo en circuito abierto con alimento inerte; ej. se pueden cosechar 6 kg de peso vivo de Artemia en un tanque de 300 1 tras 2 semanas de cultivo con un consumo de 4,6 kg de alimento micronizado; la tasa de supervivencia y la talla de los animales al final del período de cultivo promediaron el 60% y 6 mm respectivamente. Más detalles están recogidos en la Tabla XXI.

TABLA XXII

Datos sobre la composición porcentual de los 6 principales ácidos grasos en Artemia cultivada. Los datos estan expresados como porcentaje del total de esteres metilados de ácidos grasos para cada una de las muestras (recopilado por Léger

Cepa de ArtemiaFuente de alimento Acido graso
16:016:18:18:18:20:
 1w751w952w63w35w3
SFB1Chaetoceros4 microencapsulado15.519.430.62.83.912.7
dietas4 -libre de lípidos13.66.843.28.27.01.6
           -aceite de hígado de bacalao9.47.243.77.86.99.2
           -aceite de almeja9.45.640.15.56.38.0
           -áceite de soja12.42.935.120.77.53.4
SFBextracto de harina de trigó9.66.928.922.87.92.3
extracto de salvado de arroz24.44.934.326.14.52.2
extracto de arroz molido12.84.023.410.111.27.7
SFBsalvado de arroz15.210.933.621.61.70.8
(N 236–2016)salvado de arroz + aceite de hígado de bacalao12.214.436.49.11.29.2
SFBsalvado de arroz14.49.030.216.54.81.6
(N 1628)salvado de arroz + aceite de hígado de bacalao11.010.732.86.24.18.8
GSL2maíz10.65.839.532.01.62.2
copra14.111.332.98.00.91.3
salvado de arroz11.96.739.129.11.91.2
soja8.94.237.333.13.51.0
Chaetoceros11.722.517.25.00.918.6
Dunaliella14.72.427.313.420.24.7
subproducto del maíz A12.06.133.135.81.50.5
subproducto del maíz B12.09.631.227.42.11.1
salvado de arroz desgrasado13.39.136.123.51.80.9
n.s.3Chaetoceros11.644.918.40.70.512.0
n.s.Chlamydomonas12.04.414.07.711.94.6
n.s.Monochrysis12.913.417.86.54.417.3
n.s.Phaeodactylum9.89.221.610.09.011.0
n.s.Platymonas12.05.014.76.513.99.2

1 San Francisco Bay, CA-USA
2 Great Salt Lake, UT-USA
3 origen no especificado
4 sólo fracción lipídica polar dada para las series de SFB alimentadas conChaetoceros y con dietas microencapsuladas
5 pude incluír otros monoenos

7.4. Valor nutritivo de la Artemia cultivada

La Artemia producida en los sistemas intensivos de cultivo puede ser usada como un alimento válido para las larvas de varias aspecies de peces y crustáceos (ver revisión en Léger et al., 1986a, ver tambien la sección 6).

Contrariamente a lo que sucede con los animales provenientes del medio natural, el perfil en ácidos grasos de los ejemplares cultivados a base de alimentos de origen terrestre (ej. productos de desecho agricolas) no presentan niveles significativos de los ácidos grasos esenciales 20:5 w3 y 22:6 w3 (ver Tabla XXII). Sin embargo, esta deficiencia puede ser remediada con la aplicación de las técnicas de enriquecimiento; empleando dietas similares a las descritas con anterioridad para los nauplios (ver apartado 5.4.5.). De hecho, esta técnica de encapsulación proporciona interesantes oportunidades para usar la biomasa de Artemia, no solo, como un alimento atractivo sino que al mismo tiempo puede servir de transportador para la administración de productos diversos a las larvas de los predadores, ej. nutrientes esenciales, pigmentos, profilácticos, terapéuticos, hormonas, etc.

La Artemia producida en los cultivos intensivos puede ser preferida a la biomasa natural, ya que al haber sido producida esta última a salinidades elevadas, puede que no sobreviva tanto tiempo cuando se la introduce en agua de mar natural; además la Artemia natural puede ser portadora de organismos infecciosos tales como Cestodos, Espiroquetas, Hongos, y Procariotas intracelulares. La Artemia cultivada a base de diversos desechos agrícolas, en sistemas de cultivo estancos ha demostrado ser relativamente limpia en lo que respecta a contaminaciones microbianas. Otra ventaja de usar Artemia cultivada es que se puede producir con una diversidad de tamaños desde 0,5 mm hasta más de 10 mm, y poder asi ser suministrada a los predadores conforme a sus requerimientos alimenticios de tallas determinadas.

7.5. Uso potencial de las técnicas de cultivo intensivo para la producción controlada de quistes o nauplios

La técnica de cultivo de Artemia en circuito abierto, tal como fue descrita en la sección 7.3.4., puede ser adaptada para la producción controlada de quistes o nauplios, ofreciendo con ello perspectivas interesantes para la aplicación en “hatcheries” acuícolas. El control del tipo de reproducción no solo crea una independencia del mercado internacional de los quistes, con sus fluctuaciones de precios y de cantidades disponibles, sino que tambien da, con mucho, un mejor control de la calidad de este alimento vivo. Además, tal técnica permite una integración adecuada de la Artemia en una planta de acuicultura: la puesta producida puede ser entonces utilizada directamente como fuente de alimento en la “hatchery”, o puede ser sembrada en tanques de cultivo para producir juveniles y animales reproductoramente activos, que serán suministrados como alimento, respectivamente a los estados de pre-engorde y maduración de los predadores.

La técnica para la producción controlada de puestas de Artemia, requiere tres modificaciones esenciales con respecto a la técnica de producción de biomasa:

7.5.1. Composición específica de la dieta y estrategias para la alimentación de adultos.

Con el fín de asegurar una tasa de supervivencia elevadas y una actividad reproductora máxima, es necesario ofrecer a los adultos una dieta mucho más compleja, ej. una mezcla de subproductos de arroz y maiz, proteinas unicelulares y un enriquecimiento en ácidos grasos poliinsaturados (HUFA). En suma, los requerimientos alimenticios no pueden ya ser dosificados por lecturas de transparencia (densidades de animales muy altas, actividad filtradora para la alimentación muy eficaz). En su lugar, una ración diaria de 10% de alimento (porcentaje en peso seco de alimento del total de biomasa viva) distribuida cada 5 minutos durante las 24 horas, alcanza los mejores resultados de producción (Lavens y Soegeloos, 1986).

TABLA XXIII

Composición en ácidos grasos del estado I de Artemia eclosionados a partir de quistes producidos en sistemas de cultivo intensivo, y de las dietas alimenticias de los cultivos parentales (recopilado de Lavens et al., 1986b)

EMAGLVD2salvado de arrozLVD alimentada con salvado de arrozsalvado de arroz enriquecidoLVD alimentada con salvado de arroz enriquecidoSpirulinaLVD alimentada con Spirulina
material Area % parental mg/gDWArea %Area %mg/gDWArea %Area %mg/gDWArea %Area %
14:00.90.630.50.170.143.50.90.821.10.6
14:11.230.83traza0.40.32traza0.80.740.11.2
15:00.70.48traza0.30.26 0.10.31.30.1
15:10.60.43---traza0.30.300.70.1
16:012.58.4422.012.29.8812.39.08.4038.010.9
16:1w77.85.300.62.62.128.97.77.2210.94.8
16:20.80.57 0.80.68 0.80.8  
17:01.30.9 0.40.34 0.30.27  
16:32.21.51traza0.20.19traza0.50.461.51.0
18:05.23.52.83.62.882.52.22.071.72.8
18:1w7/917.912.0936.240.532.7324.046.943.874.136.3
18:26.44.3234.835.728.816.018.617.3715.036.0
18:3w320.814.052.21.51.190.91.71.5922.234.43
20:11.10.74 0.70.58 0.90.88  
20:41.30.890.50.10.100.40.40.330.40.4
20:5w35.03.39-0.30.248.27.57.030.20.2
22:6-----9.00.40.37--

1 ester metilo del ácido graso EMAG expresado en % del total de EMAG (% de área) o en mg/g de peso seco de Artemia

2 Lavalduc, Francia

3 principalmente 18:3w6

El valor nutritivo del alimento no solo es importante en la dieta de los adultos de Artemia, sino tambien en la calidad de sus puestas, usadas como alimento de peces y crustáceos. La composición nutritiva, especialmente el perfil en ácidos grasos, de los quistes o las larvas producidos es un reflejo de la composición de la dieta (Tabla XXIII).

7.5.2. Inducción de la oviparidad u ovoviviparidad

A fin de obtener una población homogenea con todas las hembras en el mismo modo reproductor (ovipara= quistes; ovovivipara= nauplios), se necesitan manipular rigurosamente algunas condiciones abióticas.

Básicamente, la producción de quistes es inducida por deficiencias cíclicas de oxígeno (ej. 5 minutos de aireación con N2 en intervalos de 4 horas; Lavens y Sorgeloos, 1984) en combinación con un enriquecimiento en Fe del medio de cultivo. Estos factores estimulan las glándulas pardas de la concha para segregar la cápsula del quiste (rica en hematina, un producto de descomposición de la hemoglobina de color marrón), alrededor de los primeros estadíos embrionarios. Las deficiencias cíclicas de oxigeno, junto con la adición de Fe favorece la producción de una hemoglobina específica que induce, eventualmente, la producción del quiste (Versichele y Sorgeloos, 1980; Lavens y Sorgeloos, 1984).

La producción de nauplios, por el contrario, está favorecida por unas condiciones (a)-bióticas, especialmente estables, con relación a las condiciones de oxigenación en el medio de cultivo. Más aún, la dieta no puede interferir con las condiciones de oxígeno en el tanque de cultivo.

7.5.3. Técnica de recuperación de puestas por cosecha contínua.

Una técnica para la recogida continua de las puestas que son vertidas con el efluente del tanque de cultivo, puede adaptarse facilmente a un sistema de cultivo en circuito abierto (Fig. 59). Tambien hemos desarrollado unos filtros especiales, utilizando tamices verticales de malla prismática soldada de 150 μm (para nauplios) o de 175 μm (para quistes) que tienen una alta capacidad de filtración, permitiendo de esta forma una concentración continua del material producido sin problemas de colmatación. Las cosechas diarias son lavadas de otros desechos por medio de una técnica de sedimentación diferencial para los quistes (ver sección 3.2.) o por medio del fototactismo en el caso de las larvas.

Figura 59

Figura 59. Diagrama esquemático del montaje de un recuperador de nauplios en un sistema de cultivo en circuito abierto. A: tanque de cultivo con adultos; B: filtro invertido de malla prismática soldada de acero inoxidable para la recuperación de nauplios (a: entrada de nauplios + heces; b: cepillo rotatorio para la limpieza del filtro; c: recogida de nauplios).
(según Lavens y Sorgeloos, 1986)

Figura 60

Figura 60. Esquema de una salina con presencia natural de Artemia (según Sorgeloos, 1983)


Página precedente Inicěo de página Página siguiente