La formulación y evaluación de proyectos, se ve dentro del contexto del programa más amplio que abarca temas de planificación y de gerencia de proyectos acuícolas.
El tema de formulación de proyectos se deberá tratar entonces como parte de un proceso más global de planeamiento y administración, en el cual la evaluación de proyectos es una herramienta más a considerar para la toma de decisiones.
La evaluación de proyectos deberá ser explicada como la forma de “medir” si una determinada idea tiene o no viabilidad técnico-económica. Según ello debe hacerse presente a los alumnos que la evaluación se aplicará tanto sobre una decisión de invertir en un proyecto completamente nuevo, como en una idea de complementación de alguna actividad. Asimismo de acuerdo a lo observado en la práctica según las distintas realidades es importante señalar las diferencias entre lo que es el objectivo de una evaluación social y una privada.
Se debe entregar los conceptos del proceso de inversión y de las partes y etapas que componen un proyecto, vale decir, el ciclo de vida de un proyecto.
Se deberá capacitar a los alumnos en aquellos conceptos base que forman parte de la evaluación de proyectos. Por ejemplo: depreciación, inversión, activos fijos, activos nominales, capital de trabajo, amortización, tasas de interés, etc…
Se deberá capacitar a los alumnos en la construcción de flujos simples y en el significado de los principales indicadores de rentabilidad como el VAN, TIR, relación beneficio/costo y período de recuperación de capital, así como también en el cálculo de estos indicadores. También deberán comprender los análisis de sensibilidad frente a cambios en las condiciones de algunos parámetros que se consideran críticos en la evaluación como por ejemplo los precios, tasa de interés, costos de producción.
Se espera que los alumnos al término de este módulo sean capaces de distinguir los distintos conceptos, adquieran una sensibilidad respecto a lo que significa la decisión de llevar adelante un proyecto y que hayan logrado comprender la necesidad de trabajo interdisciplinario para este tipo de toma de decisiones. Asimismo que tengan sensibilidad por lo que puede significar un proceso de inversión incorporado a uno más amplio de planeación y de gerencia.
Considerando que el grado de conocimiento del tema por parte de los alumnos es heterogéneo, es indispensable que se incluya la etapa de explicación de conceptos base, así como el uso de un lenguaje que sea uniforme para las distintas especialidades de los asistentes.
Dependiendo del grado de conocimiento previo sobre el tema el alumno podrá quedar capacitado para desarrollar evaluaciones por su cuenta. Sin embargo, si no ha estado expuesto previamente al tema, entonces se asume que optará al curso en su versión básica; siendo este el caso, el curso no lo capacitará para efectuar las evaluaciones bajo su responsabilidad, pero si le entregará las herramientas para entender el tema, para poder encargar una evaluación a terceros o incorporarse a un equipo evaluador y para poder especificar requerimientos o para interpretar resultados.
En todo el desarrollo del módulo se deberá dirigir la teoría a temas específicos de la acuicultura.
El enfoque macroeconómico es aquel que se refiere a«… los distintos elementos que participan en la vida económica de una nación, sus conexiones y dependencias, que se suman en un todo denominado sistema económico »
En este sentido, las principales categorías del sistema económico son:
El producto nacional P, entendido como el valor monetario de los bienes y servicios que produce un país durante un período determinado, generalmente un año.
El consumo C, definido como aquella parte del producto que la población destina a su reproducción y satisfacción de necesidades físicas y espirituales.
El ahorro A, por definición la diferencia entre producto y consumo, que se destina a la reproducción del capital y su origen puede ser interno o externo.
La inversión I, como aquella parte del ahorro que se aplica a la formación bruta de capital fijo o la adquisición de bienes de capital para producir otros bienes y servicios. Otra forma de definir la inversión es el cambio de un gasto inmediato en consumo por un ingreso monetario futuro mayor.
La tasa de interés i, como premio o pago que se hace al ahorro y que permite dinamizar y equilibrar los flujos de ahorro e inversión, producto y consumo.
El nivel de empleo, como su nombre lo indica se refiere a la contratación de la fuerza de trabajo de la economía, en sus distintos niveles de calificación y aptitud laboral.
Estas categorías forman un conjunto o todo articulado e interdependiente, que refleja la dinámica económica de una nación. La ecuación fundamental de este modelo es P = C + A, misma que se trata de ampliar en el tiempo, a través de la política macroeconómica.
Funcionalmente, la producción y el empleo dependen de la inversión [P, E = f(I)], así como el nivel de consumo y ahorro dependen de la producción y de coeficientes técnicos históricos comprobables estadísticamente.
La inversión es una variable macroeconómica de tipo dinámico, cuya importancia radica en que influye directamente en el nivel de producción y empleo de una economía, y con ello en el ciclo económico.
El comportamiento de la inversión es dinámico y depende a su vez de varios factores: el nivel de ahorro, el nivel de la tasa de interés, las expectativas económicas a futuro, el comportamiento de la demanda agregada de un país, los cambios tecnológicos y la dotación de recursos naturales.
La inversión en un país se desagrega de varias maneras:
nacional y extranjera,
por sectores de actividad económica,
por regiones,
por su origen público o privado, y
por el proceso de presupuestación pública, en planeada, inducida o autónoma.
Desde otro punto de vista, la inversión se clasifica en especulativa y productiva. La primera es de tipo financiero y se realiza a corto plazo (convencionalmente menos de un año) y su principal fin es obtener una ganancia monetaria mediante la compra venta de títulos o valores públicos o privados que se comercializan en el sistema financiero, principalmente en el mercado de valores. Por su parte, la inversión productiva implica la asignación de recursos a largo plazo, mediante la adquisición de equipos y tecnología, para producir bienes o servicios.
Al desagregar la inversión nacional, ésta puede definirse como la suma de la inversión en los diferentes sectores y/o regiones de la economía y, a la vez, la inversión sectorial puede considerarse como la suma de múltiples iniciativas individuales en proyectos productivos de inversión dentro de un sector de actividad común, como por ejemplo el acuícola, durante un período determinado.
El nivel de inversión, así como la tecnología seleccionada, tendrá impacto tanto sobre la nueva capacidad de producción instalada de un país, sector, región o empresa, así como en la generación adicional de producto (bienes o servicios) y empleo dentro de una economía.
A nivel internacional, la inversión se orienta principalmente en función de la dotación de recursos de un país, debido a sus ventajas comparativas en términos de costo respecto a otros países con menor dotación relativa de ciertos recursos. De ahí que se observen economías preponderantemente basadas en inversiones dentro de sectores como: el petróleo, la minería, la pesca, la ganadería, etc…
La actividad económica como tal es continua, al igual que el proceso macroeconómico de inversión, presentando ciclos, con etapas de auge y expansión, así como con fases estables y recesivas.
En su lucha por elevar el bienestar social, los gobiernos buscan mantener tendencias estables o ascendentes en el nivel de actividad económica y de inversión, para propiciar el pleno empleo de recursos en un país, tratando de atenuar fases recesivas, dados sus efectos adversos en la producción, empleo y nivel de ingresos.
Las decisiones de política de inversión a nivel macroeconómico requieren definir el papel de la inversión externa dentro de las economías nacionales, ya que dichos recursos suelen dinamizar la actividad económica de los países receptores, complementando la inversión local y aportando nuevas tecnologías.
Desde el punto de vista de la planificación económica, los gobiernos instrumentan políticas y estrategias macroeconómicas para alentar la inversión productiva, a nivel nacional, sectorial, regional y microeconómico o empresarial, con el fin de elevar los niveles de producción y empleo.
Se trata con ello de inducir la inversión productiva — o en “proyectos productivos” —, es decir, la que implica producción de bienes y servicios mediante la transformación de insumos.
De esta forma, el gobierno, como órgano coordinador de la planificación y por tanto de la política macroeconómica de los países, es responsable de dinamizar los procesos económicos de las naciones, induciendo a los particulares a realizar inversiones productivas que eleven los niveles de producto y empleo, que es el campo en donde se ubican los proyectos de inversión empresarial.
Mientras que el enfoque macroeconómico se refiere a dimensiones agregadas de los distintos elementos o variables que participan en la vida económica de una nación como un todo, el enfoque micro-económico se centra exclusivamente en la empresa o unidad básica del sistema económico y en los elementos que influyen en la vida de las mismas.
El marco de comportamiento racional de la empresa, ha sido ampliamente estudiado por la teoría microeconómica, basada en cinco pilares interdependientes:
la teoría del consumidor y de la demanda,
la teoría de la producción y el costo,
la teoría de la empresa y la organización del mercado,
la teoría de la distribución y
la teoría de equilibrio general y el bienestar económico.
La vida de las empresas depende del consumidor y la demanda que éste ejerce de sus productos. El primer pilar de esta teoría analiza el comportamiento racional del consumidor, la demanda que ejerce individualmente y la integración de la demanda del mercado, sus motivaciones o preferencias al consumo por cierto tipo de bienes, la asignación de su ingreso monetario en condiciones estáticas y dinámicas para adquirir dichos bienes, la relación entre precio y consumo, la integración de la curva de la demanda y sus reglas de variación con respecto al precio y las características de la demanda del mercado.
Complementariamente, la oferta del mercado es tratada por la teoría de la producción y el costo, analizando las relaciones de insumo-producto a nivel de empresa, las funciones de producción, la teoría del costo y sus modificaciones a través de las economías de escala.
La interacción entre demanda y oferta del mercado, es estudiada por la teoría de la organización del mercado, la cual se encarga de clasificar y analizar los diferentes tipos de mercados: de competencia perfecta, monopolio puro, competencia monopolística y oligopolística y establece sus reglas de funcionamiento y condiciones de equilibrio.
El conocimiento de estos elementos es importante para los profesionales dedicados a la planeación y gerencia de acuicultura, ya que les da las bases para aprovechar la demanda del mercado, conocer sus características y leyes operativas, así como la importancia de la producción eficiente de bienes y servicios.
Los temas o pilares cuarto y quinto de la teoría microeconómica referidos líneas arriba, se enfocan nuevamente hacia la integración macroeconómica y tratan respectivamente sobre la forma en que se distribuye el ingreso en la economía y sus efectos, así como de las condiciones de equilibrio y bienestar económico en situaciones prácticamente ideales.
Las empresas o unidades microeconómicas son impulsadas y formadas por una o varias personas que asumen el papel de empresarios, promotores o inversionistas.
La actividad del empresario cubre todo el ciclo desde el inicio de la idea hasta la operación de la nueva empresa, mientras que la del promotor consiste únicamente en buscar fuentes de financiamiento para llevar a cabo la idea de inversión y la función del inversionista se limita a arriesgar y asignar recursos propios en forma de capital de riesgo para concretar nuevas empresas.
Esto significa que un promotor o un inversionista no son necesariamente empresarios y que un empresario es por principio promotor aunque no disponga de recursos propios de inversión.
Por definición, el fin de la actividad empresarial es obtener el máximo rendimiento posible de una inversión, sea esta productiva o especulativa.
Al impulsar nuevos negocios en proyectos productivos, los empresarios comprometen y arriesgan sus patrimonios y/o los de otros, en iniciativas de asignación de recursos (inversión) para la producción de bienes y servicios, buscando con ello recuperar los recursos invertidos, a la manera de un premio o recompensa.
Su principal motivación para asignar recursos de inversión es de tipo económico: obtener el máximo excedente monetario, para acrecentar su patrimonio personal o del grupo que representa. Por ello, los resultados de sus acciones e iniciativas se suelen valorar, medir y calificar (evaluar) en términos monetarios.
El empresario es el eje de la dinámica microeconómica, ya que su función consiste en movilizar los factores de la producción (tierra, trabajo, capital, tecnología, etc…) para formar empresas que produzcan bienes y servicios para la sociedad.
Se dice que el comportamiento empresarial es de tipo empírico, porque los empresarios se apoyan en su propia experiencia y apreciaciones personales para generar y evaluar ideas de inversión.
Veamos porque es empírico el comportamiento empresarial. En primer lugar, la identificación de ideas de inversión se basa en experiencias y conocimientos individuales o de terceros, sobre algún giro o tipo de negocios, las cuales se combinan con actitudes racionales, espontáneas e intuitivas del empresario, que lo llevan a plantear hipótesis de inversión y recuperación de recursos, mediante la producción de bienes y servicios.
Aunque el empresario generalmente identifica y promueve sus propias ideas de inversión, en ocasiones comparte las ideas de terceros, que le parecen lógicas y con posibilidades de convertirse en negocios que reporten beneficios.
Existen múltiples formas en que los empresarios generan sus ideas de inversión, como punto de partida de la creación de empresas. Sin embargo, una vez precisada la idea, el empresario inicia su promoción desarrollando ciertas actividades típicas, basadas en su experiencia.
Dichas actividades dan inicio al proceso de inversión microeconómico o empresarial y tienen siempre el mismo orden de realización, siendo éstas:
la preinversión empírica,
la toma de decisión de invertir,
la asignación de recursos de inversión y,
la operación y recuperación de la inversión.
Al realizar la preinversión empíricamente, el empresario no requiere más que su imaginación, su mente y su experiencia para generar ideas, identificar variables, relacionarlas, cuantificarlas y proyectarlas como posibles inversiones. Como se aprecia, en este tipo de preinversión ni siquiera es condición el uso de una regla, papel, lápiz o calculadora.
Es importante aclarar que la educación académica formal y la actividad empresarial no son excluyentes; sin embargo, para ser empresario no es condición tener estudios ni preparación formal, pero sí el tener una actitud abierta al riesgo, así como iniciativa e imaginación para identificar, promover y concretar ideas de negocios potenciales.
Una vez que el empresario se allegue empíricamente de información y evalúe la conveniencia de asignar recursos en proyectos productivos, debe tomar una decisión de suspender o no el proyecto. En caso afirmativo, se requiere que él reúna los recursos de la inversión en forma individual o bien que los integre en forma conjunta con otros empresarios.
Cuando se integran los recursos monetarios de inversión requeridos por un proyecto o idea de inversión, se procede a adquirir la infraestructura física (terrenos, construcciones, maquinaria y equipo, etc…), laboral (personal directivo y operativo) y financiera (capital de trabajo), para llevar a cabo el proyecto a la realidad.
Una vez que son asignados los recursos, se pasa a la cuarta etapa de comportamiento empírico, la de operación y recuperación de recursos para funcionar dentro de un entorno jurídico determinado.
Es decir, cuando las ideas de inversión llegan efectivamente a ser convertidas en empresas, éstas funcionan jurídicamente dentro de la economía formal, como personas de derecho natural o físicas, o bien como personas jurídicas o morales, encontrándose en ambos casos reguladas por normas mercantiles, fiscales, financieras, etc…
Desde que surgen o inician las empresas, éstas suelen fijarse diferentes fines u objetivos, siendo primordial el económico, es decir, recuperar y obtener el máximo rendimiento de la inversión, en beneficio de sus accionistas, ya que con ello aseguran su existencia, sobrevivencia y desarrollo.
De ahí que el principio fundamental de racionalidad económica empresarial sea enunciado como el obtener el máximo beneficio a partir de ciertos medios dados o bien obtener un beneficio determinado con el mínimo de medios posible.
Cabe señalar que las empresas tienen también fines de otra naturaleza, tales como: satisfacer con buen servicio a los consumidores, pagar oportunamente a los proveedores, lograr la calidad total, tener buenas relaciones sindicales, producir sin contaminar, etc…, los cuales, sin embargo, aunque importantes, no necesariamente aseguran la sobrevivencia de las mismas.
No obstante, existen otras motivaciones empresariales, de tipo subjetivo, no económicas, que excepcionalmente llegan a constituir el móvil principal de la inversión. En estos casos, la generación de un excedente económico sobre los recursos invertidos pasa a segundo término como fin empresarial y, por tanto, la valoración monetaria es insuficiente para medir o evaluar los resultados, supliéndose por otros criterios evaluativos, relacionados con el logro o no del fin subjetivo o extraeconómico.
Para ejemplificar lo anterior, la obtención de “prestigio” como fin explícito empresarial, o la consecución de un “puesto político”, puede requerir de inversiones cuyo rendimiento monetario no sea el óptimo, sin embargo, desde el punto de vista evaluativo, el lograr efectivamente dicho prestigio o posición, sería suficiente para justificar la asignación de recursos.
Aparte de las motivaciones empresariales de tipo económico o subjetivas, otros sujetos económicos, como lo ahorradores e inversionistas, tienen sus propias motivaciones en cuanto al uso o asignación de recursos de inversión.
Mientras que el empresario asume riesgos y moviliza factores de la producción para lograr sus fines o motivaciones, en contraste el ahorrador no asume riesgos, o éstos son mínimos, y actúa bajo una motivación económica, al sacrificar su consumo presente por la esperanza de un mayor consumo futuro, al obtener un premio o recompensa a través de una tasa de interés en valores o contratos de renta fija y, finalmente, el inversionista, si bien asume riesgos porque provee recursos para las iniciativas empresariales (cuyos rendimientos son variables), no moviliza recursos como función propia o característica distintiva del empresario.
Tomando como punto de partida el fin económico de las empresas, es importante conocer la forma o camino en que éstas surgen, existen, se desarrollan o no, y se extinguen.
El ciclo o proceso de inversión de una empresa está constituido por un conjunto de actividades coherentemente ordenadas, con secuencia precisa e interdependiente, que realizan sus promotores para hacer realidad sus ideas productivas y lograr los fines de la inversión.
Como ya notado, son cuatro las etapas que constituyen el proceso de inversión microeconómico y se dan necesariamente en el siguiente orden:
preinversión,
decisión,
inversión, y
recuperación (o pérdida) de los recursos.
Es importante señalar que todo empresario recorre necesariamente dichas etapas, porque obedecen a una secuencia racional lógica. En ese sentido se le conoce como un modelo de conducta, dado su carácter secuencial repetitivo.
Desde el momento que el empresario concibe una idea de inversión en su mente, ya sea originada por su propia creatividad o tomada de terceros para su reflexión y apropiación, da inicio a actividades de preinversión, las cuales se expresan a través de hipótesis y se sustentan en datos en principio captados empíricamente o de la observación directa.
Como se aprecia, para hacer preinversión únicamente se requiere de imaginación, información y lógica o raciocinio por parte del empresario, teniendo como unidad de proceso a su propia mente, para establecer hipótesis, realizar cálculos y proyecciones. Este tipo de preinversión tiene un carácter empírico y no necesariamente científico, como se nota en la tabla de combinaciones de la Figura 6.
El sistema lógico se refiere al establecimiento de hipótesis, relaciones entre la información y realización correcta de cálculos, en tanto que la información se refiere a la captación de datos. En ambos casos, su establecimiento, captación o procesamiento pueden ser correctos (válidos) o incorrectos (no válidos).
Figura 6. Mapa de resultados de la preinversión empresarial.

Lo ideal, obviamente, es que el empresario realice su proceso de preinversión en una forma válida, con un sistema lógico e información igualmente válida. De otra forma puede sobre o subdimensionar sus ideas de inversión y con ello no obtendría los resultados o fines previamente anticipados.
A manera de ejemplo, un sistema lógico válido, como el utilizado por Cristóbal Colón, le indicaba que, si la tierra era redonda y no cuadrada, como otros creían, navegando hacia el oeste necesariamente tendría que llegar a las Indias Orientales, siempre y cuando hubiese exclusivamente mar de por medio, sin embargo, su información disponible era insuficiente, pues carecía del dato de que había un continente intermedio, lo cual, sin llegar a las Indias, no le restó mérito a su trascendental descubrimiento que transformó la historia universal.
La preinversión empresarial, si acaso es ayudada con algunas notas, presupuestos verbales o escritos, datos o apuntes en cualquier libreta, para llegar, a través de procesos de análisis y cuantificación mental, a conclusiones sobre las ideas de inversión. En contraste, la preinversión profesional o de la consultoría tiene una gran diferencia, porque se practica por profesionistas o técnicos, con formación académica y científica, que utilizan procedimientos y métodos para obtener y ordenar su información y validar sus sistemas de análisis y conclusiones. Este último tipo de preinversión se puede calificar de “científica” y es la que se espera de los grupos multidisciplinarios, en apoyo a la actividad empresarial.
Con base en sus conclusiones de preinversión, en la medida que las expectativas y proyecciones indiquen si se cumplirán o no sus fines o motivaciones de la idea de inversión, el empresario decide si lleva a cabo o no su iniciativa de inversión. Es claro que en caso negativo, aquí concluye el proceso de inversión empresarial específico para un idea de inversión y, por el contrario, en caso positivo, procede a conseguir y asignar los recursos de la inversión, pasando así a la tercera etapa del modelo de conducta empresarial.
personal, etc…) requeridos por la idea de inversión. Con ello, está seleccionando una tecnología específica y su correspondiente función de producción para obtener bienes o servicios. Mediante la operación de dicha infraestructura, podrá obtener una corriente o flujo de ingresos, que si son superiores a los costos correspondientes, le permitirá recuperar la inversión asignada, o lo contrario, llegando así a la cuarta etapa del proceso microeconómico de inversión o conducta empresarial.
Las cuatro etapas mencionadas, si se manejan sistemáticamente, pueden integrar una base de información importante para aprovechar los aciertos para futuros proyectos similares y, en su caso, reducir los errores que se hubiesen cometido. En esa medida, se retroalimenta el proceso de inversión microeconómico.
A continuación se han seleccionado algunas definiciones del concepto “proyecto de inversión”, se hacen comentarios sobre las mismas y se selecciona la que se utilizará en el presente documento.
El Instituto Latinoamericano de Planificación Económica y Social (Ilpes) define proyecto de inversión como:
«El plan prospectivo de una unidad de acción capaz de materializar algún aspecto del desarrollo económico y social. Esto implica, desde el punto de vista económico, proponer la producción de algún bien o la prestación de algún servicio, con el empleo de cierta técnica, con miras a obtener un determinado resultado o ventaja económica o social. Como plan de acción, el proyecto supone también la indicación de los medios necesarios para su realización y la adecuación de esos medios a los resultados que se persiguen…»
J. Price Gittinger, en su libro Análisis Económico de Proyectos Agrícolas, publicado por el Banco Mundial, asume la siguiente definición de proyecto:
«Se trata de una actividad en que se invertirá dinero con la esperanza de obtener un rendimiento y que, desde el punto de vista lógico, parece prestarse a su planificación, financiamiento y ejecución como unidad. El proyecto constituye el elemento operativo más pequeño, preparado y ejecutado como una unidad independiente de un plan o programa nacional de desarrollo… Es una actividad específica, con un punto de partida y un punto final específicos…»
Por su parte, en una publicación de la Organización Internacional del Trabajo, se adopta la siguiente definición:
«Un proyecto de inversión es un conjunto ordenado, necesario y suficiente, de antecedentes y estudio que permiten determinar la conveniencia o no del establecimiento, ampliación o mejora de una unidad productora de bienes y/o servicios.»
Stefan Musto, del Instituto Alemán de Desarrollo, hace las siguientes citas para definir el concepto de proyecto:
«En el lenguaje común se entiende por proyecto una intención o un designio planificado para cuya ejecución se requiere la aplicación de medios determinados.»
Las definiciones anteriores tienen en común los siguientes elementos:
Planes prospectivos con fines o metas, concebidos como una unidad coherente y dinámica.
Requerimiento y transformación de insumos o medios, utilizando tecnologías, para lograr los fines.
Generación de productos (bienes y servicios) y otros efectos.
Uso del dinero como instrumento de valoración.
Complementariamente, pero con menor énfasis, los proyectos son enfocados desde el punto de vista administrativo:
Como una unidad práctica de gestión, con un carácter organizativo y ejecutivo.
Las etapas de un proyecto se refieren al nivel de análisis y tipo de información que se utilice para la preparación del mismo.
A mayor y mejor información, así como a un nivel de análisis más preciso con métodos científicos más avanzados, se tendrá una mayor certidumbre sobre las conclusiones del proyecto y por tanto se tendrán mejores bases para la toma de decisiones del mismo.
Se establece de hecho un arreglo cronológico de las distintas etapas de los proyectos, en función del tipo de información y nivel de análisis que se utiliza (Figura 7).
Figura 7. Fines y efectos de los proyectos.

El nivel de información y análisis básico se denomina “perfil” del proyecto, siguiendo el término de “prefactibilidad”, posteriormente “factibilidad”, “proyecto de ingeniería,” “asesoría”, “plan de ejecución” y “optimización”.
Cada uno de dichos niveles tiene una relación de correspondencia con las fases del ciclo de vida de los proyectos y del proceso empírico de inversión.
Como se aprecia, los niveles de análisis despejan mayormente la incertidumbre, en la medida que se invierte mayor tiempo y recursos en los tipos y calidad de la información y métodos de análisis de los proyectos.
Similarmente a la vida de un producto, las empresas tienen un ciclo de vida y un proceso de creación, desarrollo y extinción.
El concepto de ciclo de vida de los proyectos lo populariza Warren Baum del Banco Mundial, presentando cinco etapas básicas que sigue cada proyecto:
identificación,
preparación y análisis,
evaluación,
ejecución y
evaluación ex post.
Similarmente, otros organismos internacionales (ONU, Onudi, Ilpes, Ocde, Cemla), universidades (Bradford) e institutos u organismos de formento regionales (Organización de Preinversión para América Latina y el Caribe-Opalc, BID, OEA, el Fonep y otros fondos de preinversión en América Latina), así como autores individuales que han tratado este tema proponiendo sus propias concepciones, cuyo resumen se presenta en el siguiente tema.
En la evaluación de un proyecto, básicamente se hace énfasis en la intersección de sus fines que previamente se definieron con sus correspondientes efectos, si bien generalmente existen otros efectos provocados por el proyecto que no se refieren a sus fines principales y, por tanto, aunque calificables, no son determinantes en primera instancia para la evaluación.
La identificación de oportunidades para el desarrollo acuícola requiere de:
Conocimiento profundo del sector y de sus potencialidades. En este sentido es importante seleccionar las fuentes de información y contrastarlas con agentes válidos.
Evaluación de los antecedentes obtenidos en una primera fase de análisis de las ideas que presenten alguna potencialidad.
Selección de aquellas opciones que presenten mayor potencialidad para una evaluación técnica económica.
Evaluación delas oportunidades avanzando en distintos niveles de análisis (perfil, prefactibilidad, factibilidad).
Un proyecto, en su definición más pura, puede tener carácter nacional, social o industrial o puede ser en lo real una combinación de estas clasificaciones.
Un proyecto acuícola de carácter nacional, es muy probable que haya encontrado su origen en la necesidad de dar impulso a varias Regiones de un país y que, por lo tanto, haya surgido de una búsqueda patrocinada por el gobierno o instituciones dedicadas al desarrollo. Un ejemplo de ello puede ser el desarrollo de técnicas de cultivo para una determinada especie que pudiese ser adaptada extensamente en un país. A menudo se da que estos proyectos de tipo nacional tengan un carácter de tipo social.
En un proyecto de tipo social los objetivos que se persiguen en general, son del siguiente tipo:
Generar empleo para una determinada zona cuya actividad económica está deprimida.
Generar zonas nuevas de desarrollo para descongestionar áreas urbanas altamente pobladas.
Mejorar la capacidad técnica de las nuevas generaciones.
Generar divisas.
Un proyecto de carácter industrial es el que se asocia más comúnmente al objetivo final de obtener una buena rentabilidad de una determinada actividad económica y se asume que será emprendido por agentes privados.
| Ejemplo |
| Un proyecto de ranching de salmón puede tener distintas facetas de clasificación. |
| Asumiendo que en su origen sea de interés de parte del gobierno mirado como una opción económica para el país, se deberán invertir esfuerzos de desarrollo de las técnicas. Una vez comprobada esta etapa, lo más probable es que resulte más atractivo para alguna localización que para otra. Hasta este punto de desarrollo puede haber sido considerado como un proyecto de carácter nacional. Ante los resultados obtenidos y si aquella localización para la cual se obtuvieron los mejores resultados es una prioridad para el gobierno, seguirá teniendo carácter nacional y se le mirará con esa óptica de interés. Si por el contrario, esa localización no es prioritaria para el gobierno deberá mirarse con óptica industrial. |
| Desarrollemos ambas hipótesis. En el caso en que exista interés nacional, éste puede provenir de la necesidad de revitalizar el empleo en esa determinada localidad; en este objetivo la mirada del proyecto será social y se analizará bajo esta óptica. En esta perspectiva, es probable que el gobierno esté dispuesto a financiar la inversión inicial de un hatchery y luego subvencionar su operación. El beneficio del gobierno se basa en crear empleos productivos y de esa manera reemplazar fondos ocupados en programas sociales de empleo. Además se crean otros beneficios que pueden ser evaluados por agentes privados, como por ejemplo la industrialización y comercialización de la pesca basada en el ranching, la fabricación de materiales e insumos asociados a la actividad y la necesidad de una red de transporte. |
| En el segundo caso, en que la localidad para la que se han obtenido los mejores resultados no es una prioridad nacional o local, entonces se deberá evaluar si para un agente privado es factible desarrollar el ranching generando utilidades atractivas a través de la pesca y combinando esto con normas legales que le aseguren propiedad sobre la porción que pescará. Al igual que en el caso anterior existirán todas las otras actividades asociadas. |
Sobre el tema se recomienda tratar tres situaciones:
| Caso 1: | Inicio de una búsqueda amplia: este será el caso en que un inversionista busque una alternativa de inversión sin ninguna opción prefijada. | |
| Caso 2: | Búsqueda en un sector específico: en este caso ya existirá una idea de que cierto sector está en etapa de crecimiento y que resulta de interés estudiar alguna alterna- tiva en él. | |
| Caso 3: | Necesidad de comprobar la validez de una determinada opción. |
Para los distintos niveles de búsqueda se recomienda que el profesor indique herramientas de obtención de información, esto es, búsqueda bibliográfica y en general de información secundaria, entrevistas, interpretación de la información.
Una vez superada la etapa de búsqueda de ideas o contando con una idea de proyecto, se procederá a definirlo en mayor detalle. Se trata de un ejercicio en que debe intentarse expresar el objetivo del proyecto lo más preciso posible. Es decir el objetivo debe ser medible, alcanzable y cuantificable en el tiempo.
| Ejemplo: | |
| a) | Objetivo mal expresado: Evaluar un proyecto de crianza de ostras. |
| b) | El mismo objetivo más preciso: Evaluar un proyecto de engorda de ostra japonesa (Crassostrea gigas) para producir ostra de mesa desde semillas de “x” milímetros, incluyendo una planta empacadora y su comercialización. |
| Es aun más aconsejable que el proyecto pudiera tener definidos un tamaño base de evaluación y algunas metas precisas. Ello requiere que se hayan efectuado algunos sondeos previos de mercado. | |
En la primera parte de este tema se recomienda ponerse de acuerdo respecto a la definición de lo que es un proyecto. Para ello es útil plantear distintos enfoques.
• Proyecto según la visión de un economista
Será quien asesore sobre la decisión de invertir: para él un proyecto es una fuente de costos y beneficios. Su objetivo de análisis es:
Identificar los costos y beneficios y valorarlos.
Determinar si la realización de ese proyecto es conveniente.
↓
Evaluación económica de proyecto
• Proyecto según la visión de un financista
Será el que preste dinero para el proyecto. Su objetivo de análisis es:
Constatar que los beneficios y costos valorados sean realmente los esperados (control del proyecto).
Evaluar si los flujos de dinero son suficientes para el servicio de la deuda comprometida (énfasis en fondos provenientes de ingresos y egresos de caja).
↓
Evaluación financiera de proyecto
• Proyecto según la visión de un empresario.
Será el “dueño” del proyecto: para él el proyectos es una fuente de análisis y comprobación de hipótesis. Su objetivo de análisis es:
Definir los objetivos a satisfacer a través del proyecto (buena rentabilidad por si mismo, tener rentabilidad atractiva frente a otras opciones, maximizar utilidad de un conjunto de empresas—sinergismo positivo o integración vertical—, mejorar imagen, cumplir con normativas).
Evaluar la conveniencia del proyecto desde el punto de vista de los objetivos.
↓
Evaluación empresarial de proyecto
Nota: el empresario, más allá del concepto tradicional, puede ser un agente del Estado, una Cooperativa de Pescadores o quien desee “emprender” un proyecto.
Se propone como definición de proyecto para el curso la siguiente:
| Proyecto: | toda iniciativa con esperanza de generar bienes o servicios, cuya realización requiere de flujos de insumos para ponerla en marcha. |
Antes de entrar de lleno a definir y describir los aspectos que un proyecto deberá considerar para el desarrollo de su evaluación, se recomienda hablar a los alumnos sobre los niveles de análisis que existen para posteriormente explicar los componentes de una evaluación de proyectos y, finalmente, entregar una estructura típica de la misma.
La profundidad del análisis a realizar, según la experiencia, dependerá de lo que cada proyecto aconseje. En general se reconocen tres niveles de análisis:
Corresponde a la identificación de la idea y se elabora en tiempo reducido, haciendo uso de la información disponible. En esta etapa no se realizan estudios específicos, como podría ser una investigación de mercado en campo, sino que se hace uso de la información más accesible publicada, y de aquella proveniente de la propia experiencia del equipo evaluador o de personas involucradas al tema.
Se realizan estimaciones muy globales de las inversiones probables, costos de operación e ingresos que demandará y generará el proyecto.
También conocido como anteproyecto preliminar o primario. En este estudio se acude en forma más profunda a la información de fuentes secundarias, para aproximarse a las variables de mercado, técnicas y de flujos.
En esta etapa se estiman inversiones probables, costos e ingresos. Todavía no se acude a fuentes primarias.
Cuando se habla de cuán exacta es una prefactibilidad, no existe un consenso, pero la recomendación es que el proyecto esté en el marco de alrededor de 15–20% en sus estimaciones. Por supuesto que este margen también depende del tamaño del proyecto del que estamos hablando; no es lo mismo un proyecto de US$150,000 que uno de US$75'000,000. En este último caso, el 20% es demasiado dinero.
También llamado anteproyecto final. Se elabora en base a fuentes primarias de información, además de las secundarias disponibles. Se trata en este estudio de llevar todas las variables relevantes a términos cuantitativos, dejando el mínimo posible de apreciaciones cualitativas.
El cálculo de ingresos, costos e inversiones debe ser detallado y basado en las posibilidades reales tanto técnicas como económicas.
Una acotación sobre esta etapa es que en la medida que el proyecto es muy innovador será más difícil tener el grado de definición cuantitativa que sería apropiado para este estudio y esto, en algunos casos, tiene un factor de riesgo implícito.
En la primera parte de este tema se debe presentar un esquema global para la preparación y evaluación de proyectos, mostrando las etapas del modelo de análisis a seguir.
Habrá que considerar que el modelo presentado es común para cualquier tipo de actividad. Sin embargo, ningún proyecto es igual a otro, así aunque las sesiones sobre el tema intentarán referirse en la mayor parte posible a proyectos de acuicultura, se deberá tener en cuenta que aún en ese campo específico se enfrentan diferencias entre distintos proyectos. Por suerte, la rutina metodológica general puede adaptarse bien aún para proyectos de acuicultura.
Otro alcance que es bueno tener en consideración al iniciar este tema es que el estudio a realizar deberá simular con la mayor precisión posible el proyecto real.
Un proyecto debe considerar materias que agrupadas pueden definirse en los siguientes cinco puntos:
Factibilidad técnica.
Factibilidad legal.
Factibilidad comercial.
Factibilidad organizacional.
Factibilidad económica.
El enfoque de las técnicas de evaluación de proyectos se centra en la factibilidad económica y se busca que el estudio de las otras cuatro factibilidades arroje los elementos para asumirlos como valores para la evaluación y que, por otra parte, defina las áreas de riesgo del proyecto.
Cualesquiera de estas áreas de factibilidad que fallasen harán no viable el proyecto.
Es importante trasmitir a los alumnos que las técnicas de evaluación son elementos de apoyo y sólo eso, (lo cual es bastante), pero nunca reemplazarán el criterio de quienes deciden la ejecución de un proyecto.
En esta etapa se analizan los factores técnicos de relevancia para llevar adelante el proyecto. Entre los factores técnicos pueden distinguirse:
Todos estos factores deben ser “valorados” para incorporarlos a la evaluación del proyecto.
| Ejemplo en acuicultura |
| Proyecto: cultivar salmón coho en jaulas. |
| En este caso un factor técnico “duro” es la existencia de balsas jaulas en el mercado para su compra. Es un factor físico existente y valorable. |
| Un factor técnico “blando” es el conocimiento sobre como alimentar los peces. |
| Ejercicio de grupos | |
| (Se recomienda formar grupos de unas 5 personas) | |
| Parte 1: (25 minutos) | |
| • | Ponerse de acuerdo sobre un proyecto que el grupo trabajará en distintos ejercicios. Definiro en la forma más exacta posible en cuanto al objetivo del proyecto. |
| Parte 2: (25 minutos) | |
| • | Plantear un listado de los factores técnicos que evaluarán (escoger no más de cinco principales). |
| • | Definir el grado de conocimiento que existe sobre cada punto (excelente - bueno - regular - escaso - ninguno). |
| • | Definir como abordarían la cuantificación de estos puntos. |
| • | Intentar cuantificar cada punto de acuerdo a su conocimiento (o consultar a otras personas del grupo que pudieran tener conocimiento al respecto). |
| Parte 3: (25 minutos) | |
| • | Discusión en común de estos aspectos. (Cada grupo dispone de 3 minutos para presentar su caso). |
En este estudio se puede llegar a la conclusión que es necesario profundizar en los aspectos técnicos antes de continuar con la evaluación. La decisión de hacerlo estará basada en un perfil “intuitivo” informado, vale decir se puede incluir al nivel de análisis de un perfil algunas hipótesis sobre la esperanza de funcionamiento de aquellos coeficientes técnicos no conocidos y por lo tanto de sus costos asociados.
| Ejemplo |
| Ha resultado interesante evaluar la factibilidad de desarrollar una empresa de cultivo de un tipo de mejillón determinado no nativo de este país. |
| Los antecedentes disponibles sobre rendimiento de este cultivo son: (i) antecedentes para el cultivo del mejillón nativo y (ii) antecedentes de resultados para la especie de interés en aguas de Nueva Zelanda. |
| Si la calificación de los técnicos hace suponer con cierta base una proyección estimada de resultados para el cultivo en este país, entonces se tendrá una “intuición” bastante informada que permite proyectar resultados. Si éstos resultan atractivos, se deberán efectuar las pruebas técnicas confirmativas de las proyecciones técnicas. |
| En el caso de la acuicultura en Latinoamérica, la necesidad de comprobación técnica es bastante frecuente dado que es un sector emergente en el que “por suerte” no está todo hecho ni dicho. |
Este punto es bastante relevante, puesto que, aunque haya sido verificada la factibilidad respecto a las demás áreas, pueden estar vigentes normativas legales restrictivas en cuanto a, por ejemplo: localización, tamaño, propiedad de recursos, publicidad.
En acuicultura es común actualmente encontrar normativas sobre introducción de especies, ambiente, propiedad.
| Ejercicio (todo el grupo, 10 minutos) |
| En el proyecto que su grupo ha escogido ¿existen barreras legales sobre las que debiera ponerse atención? |
Se refiere a lo conocido como el estudio de mercado. En este punto deberán responderse interrogantes como:
¿Cuál será el mercado al que se dirigirá el(los) producto(s)?
¿Existe potencial de demanda para la producción?
¿Cuánto es ese potencial de demanda?
¿Podrá el proyecto competir con producto(s) en calidad, especificaciones y cantidad?
¿Cuáles son las proyecciones esperadas del mercado y como el proyecto podría afectar esas tendencias?
¿Precios esperados?
En el análisis de la factibilidad comercial se recomienda tener en mente el análisis de fuerzas de Porter como modelo de apoyo analítico.
| Ejerciclo (todo el grupo, 15 minutos) |
| Tomar uno de los casos y discutir sobre su factibilidad comercial. |
Es un punto que a menudo no se acoge con suficiente atención y que determina en oportunidades el fracaso o la ejecución deficiente de un proyecto.
En particular se recomienda que en la etapa de estudio de la factibilidad o anteproyecto final se desarrolle este punto en detalle y de todas maneras antes de la implementación del proyecto.
| Ejemplo | |
Proyecto: Cultivar salmón coho en jaulas. | |
| Aspectos organizacionales: | |
| (i) | Dividir la operación entre centro de agua dulce y centro de agua salada. |
| (ii) | Organizar el área de apoyo a producción en, por ejemplo: planta de alimentos (si se decide optar por una planta propia), adquisiciones de insumos, transporte. |
| (iii) | Organizar el área de comunicaciones: centro de producción/centro de comercialización / oficinas de administración. |
| Esto significa la necesidad de estructurar organigramas de operación, por tanto personal calificado para cumplir las distintas tareas y por tanto, finalmente, costos de operación. | |
Es la que se evaluará finalmente recogiendo todos los elementos “monetarios” entregados por los estudios de mercado, técnicos, legales y organizacionales.
Este tema se desarrollará más en extenso con la aplicación de una hoja de cálculo en la sesión respectiva.
Algunos conceptos a definir para poder realizar la evaluación económica:
Mide la desvalorización sobre la inversión en un activo fijo, (exceptuando el terreno), por el desgaste derivado de su uso. La depreciación no representa un flujo real de dinero pero es un concepto de pérdida de valor que se descuenta como si fuera un costo más al minuto de determinar las utilidades y calcular los impuestos sobre ellas.
Período que comienza con el primer desembolso para iniciar la operación del proyecto y concluye cuando los productos terminados son vendidos y su retorno es recuperado, quedando disponible para la compra de insumos que generen otro ciclo de producción.
Habitualmente la mayor parte se realiza en el período de puesta en marcha del proyecto. Sin embargo, no siempre esto ocurre así y hay proyectos que programan crecimientos en el tiempo.
Clasificación de inversiones:
(i) Activos fijos
Bienes tangibles como: terrenos, edificios, equipos, vehículos, oficinas y equipamiento, infraestructura de servicios de apoyo, agua, energía, teléfonos. En general, todos los activos fijos están sujetos a depreciación, con excepción de los terrenos.
| Ejercicio |
| ¿Por qué cree que los terrenos no están sujetos a depreciación? |
(ii) Activos nominales
Servicios o derechos adquiridos necesarios para la puesta en marcha del proyecto como patentes, licencias, capacitación de personas, fondos para imprevistos.
(iii) Capital de trabajo
En términos simples el capital de trabajo es considerado como los recursos necesarios para la operación de un proyecto por un ciclo productivo.
El tema del capital de trabajo es un tema de especial importancia en el caso de proyectos acuícolas y por lo tanto se recomienda dedicar un mayor tiempo a su explicación en relación a los otros conceptos. Se recomienda plantear ejemplos de proyectos en que el cálculo de este concepto resulte simple y hacer el contrapunto con ejemplos del sector acuícola.
| Ejemplos | |
| • | Fábrica de zapatos: el capital de trabajo debe garantizar los recursos para compra de los insumos (cuero o piel, suela, pegamentos, tinturas, hilo, plantillas, cajas, etc…) y los costos de operación (luz, teléfonos, personal directo e indirecto, arriendos, etc…), lo anterior calculado durante los 45 días promedio que demora la fabricación de un stock comercial, más los 30 días que demora la recuperación de fondos a utilizar nuevamente para financiar el proceso, vale decir por 75 días de operación. |
| • | Si otra empresa necesita $100 al inicio de su operación y vende a $100, un mes después con una formula de pago 50% contado y 50% a crédito, entonces requerirá los $100 iniciales más $50 para iniciar el segundo ciclo, vale decir requiere de $150 de inversión en capital de trabajo para un nivel de operación de $100. |
| • | Proyecto de acuicultura: en el caso de proyectos de acuicultura, este ítem frecuentemente pasa a ser tanto o más importante que los activos fijos en la inversión. Esto debido a que el ciclo de producción es largo, luego es una materia que requiere especial énfasis. |
| Poniéndolo en términos prácticos, imaginemos un proyecto para el cultivo de salmones del Pacífico. En este caso la inversión deberá contemplar que durante los primeros 18 meses no hay recuperación por ventas, sino una cuenta creciente de existencias. Solo después de la primera cosecha se logra tener una contribución al capital de trabajo. Este caso aun es simple dado que hay períodos relativamente definidos de siembra y cosecha. En otros cultivos como es de algunos peces planos, el cálculo será aun más complejo dado que las siembras se harán dentro de un proceso semicontinuo al igual que las cosechas. En esta situación se recomienda trabajar el proyecto al menos en períodos trimestrales para los, digamos, tres primeros años de operación de las instalaciones, (en todo caso hasta haber simulado al menos un año estable de ventas), con el objeto de poder hacer un buen calculo del capital de trabajo, evitando sub o sobredimensionarlo. Se diría que ésta es una de las características sui generis de un proyecto acuícola. | |
Se recomienda ir calculando y preparando los distintos componentes de los flujos para que los alumnos vayan practicando los conceptos.
Se sugiere explicar al menos un par de métodos de cálculo del capital de trabajo.
(i) Según ciclo productivo
Capital de trabajo = ciclo productivo × costo diario de operación
Ejemplo de este método es el precedente de la fábrica de zapatos.
(ii) Según déficit acumulado máximo
El concepto en este caso es ir calculando las necesidades de capital en períodos habitualmente más cortos que un año, por ejemplo meses o trimestres. Es más apropiado en el caso de proyectos con necesidades crecientes.
| Ejemplo: Primeros años de operación de un proyecto | ||||||||
| 1 | 2 | 3 | 4 | 5 | 6 | 7 | 8 | |
| Ingresos | 100 | 100 | 400 | 700 | 700 | 750 | 800 | 900 |
| Egresos | 300 | 400 | 400 | 500 | 500 | 500 | 600 | 600 |
| Flujos fondos | (200) | (300) | 0 | 200 | 200 | 250 | 200 | 300 |
| Déficit/superávit acumulado | (200) | (500) | (500) | (300) | (100) | 150 | 350 | 650 |
El déficit acumulado máximo es $500 y éste sería entonces el capital de trabajo.
La crítica a este método es que castiga fuertemente al proyecto ya que sobredimensionará el capital de trabajo dejando dinero “en caja”. Se puede asumir un valor medio para ello y entonces financiar lo restante con créditos de corto plazo. La otra alternativa es ir ingresando al proyecto el capital según sus requerimientos. Esto último es lo recomendado para un proyecto acuícola en su etapa de análisis de factibilidad.
| ¿Cómo cambla el cuadro anterior al incorporar el capital de trabajo? | |||||||||
| 0 | 1 | 2 | 3 | 4 | 5 | 6 | 7 | 8 | |
| Ingresos | 500 | 500 | 100 | 300 | 700 | 700 | 750 | 800 | 900 |
| Egresos | 0 | 0 | 300 | 400 | 400 | 500 | 500 | 600 | 600 |
| Flujos de fondos netos | 500 | 500 | (200) | (300) | 200 | 200 | 250 | 200 | 300 |
| Déficit/superávit acumulado | 500 | 500 | 300 | 0 | (300) | (100) | 150 | 350 | 650 |
En este caso se financia el capital de trabajo manteniendo en algunos meses “superávit” en caja.
| Ejercicio | |
| En los grupos formados de 5 personas, se recomienda realizar el siguiente ejercicio. | |
| (i) | Listar las inversiones esperadas para sus proyectos, divididas en activos fijos y nominales. Para el capital de trabajo, describa que ítems incluiría. A continuación se entrega un cuadro tipo para preparar el calendario de inversiones (30 minutos). |
| (ii) | Una vez realizada la tarea anterior, comentar los resultados por cada grupo al curso en general (15 minutos). |
| Item | Período | |||
| -1 | 0 | 1 | 2 | |
| Activos fijos: • terrenos • edificios • equipos • instalaciones | ||||
| Vehículos/otros | ||||
| Total activos fijos | ||||
| Activos nominales • gastos legales • concesiones • permisos • licencias • capacitación • otros | ||||
| Total activos nominales | ||||
| Capital de trabajo | ||||
| Total inversiones | ||||
En este momento ya debe explicarse que las inversiones realizadas previo a la puesta en marcha, deben llevarse al momento cero del proyecto (primer concepto de actualización). También pueden existir inversiones durante la operación, las cuales deben ser presupuestadas tanto si son nuevas como si son reinversiones por reemplazo.
(i) Cálculo de la depreciación lineal
| Ejemplo |
| Una peletizadora de alimento para peces que se adquirió en $ 100 tiene una vida de uso esperada de 5 años al cabo de los cuales se estima que se vendería a $ 20. El valor a depreciar entonces es de $ 100 – $ 20 en 5 años, vale decir $ 80/5 = $ 16 anuales |
(ii) Cálculo de la depreciación acelerada por el método de los dígitos
Se calcula un factor S: S 
donde S es un factor a aplicar y N es el número de años en los que se depreciará.
Para el mismo ejemplo anterior, es: S 
y la depreciación de cada año se calculará come sigue:
| Año | N/S × (Valor a depreciar del equipo) | Depreciación |
| 1 | 5/15 × 80 | 26.7 |
| 2 | 4/15 × 80 | 21.3 |
| 3 | 3/15 × 80 | 16.0 |
| 4 | 2/15 × 80 | 10.7 |
| 5 | 1/15 × 80 | 5.3 |
Es más conveniente aplicar depreciación acelerada, para la evaluación.
(iii) Cálculo para la inclusión de un préstamo en los flujos
• Financiamiento
El financiamiento de un proyecto se puede efectuar según las siguientes vías:
fuentes propias: capital propio o generado por la empresa y que son las utilidades después de impuesto y las reservas de depreciación. Ventajas: al programar con capital propio se asume que existirá menor riesgo de insolvencia.
fuentes ajenas: bancos comerciales nacionales e internacionales, fundaciones, organismos internacionales, organismos estatales, créditos estatales, créditos de proveedores, leasing. Cualquiera de estas fuentes entregarán para el proyecto datos sobre préstamos, vale decir plazo, períodos de gracia, interés. La elección de la fuente de financiamiento, debe ser estudiada por el evaluador en el contexto. Ventajas: en general se produce que la situación más beneficiosa para el inversor es aquélla que permite pagar un crédito al final de la vida del proyecto.
• Caso de préstamo bancario
El préstamo bancario al momento de ingresar al proyecto se incluye en el flujo de fondos, como un ingreso.
Se debe indicar a los alumnos las condiciones básicas requeridas para poder calcular un préstamo e incluirlo luego en los cuadros de flujos de fondos.
El préstamo tendría las siguientes condiciones:
monto inicial;
período de gracia: en este período sólo se pagan intereses por el préstamo y no se paga amortización;
plazo: es el período en el que se amortiza totalmente el préstamo.
| Ejemplo |
| Una piscicultura requiere de una inversión de $ 100. Para financiarla recurre a un préstamo bancario por el 50% a un plazo de 5 año con 2 años de gracia y 10% interés anual. El flujo en pago del préstamo será el siguiente: |
| Año | |||||
| 1 | 2 | 3 | 4 | 5 | |
| Amortización | 0 | 0 | 166.7 | 166.7 | 166.6 |
| Intereses | 50 | 50 | 0 | 33.3 | 16.7 |
Tanto la amortización como los intereses se integran al flujo de fondos como egresos.
Identificados de los estudios previos, es importante señalar que los ingresos y costos deben incorporarse a la construcción del flujo en el momento en que se hacen efectivos y no cuando se realiza la compra o venta.
| Ejemplo |
| Si usted ha vendido una partida de semillas de ostras con un adelanto de 30% a pagar 15 días antes de la venta y el resto a pagar a 30 días de entregadas las semillas, estos ingresos deberán hacerse efectivos en esos dos momentos en los cuadros de ingresos y costos, vale decir se trabajará sobre base real y no sobre base devengada. |
Flujo de un año:
flujo año n = (Ingresosn-Egresosn-Depreciaciónn) × (1-I) + Depreciaciónn
Esta etapa de preparación del proyecto es la resultante de los datos obtenidos de los estudios de mercado, técnico, legal y organizacional de los cuales se ha podido obtener los valores esperados de ingresos, costos y el calendario de inversiones.
El flujo de fondos requiere además de esta información, de antecedentes sobre:
Tratamiento tributario de la depreciación.
Tratamiento tributario de las utilidades.
Valor residual del proyecto.
Financiamiento disponible.
El aspecto habitual de un cuadro de flujo de fondos es el siguiente:
| ITEMES | ANOS | |||
| 0 | 1 | 2…… | 10 | |
| Inversiones • activos fijos • activos nominales • capital de trabajo | ||||
| Ingresos • Ventas • No operacionales | ||||
| Egresos • Costos de operación • Gastos de venta • Otros | ||||
| Valor residual | ||||
| Depreciación | ||||
| Utilidad sujeta a impuesto | ||||
| Impuesto | ||||
| Utilidad (perdida) después de impuesto + depreciación | ||||
| Flujo de fondos | ||||
La evaluación compara las corrientes, beneficio versus costos.
Las técnicas de evaluación se basan en el flujo de fondos “descontados” a tasas que les hacen comparativos. Indicadores muy usados son el VAN o Valor Actual Neto (o Valor Presente Neto) y la TIR o Tasa Interna de Retorno.
Se recomienda en este punto incluir algunos alcances matemáticos como los siguientes para que los alumnos comprendan los conceptos de tasas de descuento o de actualización.
Suponga que usted invierte $1,000 a una tasa de interés compuesto de 10% en el año. El valor de su dinero al cabo de 1 año será:
DINERO HOY × (1 + i) = DINERO A UN AÑO
1,000 × (1 + 0.1) = 1,100
Si usted no retira ese dinero, entonces puede esperar que al segundo año ocurra lo siguiente:
1,000 × (1 + 0.1) × (1 + 0.1) = 1,000 × (1.01)2 = 1,210
lo cual es lo mismo que:
DINERO HOY × (1 + i)2 = DINERO A DOS AÑOS
Valor Presente × (1 + i)n = Valor Futuro
donde:
i = tasa de descuento, y
n = número de años, (o meses, etc…).
El cálculo del valor presente permite llevar flujos de distintos años a un año base para poder operar con ellos y obtener un resultado (positivo o negativo). Se pueden llevar todos los flujos al año O para ver si el resultado final del proyecto es positivo.
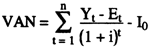
(i) Valor Actual Neto (VAN)
Es la diferencia entre los ingresos y egresos del proyecto expresado en moneda actual. Tiene la siguiente expresión:

| donde: | Vt | = | ingresos en año t |
| Et | = | egresos en año t | |
| i | = | tasa de interés | |
| n | = | horizonte de evaluación del proyecto | |
| Io | = | inversión inicial. |
Esta es equivalente a:

Un proyecto es conveniente cuando su VAN es mayor que cero. Que sea igual a cero no significa que no sea rentable sino que entrega igual utilidad que la inversión alternativa.
El proyecto recupera los desembolsos más el extra de ganancia que el inversionista tiene como meta mínima.
Para esta evaluación se utiliza una tasa de descuento i que representa la rentabilidad mínima que se el pedirá al proyecto.
(ii) Tasa Interna de Retorno (TIR)
Es la tasa de interés o de descuento a la cual el proyecto iguala su VAN a cero.
Se calcula por iteración de la siguiente ecuación:

| donde: | Y | = | ingresos |
| E | = | egresos | |
| r | = | es la tasa interna de retorno incógnita a calcular. |
r es la tasa de costo de capital máxima a la que el proyecto podría acceder para que diera lo mismo llevarlo a cabo o no. Si la TIR es mayor que el costo de capital con que se evaluaría el proyecto, entonces el proyecto es atractivo. Si es menor, desde el punto de vista económico, no es recomendable realizarlo.
Al evaluar un solo proyecto, ambas deben dar resultados complementarios. Cuando tiene más de un proyecto para elegir podría tener señales contrarias entre el VAN y el TIR.
En esta etapa de desarrollo del curso se recomienda asegurarse que los conceptos sean entendidos con claridad. Para ello es bueno ir ejecutando ejercicios de discusión como el siguiente.
| Ejercicio |
| Analizar la situación indicada en el gráfico anterior. |
Finalmente para este módulo de trabajo se recomienda efectuar un trabajo por grupos de casos guiados. Al respecto es recomendable contar con tutores por grupo que vayan guiando el desarrollo de los casos.
Los casos a desarrollo serán del tipo del siguiente:
| Ejercicio |
| Aplique la planilla de flujo de fondos y calcule VAN y TIR para el siguiente proyecto. |
| Se decide estudiar la factibilidad de desarrollar un cultivo de salmones. Se cuenta con una tasa de costo de capital de 10%, una tasa de impuesto a las utilidades de 15%. La legislación tributaria del país acepta la depreciación acelerada. |
| El proyecto se financiará con un 60% de capital propio y lo restante con un crédito por 6 años, con 3 años de gracia y tasa del 12%. |
| Los datos de inversión, ingresos y egresos son los siguientes: |
| INVERSIÓN | |||
| Ítem | Valor año 0 (miles de $) | Años de vida útil | Valor residual (miles de $) |
| Edificio | $ 1,000 | 10 | $ 350 |
| Terrenos | $ 1,000 | ||
| Jaulas | $ 500 | cada 4 deben renovarse | |
| Planta alimentos | $ 1,200 | 10 | $ 700 |
| Embarcaciones | $ 200 $ 200 | cada 5 deben renovarse cada 8 deben renovarse | $ 50 $ 50 |
Ingresos |
| Se proyecta la siguiente producción: es posible vender el producto a $4.5/kilo, puesto en granja; se supone que los pagos se producen contra entrega |
| Producción (kg) | Años |
| 0 | 1 |
| 50,000 | 2 |
| 100,000 | 3 |
| 140,000 | 4 al 10 |
| Egresos |
| Los costos de operación anuales estimados son los siguientes (en miles de $). Además se tendrán los egresos generados por intereses y pago del préstamo. |
| Ítem | Año 1 | Años 2 al 10 |
| Costos de personal | 16,000 | 21,000 |
| Costos de energía | 15,000 | 25,000 |
| Costos de alimento | 35,000 | 45,000 |
| Otros costos de operación | 7,000 | 11,000 |
| El alumno debe utilizar el formato de flujo de fondos para desarrollar el cuadro correspondiente y todos los conceptos ya explicados. | ||
Se recomienda especialmente desarrollar todo el módulo interrumpiendo la explicación de conceptos para realizar ejercicios.
El tipo de ejercicios recomendado está incorporado en el punto II. en cada contenido específico.
Se recomienda que en lo posible los alumnos al ir al curso lleven antecedentes de un par de proyectos posibles de evaluar para ser incluidos en los ejercicios.
Otro punto que es importante señalar a los alumnos es la existencia de software del tipo planillas de cálculo en las que se puede efectuar en forma automática el cálculo de los indicadores de rentabilidad una vez que se han construido los cuadros de flujos.
Es deseable que para la etapa práctica los alumnos pudieran contar con equipos de computación personal provistos de alguna planilla de cálculo del tipo Lotus 1–2–3.