Por:
Blago Razmilic
Merck Química Chilena Soc. Ltda.
El fundamento de la mayoría de las técnicas cromatográficas es un equilibrio de fases. El soluto se distribuye entre una fase móvil y una fase estacionaria.

| [X]m | = | concentración de soluto X en la fase móvil; |
| [X]s | = | concentración de soluto X en la fase estacionaria. |
El coeficiente de distribución Kx, para el soluto X, está dato por:

Si el coeficiente es independiente de la concentración, un gráfico de [X]m vs [X]m es lineal y el sistema cromatográfico es lineal, en cambio si varía con las concentraciones el sistema es no lineal. La linealidad es un requisito para la eficiencia y los peak obtenidos corresponden a un peak agudo de tipo Gaussiano.
La velocidad de migración de un soluto está caracterizada por:
| tR | = | tiempo de retención. Corresponde al tiempo transcurrido desde que se inyecta la muestra en el sistema, hasta la detección del máximo del peak de elución; |
| VR | = | volumen de retención. Corresponde al volumen total de eluyente que fluye por el sistema durante el tiempo de retención: |
| VR = tR. Fc | ||
| Fc | = | velocidad de flujo de la fase móvil (ml/minuto) a la temperatura de la columna; |
| t'R = tR - tM Vm = tM Fc | ||
| t'R | = | tiempo de retención corregido; |
| t'M | = | tiempo muerto (lo que demora en salir una especie no retenida,t0); |
| Vm | = | volumen muerto o volumen intersticial de la columna; |
| V'R = t'R.Fc | ||
| V'R | = | volumen de retención corregido. |
El coeficiente de distribución termodinámico Kx es una medida del grado de retención del compuesto X. El factor de capacidad K'x es una medida más práctica que puede ser determinada directamente del cromatograma. Está dado por:

La relacióon entre el volumen de retención y el factor de capacidad es:
VR = Vm(1 + K'x) = Vm + VmKx
| Vs | = | volumen de fase estacionaria. En cromatografía de adsorción Vs se reemplaza por el área del adsorbente (Am). |
Reemplazando los volúmenes por los tiempos nos queda:

El tiempo de retención también puede ser corregido por la temperatura y la presión. Esto no es necesario en cromatografía de gases es primordial. El volumen de retención específico VG, incorpora estas correcciones y constituye el volumen neto de eluyente a 0°C necesario para transferir la mitad del soluto en un sistema normalizado a 1 gramo de fase estacionaria y sin presión en la gota.

| Tc | = | temperatura de la columna en grados Kelvin; |
| Wm | = | peso en gramos de fase estacionaria; |
| j | = | presión corregida dada por: |

| Pi | = | presión interna; |
| Po | = | presión externa. |
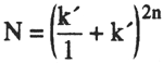
La medida cuantitativa de la eficiencia es el número de platos teóricos n, el cual en términos de tiempos de retención es:

Wh = anchura del peak a la altura media;
o el volumen de retención:

mientras que el número de platos teóricos efectivos N, está en base del tiempo de retención corregido:

w = anchura del peak.
Por otra parte, el número de platos efectivos N, está relacionado con el número de platos teóricos:

obviamente el número de platos teóricos efectivos aumenta con la longitud de la columna, por lo tanto para comparar diferentes fases estacionarias es más conveniente considerar la altura del plato equivalente (HEPT) h, o la altura del plato equivalente efectivo H, los cuales están definidos por:

L = altura de la columna.
Los solutos se separan en una columna cromatográfica cuando sus velocidades de migración son diferentes. La eficiencia de una columna se mide en términos del número del platos teóricos (n) o mejor aún del número de platos teóricos equivalentes (N), mientras que la eficiencia del solvente se cuantifica en términos de retención relativa (α) dos solutos A y B.

| tRA | = | tiempo de retención no corregido de A; |
| tRB | = | tiempo de retención no corregido de B; |
| t΄RA | = | tiempo de retención corregido de A; |
| t΄RB | = | tiempo de retención corregido de B. |
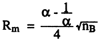
El efecto combinado de la eficiencia de la columna y del solvente se expresa en términos de la Resolución (Rm) de la columna.
Rm = 2(tRB - tRB) WA + WB
| WA | = | anchura de la base del peak A; |
| WB | = | anchura de la base del peak B. |
| Si WA = WB | ![]() |
En general la resolución es función del factor de capacidad K'x y la retención relativa α y el número de platos teóricos en función del segundo soluto (nB):

o en función del número de platos teóricos efectivos (NB)

![]() | = | factor de selectividad |
![]() | = | factor de capacidad |
![]() | = | eficiencia |
La resolución puede modificarse alterando las propiedades termodinámicas del sistema (el cual cambia α y K') o las condiciones de la columna (velocidad de flujo, tamaño de partículas, etc…) para cambiar N.
Efecto de la temperatura: ecuación de Van't Hoff:

Cuando un soluto pasa a través de la columna, el ancho de banda aumenta y el soluto se diluye en la fase móvil. La contribución al ensanchamiento dependerá fundamentalmente de la difusión de Eddy, la difusión molecular y la transferencia de masa.
En general, la contribución a la altura equivalente del planto teórico (H) es:

| Hed | = | Cedp (difusión de Eddy); |
| Hsp | = | Cmdp2v/Dm (transferencia de masa en la fase móvil); |
| Hld | = | CdDm/V (difusión longitudinal); |
| Hsm | = | Csmdp2v/Dm (transferencia de masa desde la fase móvil retenida a la fase móvil); |
| Hmp | = | Csdf2v/Ds(transferencia de masa en la fase estacionaria); |
| dp | = | diámetro de partícula; |
| Dm | = | coeficiente de difusión del soluto en la fase móvil; |
| Ds | = | coeficiente de difusión del soluto en la fase estacionaria; |
| v | = | velocidad lineal de la fase móvil; |
| df | = | Espesor del film de fase estacionaria (principalmente para LLC, para LSC se reemplaza por dp). |
En la cromatografía de gases, la fase móvil se llama gas portador y la fase estacionaria es un sólido con propiedades adsorbentes como el carbón vegetal, gel de sílice y tamices moleculares en cromatografía gas-sólido (GSC) ó la fase estacionaria es un líquido orgánico de alto punto de ebullición que se adhiere como una película delgada sobre un soporte sólido (GLC).
La cromatografía gas líquido (GLC, reparto) es muy similar a la cromatografía líquida de alta resolución (HPLC). Las mayores diferencias se deben a las propiedades físicas de la fase móvil como la viscosidad, acidez, basicidad y compresibilidad.
La separación depende del factor de separación (α) y de la altura equivalente del plato teórico (H). El ensanchamiento de las bandas dependerá de la introducción de la muestra, de la columna y del sistema detector.
En la columna el ensanchamiento se produce por:
Velocidad de difusión del soluto en el gas a través de lo largo de la columna.
Equilibrio no instantáneo del soluto con el solvente de la fase estacionaria.
Empaquetamiento y geometría de la columna.
La contribución a la altura equivalente del plato teórico está descrita por la ecuación de Van Deemter en función de la velocidad del gas portador (v).

| A | = | difusión de Eddy = 2λdp |
| dp | = | diámetro de las partículas; |
| λ | = | factor geométrico que indica la uniformidad de empaquetamiento de la columna; |
| B | = | difusión longitudinal o molecular = 2γDg |
| Dg | = | coeficiente de difusión del soluto en el gas portador; |
| γ | = | factor de corrección que tiene que ver con el camino del gas por los canales tortuosos; |
| Cliq | = | es una función del factor de capacidad, del grosor de la película y de la difusión del soluto en la fase estacionaria líquida; |
| Cgas | = | está relacionado con el diámetro de las partículas (dp2/Dg) en columnas empaquetadas y del radio (r2/Dg) en las columnas tubulares abiertas. |
El gas portador debe transportar los componentes volátiles de la muestra a través de la columna. Debe ser de alta pureza. Las impurezas, en especial oxígeno y agua pueden alterar químicamente la fase líquida y modificar los tiempos de retención. Debe ser inerte y no reaccionar con la muestra ni con la fase estacionaria. Los gases más utilizados son: Ar, CO2, He, H2, N2, O2. Fases móviles de bajas velocidades se consiguen con gases cuyos coeficientes de difusión son pequeños (Ar, N2, CO2), inversamente, gases con coeficientes de difusión grandes (H2, He) se utilizan para velocidades de flujo altas. Su elección también está condicionada al sistema detector.
El detector de conductividad térmica usa helio, excepto cuando se va a medir hidrógeno o helio, entonces emplea argón o nitrógeno.
El detector de ionización de llama usa helio o nitrógeno. El nitrógeno producirá más platos teóricos para una determinada longitud de columna, pero el análisis será mucho más lento. El helio producirá menos platos, pero el análisis será más rápido y es el gas recomendado para columnas larga. El nitrógeno tiene casi el doble de sensibilidad que el helio.
El detector de captura de electrones usa nitrógeno muy seco con corriente continua y argón con 5% de metano con corriente pulsada.
La muestra ya sea sólida (en solución), líquida ó gaseosa debe inyectarse rápida y cuantitativamenteen el gas portador. Para evitar el ensanchamiento de las bandas debe usarse la mínima canti dad de muestra posible.
Para la inyección de muestras gaseosas se utilizan jeringas de cierre hermético para gases y válvulas para muestrear gases. Mientras que para la inyección de líquidos se usan frecuentemente jeringas de 5, 10 y 25 μl. Los sólidos se manejan mejor disolviéndolos en un disolvente apropiado y utilizando una jeringa para inyectar la solución.
Para lograr el calentamiento y enfriamiento rápido de la columna se requiere un horno de baja inercia térmica. Además la temperatura debe ser reproducible dentro de 1°C y en todo el horno los gradientes deben ser como mínimo de 2°C. Las temperaturas utilizadas están en el rango de -50°C a sobre 400°C. El límite superior depende de la tolerancia a la temperatura de los materiales utilizados. Si se utiliza material de teflón la temperatura no puede ser mayor que 220–250°C.
Existen hornos de acero inoxidable con paredes delgadas, tapas bien ajustadas y ventiladores de alta velocidad.
Debido a la gran diversidad de columnas, los hornos varían enormemente en tamaño y forma.
Las columnas más utilizadas consisten en un tubo con partículas de tamaño uniforme las cuales son impregnadas con el líquido que constituye la fase estacionaria.
El soporte sólido debe cumplir ciertos requisitos que son:
| Propiedades | A | G | P | W |
|---|---|---|---|---|
| Color | Rosado | Blanco nacarado | Rosado | Blanco |
| Tipo | Flujo calcinado | Flujo calcinado | Calcinado | Flujo calcinado |
| Densidad g/cm3 | 0.40 | 0.47 | 0.38 | 0.18 |
| Empaquetado | 0.48 | 0.58 | 0.47 | 0.24 |
| Area (m2/g) | 2.7 | 0.5 | 4.0 | 1.0 |
| Area (m2/cm3) | 25% | 5% | 30% | 15% |
| Máx. pH fase líq. | 7.1 | 8.5 | 6.5 | 8.5 |
| Manipulación | Buena | Buena | Buena | Se triza |
La selección de la fase estacionaria es muy importante. En primer lugar debe cumplir algunos requisitos fundamentales:
Debe ser inerte químicamente con la fase móvil y los constituyentes de la mezcla.
Debe tener estabilidad térmica en un amplio rango de temperatura para la existencia en el estado líquido.
Baja presión de vapor y baja viscosidad en el rango de temperatura deseado.
Habilidad para unirse al soporte sólido o superficie inerte de una columna capilar.
Se han confeccionado muchas escalas en las cuales se determinan los índices de retención de una mezcla de solutos en una columna en particular y en una columna con fases estacionarias relativas:
Rohrshneider utilizó: benceno, etanol, butanona, nitrometano y piridina como solutos en una columna con una temperatura de 100°C. La fase estacionaria fue Escualeno. La diferencia entre los índices de retención para un soluto A está dado por:
ΔIA=Ib, A - Ia, A
| Ib, A | = | es el índice de retención de un soluto A en una fase b |
| Ia, A | = | es el índice de retención de un soluto A en una columna de Escualeno. |
Una comparación de los valores de ΔIA de las dos fases es una indicación de las polaridades relativas con respecto al soluto A en que el valor de ΔI máximo es la fase estacionaria más polar.
| Simbolo | Compuesto | Grupo funcional |
|---|---|---|
| X. | benceno | alquenos, aromáticos |
| Y. | 1-butanol | alcoholes, nitrilos, ácidos |
| Z. | 2-pentanona | cetonas, éteres, aldehidos, ésteres, epóxidos, dimetilamino derivados. |
| U. | 1-nitropropano | nitro y nitrilo derivados |
| S. | piridina | bases aromáticas N-eterocíclicas |
| H. | 2-metil-2pentano | compuestos de cadena ramificada, especialmente alcoholes. |
| J. | 1-yodobutano | compuestos halogenados |
| K. | 1-octino | alquinos |
| L. | 1,4 dioxano | éteres, bases |
| M. | cis-hidrindano | esteroides apolares, terpenos, estructuras nafténicas. |
En muchos casos las columnas adsorbentes presentan mayor selectividad que los líquidos de separación. Sin embargo, las desventajas principales son la larga duración de los análisis y los peaks con grandes colas que dificultan el análisis cuantitativo. Ambos problemas se resuelven con la programación de la temperatura.
El índice de Kovats relaciona el volumen de retención VR (ó el tiempo de retención tR) de un compuesto desconocido con otro que contiene n-hidrocarburos y que eluye antes y después que él. Para cada serie de parafinas existe un índice dado por:
| I | = | 100 n |
| n | = | número de moles de átomos de carbono de una parafina dada. |
El índice de retención de un compuesto desconocido es calculado de:

| x | = | número de carbonos del compuesto eluido antes que el desconocido; |
| Vnu | = | volumen de retención corregido del desconocido (u); |
| Vnx | = | volumen de retención corregido del hidrocarburo eluído antes del desconocido; |
| Vnx+1 | = | volumen de retención corregido del hidrocarburo eluído después del desconocido; |
| x + 1 | = | número de carbonos del compuesto eluído después que el desconocido; |
![]() |