Por:
Marcela Zamorano R.
Depto. Ciencias de los Alimentos y Tecnología Química
Facultad de Ciencias Química y Farmacéuticas
Universidad de Chile
El método describe un procedimiento para determinar impurezas totales y orgánicas en grasas animales y vegetales, líquidas o sólidas.
Se define como impurezas totales todas las materias no disueltas por el solvente en condiciones especificadas.
Procedimiento y equipamiento
| Colocar un papel filtro de fibra de vidrio en un crisol Gooch de 24 mm de diámetro; lavar con éter de petróleo; secar; llevar a estufa a 103±2°C enfriar y tarar (m1). |
| ↓ |
| Pesar en un matraz Erlenmeyer alrededor de 20 g de muestra con la aproximación de 0.2 g (m). |
| ↓ |
| Agregar 100 ml de éter de petróleo; agitar hasta la disolución de la grasa. |
| ↓ |
| Dejar en reposo 5', hasta decantación de materias insolubles. |
| ↓ |
| Filtrar la solución a través del crisol, arrastrar las materias insolubles. Lavar bien 2 a 3 veces con porciones de éter de petróleo, empleando una succión suave. |
| ↓ |
| Dejar secar al aire y luego en una estufa a 103±2°C. |
| ↓ |
Enfriar en desecador y llevar a peso constante (m2): % imp. totales = ![]() |
Su presencia en grasas es en pequeñas cantidades o a nivel de trazas.
Existen varios métodos para determinar humedad en materias grasas y aceites; la mayor parte están limitadas a un tipo de producto o a alguna zona de contenido de humedad.
| Producto | Humedad % | Método |
|---|---|---|
| Grasas saturadas | 0–0.1 0–1.0 1.0 ó más | (1) (1), (2), (3) (1), (4) |
| Grasas o aceites insaturados | 0–0.1 0.1–1.0 1.0 ó más | (1) (2) (1), (4) |
| Emulsiones | - | (3), (4) |
| Acidos grasos | - | (1), (3) |
(1) Valoración volumétrica
(2) Secado en estufa a presión atmosférica
(3) Secado en estufa al vacío
(4) Destilación
Se basan en la medición gravimétrica de la pérdida de peso que tiene a lugar cuando se calienta la muestra.
Hay básicamente dos: a presión atmosférica y a presión reducida.
Procedimiento:
| Homogenizar la muestra. Colocar una cápsula de aluminio con tapa en estufa a 105°C por dos horas. Poner en desecador y tarar la cápsula. | |
| ↓ | |
| Pesar 5 g de muestra con aproximación a la 0.1 mg en la cápsula tarada. | |
| ↓ | ↓ |
| Colocar en estufa a 105°C por 5 horas. | Colocar en estufa de vacío a una presión mo mayor que 100 mm de Hg y una temperatura no mayor de 70°C por 5 horas |
| ↓ | |
| Retirar, colocar en desecador; pesar hasta peso constante. | |
| ↓ | |
| % humedad (más mat. volátiles) = Pérdida en peso × 100/peso de la muestra | |
| Pesar muestra en un balón de destilación. (Calcular cantidad adecuada de acuerdo a humedad de la muestra) |
| ↓ |
| Adicionar 100 ml de solvente (Tolveno o xilol saturado). Sellar y tapar. Conectar a trampa y a condensador |
| ↓ |
| Calentar de forma que la destilación sea 100 gotas/min por 1 hora. |
| ↓ |
| Enfriar y medir en la trampa graduada la cantidad de agua acumulada. |
| ↓ |
| % humedad = volumen de agua × 100/peso de la muestra |
Este método mide la cantidad de ácidos grasos libres en la materia grasa; de acuerdo a esto, se estima la cantidad de muestra a analizar.
| Acidos grasos libres | Cantidad de muestra (g) | Concentración de alcali (N) |
|---|---|---|
| 0.0–0.2 | 56 | 0.1 |
| 0.2–1.0 | 28 | 0.1 |
| 1.0–30 | 7.0 | 0.25 |
| 30–50 | 7.0 | 0.25–1.0 |
| 50–100 | 3.5 | 1.0 |
Procedimiento:
| Pesar la muestra en un matraz Erlenmeyer (250 cc). |
| ↓ |
| Añadir 50–100 ml de etanol neutralizado y caliente, más 2 ml de solución de fenolftaleína alcoholica. |
| ↓ |
| Titular con NaOH 0.1N, agitando hasta aparición de color rosado. |
| ↓ |
% ácidos grasos (expresados como ácido oleico) = ![]() |
Existen otros parámetros que miden la acidez, tal como el Indice de Acidez (mg. de KOH por g de muestra):
Procedimiento
| Pesar 5 g de muestra en un matraz Erlenmeyer. |
| ↓ |
| Añadir 75 ml de etanol caliente y neutralizado, más 2 ml de solución de fenoltaleína. |
| ↓ |
| Valorar con sol. KOH 0.5N, hasta aparición de color rosado. |
También existe el Método Potenciómetro, que es aplicable en materias grasas que son muy oscuras y no se puede apreciar el viraje del indicador. Este método utiliza como disolvente isopropano: benceno: agua (49.5:50:0.5). El punto final es señalado por el punto de inflexión de la curva de valoración; al utilizar un medidor electrómetro de pH.
Procedimiento:
| Pesar 5 g de muestra homogeneizada en un Erlenmeyer de 250 cc con tapa esmerilada. |
| ↓ |
| Añadir 30 cc de una solución de ácido acético: cloroformo (3:2). Agitar hasta que se disuelva. |
| ↓ |
| Añadir 0.5 cc de solución saturada de KI (o bien 2 g). |
| ↓ |
| Agitar durante l'en oscuridad. |
| ↓ |
| Añadir 30 cc de agua destilada y desairada. |
| ↓ |
| Valorar con tiosulfato de sodio 0.01 N, hasta desaparición de color amarillo. [Es necesario trabajar con un microbureta] |
| ↓ |
| Añadir 30 cc de agua destilada y desairada. Adicionar 0.5 cc de sol. de almidón al 1%. Continuar valoración hasta desaparición del color azul. Agitar vigorosamente el matraz cerca del punto final y observar. |
Hacer un blanco con los reactivos utilizados.
Indice de peróxido (meq/kg materia grasa) = 
Fundamento químico: 
Errores:
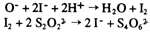
Por presencia de oxígeno: 4I- + O2 (aire) + 4H+ → 2I2 + 2H2O
Conduce a resultados altos en el índice de peróxidos.
Se define como 100 veces el aumento de la absorbancia medida a una longitud de 350 mm en una celda de 100 mm, cuando una solución de muestra reacciona con p-anisidina bajo condiciones estandarizadas.
Reactivos:
Solvente: isooctano. Solución p-anisidina: 0.25 mg/100 ml.
Procedimiento:
| Pesar entre 0.4 y 4 g de muestra; llevar a un matraz de 25 ml; disolver y aforar con isooctano. Hacer blanco. |
| ↓ |
| Transferir 5 ml de esta solución aun tubo de ensayo, adicionar 1 ml de la solución ansidina. Tapar y agitar |
| ↓ |
| Mantener el tubo en la oscuridad por 8' a 24°C. |
| ↓ |
| Transferir la solución a una celda del espectofotómetro. Tiempo total de reacción: 10'. |
| ↓ |
| Medir la absorbancia de la muestra. Medir la absorbancia de un blanco frente a una solución de muestra sin reaccionar. Ajustar el 100% de transmitancia con el solvente. |
Indice de Anisidina = 
A0: Absorbancia de la muestra sin reaccionar A1: Absorbancia de la muestra A2: Absorbancia del blanco
Reactivos:
Solución de ácido 2-tiobarbitúrico 0.02 M: (0.2883 g/100 ml) en ácido acético glacial al 90%.
Procedimiento:
| Macerar 10 g de muestra con 50 ml de agua, durante 2', transferir a un matraz de destilación con 47.5 ml de agua. |
| ↓ |
| Adicionar 2.5 ml de HCI 4M y llevar al pH de 1.5. Agregar unas perlas de ebullición. |
| ↓ |
| Calentar el matraz por medio de una manta eléctrica de modo que en 10' se recojan 50 ml. de destiladon. |
| ↓ |
| Con pipeta tomar 5 ml del destilado a un tubo de ensayo con tapas de vidrio. |
| ↓ |
| Adicionar con 5 ml de reactivo de ATB, tapar y agitar. Calentar 30' en baño maría. |
| ↓ |
| Enfriar los tubos en agua durante 10'. Medir la absorbancia contra un blanco a 538 mm, usando celdas de 1 cm. |
Hacer un blanco usando 5 ml de agua con 5 ml de reactivo.
La concentración se obtiene de una curva de calibración de anhídrido carbónico, utilizando trimetoxietoxipropano, como estandar.
| Columna: | de silica fundida de 30 m de largo (SP2330 o Supelcomax); |
| Fase móvil: | nitrógeno |
| Detector: | de ionización de llama |
| Integrador: | Spectra-Phisics |
Preparación de esteres metílicos:
Según método Francés
| • Solución A: | 4 g NaOH se disuelve en 50 ml metanol p.a. |
| • Solución B: | 4.75 ml HCI concentrado en 50 ml metanol p.a. |
Procedimiento:
| 100 mg muestra (aceite o grasa) se colocan en un tubo de ensayo (con tapa). |
| ↓ |
| Se disuelve en 1 ml de éter de petróleo; se agregan 0.3 ml de Sol. A. |
| ↓ |
| Se calienta el tubo tapado con baño de agua con hirviente por 20 a 25' hasta que quede transparente. |
| ↓ |
| Se saca del baño y se enfría a chorro de agua fría, observándose un residuo sólido. |
| ↓ |
| Se abre el tubo y se agrega 0.8 ml de la Sol. B, se tapa y se agita. |
| ↓ |
| Se obtiene una solución transparente con la capa de éter en la parte superior. |
| ↓ |
| Se deja reposar una hora, hasta que se separen bien las capas. |
La muestra metilada obtenida se puede inyectar en el cromatógrafo (0.4–0.6 μl).
Se deben establecer las condiciones de trabajo: temperatura inicial, δt y temperatura final.
Se utilizan mezclas de estándares de ácidos grasos para identificar los peaks en la muestra, según los tiempos de retención.
| Aceites vegetales: | ácidos grasos de cadena mediana (C16–C18) con alto contenido de ácido linoleico. |
| Aceite marino: | ácidos grasos de cadena larga poliinsaturados (C20–C22); presencia de EPA (ácido encosapartaenoico C20:5 ω3) y DHA (ácido docasahexaenoico C22:6 ω3) |
Procedimiento
| 1. Determinación de la materia insaponificable |
| En un matraz Erlenmeyer pesar 1–1.25 g de aceite. Adicionar 2 ml KOH 50%. |
| ↓ |
| Calentar a reflujo por 45' Enfriar. |
| ↓ |
| Trasladar a un embudo de decantación de 250 ml. Extraer con éter etílico (3 veces). |
| ↓ |
| Separar extracto etereo, después, después de cada extracción. |
| ↓ |
| Juntar los extractos etereos y lavarlos con agua y sol. de KOH 0.5 N una vez con cada una por 3 veces. |
| ↓ |
| Filtrar el extracto etereo a través de sulfato de sodioanhidro. Recibir en un matraz tarado y evaporar. Pesar materia insaponificable. |
2. Determinación de colesterol a partir de la materia insaponificable por cromatografía gas-líquido
| Columna: | capilar de 12 m de largo (Wide Bore BP1) |
| Fase móvil: | nitrógeno |
| Detector: | deionización de llama |
La técnica se basa en la utilización de un estándar interno 5-α-colestano (solución de 0.4 mg/ml) en heptano y de colesterol (solución de 1.2 mg/ml) en NN dimetilformamida.
Muestra: Muestra insaponificable + 10 ml de NN dimetilformamida.
| Procedimiento: | MUESTRA |
| En un tubo de ensayo con tapa, colocar 1 ml de la muestra y 1 ml de la solución de α-colestano. | |
| ↓ | |
| Agitar y dejar reposar por 1 hora. | |
| ↓ | |
| Inyectar en el cromatógrafo (0.4–0.6 μl). | |
| PATRÓN | |
| En un tubo de ensayo con tapa, colocar 1 ml de solución de colesterol y 1 ml de solución de α-colestano. | |
| ↓ | |
| Agitar y reposar. | |
| ↓ | |
| Inyectar. | |
La cantidad de colesterol, en mg por 100 g de muestra insaponificable, es:
