| NACA/WP/87/63 | September 1987 |
![]() |
THE EFFECTS OF ORGANOPHOSPHATE INSECTICIDES IN NURSERY PONDS |
Network of Aquaculture Centres
in Asia
Bangkok, Thailand
Hyperlinks to non-FAO Internet sites do not imply any official endorsement of or responsibility for the opinions, ideas, data or products presented at these locations, or guarantee the validity of the information provided. The sole purpose of links to non-FAO sites is to indicate further information available on related topics.
This electronic document has been scanned using optical character recognition (OCR) software. FAO declines all responsibility for any discrepancies that may exist between the present document and its original printed version.
S.B. Shrestha
S. Jha
S.K. Wagle
Generally, the rate of survival of fish seed during the nursery phase is very low. There are many factors which contribute to this, but the most important appears to be the presence of larger copepods which prey heavily upon the hatchlings. The nursery pond normally consists of different types of zooplankton, rotifers, cladocera and copepods. while the hatchlings mainly consume rotifers, during their early stage, they do not consume cladocera and copepods, which, unfortunately, prey on fish hatchlings. It has been reported in certain countries that treatment of nursery ponds with organophosphate compounds destroys crustacean plankton whereas rotifers do not suffer any damage (Tamas and Horvarth, 1978; NACA ADCOM Report, 1983). Therefore, the present investigation has been undertaken to assess the effects of organophosphate insecticides in nursery ponds in Nepal.
Laboratory experiments were carried out in six aluminum trays of two-litre capacity, stocked with zooplankton and 100 grass larvae (in each tray). Five out of six were treated with malathion, the chemical structure of which is:

Malathion contains 50 percent active ingredient in emulsion (chemically expressed as O, O-dimethyl S -(1, 2- dicarbethoxyethyl phosphorodithioate) in different concentrations in series; one tray served as control. Further experiments were undertaken in six ponds with two replicates from June 1985 to July 1986. Three ponds were treated with malathion at a concentration of 1.5 mg/l and the other three at a concentration of 1.0 mg/1 48 hours before releasing the fish hatchlings. Daily observations were made on the quantitative and qualitative changes in zooplankton population and the water chemistry of the treated ponds. Temperature, dissolved oxygen, pH and total hardness were measured daily.
Zooplanktons were taken daily using a plankton net of 73.0 micro millimeter size. The samples were concentrated in the centrifuge and preserved in five percent formalin. Complete counts of the larger zooplankton in eacg concentrate were made with the help of a compound microscope whereas rotifer counts were made with the Sedgewick-Rafter counting cell.
Laboratory Experiments
Malathion, the crustaceans and large-bodied copepods were killed in the tray within a few hours of malathion treatment at a concentration of 1.0–1.5 mg/l. The fish fry remained undistrubed and grew continuously at 3.0 mg/l, while rotatoria were found highly resistant up to 10.0 mg/l concentration. In the control tray, mortality of fish fry and rotatoria also occurred; perhaps they were attached by larger crustaceans.
Pond Experiments
Effective dose of malathion in nursery ponds
Toxic effect was observed in organisms when treated with malathion at the concentration of 1.0 and 1.5 mg/l. Cyclops and copepods were extremely sensitive to malathion and dyphnie were killed with vigorous area movements. No mortality was recorded among benthic fauna. Effectiveness of the chemicals at two levels of concentration (1.0 and 1.5 mg/l) did not differ significantly in killing copepodic plankton, but their efficacy differed in repopulation of the original composition of zooplankton.
Duration of chemical effectiveness in nursery ponds
With an increase in temperature by 10°C, the decomposition rate of organiphisphate compound in water increases by three to four times and at a soil and water temperature at 25–35°C, the hydrolysis of organophosphate gets completed within a few days (Metetelev, 1983). Hydrolization of malathion increased with the increase in acidity from pH 5.0 and alkalinity from pH 7.0 (Metcalf and Flint, 1979).
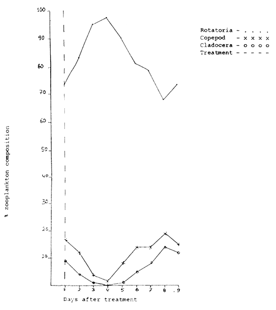
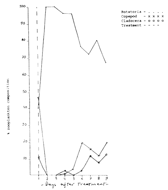
During the experiment period, water temperature and pH ranged from 29–39°C and 7.5–9.3°C, respectively. Extremely lethal action of malathion at two levels of concentration was found against many copepodic planktons shortly after application without any disturbances to fish or to rotatoria. During the following 3 to 4 days, the plankton of the ponds consisted of only rotatoria. Later on, cladocera and copepods began to develop again. Changes in the zooplankton population of the treated ponds at two levels of concentration are shown in Figures 1–2 and Table 1. It is characteristic that the copepod and cladocera alternately recovered to their initial population stage within 8 to 9 days.
Table 1. Dominant, groups of zooplankton in the malathion-treated nursery pond (No. 1).
| Day | Malathion (concentration 1.5 mg/l) | Malathion (concentration 1.0 mg/l) | ||||
| Rota. | Cope. | Clado. | Rota. | Cope. | Clado. | |
| 1 | 70 | 16 | 8 | 30 | 36 | 8 |
| 2 | 106 | 16 | 3 | 50 | 00 | 00 |
| 3 | 428 | 20 | 2 | 198 | 00 | 00 |
| 4 | 650 | 5 | 2 | 124 | 1 | 4 |
| 5 | 500 | 50 | 4 | 164 | 6 | 00 |
| 6 | 340 | 61 | 16 | 146 | 38 | 4 |
| 7 | 438 | 80 | 40 | - | - | - |
| 8 | 408 | 120 | 74 | 182 | 28 | 16 |
| 9 | 454 | 98 | 66 | 182 | 56 | 32 |
| Before Treat. | 70 | 21 | 30 | 44 | 74 | 44 |
Changes in Water Quality
Effects of malathion on water quality were noted. There was 0.1–0.6 unit pH increment shortly after treatment and dissolved oxygen change as much as by 0.2–2.8 mg/l, while hardness of water decreased-by 6.0 to 50.0 mg/l in the treated ponds.
The significance of the increase in dissolved oxygen in the treated pond water lay perhaps in the marked reduction in zooplankton (copepods and cladocera) caused by low oxygen consumption for respiration by the biomass of the pond ecosystem. At the same time, increase of pH was also noted (Schroeder, 1975). Table 2 presents the changes in water quality.
Table 2. Changes in water quality before and after treatment.
| Concentration mg/l | Do mg/l | pH | Hardness (mg/l) | Water temp. (°C) | Time Interval | |||
| Before | After | Before | After | Before | After | |||
| 1.5 | 6.0 | 7.8 | 8,7 | 8.8 | 190 | 175 | 29–30 | 30M |
| 1.5 | 4.8 | 5.4 | 8,5 | 8.6 | 175 | 160 | 29–30 | 30M |
| 1.5 | 10.0 | 10.2 | 8.6 | 8.7 | 150 | 135 | 33–34 | 45M |
| 1.5 | 6.2 | 7.4 | 9.0 | 9.4 | 120 | 114 | 31–33 | 45M |
| 1.0 | 11.8 | 13.8 | 9.1 | 9.3 | - | - | 31–32 | 40M |
| 1.0 | 5.8 | 4.8 | 8.6 | 8.7 | 240 | 190 | 32–34 | 30M |
| 1.0 | 3.0 | 5.0 | 7.2 | 7.8 | - | - | 30-30 | 45M |
| 1.0 | 5.0 | 6.0 | 8.5 | 8.7 | - | - | 29–32 | 45M |
Effects of Malathion on Fry Survival
Three of the six nursing ponds were treated with malathion at a concentration of 1.5 mg/l and the remaining three ponds were treated at a concentration of 1.0 mg/l 48 hours prior to stocking hatchlings. Two ponds were stocked with 4–5 day-old silver carp at a density of 300 per sq. meter; and the four ponds were stocked with 2–3-day-old Indian carp at a density of 300 per sq. meter. Three ponds were treated as control (0.0 mg/l malathion) and stocked with 3–5-day-old silver and Indian major carp hatchlings at a density of 300 per sq. meter. Data for the ponds stocked with carp fry are shown in Table 3.
Table 3. Survival of fish fry from chemically-treated ponds.
| FISH SPECIES | Watersurface (sq. m.) | Fish fingerling in 1000 | Fish harvest in 1000 | Survival (%) | Malathion
concentration mg/l | |
| Rohu (Labeo rohita) | 500 | 150 | 85 | 56.6 | 1.5 | |
| " | " | 500 | 150 | 90 | 60.0 | 1.0 |
| " | " | 500 | 150 | 48 | 32.0 | 0.0 |
| Maini (Cirrhina mrigala) | 500 | 180 | 141 | 77.8 | 1.5 | |
| " | " | 500 | 150 | 105 | 70.0 | 1.0 |
| " | " | 500 | 150 | 52 | 34.2 | 0.0 |
| Silver carp (H. molitrix) | 500 | 100 | 95 | 95.0 | 1.5 | |
| " | " | 500 | 150 | 110 | 73.3 | 1.0 |
| " | " | 500 | 150 | 39 | 26.0 | 0.0 |
The survival rate of fry increased remarkably from 27% in the control ponds to a range of 56.6% to 95% in the treated ponds. The survival rate of Rohu fry did not exceed 60% while that of silver carp reached 95%. There was no significant change in the survival rate of Rohu fry between the treatments 1 mg/l and 1.5 mg/l (Table 3). But the survival rate of silver caro was 20% more in the 1.5 mg/l treatment than in ponds treated at the rate of 1 mg/l. The population density of rotifers was more in the ponds treated at the rate of 1.5 mg/l of Malathion. Thus, it is recommended that Malathion treatment be incorporated in the package of practices to prepare necessary ponds for rearing fry.
Metcalf, G.L. and W.P. Flint. 1979. Organophosphate pesticides.
Metcalf, G.L. and W.P. Flint. 1979. Insect control: destructive and useful insects, their habits and control.
Schroeder, Gerald L. 1975. Effect of romex-50 on plankton population in fish ponds. Bemidgeh, Vol. 28:3, 3–7.
Tames, G. and L. Horvarth, 1978. Growth of cyprinids under optimal zooplankton conditions. Bamidgeh, Vol. 28:3, 50–56.
Games, G.V. 1965. Classification and effects of contamination due to effluents under treatment. Asian Publication House, 183–187.
Albaster Lyod, J.S. 1960. Mixture of toxicants, water quality criteria for freshwater fish. FAO Report.
Davis, H.S. 1970. External animal parasites, culture and diseases of game fishes. University of California Press, 193–200.
Metetalev, V.V. 1983. Pesticides (poisonous chemicals, water toxicology). Amerind Publication Co. Ltd., 170–177.
NACA. 1983. Report of the Third Advisory Council Meeting, Wuxi, China, 1983.

Figure 1. Percentage zooplankton composition (1.5 g/1).

Fig. 2. Percentage zooplankton composition (1.0 mg/l).