| NACA/WP/86/27 | July 1986 |
![]() |
Environmental Diel Cycle During Mass Fish Kills and Planktonic Collapse in an Undrainable Rural Fish Pond |
Central Institute of Freshwater Aquaculture (CIFA)
Dhauli, Kausalyagang, Bhubaneshwar
NETWORK OF AQUACULTURE CENTRES IN ASIA
BANGKOK, THAILAND
Hyperlinks to non-FAO Internet sites do not imply any official endorsement of or responsibility for the opinions, ideas, data or products presented at these locations, or guarantee the validity of the information provided. The sole purpose of links to non-FAO sites is to indicate further information available on related topics.
This electronic document has been scanned using optical character recognition (OCR) software. FAO declines all responsibility for any discrepancies that may exist between the present document and its original printed version.
Radhayshyam, B.B. Satpathy and V.R.P. Sinha
Freshwater Aquaculture Research and Training Centre
(Central Inland Fisheries Research Institute)
Kausalyagang, Via Bhubaneswar (Orissa)
ABSTRACT
With a view to find out the possible causes for the sudden occurrence of large scale mortality of fish and fish food organisms in a shallow pond of 1.25 ha on a hot summer day (June 5, 1982), the diurnal variation of physico-chemical factors and plankton density were studied. Water temperature (29.0–37.5°C), free carbon dioxide (0–32.0 ppm) and dissolved oxygen (0.08–11.6 ppm) showed marked fluctuation round the clock. Phytoplankton density was found to be maximum at 5.00 am. and minimum at 9.00 p.m. and during day time was markedly less.
Volumetric estimation of plankton revealed a considerable decline in plankton biopmass (71.32%) over a period of 3 days during the hot spell (June 5–8, 1982). The computed loss in density of phytoplankters was 2981 u/1 and that of zooplankters 2354 u/1 during the period. The dead fishes included Cyprinus carpio, Cirrhinus mrigala, Catla catla and Labeo rohita.
The lethal conditions for aquatic life occurred with high temperature and complete depletion of dissolved oxygen in the day time and the sharp rise in free carbon dioxide in the night. The adverse environmental conditions were further aggravated due to very low water level, high concentration of suspensoids of particulate and colloidal matter at the pond bottom and high rate of decomposition of organic matter etc., which seem to have been cumulatively responsible for the sudden mortality of fishes and the collapse of planktonic organisms.
INTRODUCTION
Incidence of sudden fish mortality occur sporadically in rural undrainable fish ponds due to certain unfavourable biotic and abiotic factors causing a considerable loss to fish production. Although a number of workers (Vix. Natarajan et al., 1963; Berica, 1973 & 1975; Durve and Rajbansi, 1975; Raghavan et al., 1977; Sharma and Mukerji, 1978; Raghavan et al., 1979; Singh et al., 1980; and Sin and Chiu, 1982) have recorded the causes of sudden mortality of fish in natural waters as well as in ponds, tanks etc., their investigations remain restricted to fish mortality alone while the massive destruction of fish food organisms, often occurring concomitantly, has not received much attention. The present communication, therefore, is an attempt at establishing the causative environmental factors responsible for the mass mortality of natural fish food organisms accompanied by heavy mortality of fish, based on the study of a village undrainable fish pond.
GENERAL PROFILE OF THE POND
The pond covering an area of 1.25 ha, which was constructed in 1979 after suitable reclamation of a long standing derelict swamp, was initially owned by the Grampanchayat and was later transferred to the villagers on lease. It is situated in the village Nakhaurpatna, about 6 km away from the capital city of Bhubaneswar, Orissa. With scientific management practices, the pond has two successive years of composite fish culture earlier with a highly satisfactory level of production. While the pond is mostly rain fed, it has the facilities to be fed from a nearby irrigation canal on emergency. The pond maintains anaaverage depth of 2 m during monsoon and winter while the water level gradually recedes to a minimum of 0.63 m towards peak suumer. Although the pond bottom was sand and clay just after construction, the deposition of loose silt increased considerably over a period of three years. In summer 1982, during this experiment, loose silt had spreak throughout the pond bottom to an average depth of 50 cm and the pond had fish stock in its 7th month of culture along with some brood fish stock.
MATERIAL AND METHODS
On June 5, 1982, on being reported by farmers that the fish showed the sign of acute distress and surfaced in the early hours of the morning, the authors immediately rushed to the spot for observation. In order to study the problem, samples of water and plankton were collected for 24 hours at 4 hours interval on June 5–6, viz., at 9 A.M., 1 P.M., 5 P.M., 9 P.M., 1 A.M. and 5 A.M. sequentially. Again, on June 8–9, collection of plankton samples alone was made in the same pattern over a period of 24 hours. On June 5–6, two water samples were also collected from the pond bottom at 5 P.M. and 5 A.M. respectively.
The plankton collection was made by filtering 50 1 of water through a plankton net (nylon bolting silk having 0.064 mm size aporture) and it was later centrifuged for volumetric estimation. Number count was made as unit per litre (u/1), using a microscope. The physico-chemical analysis of water samples was made following the standard methods (APHA, 1955). Conductivity of water was determined by the conductivity bridge.
OBSERVATIONS
Physico-chemical characteristics of water
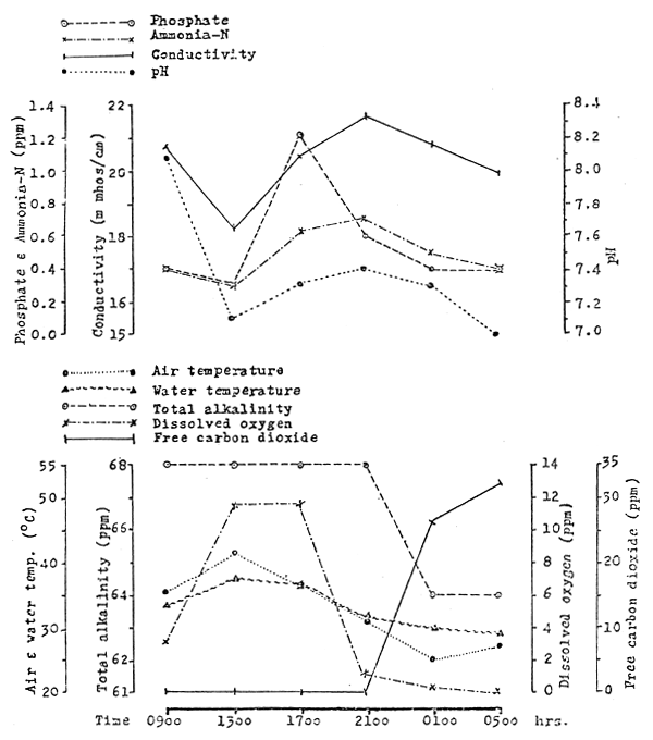
The diurnal variations in some of the physico-chemical parameters, namely, temperature, pH, free CO2, total alkalinity, phosphate, ammonia-N and conductivity of water are presented in Fig. I.

Fig. 1. ENVIRONMENTAL DIEL CYCLE IN AN UNDRAINABLE RURAL FISH POND
Fig. II. SHOWING PLANKTONIC COLLAPSE IN AN UNDRAINABLE FISH POND
Air and water temperature : The range of variation of air temperature over the 24-hour-period was 16.5°C. The maximum and minimum temperature of 41.5°C and 25.0°C of air were recorded at 1 P.M. and 1 A.M. respectively, whereas those of water were recorded as 29.0°C (5 A.M.) and 37.5°C (1 P.M.) respectively. The temperature of water at pond bottom was 37.5°C at 5 P.M. and 30.0°C at 5 A.M.
Tranperancy of water : The pond water was observed to be light greenishbrown in colour. Due to planktonic swarms/bloom water was less transparent and the maximum pin transparency recorded on May 5, was 64 mm at 1 P.M.
Hydrogen-ion concentration (pH) : The surface water was found to be alkaline round the clock whereas the bottom water exhibited slight acidity, maintaining its pH at 6.8 at 5 A.M. and 5 P.M. The diurnal fluctuation in the pH of surface water ranged between 7.0 (5 A.M.) and 8.1 (9 A.M.).
Free carbon dioxide : The concentration of free CO2 was nil between 9 A.M. and 9 P.M. in the surface water. At 1 A.M., however, free CO2 value stood at 26.0 ppm, registering a maximum value of 32.0 ppm at 5 A.M. In the bottom water, free CO2 was significantly higher compared to surface water and it maintained a concentration between 120 ppm at 5 P.M. and 130 ppm at 5 A.M.
Dissolved oxygen : The dissolved oxygen depleted almost completely during the night. In the surface water, it varied between 0.08 ppm (5 A.M.) and 11.6 ppm (5 P.M.. In the bottom water, the D.O. level remained dipped to zero, both at 5 A.M. and 5 P.M.
Total alkalinity : The fluctuation in total alkalinity was feeble, varying between 64 ppm and 68 ppm. The lowest stable value was recorded between 1 A.M. and 5 P.M. and rest of the time it maintained at 68 ppm. The bottom water maintained alkalinity at 68 ppm both at 5 A.M. and 5 P.M.
Phosphate : The range of variation of phosphate was between 0.3 ppm (1 P.M.) and 1.2 ppm (5 P.M.) in the surface water. However, phosphate value in the bottom water remained stable at 0.4 ppm both at 5 A.M. and 5 P.M.
Nitrogen : The diurnal fluctuation in ammonia-N value did not conform to any significant sequence. Ammonia-N varied between 0.3 ppm (1 P.M.) and 0.7 ppm (9 P.M.) in surface water. In bottom water, its values were 0.57 ppm (5 P.M.) and 0.5 ppm (5 A.M.). The value of nitrate-N was recorded at 0.175 ppm (5 P.M.) for surface water, whereas its value in the bottom water stood at 0.35 ppm at 5 P.M. and 0.48 ppm at 5 A.M.
Conductivity : The variation in surface water conductivity was between 18.26 micromhos/cm (1 P.M.) and 22.11 micromhos/cm (5 P.M.). However, the bottom water conductivity was found to be higher compared to that of the surface water with its value ranging between 27.39 micromhos/cm (5 A.M.) and 32.82 micromhos/cm (5 P.M.).
Plankton
The average bio-mass as determined by quantitative estimation over 24 hour-period (June 5–6) was found to be 4.85 cc.50 1. The abundance of phytoplankters was computed to be 3911 u/l and that of zooplanktonters, 2770 u/l. The diurnal fluctuation in the plankton density and plankton bio-mass are given in Table I.
The phytoplankton comprised Buglenophyceae, 2073 u/l (Bullena spp. and Meteronema sp.) : Chlorophyceae, 1510 u/l (Closterium sp., Clostericpsis sp., Scenedesmus sp., Desmonema sp., Schizogonium sp., Coelastrum sp., and Palmodictyon sp.) : Myxophyceae, 265 u/1 (Anacystic sp., Microcystis sp. and Comphosphaeria sp.) : Bacillariophyceae, 24 u/1 (Synedra sp., Navicula sp. and Nitaechia sp.) : Chrysophyceae, 22 u/1 (Phaeosphaera sp. and Phytodinium sp.) : Crytophyceae, 14 u/1 (Cyanomestix sp. and Chroomonas sp.) and Xanthophyceae, 3 u/1 ( (Bottydiopsis sp.). Similarly, the zooplankton consisted of rotifers, 2276 u/1 (Brachionus spp., Platyias sp., Asplanchna sp., Keratella spp., Trichotria sp., Trichoceca spp., Oupelopagis sp., Trochoshaera sp., Colurella sp., Vorokowia sp., Filinia sp., Proalinopsis sp., Pomopholyx sp., Ascomorpha sp., and Cephalodella sp. and their resting eggs); copepods, 326 u/1 (Nauplius larvae, copidids, Cyclops spp., Diaptomus spp., Eucyclops sp. and their eggs); ostracods, 86 u/1 (Cypris sp., Cypria sp. and Candona sp.); rhizopods, 64 u/1 (Difflugia spp. and Centropyxis sp.) and cladocerans, 18 u/1 (Moina sp., Sida sp., and Bosmina sp.).
Plankton analysis was repeated again after a gap of three days i.e., on June 8–9 (Table I) in order to assess the rate and extent of loss of plankton due to the prevailing unfavourable conditions and it was observed that while Chrysophyceae, Cryptophyceae and Xanthophyceae in phytoplankton and cladocerans in zooplankton were totally unrepresented, other other groups exhibited significant decline in their density.
Loss of plankton mass: The average volume of plankton observed on June 8–9, was 1.3 cc/50 1 as against 4.85 cc/50 1 on June 5–6, indicating the loss in total bio-mass by 71.32%. The loss in terms of plankton density was estimated to be 79.86%. The average destruction of phytoplankton population was 76.23% and that of zooplankton, 84.95%. Details are graphically represented in Fig. II.
Fish mortality
Although stray instances of distress of fish in the early morning hours were being noticed since previous two days, the conditions deteriorated suddenly on the morning of June 5, with the fish surfacing enmasse followed by the incidence of mass kill. In the following two days, distress condition and instances of fish kill were less severe. The dead fishes were collected for examination and the details of the same are presented in Table II. It was observed that the gills of all the dead specimens were covered with a muddy mucilaginous coating.
DISCUSSION
It is well recognised that temperature above 39.5°C proves lethal to Indian major carps (Jhingran, 1977) and the lethal temperature limit of air-breathing fishes and other fishes lies between 39 and 41°C (Das, 1945). In the present study, the maximum surface water temperature (37.5°C) was found to be close to the lethal limit and hence it has a maximum probability to have caused hazardous effects directly or indirectly With low waterllevel (0.63 m) and high temperature, the silty bottom sediment was excessively slushy (silt depth 50 cm) leading to the release of a large quantity of suspensoids and colloidal matter at the soil-water interface. Further, the consequent high rate of bacterial decomposition of dead organisms and other organic bottom deposits could have led to a condition favouring the increase of the level of CO2 and other obnoxious gas abnormally with a simultaneous depletion of dissolved oxygen. Sin and Chiu (1982) stated that action of anaerobic and aerobic bacteria on the organic matter and dead algal cells, usually result in a drop in the D.O. level at the fish kill stage.
The surface water pH was observed to be slightly towards the alkaline side, whereas the bottom water was slightly acidic. The total alkalinity (64–68 ppm did not show any abnormality. Conductivity of bottom water (32.82 micromhos/cm) was higher than that of the surface water (22.41 micromhos/cm) indicating increasing trend in ionic concentration and colloidal concentration.
In anoxic condition, maximum value of ammonia-N (0.7 ppm) seems to be hazardous for carp fishes. Sin and Chiu (1982) recorded the 0.7 mg/l ammonia at the kill stage and Vemos (1963) recorded the lethal limit of ammonia for carp as 0.5 mg/l. Vemas and Tasnadi (1967) further stated that under oxygen depleted condition, the tolerance of carp to ammonia is reduced.
The maximum fish mortality had occurred during early hours of the morning when the D.O. and CO2 levels were at lethal points. During the daytime, till 5 P.M., the D.O. maintained a high value, with the CO2 phase almost absent. This was obviously due to the vigorous photosynthesis activity. Between 5 P.M. and 9 P.M., the D.O level fell sharply reaching 1.2 ppm and thereafter decreasing gradually touching near zero level at 5 A.M. Similarly, the CO2 level registered a sharp rise from 9 P.M. to 5 A.M., reaching a saturation point of 32 ppm. The water sampled from the pond bottom showed the CO2 concentration at an aextreme supersaturation level, ranging between 120–130 ppm. This proves that during dark period of night, in the absence of the emeliorating effect of photosynthetic activity, the depletion in the level of D.O. and accumulation of high concentration of CO2 were brought about with unusual rapidity reaching a crisis point for the survival of fish and fish food organisms. The present observation is amply supported by the findings of Natarajan et al., (1963), who recorded fish mortality in Chilka lake due to extremely low value of oxygen (0.2–1.8 ppm) and also those of Sharma and Mukerji (1978), who stated that 0.8 ppm of dissolved oxygen in a tank near Allahabad proved lethal to freshwater fishes. Similarly, Barica (1975) suggested that dissolved oxygen concentration of not less than 1 mg/l could be accepted as lowest limit for fish survival.
The volumetric estimation of plankton on June 5 and 8, has indicated considerable decline in plankton bio-mass (71.32%) over a period of three days during the hot spell. The loss of phytoplankton was computed as 2981 u/1 and that of zooplankton as 2354 u/1. In addition to other adverse environmental factors, one of the plausible reasons for mass imortality of some of the phytoplankters might be due to loss of buoyancy. In summer, when light intensity is more, photosynthetic activity becomes vigorous which builds up turgor pressure on vacucles to the point of collapse causing loss of buoyancy and eventual death to the plankton (Reynolds and Walsby, 1975). The other reasons for the collapse of phytoplankton might be due to upturning of anoxic waters at night by wind action (Swingle, 1968) or even due to viral attack at lake kill stage (Shilo, 1971):
Raghavan et al. (1979) pointed out that fish kill is caused by the coating on the gills with suspensoids in presence of high concentration of carbon dioxide and total absence of dissolved oxygen. This fully corroborates the observations made in the present study where similar conditions prevailed and the dead fishes were found with the gills coated with mucus and mud. In certain cases, the entire body itself was coated with excessive mucus. Due to their browsing nature, the bottom dwellers tend to rake up the loose silted bottom adding excessively to the concentration of suspensoid particles in the water in shallow ponds particularly in summer, Such a situation coupled with other adverse physico-chemical conditions could have proved fatal to the fish by choking the gill.
It is interesting to note that phytoplankton density was at the maximum (10302 u/1) on June 5–6, in surface water at 5 A.M., when the temperature was minimum (29°C) and a gradual decline was observed from 9 A.M. onwards till 9 P.M. (1912 u/1). This may be due to the increase in the sinking rate of phytoplankton with the rise in light intensity (Schone, 1972). But the reason for the observed increase in the phytoplankton concentration at 1 A.M. is probably due to less settling rate in the dark. The observation made by Burns and Rosa (1980) that the blue-green algae show maximum buoyancy at midnight, lends support to the above observation. A similar pattern was again noticed in the fluctuation of phytoplankton concentration on June 8–9, as well.
Table I. Diurnal fluctuations in the abundance of plankton in a shallow village pond of Orissa on June 5–6 and 8–9, 1982 showing destruction of plankton quantity within 3 days.
| (a) June 5–6, 1982 | (b) June 8–9, 1982 | |||||||||||
| 9 AM | 1 PM | 5 PM | 9 PM | 1 AM | 5 AM | 9 AM | 1 PM | 5 PM | 9 PM | 1 AM | 5 AM | |
| Zooplankters u/1 | ||||||||||||
| Copepods | 298 | 28 | 385 | 638 | 317 | 288 | 195 | 55 | 55 | 215 | 115 | 130 |
| Cladocerans | - | 55 | 48 | 2 | 4 | - | - | - | - | - | - | - |
| Rotifers | 142 | 2888 | 7237 | 1933 | 356 | 1100 | 50 | 150 | 300 | 410 | 205 | 265 |
| Ostracods | 33 | 137 | 55 | 9 | 199 | 83 | 5 | 50 | 35 | 5 | 150 | 55 |
| Rhizopods | 51 | 4 | - | 9 | 9 | 13 | 10 | 5 | 8 | 7 | 5 | 13 |
| Total u/1 | 524 | 3112 | 7725 | 2391 | 885 | 1484 | 260 | 260 | 401 | 637 | 475 | 463 |
| Phytoplankters u/1 | ||||||||||||
| Myxophyceae | 110 | 55 | - | 13 | 352 | 1062 | 320 | 350 | 85 | 5 | 10 | 430 |
| Bacillariophyceae | 24 | 61 | 44 | 13 | - | - | 24 | 50 | 16 | - | 10 | 20 |
| Chlorophyceae | 2085 | 303 | 693 | 163 | 1364 | 4455 | 825 | 275 | 100 | 150 | 350 | 510 |
| Buglenophyceae | 1650 | 880 | 495 | 823 | 3806 | 4785 | 200 | 83 | 35 | 65 | 225 | 410 |
| Cryptophyceae | 84 | - | - | - | - | - | - | - | - | - | - | - |
| Chrysophyceae | 132 | - | - | - | - | - | - | - | - | - | - | - |
| Xenthophyceae | 18 | - | - | - | - | - | - | - | - | - | - | - |
| Total u/1 | 4103 | 1299 | 1232 | 1012 | 5522 | 10302 | 1369 | 760 | 236 | 220 | 595 | 1400 |
| Plankton vol. cc/30A | 0.60 | 4.00 | 20.00 | 3.00 | 0.80 | 0.70 | 0.50 | 1.50 | 4.50 | 0.80 | 0.50 | 0.40 |
Table II.
Stocking and fish kill records during June 5–6, 1982 in a rural undrainable fish pond
| Species | Stocking density (Nos.) | Dead specimens (Nos.) | Dead fish (%) | Range of length (mm) | Range of weight (gm) | Total weight of dead fish (kg) |
| Cyprinus carpio | 1500 | 124 | 8.26 | 270–285 | 300–400 | 43.50 |
| Cirrhinus mrigala | 1000 | 45 | 4.50 | 300–400 | 950–1250 | 46.00 |
| Catla catla | 500 | 36 | 7.20 | 485–520 | 1250–1600 | 45.60 |
| Labeo rohita | 1000 | 12 | 1.20 | 260–300 | 250–330 | 3.50 |
No significant sequence was discernible in the diurnal fluctuation in the case of zooplankton on June 5–6. But the study repeated on June 8–9, however, showed the maximum density at 9 P.M. Subsequently, zooplankton density gradually declined from 1 A.M. to 1 P.M., rising again from 5 P.M. onwards.
The findings thus suggest that the relative tolerance of cultivable carps to the cumulative effect of adverse environmental factors in natural conditions need close investigation. Regular monitoring of the quality of water and soil of the fish ponds is highly imperative to predict the unsuitable environmental factors, responsible for sudden fish kills and the collapse of planktonic population. This will serve as a helpful guide to fish culturists to avoid sudden fish kills in the ponds by taking necessary precautionary measures well in advance.
ACKNOWLEDGEMENT
The authors are greatly indebted to Dr. A.V. Natarajan, Director, Central Inland Fisheries Research Institute for his interest and Dr. J. Olah, FAO Consultant on Pond Microbiology for his kindly going through the manuscript.
REFERENCES
American Public Health Association, 1955. Standard methods for the examination of water, sewage and industrial wastes, New York. 522 p.
Barica, J., 1973. Changes in water chemistry accompanying summer fish kills in shallow eutrophic lakes of southwest Manitoba. In. F.R. Reinelt et al. (Editors). Proc. Symp. on the lakes of Western Canada, Edmonton, University of Alberta, Water Resources Centre, Publication No. 2.:228–241.
Barica, J., 1975. Summer kill risk in Prairie ponds and possibilities of its production. J, Fish Res. Board, Can. 32 : 1283–1288.
Burns, N.M. and Rosa, F., 1980. In situ measurement of the setting velocity of organic carbon particles and 10 species of phytoplankton. Limnol. oceanogr. 25 : 855–864.
Das, A.K., 1945. Lethal temperature of some air breathing and nonair breathing fishes of India. Sci. Cult. 11 : 164–167.
Durve, V.S. and Rajbansi, V.K., 1975. Fish mortality and fishing during an unprecedented draught in lake Pichhola, Udaipur. Indian J. Fish. 22 (1 & 2) : 297–299.
Jhingran, V.G., 1977. Fishes and Fisheries of India. Hindustan Publishing Corporation (India). 953 pp.
Natarajan, A.V., Shah, K.L. and Basu, N.C., 1962. A case of fish mortality in the Madhur Pani Jano in Chilka lake. Sci. & Cult. 29 : 97–99.
Raghavan, S.L., Rahman, M.F. and Govind, B.V., 1979. Suspensoids a factor for fish mortality. J. Inland Fish. Soc. India. 11(2) : 111–112.
Raghavan, S.L., Sukumaran, P.K., Govind, B.V. and Manju, L., 1977. A case of fish mortality in Byramangala Reservoir. J. Inland Fish. Soc. India. 9 : 203–204.
Reynolds, C.S. and Valsby, A.E., 1975. Water blooms. Biol. Rev. 50 : 437–481.
Schone, M.K., 1972. Experimentalle untersuchungancur okologie der marinen kieselalge Thalassiosira rotula. I. Temperature and Licht. Mar. Biol. 13 : 284–291.
Sharma, N. and Mukerji, A.P., 1978. An examination of environmental factors for the cause of a summer fish kill in a tank near Allahabad, Curr, Sci 47 (11) : 389–391.
Shilo, M., Biological agents which cause lysis of Blue-green algae. Mitt. Int. Ver. Limnol. 19 : 206–213.
Sin, A.W. and Chiu, M.T.L., 1982. Summer and winter kills in fish ponds of Hong Kong and their possible prediction. Aquaculture. Amsterdam. Netherlands. 29 (16) : 125–135.
Singh, B.N., Kumar, K., Sarkar, S.K. and Ghosh, A.K., 1980. Observation on the diurnal fluctuation of oxygen and fish mortality during acute summer months in large weed infested pond of Kausalyagang. Abst. Proc. Fifth All India Congress of Zoology. : 120.
Swingle, H.S., 1968. Fish kills caused by phytoplankton blooms and their prevention. FAO Fish. Res. 44 : 402–411.
Vemos, R., 1963. Ammonia poisoning in carp. Acto Biol. Szeoed. 9 : 291–297.
Vemas, R. and Tasnadi, R., 1967. Ammonia poisoning in carp. 3. The oxygen content as a factor influencing the toxic limit of ammonia. Acto Biol. Szeged. 13 (3/4) : 99–105.