| NACA/WP/86/41 | November 1986 |
![]() |
The Effect of Paddlewheel Aeration and Stocking Density on Water Quality and Production of Macrobrachium rosenbergii (de Man) under Monoculture System |
Research Conducted under Secondment of Young Scientists Programme
NETWORK OF AQUACULTURE CENTRES IN ASIA
BANGKOK, THAILAND
Hyperlinks to non-FAO Internet sites do not imply any official endorsement of or responsibility for the opinions, ideas, data or products presented at these locations, or guarantee the validity of the information provided. The sole purpose of links to non-FAO sites is to indicate further information available on related topics.
This electronic document has been scanned using optical character recognition (OCR) software. FAO declines all responsibility for any discrepancies that may exist between the present document and its original printed version.
by
S.C. Jayamanne 2
1 Research sponsored by FAO/NACA under the Secondment for Young
Scientists Program Bangkok, Thailand October 1985-September 1986.
2 Scientific Officer, National Aquatic Resources Agency, Crow
Island, Colombo - 15, Sri Lanka.
ABSTRACT
The effects of aeration and stocking density on water quality and production of Macrobrachium rosenbergii were examined in six 0.54 ha ponds in Nakhon Pathom province, Thailand, during a grow-out period of eight months. The experiment comprised three treatments; T 1) 20 prawn/m2 stocking density with aeration, (T1), 2) 20 prawn/m2 stocking density without aeration (T2), 3) 10 prawns/m2 stocking density without aeration (T3). The ponds of treatment 1 were subjected to the aeration by means of electric-powered paddlewheel aerators, after 3-months of stocking. Prawns were fed a formulated pellet feed once a day approximately at the rate of 5% of body weight.
Prawns were partially harvested 3 times before total harvest. In all the ponds, the survival rates were very low (T1=18%, T2=15%, T3=18%).
Because of the heavy mortality occurred during the grow-out period, much desired data could not be collected. However, when the collected data were statistically analyzed no significant differences were observed between the treatments with and without aeration or with varying stocking density on water quality and survival rate. Production was low in low density (551 kg/ha) compared to the high density (876–894 kg/ha).
Mortality occurred during the experimental period was mainly due to sudden falls of temperature, high rates of liming, and DO depletion. Oxygen depletion was resulted from phytoplankton blooms and their sudden die-offs due to heavy rainfalls. Paddlewheel aerator used, proved to be insufficient to raise the DO (water depth 1 meter) level at such time.
INTRODUCTION
Giant prawn farming is one of the most economically important enterprises in freshwater aquaculture in Thailand. The domestication of prawns was introduced in 1960's (Ling, 1969) and commercial farming had been expanding rapidly since then (New et al., 1982). The total culture area was 5 ha in 1974 (Menasveta and Piyatiratitivokul, 1980) and had been expanded to 3,000 ha at present (Dept. of Fisheries, 1985). Size of the grow-out ponds vary from 1,600 m2 - 80,000 m2 (1–50 rai). The source of water supply for most of these farms are irrigation canals (New et al., 1982).
Only the monoculture of M. rosenbercii is practiced in Thailand. Stocking density in the grow-out ponds depend on the availability and size of the juvenile prawns. The ponds are usually stocked with 7 – 10 day old postlarvae at the rate of 20 – 25/m2 or with 2–3 month old juveniles at the rate of 3–5/m2 (Boonyaratpalin and Vorasayan, 1983).
Water quality is of primary concern in intensive aquaculture systems, in which high stocking density and supplementary feeding are adopted. Under those conditions, poor management often causes inadequate concentrations of dissolved oxygen and the presence of high concentrations of ammonia, nitrite, hydrogen sulphide and carbon dioxide which can be harmful or lethal to culture organisms (Boyd et al., 1978; Colman et al., 1982). Among these factors DO depletion is the most critical and most common occurrence. Depletion of DO can be the result of thermal or oxygen stratification, (Fast et al., 1983) phytoplankton die-offs and heavy plankton blooms causing high rates of respiration during the night (Boyd, 1973).
In Thailand, management of water quality is usually based on farmer's experience and is by visual examination. Plankton blooms occuring in the ponds at the latter part of the grow-out cycle often cause early morning DO depletion which may result in heavy prawn mortality. The current practice in water quality management in Thailand includes changing the water (Boonyaratpalin and Vorasayan, 1983), reduction in feeding rate and emergency aeration by means of paddlewheel aerators. The latter method is practiced in areas with limited water supply.
To prevent the depletion of DO in pond water, artificial aeration on a continuous or night-time basis has been applied (Loyacano and Jeffry, 1970; Smith, 1973; Busch et al., 1977). Several common techniques employed in previous studies include spraying DO deficient water into the air by mechanical devices, circulating pond water of low DO concentrations by pumps and changing pond water with fresh oxygenated water (Swingle, 1986; Grizzel et al., 1969; Meyer et al., 1973 and Tiemeier and Deyoe, 1973) Boyd and Tucker (1979) evaluated the efficiency of three different types of mechanical aerator for oxygenation of ponds with critically low DO level and determined that the paddlewheel aerator was the most effective device. Busch et al. (1984) compared three kinds of paddlewheel aerator for fish pond and found that the electric-powered one was more economical to operate than the tractor-powered unit.
The beneficial effects of the aeration of pond water on growth and survival of the cultured organisms are well recognized. Artificial aeration can mix the water thereby preventing thermal stratification, improving the water quality by dispersing plankton and dissolved substances throughout the pond. Oxygenation in deeper water can prevent anaerobic decomposition of organic matters accumulated on the bottom of the ponds.
In the present study, an experiment was conducted to determine the effects of aeration and stocking density on water quality and production of Macrobrachium rosenbergii under a monoculture system.
MATERIALS AND METHODS
The experiment was conducted in a commercial prawn farm for a period of eight months, from December 1985 - August 1986. Six ponds each of 0.538 ± .004 ha were drained and allowed to dry until cracks appeared on the bottom. Then the ponds were limed with 100 kg/ha of agricultural lime and filled upto 1 m by pumping water from an irrigation canal. The inlet pipes were covered with fine mesh nylon nets to prevent the entry of fish eggs and fish.
Seven-day old juvenile prawns with a mean weight of 9–12 mg and mean length of 0.89–0.93 cm obtained from a commercial hatchery were transported to the farm for stocking in grow-out ponds. No mortality was observed during the transport. The experiment comprised three treatment; 1) 20 prawns/m2 stocking density with aeration 2) 20 prawn/m2 stocking density without aeration 3) 10 prawns/m2 stocking density without aeration. Each experiment was duplicated.
Prawns were fed once daily at 4.00 p.m. with a formulated pellet feed containing 30% protein. The average daily feeding rates are given in Table 1.
Beginning from 27 March 1986, aeration was applied to the treatment 1 ponds by means of two paddlewheel aerators installed in either side of the ponds. The aerators used were electric-powered two impeller floating type (Fig. 1). Six paddles, each 19 cm. long and 14.7 cm wide were attached to each wheel. The paddle depth was 8 cm. At the beginning, aeration was applied only from 2.00 a.m. to 6.00 a.m., and later (from the month of May) from 2.00–6.00 a.m. and 1.00–4.00 p.m.
Water quality parameters including dissolved oxygen (DO), water temperature, pH, Secchi disk visibility and depth were measured daily at 6.00 a.m. and 4.30 p.m. at the surface and bottom of the pond. Diel DO fluctuation was recorded at 4-hr intervals at the surface and the bottom at two points, in each pond. Diel DO data were collected regularly before and after changing the pond water. Water samples were collected weekly and analyzed according to the standard methods (A.P.H.A. et al., 1975) for NO2-N (phenate method), alkalinity (titrimetric method), hardness (titrimetric method), O-PO4 (ascorbic acid method) and T-PO4 (persulphate digestion method). Total sulphate was measured monthly (titrimetric method). All the parameters except total sulphide were measured at the pond site.

The pond water was changed monthly during the first three months of the grow-out period, later every 6–15 days, depending on the water quality. At each change 50–70% of the volume of pond water was replaced with new canal water.
The prawn growth was estimated monthly by taking cast net samples at 5–10 random points in each pond. Standard length, total length and body weight of individual prawns were measured, 100–200 prawns per pond every month.
The prawns were selectively harvested after 176 days of culture period for the first cropping and at approximately 2-month intervals thereafter. An unexpected harvest was carried out two weeks after the first harvest due to the mass mortality which occured in all the ponds. This harvest was regarded as the second harvest. Final harvest was done by draining the ponds two weeks after the third harvest. Crop of each harvest was sorted into eight categories; females with and without eggs, short-clawed males, large, medium and small, long-clawed males, soft shells and petite males. Total weights were measured for each category and the number in each category was estimated by counting 1–2 kg of subsample.
RESULTS
Growth
Growth rate of M. rosenbergii in the highest density treatment was not significantly different (P < 0.05), either by average weight or by standard length, from that in the low density, as shown in Fig. 2. However, it is evident from the graph that the prawns grew faster under low stocking density, but there was no effect of paddlewheel aeration accompanied with higher density on the growth rate of the prawns.
Sex ratio
Female:male ratio obtained according to the weight was approximately 1:1 while it was 2.1, 1.9, and 2.3 in treatment 1. treatment 2 and treatment 3 by number, respectively (Table 2 and 3). The female:male ratio was different at each harvest. The first harvest of higher density with or without paddlewheel aeration was comprised of more males than females, whereas the female proportion was always higher in lower densities (Fig. 3). However, there was a greater similarity in sex ratio both by weight and number, in all three treatments.
Yield Characteristics, Production and Survival Rate
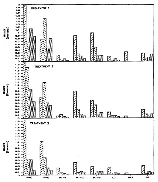
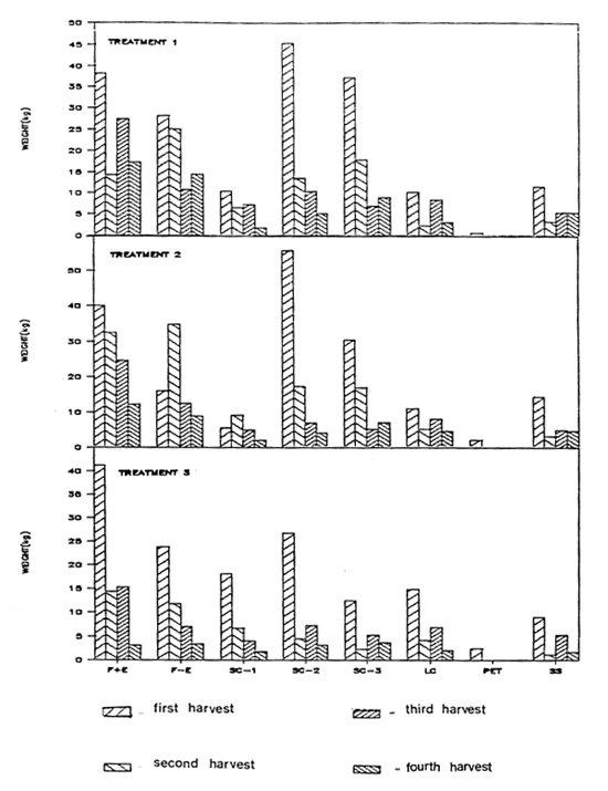
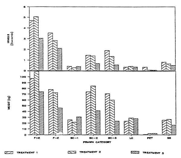
Social structure of marketable prawns in relation to number, average size of the prawn and yield in each treatment in each harvest is presented in Fig. 4, 5 and 6. Fig. 7 shows the distribution of prawns in number and weight among different morphotypes in total harvest. Proportion of females with eggs is higher than the proportion without eggs, both in number and weight. A greater proportion of harvested males belonged to the categories of short-clawed males numbers 2 and 3 (Fig. 7). Petite males were found only during the first harvest (Fig. 4, 5 and 6). Average size of the prawns at first treatment during the first harvest was comparably lower than in the other two treatments (Fig. 5). The size of the long-clawed males varied from harvest to harvest in all three treatments.
Total yields, survival and production are shown in Table 4. The survival rates for the treatments with and without paddlewheel aeration have no significant difference (P<0.05). Data show a greater similarity among treatment 1 and 2 for survival rate, production and yield. Total production obtained in this study was 894.43, 876.08 and 551.66 kg/ha, for higher density with paddle wheel aeration, higher density without paddlewheel aeration and lower density without paddlewheel aeration respectively. Survival rate was very low in all three treatments (Tl = 18.63, T2 = 14.99 and T3 = 17.98). Production for the lower density was obviously lower but the survival was slightly higher, compared to the higher stocking density without aeration.
Mortality
Total observed mortality was 9.00, 6.56 and 6.38% of the harvested prawns for treatment 1, 2 and 3 respectively (Table 5). Highest mortality observed during the experiment was due to accidental liming performed by the farmer without our knowledge. Instead of the usual rate of 60 kg/pond he applied 360 kg/pond thus increasing the pH which was already at the range of 8–9 at the time of liming. Ponds were flushed and dying prawns were harvested before mass mortality occured. The sex ratio of the dead prawns were 2.2, 1.7 and 2.7 for treatment 1, 2 and 3 respectively. This ratio shows similarity to the sex ratio of the total population.
Water quality
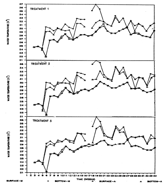
During the early period of the study, water temperature dropped suddenly from 25°C to 22° C thus affecting the chemical and biological processes of the pond (Fig. 8). The maximum-minimum temperatures measured during this time were 36°C- 17°C. From February to April the temperature increased gradually. During this period, the temperature was usually high in the afternoon (12.00 – 2.00) and low in the morning. During the period of May - July sudden temperature decrease occured due to the cloudy weather and heavy rainfall. As shown in Fig. 8, the fluctuation of temperature was similar in all three treatments.
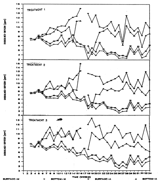
Dissolved oxygen concentrations in the afternoons were usually at the supersaturated levels and did not differ obviously among the treatments (Fig. 9). These high values for DO resulted from rapid rates of photosynthesis which was influenced by abundant nutrients from metabolic waste. Sudden DO depletions occured in the first week of April, due to a sudden collapse of plankton. Thereafter, in the first week of June, DO depletion resulted from sudden weather changes and heavy rainfall (83mm) followed by plankton die-offs. Morning DO concentrations decreased in all three treatments regardless of our efforts to increase DO level by aeration. This is a clear indication of the inefficiency of the paddlewheel aerator used. Decreasing DO levels in the latter part of the study was due to the cloudy weather which decreased the rate of photosynthesis.
Diel fluctuations of DO during the culture period are shown in Fig. 10, 11 and 12. Fluctuations of DO between the surface and bottom varied markedly between the period from February to April. This resulted from an abundance of phytoplankton which produced O2 during the day time and used O2 by respiration during the night. The only difference observed between the treatments with and without paddlewheel aeration was that the differences of DO between surface and bottom was lower in the former. But results did not show that the paddle wheel was able to raise the DO during the experimental period.
Chlorophyll and Turbidity
Plankton abundance as measured by Secchi disk visibility and chlorophyll a concentration was similar in all three treatments (Fig. 13). Each of the treatments showed an increase in plankton abundance starting from March 1986. The continual addition of nutrients from metabolic waste and excess feed favoured the growth of phytoplankton. Changing of pond water was done every six days in the latter part of the study but did not remove the plankton appreciably.
NUTRIENTS
Concentrations of NH3 -N, NO2 -N and NO3 -N were comparably low throughout the study except in the time of stocking. NH3 -N and NO3 -N were readily absorbed by the phytoplankton and were always well below the toxic thresholds (Fig. 14, 15 and 16).
Orthophosphate in the three treatments decreased with the increasing plankton. Orthophosphate revealed by decaying plankton. and organic matter was presumably directly used by phytoplankton thereby reducing the orthophosphate level. Total phosphate obviously increased with the increasing phytoplankton (Fig. 17, 18 and 19).
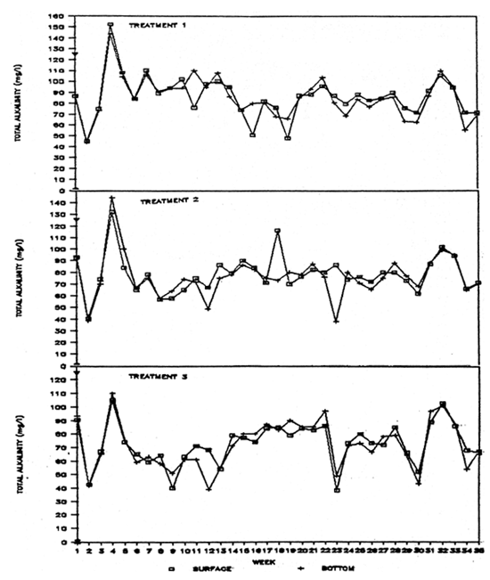
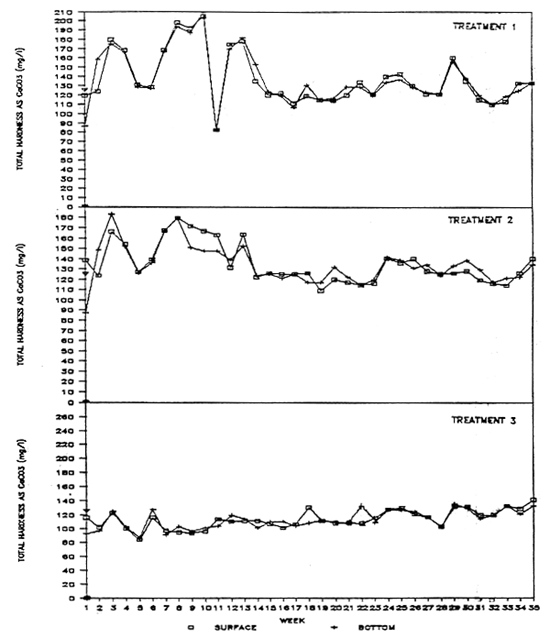
Alkalinity and hardness varied between 40–160 and 70–210 respectively in higher densities (Fig. 20 and 21). In the lower density hardness varied within a narrow range of 80–140. pH fluctuated between 7 and 10 (Fig. 22).
Total sulphide concentration varied within the range of 0.6 – 2.2 in all three ponds. This range is already toxic for the prawns. But since the pH was high, more than 80% of the total sulphide was always in ionized form which is not toxic for the prawns (Fig. 23).
DISCUSSION
In the present study total prawn productions were 894 kg/ha and 876 kg/ha in the treatments with and without paddle wheel aeration respectively in high density ponds and 551 kg/ha in low density ponds. These production levels were considerably lower than that reported for Macrobrachium rosenbergii in previous studies. The production levels in those studies varied from 465 – 820 kg/ha in 119 days in semi-intensive and 3,800 – 4,700 kg/ha per year in intensive culture (Sandifer and Smith, 1975; Smith and Sandifer, 1980; Boonyaratpalin and New, 1982; Sandifer, 1982). However, the production in monoculture systems depends greatly on the prawn stocking (Smith et al., 1981), grow-out period (Fujimura, 1970) and stocking density (Smith et al., 1981; Brody et al., 1980). Average size of the prawns with lower density increased in accordance to that found by Wolfarth et al., (1985) and Karplus et al., (1985).
Survival rate was very low compared to that determined by Smith et al., (1981). This experiment was designed expecting 40–50% survival at the time of harvesting. However, due to sudden weather changes and accidental liming poor survival was obtained. Unfortunately, the survival rates from post larvae-adult stages observed cannot be compared with other data from Thailand since the data does not exist. In Thailand the prawn farmers stock their ponds at a rate of 20–25/m2 and grow them for 2–3 months. This constitutes the nursary phase. The prawns are harvested after 2–3 months and restocked at lower rates.
In this procedure the prawns remaining from the last harvest are added to the next stock, while some of the prawns of the new batch still remain in the nursery pond. Even when the post larvae are directly stocked in the grow-out ponds, restocking takes place at each harvest or whenever poor survival was obtained. Sometimes the farmers combine 2–3 ponds with poor survival into one. This practice made it impossible to estimate the survival rate for a commercial scale. To obtain such data experiments should be done at an experimental scale by government-owned research institutes rather than at a commercial scale.
The sex ratios obtained in the present study, disagree with Wang et al. (1975) who found that the proportion of males exceeded that of females at higher densities. In our experiment, the proportion of male : female was almost similar in all three treatments regardless of stocking density.
Large variations in size is a characteristic of freshwater prawns in monoculture. This causes reduction in yield since 25% of the prawns remain below marketable size (Smith et al., 1981). Size variation observed in this study was wide with 76%, 85% and 87% of the prawns attaining marketable size.
The results obtained in this study were not as expected. First of all, the paddlewheel aerators used were inefficient in raising the DO concentrations to desirable levels. But the paddlewheel aerators used by Boyd and Tucker increased 1.2–5.1 mg/l in 8,280 m3 pond during 4 hr. period when operated at 120 rpm and 25 cm paddle depth. In the present study, the paddlewheel aerators used were rather small to raise the DO levels in as large a pond area as 0.54 ha. Furthermore the paddlewheel used was a floating type with a paddle depth of 8 cm. The paddle depth is also an important factor in increasing the rate of O2 transfer Armstrong and Boyd, (1982). The greatest O2 transfer rates were obtained with the increase of the paddle depth. The insignificant data obtained in this study between with and without paddlewheel aeration was mostly due to the inefficiency of the paddlewheel aerators.
Secondly, the unusual temperature decline which occured in January might have caused a mass mortality for the post larvae which were just introduced to the new environment. M. rosenbergii can usually survive within the range of 16–35°C temperature provided temperature changes are gradual and DO is maintained closer to air saturation (Farmanfarmaian and Moore, ). However, exposure time after sudden changes in temperature is critical. Fujimura (1972) reports a reduction of juvenile M. rosenbergii survival from 80% to 10% as the diurnal temperature fell from 25°C in October to 15°C in December. In the present study, temperature fell from 25°C - 22°C within one week with a maximum-minimum temperature range of 30°C-17°C, which might have led to the undetected mass mortality. This event might have resulted in small differences in stocking densities which led to in insignificant results.
The unestimated and unseen mortality led to lots of complications in water quality. Primarily, the feeding rate was based on the stocking density without knowing the mortality, which was impossible to detect since the post larvae are very small. This led to overfeeding which left excess feed in the ponds accelerating the growth of phytoplankton, followed by DO depletion in the morning. DO depletion cuased ecological imbalance and reduced the survival rate. Willis and Berrigan (1977) reported high mortality of M. rosenbergii associated with low DO levels, caused by unicellular and filamentous algal blooms. Similar observations were reported by Cohen et al. (1983) who obtained a survival rate as low as 17% which resulted from filamentous algal blooms. Rao et al. (1986) also reports the low survival due to DO depletion by algal blooms of Spirogyra and Euglena. In our study, the blooms of Oscillatoria and other blue-greens led to DO depletion and consequent ecological imbalance during the latter part of the study.
Heavy rains fell in early June, was another factor which caused DO depletion, followed by prawn mortality. The mortality occured at time was about 2–6% of the first harvest. Sudden crashes of phytoplankton blooms resulted in the depletion of DO. The occurence of excessive blooms and crashes is common in monoculture systems (Malecha, et al., 1981)
Nutrient fluctuations were quite low throughout the study since all of the nutrients provided by excessive feed and metabolic waste was readily used by plankton enhancing the phytoplankton blooms.
DO depletion due to algal blooms has been recognized as the main problem in monoculture systems, especially in the tropics where strong sunlight enhances the phytoplankton blooms within a very short period. Avoiding overfeeding and keeping close daily observations on pond water quality might help this problem. The techniques should be developed to estimate the actual populations in the ponds so the overfeeding could be avoided. The present method for estimation of prawn population by collecting prawn samples with cast net proved to be insufficient. Greater care should be taken to avoid the blooms of phytoplankton. The paddlewheel aerators if used should be efficient enough to raise the DO level and should be tested before using to avoid unnecessary expenses.
ACKNOWLEDGEMENTS
I wish to express my sincere gratitude to FAO/NACA for providing me the opporunity to participate in this programme.
I am indebted to Dr. C. Kwei Lin, who spared his invaluable time for sharing his knowledge with me and going through the manuscript critically.
I am also grateful to Dr. Mali Boonyaratpalin and Dr. Yont Musig for their cooperation, guidance and their genuine concern about this research. I am thankful to all the field assistants, and all the staff at NIFI and NACA office for their kind cooperation. Finally, I wish to thank my collegue, Mr.C.Harimurti for allowing me to use his chlorophyll data for this report.
REFERENCES
American Public Health Association, American Water Works Association and Water works Federation. 1975. Standard methods for the examination of water and waste water. 14th ea. New York, N.Y.,
Armstrong, m.s. and Boyd, C.E., 1982. Oxygen transfer calculations for a tractor-powered paddlewheel aerator. Trans. Am. Fish. Soc. 111: 361–366.
Boonyaratpalin, M. and New, M.B., 1982. Evaluation of diets for Macrobrachium rosenbergii reared in concrete ponds. In: M.B. New (editor) Giant Prawn Farming, Elsvier, Amsterdam, pp. 249–256.
Boonyaratpalin, M. and Vorasayan, P., 1983. Brief note on the state of the art of Macrobrachium culture in Thailand, Working paper, Network of Aquaculture Centres of Asia. WP/83/7.
Boyd, C.E., 1973. The chemical oxygen demand of waters and biological materials from ponds. Trans. Am. Fish. Soc. 102: 606–611.
Boyd, C.E., Romaire, R.P. and Johnston, E., 1978. Predicting early morning dissolved oxygen concentrations in Channel catfish ponds. Trans. Am. Fish. Soc. 107(3) : 484–492.
Boyd, C.E. and Tucker, C.S., 1979. Emergency aeration of fish ponds. Trans. Am. Fish. Soc. 108: 299–306.
Brody, T., Cohen, D., barnes, A., and Spector, A., 1980. Yield characteristics of the prawn Macrobrachium rosenbergii in temperate zone aquaculture. Aquaculture, 21: 375–386.
Busch, C.D., Flood, C.A., Koon, J.L. and Allison, R, 1977. Modeling catfish pond nighttime dissolved oxygen levels. Trans. Am. Soc. Arric. Eng. 20: 394–396.
Busch, R.L., Tucker, C.S., Steeby, J.A. and Reames J.E., 1984. An evaluation of three paddlewheel aerators used for emergency aeration of channel catfish ponds. Aquac. Eng. 3: 59–69
Cohen, D., Ra'anan, Z. and Barnes, A., 1983. Production of the freshwater prawn Macrobrachium rosenbergii in Israel. l. Intergration into polyculture systems. Aquaculture, 31: 67–76.
Colman, J.A., Srisuwantach, V., Boonyaratpalin, S., and Chinabut, S., 1982. Pond management, water environment and fish grow-out performance relation ships in Clarius culture trials. Thai Fisheries Gazzete
Department of Fisheries. 1985. Fisheries record of Thailand 1983. Fisheries Statistics Subdivision and Fisheries Policy and Planning Division, Dept. of Fisheries of Thailand. 139 pp Farmanfarmaian and Moore, R. (----). Diseasonal thermal aquaculture. 1. Effect of temperature and dissolved oxygen on survival and growth of Macrobrachium rosenbergii. Completion report for NOAA.
Fast, A.W., Barclay, D.K. and Akiyama, G. , 1983. Artificial circulation of Hawaiian prawn ponds. Sea Grant Cooperative Report. UNIHI-SEAGRANT-CR-84-01, pp82.
Fujimura, T. and Okamoto, H., 1970. Notes on progress made in developing a mass culturing technique for Macrobrachium rosenbergii in Hawaii. Indo-Pacific Fisheries Council Proceedings, 14th session Bangkok, Thailand. Symposiym 53: 17pp.
Fujimura, T., 1972. Development of a prawn culture industry. Annual Report, Project No. H-14-D-1, Hawaii, National Marine Fisheries Service.
Grizzel, R.A., Jr. Dillon, O.W. Jr., and Sullivan, E.G., 1969. Catfish farming. a new crop. U.S. Department of Agriculture Farmers Bulletin 2244, Washington, District of Columbia U.S.A.
Karplus, I., Hulata, G., Wohlfarth, G.W. and Halevy, A., 1986. The effect of density of Macrobrachium rosenbergii raised in earthen ponds on their population structure and weight distribution. Aquaculture, 52: 307–320.
Ling, S.W., 1969. Methods of rearing and culturing Macrobrachium rosenbergii. FAO Fish Rep. 3: 607–619. Rome.
Loyacano, H.A. and Jeffry, N.B., 1970. Mechanical aeration. Food and Agriculture Organization of the United Nations Fish Culture Bulletin. 1:8
Malecha, S.R., Buck, D.H., Baur, R.J., Onizuka, D.R., 1981. Polyculture of the freshwater prawn , Macrobrachium rosenbergii, chinese and common carps in ponds enriched with swine manure. 1. Initial trials. Aquaculture, vol 25, No. 2–3, pp101–116.
Menasveta, P. and Piyatiratitivokul, S., 1980. A comparative study on larviculture techniques for the giant freshwater prawn, Macrobrachium rosenbergii (De Man). Aquaculture, 20: 239–249.
Meyer, F.P., Sneed, K.E., and Eschmeyer, P.T., editors. 1973. Second report to the fish farmers. Bureau of Sport Fisheries and Wildlife Resources Publication. 113, Washington, District of Columbia.
New, M.B.., Singholka, S., and Vorasayan, P., 1982. Current status of freshwater prawn farming in Thailand. In Giant Prawn Farming. pp. 339–349. Ed. M.B. New. Elsevier: Holland.
Rao, K.G., ramachandra reddy, O., Rama Rao, P.V.A.N. and Ramakrishna, R., 1986. Monoculture of indian freshwater prawn, Macrobrachium malcolmsonii (Milne Edwards). Aquaculture, 53: 67–73.
Sandifer, P.A., 1982. Semi-intensive grow-out of prawns (Macrobrachium) rosenbergii). Preliminary results and prospects. In: M.B. New (Editor). Giant Prawn Farming, Elsvier, Amsterdam, pp 99–112.
Sandifer, R.A. and Smith, T.I.J., 1975. Effects of population density on growth and survival of Macrobrachium rosenbergii reared in recirculating water management systems. Proc. World Maricult. Soc., 6: 43–53.
Smith, P.L., 1973. Effects of Tilapia aurea (steindachner), cage culture, and aeration on channel catfish, Ictalurus punctatus (rafinesque). production in ponds. Doctoral dissertation. Auburn University, Auburn, Alabama, U.S.A.
Smith, T.I.J. and Sandifer, P.A., 1980. Influence of three stocking strategies on the production of prawns, Macrobrachium rosenbergii from ponds in South Carolina, Presented at the Coastal Aquaculture Symposium, Cochin, India, 12–18 January. 1980.
Smith, T.I.J., Sandifer, P.A., Jenkins, W.E. and Stokes, A.D. 1981. Effect of population structure and density at stocking on production and commercial feasibility of prawn (Macrobrachium rosenbergii) farming in temperate climates. J. World Maricult. Soc. 12 (1) : 233–250
Swingle, H.S., 1968. Fish kills caused by phytoplankton blooms and their prevention. FAO (F.A.O.U.N.) Fish. Rep. 44(5) : 407–411.
Tiemeier, O.W., and Deyoe, C.W., 1973. Producing Channel Catfish. Agricultural Experiment Station, Kansas State University Bulletin. 576; Manhatton, Kansas, U.S.A.
Wang, J.K., Huang, W.Y. and Fujimura, T., 1975. Some characteristics of earthen pond prawn production in Hawaii. Working paper No. 10. Sea Grant College Program, Univ. of Hawaii, Honolulu, 20 pp.
Willis and Berrigan, M.E., 1977. Effect of stocking size and density on growth and survival of Macrobrachium rosenbergii in ponds. Proc. Annu. Meeting World. Maricult. Soc., 8: 251–258.
Wolfarth, G.W., Hulata, G., Karplus, I. and Halevy, A., 1985. Polyculture of the freshwater prawn Macrobrachium rosenbergii in intensively manured ponds, and the effect of stocking rate of prawn on their production character. Aquaculture, 46: 143–156.
Table 1. Daily feeding rates for M. rosenbergii under different treatments during the culture period (12.12.85 - 10.08.86)
| Period | Feeding rate kg ha-1 day-1 | ||||
| Treatment 1 | Treatment 2 | Treatment 3 | |||
| 11 Dec | - | 30 Dec | 4.72 | 4.72 | 2.83 |
| 31 Dec | - | 02 Feb | 5.66 | 5.66 | 3.77 |
| 03 Feb | - | 16 Feb | 6.60 | 6.60 | 4.72 |
| 17 Feb | - | 23 Feb | 7.55 | 7.55 | 5.66 |
| 24 Feb | - | 25 Feb | 8.49 | 8.49 | 6.60 |
| 26 Feb | - | 19 Mar | 9.43 | 9.43 | 7.55 |
| 20 Mar | - | 10 Apr | 13.20 | 13.20 | 11.32 |
| 11 Apr | - | 08 May | 20.75 | 20.75 | 16.04 |
| 09 May | - | 15 May | 28.30 | 28.30 | 20.75 |
| 16 May | - | 20 Jun | 28.30 | 28.30 | 18.87 |
| 21 Jun | - | 24 Jun | - | - | - |
| 26 Jun | - | 11 Jul | 18.87 | 18.87 | 9.43 |
| 12 Jul | - | 13 Jul | - | - | - |
| 14 Jul | - | 30 Jul | 20.75 | 20.75 | 11.32 |
| 31 Jul | - | 07 Aug | 28.30 | 28.30 | 15.09 |
| 10 Aug | - | 18 Aug | 13.20 | 13.20 | 7.55 |
Table 2. Male : female ratio of marketable prawns as indicated by weight in four partial harvest under three treatments.
| Treatment | Partial Harvest | Total Yield kg/pond | Weight males kg | Weight females kg | Percent males | Percent females |
| Treatment 1 | 1 | 162.61 | 103.65 | 58.96 | 64 | 37 |
| 2 | 83.18 | 41.45 | 41.73 | 50 | 50 | |
| 3 | 75.00 | 33.93 | 41.07 | 45 | 55 | |
| 4 | 55.60 | 20.80 | 34.80 | 37 | 63 | |
| Total | 376.39 | 199.83 | 176.56 | 53 | 47 | |
| Treatment 2 | 1 | 175.51 | 111.19 | 64.32 | 63 | 37 |
| 2 | 118.90 | 49.40 | 69.50 | 42 | 59 | |
| 3 | 67.20 | 26.37 | 40.83 | 39 | 61 | |
| 4 | 43.80 | 20.20 | 23.60 | 46 | 54 | |
| Total | 405.41 | 207.16 | 198.25 | 51 | 49 | |
| Treatment 3 | 1 | 149.07 | 77.50 | 71.57 | 52 | 48 |
| 2 | 44.90 | 17.90 | 27.00 | 40 | 60 | |
| 3 | 50.76 | 24.80 | 25.96 | 49 | 51 | |
| 4 | 11.90 | 11.30 | 0.60 | 62 | 38 | |
| Total | 256.63 | 131.50 | 125.13 | 51 | 49 |
Table 3. Male : female ratio of marketable prawns as indicated by number/pond in four partial harvests under three treatments.
| Treatment | Partial harvest | Total number | Number males | Number females | Percent males | Percent females |
| Treatment 1 | 1 | 5508 | 2621 | 2887 | 48 | 42 |
| 2 | 3186 | 899 | 2287 | 28 | 22 | |
| 3 | 2321 | 597 | 1724 | 26 | 74 | |
| 4 | 3169 | 391 | 2778 | 12 | 88 | |
| Total | 14184 | 4508 | 9676 | 32 | 68 | |
| Treatment 2 | 1 | 4749 | 2021 | 2728 | 43 | 57 |
| 2 | 3967 | 966 | 3001 | 24 | 76 | |
| 3 | 2052 | 513 | 1539 | 25 | 75 | |
| 4 | 1434 | 364 | 1070 | 25 | 75 | |
| Total | 12202 | 3864 | 8338 | 32 | 68 | |
| Treatment 3 | 1 | 4450 | 1279 | 3172 | 29 | 71 |
| 2 | 1415 | 280 | 1135 | 20 | 80 | |
| 3 | 1189 | 365 | 824 | 31 | 69 | |
| 4 | 594 | 246 | 348 | 41 | 59 | |
| Total | 7348 | 2169 | 5179 | 31 | 70 |
Table 4. Yield, production and survival rate of M. rosenbergii reared in ponds for eight months period (the values given are the averages of two replicates).
| Treatment | Initial stocking | |||||
| Number | Weight (kg/ha) | Number | Yield (kg/ha) | Production (kg/ha) | Survival % | |
| Treatment 1 | 200703 | 2.07 | 37383 | 896.50 | 894.43 | 18.63 |
| Treatment 2 | 200703 | 2.07 | 30091 | 878.15 | 876.08 | 14.99 |
| Treatment 3 | 99172 | 1.04 | 17841 | 552.70 | 551.66 | 17.98 |
Table 5. Observed mortality (as a percentage of the harvested prawn) during the grow-out period.
| Treatment | Partial harvest | Total number harvested | Total observed mortality | Mortality as % of No. harvested | Sex ratio female/male |
| Treatment 1 | 1 | 5508 | 196 | 3.56 | 1.0 |
| 2 | 3186 | 791 | 24.82 | 2.5 | |
| 3 | 2321 | 186 | 8.01 | 4.0 | |
| 4 | 3169 | 115 | 3.62 | 1.9 | |
| Total | 14184 | 1288 | 9.08 | 2.2 | |
| Treatment 2 | 1 | 4749 | 155 | 3.26 | 0.27 |
| 2 | 3967 | 516 | 13.01 | 3.1 | |
| 3 | 2052 | 87 | 4.23 | 1.6 | |
| 4 | 1434 | 43 | 2.99 | 2.0 | |
| Total | 12202 | 801 | 6.56 | 1.7 | |
| Treatment 3 | 1 | 4450 | 104 | 2.34 | 1.5 |
| 2 | 1415 | 302 | 21.34 | 4.8 | |
| 3 | 1189 | 17 | 1.43 | 1.0 | |
| 4 | 594 | 46 | 7.74 | 1.0 | |
| Total | 7348 | 469 | 6.38 | 2.7 |

Fig 2. Growth rate of M. rosenbergii during the first 6 months of grow-out period (Treatment 1 = 20 prawns/m2 stocking density with paddlewheel aeration, Treatment 2 = 20 prawns/m2 stocking density without paddlewheel aeration, Treatment 3 = IQ prawns/m2 stocking density without paddlewheel aeration).

Fig 3. Comparison of male: female ratio of marketable prawns in each harvest, by weight and number (M = males, F = females).

Fig 4. Comparison of the prawn population structure in four partial harvests in relation to number.

Fig 5. Size variation (g/prawn) among various categories in four partial harvests (F+E - females with eggs, F-E - females without eggs, SC 1–3 - short clawed males nos. 1–3, LC - long-clawed males, PET - petite males, SS - soft shells).

Fig 6. Weight distribution of M. rosenbergii among various categories in 4 partial harvests.

Fig 7. Population structure of the total marketable prawns as indicated by total yield and by number (The values given are averages of 2 replicates).

Fig 8. Fluctuations of water temperature (C°) in the ponds during the culture period.

Fig 9. Concentrations of DO in ponds during the grow-out period.

Fig 10. Diel changes in DO concentrations in the higher stocking density with paddlewheel aeration (↓ = Before changing water, ↓ = after changing water, ↑ = beginning of the aeration).

Fig 11. Diel changes in DO concentrations in the higher stocking density without paddlewheel aeration (↓ = Before changing water, ↓ = after changing water).

Fig 12. Diel changes in DO concentrations in the low density without paddlewheel aerationewheel aeration. (↓ = Before changing water, ↓ = after changing water).

Fig 13. Secchi disk visibility (cm) and chlorophyll a concentrations (Mg/l) of the ponds during the grow-out period.

Fig 14. Concentrations of NH3 -N, NO2 -N and NO3 N in the pond with high stocking density with paddlewheel aeration.

Fig 15. Concentrations of NH3 -N, NO2 -N and NO3 -N in the pond with high stocking density without paddlewheel aeration.

Fig 16. Concentrations of NH3 -N, NO2 -N and NO3 -N in the pond with low density without paddlewheel aeration.

Fig 17. Orthophosphate and total phosphate concentrations in treatment 1 during the culture period.

Fig 18. Orthophosphate and total phosphate concentrations in treatment 2 during the culture period.

Fig 19. Orthophosphate and total phosphate concentrations in treatment 1 during the culture period.

Fig 20. Changes in total alkalinity (mg/l) in the ponds during the culture period.

Fig 21. Changes in total hardness (mg/l) in the ponds during the culture period.

Fig 22. pH fluctuations in the ponds during the culture period.

Fig. 23. Monthly variation of total sulphide and respective pH in ponds during the culture period.