| NACA/WP/88/77 | December 1988 |
![]() | REALIZED RESPONSE OF THAI RED TILAPIA TO WEIGHT - SPECIFIC SELECTION FOR GROWTH (3RD – 5TH GENERATIONS) |
Parnsri Jarimopas
Technical paper submitted to the International Development Research
Centre, on Fish Genetics (Thailand) Project (Phase 2)
National Inland Fisheries Institute
Department of Fisheries
Bangkok, Thailand
August 1988
Hyperlinks to non-FAO Internet sites do not imply any official endorsement of or responsibility for the opinions, ideas, data or products presented at these locations, or guarantee the validity of the information provided. The sole purpose of links to non-FAO sites is to indicate further information available on related topics.
This electronic document has been scanned using optical character recognition (OCR) software. FAO declines all responsibility for any discrepancies that may exist between the present document and its original printed version.
Parnsri Jarimopas
ABSTRACT
Weight-specific selection techniques have been used in various studies of fish growth including those in Thai red tilapia. Employing the techniques, this study aims to determine a selection response and its realized heritability in the fish. In weight-specific selection, the individual fish were initially selected (graded) when they were about six weeks old to standardize their weight. The second grading between weeks 6 and 14 made IT possible to obtain the values of their relative growth rates.
The selected line of the Thai red tilapia was found to be 15.7% heavier in wet weight and 7.89% longer in than those of the control line after the second generation. The analysis of variance showed a significant difference both in weight and size between the selected and control lines. The selection response, calculated as the difference between the means of the final population and the control, was 4.32 g. in weight, and 0.86 cm in length. The realized heritability was estimated to be 0.17 and 0.29 by weight and length respectively. The selection procedure proved to be effective for the Thai red tilapia and A promising tool for genetic stock improvement.
INTRODUCTION
One well-known method of fish genetic stock improvement is selective breeding, the choosing of fish having desired traits to become brooders. Selective breeding of Thai red tilapia for faster growth rates has been conducted at the National Inland Fisheries Institute since 1982. The author reported in 1987 that after the first two generations of mass selection, the response to selection of the fish was 2.4 g in weight and 0.26 cm in length while the realized heritability was estimated to be 0.1. The difficulty of mass (or individual) selection in tilapia attributing to its successive breeding behaviour is well known, and consequently to a variation in age of the fish of a single generation. In a genetic stock improvement study, the tilapia offspring of a starting generations are collected over a period of one week or longer. The actual difference in age of the offsprings and the usual variation of mouth brooding duration, normally produce a considerable phenotypic size difference among individual fish regarded to be of the same age. To resolve this problem the experiment adopted the method suggested by Doyle and Talbot (1986) of discarding the individual fish too large or too small for the generation at the commencement of the grow-out period. The differences in size at the end of the second period were used as the selection criteria. The selected trait possessed a faster weight-specific growth rate over those grown concurrently. The author found in 1986 that the selected line of Thai red tilapia was 29.7% heavier and 9.88% longer than those of the control line after two generations of a weight-specific selection, with a realized heritability of 0.2. This experiment was in fact a continuation of the 1986 experiment. The only difference between the 1986 and this experiment is that the former dealt with the parental stock, and the latter with its F2 generation at the beginning of the test.
OBJECTIVES
To obtain a fast-growing stock of Thai red tilapia from the selective breeding trial carried out under the tropical conditions in Thailand;
To further test the response and the realized heritability of this species to the weight-specific mass selection procedure.
METHODOLOGY
The weight-specific mass selection was employed in this experiment involving three generations of Thai red tilapia from July 1986 to May 1988. The experimental ponds at the National Inland Fisheries Institute at Bangkhen, and at the Royal Folk Art and Craft Centre at Bangsai some 60 kg north of the capital city of Bangkok were used. The procedure of this experiment is illustrated in Figure 1.
Four distinguishable lines of Thai red tilapia, each of which comprised twenty-five pairs were released into a 50 sq.m concrete pond. As fry began to appear approximately 2,000 of them were collected. The collection lasted for about one week. The brooders were drawn from the F2 of the 1986 experiment.
After a rearing period of six weeks, 500 fry of medium sizes (0.37– 0.5 inches) were collected from each pond for stocking in a 50 sqm. concrete pond. The fry in the collection that appeared too large or too small in size were excluded from the experiment.
The fish were raised for eight more weeks until they were 14 weeks old when their weight and body length were obtained. Twenty-five females and males were taken at random and used for the control line. Then the 25 largest females and males were selected by mean of 10% mass selection for the selected line.
Subsequently, the fish were isolated by sex and reared in cages until they became 7.5 months old when they were introduced to one single cage per line for mass mating. The offsprings were called F1 generation. The subsequent two generations were produced using the same procedures (1) to (4) above.
Fish feed used was a commercial tilapia diet. The feeding rate was about 5% body weight per day, twice a day.
A sample of about 20% of the stock in each pond and all the fish in each cage was drawn every two weeks for a measurement of weight and length. As the growth rate and new weight were obtained, the ration for the next feeding period was computed and adjusted accordingly.
The selection intensity (i), selection response (R), realized heritability (h2) of a 14th week fish are related by the following equation:
| where | i | = | s/ |
| h2 | - | R/S/ (Falconer, 1960) | |
| i | = | selection intensity which is equal to the selection differential expressed in term of standard deviation | |
| s | = | selection differential, i.e. the difference of mean phenotypic value between selected parents and the population mean | |
| R | = | final population mean-control, where both are measured before selection. | |
| h2 | = | realized heritability | |
| = | standard deviation of fish population at 14 week before selection. |
RESULTS
1. Growth comparison of Thai red tilapia between control and selected line
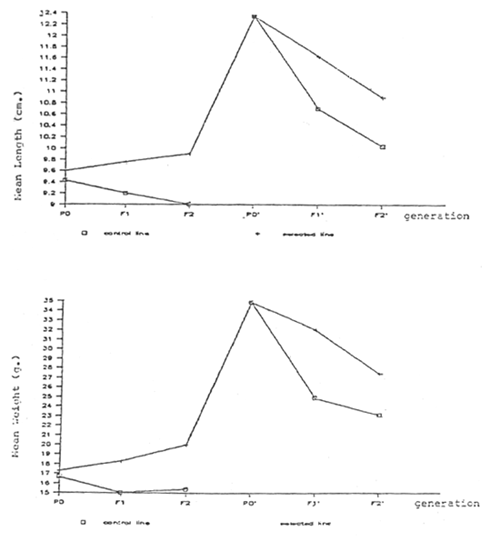
Table 1 shows weight and length of the control and selected lines at 14-week of age. Figure 2 shows length and weight of the fish. It appeared that the weight and the length of the selected line were greater than those of the control in the first two generations. The F1 and F2 generations of the selected line weighed 21.6% and 29.7% heavier than the control. Similarly, the selected line measured 5.98% and 9.88% longer. Because of an accidental flooding of the NIFI ponds in May 1986, the fishes were mixed so that for the experiment with the F3 generation, the selected line could not be distinguished from the control. The experiment was therefore made up by obtaining the offsprings for another breeding of the F2-selected stock, marked as (Po) in this experiment, where the prime indicates the second experiment. The next generations of the second experiment are designated F1, F2, etc. The results show the selected line were 22.2% and 15.7% heavier and 7.92% and 7/89% longer than the control line in F1 and F2 generations (Table 2). Table 5 and 6 show the result of analysis of variance of the population male and female weight at 14th week age in F2 generation. Fish of the selected line are significantly heavier than those of control line.
2. Selection intensify (i)
The selection intensity of Thai red tilapia is given in Table 2. The i values of Po, F1 and F2 are 1.26, 1.03 and 1.06 by weight and 1.15, 0.94 and 0.65 by length, respectively. The indicator signifies positive selection in every generation.
3. Response to selection (R)
The cumulative selection response in the F2 generation is given in Table 4 the cumulative R are 4.32 g and 0.86 cm by weight and length respectively.
4. Selection differential (s)
Table 3 shows the selection differential of the fish at 14 weeks of age in Po and F1 are 13.16 g and 12.13 g by weight and 1.51 cm and 1.48 cm by length, respectively. The calculation of a cumulative selection differential in F2 generation (Table 4) are as follow:
| S | = | 13.16 + 12.73 | = | 25.29 g by weight |
| S | = | 1.51 = 1.48 | = | 2.99 cm by length |
5. Realized heritability (h2)
The realized heritability estimates is calculated from the cumulative selection response and the cumulative selection differentiation of the weight and length. The h2 of F2 generation are 0.17 by weight and 0.29 by length, respectively (Table 4).
Since the selection was actually performed on length, the h2 of weight should be considered an indirect response to the selection, or a genetic regression of weight on length.
DISCUSSION
The selection response of Thai red tilapia in the F2 generation indicates that the selected fish grow 15.7% better, as to weight, than the fish of the control line. The analysis of variance of the population of red tilapia weight at 14 weeks of age shows the selected line are significantly heavier than those of the control line. The weight and length of the fish in the selected and control lines in F2 generation was less than that in the F1 generation. The poor growth was probably due to the inferior quality of the new feed that was introduced during the F2 generation. The actual cause is being investigated.
The realized heritability of male and female red tilapia was 0.15 and 0.19 by weight and 0.29 and 0.28 by length, respectively. The h2-values are similar to those of Tilapia mossambica reported by Chan May-Tchien (1971: quoted by Kirpichnikov, 1981) of 0.12–0.32 for male, and 0.12–0.29 for female.
There is obviously a potential for improving Thai red tilapia employing the technique of selective breeding. Since a positive response to the selection has been found in every generation, the weight-specific mass selection for growth should be successfully practiced in a Thai red tilapia breeding program.
ACKNOWLEDGEMENT
The author wishes to express her deep gratitude to the International Development Research Centre for its support to this experiment, and to Dr. R.W. Doyle, IDRC Project Consultant, and the staff of the Aquaculture Unit of the National Inland Fisheries Institute for their valuable advice and help.
REFERENCES
Doyle, R.W. and A.J. Talbot. 1986. Effective population size and selection in variable aquaculture stocks. Aquaculture, 57:27–35.
Falconer, D.S. 1960. Introduction of quantitative genetics. The Ronald Press Company. New York. 365 p.
Kirpichnikov, V.S. 1981. Genetics Bases of fish selection. Spring-Varlay Berlin. 410 p.
Parnsri Jarimopas. 1986. Realized response of Thai red tilapia to weight-specific selection for growth. The first Asian Fisheries Forum. p. 109– 111.
Parnsri Jarimopas. 1987. Realized response of Thai red tilapia to mass selection for growth. Final Report. Fish Genetics (Thailand) Project (Phase I). Submitted to the International Development Research Centre (IDRC). pp. 22–41.
Figure I Scheme of weight-specific selection for growth in Thai Red Tilapia.

Table 1 Mean length and weight with standard deviation of population mean of control and selected line of Thai red tilapia in 5 generations.
| generation F | Population mean of control line ± SD. | Population mean of selected line ± SD. | |||
| lt.(cm.) | wt.(g.) | lt.(cm.) | wt.(g.) | ||
| Po | 9.43 ± 1.05 | 16.69 ± 4.65 | 9.60 ± 1.14 | 17.27 ± 6.00 | |
| 1 | F1 | 9.20 ± 1.83 | 15.04 ± 9.04 | 9.75 ± 1.98 | 18.29 ± 11.14 |
| 2 | F2 | 9.01 ± 0.85 | 15.41 ± 3.78 | 9.90 ± 1.28 | 19.98 ± 7.22 |
| 3 | Po ′ | 12.33 ± 1.31 | 34.85 ± 10.41 | 12.33 ± 1.31 | 34.85 ± 10.41 |
| 4 | F1 ′ | 10.70 ± 1.26 | 24.90 ± 8.52 | 11.62 ± 1.57 | 32.02 ± 11.84 |
| 5 | F2 ′ | 10.04 ± 1.18 | 23.12 ± 7.94 | 10.90 ± 1.20 | 27.44 ± 7.80 |

Figure 2 Grapths of length and weight of Thai red tilapia at 14th of age in 5 generations.
Table 2. Percent selected line greater than control line of Thai red tilapia
| generation | Population mean of control line ± SD. | Population mean of selected line ± SD. | % selected line greater than the control line | ||||
| F | sex | lt.(cm.) | wt.(g.) | lt.(cm.) | wt.(g.) | lt.(cm.) | wt.(g.) |
| Po/ | 0 | 12.80 ± 1.28 | 38.02 ± 10.41 | 12.80 ± 1.28 | 38.20 ± 10.41 | - | - |
| 0 | 11.86 ± 1.17 | 31.69 ± 9.42 | 11.86 ± 1.17 | 31.69 ± 9.42 | - | - | |
| X | 12.33 ± 1.31 | 34.85 ± 10.41 | 12.33 ± 1.31 | 34.85 ± 10.41 | - | - | |
| F1/ | o | 10.78 ± 1.34 | 25.82 ± 9.57 | 12.06 ± 1.59 | 36.25 ± 11.88 | 10.61 | 28.77 |
| o | 10.63 ± 1.17 | 23.98 ± 7.22 | 11.18 ± 1.42 | 27.79 ± 10.20 | 4.92 | 13.71 | |
| X | 10.70 ± 1.26 | 24.90 ± 8.52 | 11.62 ± 1.57 | 32.02 ± 11.84 | 7.92 | 22.24 | |
| F2/ | o | 10.40 ± 1.21 | 25.53 ± 8.20 | 11.24 ± 1.18 | 28.89 ± 7.89 | 7.47 | 11.63 |
| 0 | 9.69 ± 1.03 | 20.72 ± 6.88 | 10.57 ± 1.14 | 26.00 ± 7.45 | 8.33 | 20.31 | |
| X | 10.04 ± 1.18 | 23.12 ± 7.94 | 10.90 ± 1.20 | 27.44 ± 7.80 | 7.89 | 15.74 | |
Table 3 The selection differential selection intensity of Thai red tilapia base on length and weight at the age of 14th week.
| Generation | Population mean of selected line ± SD. | Mean of selected fish | Selection differential | Selection intensity (i=s/o) | |||||
| F | sex | lt.(cm.) | wt.(g.) | lt.(cm.) | wt.(g.) | lt.(cm.) | wt.(g.) | lt.(cm.) | wt.(g.) |
| Po | o | 12.80 ± 1.28 | 38.20 ± 10.41 | 14.12 ± 0.61 | 49.75 ± 7.26 | 1.32 | 11.55 | 1.03 | 1.13 |
| o | 11.86 ± 1.17 | 31.69 ± 9.42 | 13.55 ± 0.79 | 46.27 ± 9.45 | 1.69 | 14.58 | 1.44 | 1.55 | |
| X | 12.33 ± 1.31 | 34.85 ± 10.41 | 13.84 ± 1.26 | 48.01 ± 8.59 | 1.51 | 13.16 | 1.15 | 1.26 | |
| F1 | o | 12.06 ± 1.59 | 36.25 ± 11.88 | 13.60 ± 1.19 | 47.10 ± 11.10 | 1.54 | 10.85 | 0.97 | 0.91 |
| o | 11.18 ± 1.42 | 27.79 ± 10.20 | 12.59 ± 1.02 | 41.39 ± 8.80 | 1.41 | 13.60 | 0.99 | 1.33 | |
| X | 11.62 ± 1.52 | 32.02 ± 11.84 | 13.10 ± 1.21 | 44.15 ± 10.49 | 1.48 | 12.13 | 0.94 | 1.03 | |
| F2 | o | 11.24 ± 1.18 | 28.89 ± 7.89 | 11.85 ± 0.67 | 36.24 ± 6.66 | 0.61 | 7.35 | 0.52 | 0.92 |
| o | 10.57 ± 1.14 | 26.00 ± 7.45 | 11.51 ± 0.04 | 35.21 ± 6.82 | 0.94 | 9.21 | 0.82 | 1.24 | |
| X | 10.90 ± 1.20 | 27.44 ± 7.80 | 11.68 ± 0.78 | 35.73 ± 6.74 | 0.78 | 8.29 | 0.65 | 1.06 | |
Table 4 The cumulative selection response and realized heritability of Thai red tilapia base on length and weight at 14th week of age.
| generation | The cumulative selection differential (S) | The cumulative selection response (R) | heritability (h2 = R/S) | ||||
| F | sex | lt.(cm.) | wt.(g.) | lt.(cm.) | wt.(g.) | lt.(cm.) | wt.(g.) |
| PoF1 | ♂ | 1.32 | 11.73 | 1.28 | 10.43 | 0.97 | 0.89 |
| ♀ | 1.69 | 14.58 | 0.55 | 3.81 | 0.33 | 0.26 | |
| X | 1.51 | 13.16 | 0.92 | 7.12 | 0.61 | 0.54 | |
| F1F2 | ♂ | 2.86 | 22.58 | 0.84 | 3.36 | 0.29 | 0.15 |
| ♀ | 3.18 | 28.18 | 0.88 | 5.28 | 0.28 | 0.19 | |
| X | 2.99 | 25.29 | 0.86 | 4.32 | 0.29 | 0.17 | |
Table 5 Analysis of variance of Thai red tilapia male at 14 week of age in F2 generation
Analysis of variance
| Source | Sum-of-square | Df | Mean-square | F-ratio | P |
| Rep | 2,295.187 | 3 | 765.062 | 13.621 | .000 |
| Sel | 1,125.603 | 1 | 1,125.603 | 20.041 | .000 |
| Rep | |||||
| Sel | 1,463.928 | 3 | 487.976 | 8.688 | .000 |
| Error | 22,017.060 | 392 | 56.166 |
Table 6 Analysis of variance of Thai red tilapia female at 14 week of of age in F2 generation.
Analysis of variance
| Source | Sum-of-square | Df | Mean-square | F-ratio | P |
| Rep | 2,191.427 | 3 | 730.476 | 16.693 | .000 |
| Sel | 2,793.123 | 1 | 2,793.123 | 63.827 | .000 |
| Rep | |||||
| Sel | 1,127.188 | 3 | 375.729 | 8.586 | .000 |
| Error | 17,154.140 | 392 | 43.761 |