| NACA/WP/88/64 | December 1988 |
![]() | EFFECTS OF GREEN MANURE ON FISH PRODUCTION IN POLY PONDS WITH SILVER CARP AND BIGHEAD CARP AS MAIN SPECIES |
Shan Jian and Wu Shenjie
Hyperlinks to non-FAO Internet sites do not imply any official endorsement of or responsibility for the opinions, ideas, data or products presented at these locations, or guarantee the validity of the information provided. The sole purpose of links to non-FAO sites is to indicate further information available on related topics.
This electronic document has been scanned using optical character recognition (OCR) software. FAO declines all responsibility for any discrepancies that may exist between the present document and its original printed version.
Shan Jian and Wu Shenjie
ABSTRACT
Four types of green manure were used in the polyculture ponds with silver carp and bighead carp as the main species. Direct application of green manure resulted in a higher fish production ranging from 19.59 to 25.33 kg/ha/day. Sudan grass was best among four types of green manure.
INTRODUCTION
Sudan grass (Sorghum sudanese), mugwort (Artemisia argyi), water hyacinth (Eichhornia crassipes) and water peanut (Alternanthera philoxeroides) are easily available and commonly used green manures for fish farming in China and Southeast Asia. Although some experiments on the utilization of green grass or organic manure for fish culture have been reported (Li 1956; Guo 1960) little is known about using sudan grass and mugwort as the input of fish pond. This experiment was to study the effects of four types of green manure on fish production so as to establish some technical packages which could be applied in other developing countries.
METHODS
Silver carp (Hypophthalmichthys molitrix), bighead carp (Aristichthys nobilis), common carp (Cyprinus carpio), crucian carp (Carassius auratus), grass carp (Ctenopharyngodon idellus) and wuchang fish (Megalobrama amblycephala) were polycultured in eight ponds having the same area and depth and stocked at the same density and ratio. The experimental ponds were separately loaded with fresh and fermented green manure. In addition to fish production, certain biological and chemical parameters were measured regularly. The experiment was repeated for two years with similar results.
RESULTS
Fish production in two experimental runs is shown in Table 1.
Table 1. Fish production in each experimental pond.
| Pond no. | Treatment | Fish production (kg) | Average yield (kg/ha/day) | |
| 1986 | 1987 | |||
| 1-1 | fresh S.G. | 34.95 | 53.95 | 25.33 |
| 1-2 | fermented S.G. | 28.35 | 46.75 | 21.40 |
| 2-1 | fresh M.W. | 30.31 | 53.65 | 23.92 |
| 2-2 | fermented M.W. | 24.71 | 44.05 | 19.59 |
| 3-1 | fresh W.H. | 29.10 | 57.20 | 24.59 |
| 3-2 | fermented W.H. | 28.30 | 51.35 | 22.69 |
| 4-1 | fresh W.P. | 28.56 | 58.35 | 24.76 |
| 4-2 | fermented W.P. | 26.09 | 50.20 | 21.74 |
Note : S.G. = sudan grass
M.W. = mugwort
W.H. = water hyacinth
W.P. = water peanut
Production of silver carp and bighead carp was occupied for 65.76% in 1986 and 73.89% in 1987, respectively.
In 1986, the average water depth was .1.2 m and experimental period was 90 days in 1987, it was 1.8.m and 105 days.
RESULTS
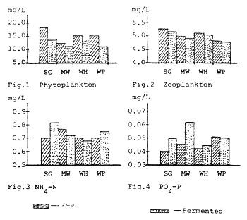
The experiments were conducted without using any commercial feeds. However, biomass of plankton and concentration of N and P were higher in experimental ponds than in control ponds (Figure 1, 2, 3 and 4). Green manure, after applying into fish ponds, was decomposed by bacteria and provided enough detritus, bacteria, plankton etc. for silver carp, bighead carp and other fish species (Schroeder 1987). But fish production was closely related to the type and application method of green manure.
Fish production was highest in ponds treated with fresh sudan grass. The conversion rate of sudan grass and mugwort ranged from 12.6 – 23.6. However, the conversion rate varied with the ratio among roots, stems and leaves as well as the moisture content of a plant. In general, a plant with more leaves and less moisture may result in a better conversion rate. Fermented manure is also effective for fish farming, but fresh green manure was more effective in increasing fish production in the experiment. The same loading rate for the fresh and fermented green manure was practised. In addition, part of the nutritive and energy values might have been lost during the fermentation. This is considered as the main reason why fermented green manure produced less fish.

Fig. 1. Biomass of phytoplanktons and zooplankton and concentrations of N and P in the various treatment.
REFERENCES
Li Dasu, 1956. Journal of Science.
Guo Difen, 1960. Journal of Biology.
Schroeder, G.L., 1987. Aquaculture 14:303.
He Zhihui, 1983. Aquaculture (in Chinese) 7(4):287.
ACKNOWLEDGEMENTS
We thank Dr. F.B. Davy, Associate Director, Fisheries, Agriculture, Food & Nutrition Sciences, Regional Office for Southeast and East Asia; and Mr. Chen Foo Yan, Coordinator of the Network of Aquaculture Centres in Asia for the financial support and assistance.