by
Mr. Michael B. New1
1. INTRODUCTION
This paper is general in nature and because of the remit I was given to try to pose some topics for our discussions later in this workshop, covers a rather wide range of subjects. Since most of the participants of this workshop are scientists involved in feeds research, there is no need for me to talk about the purpose of utilizing feeds in aquaculture or about nutrition itself. However, I would like to say a few words about the economic benefit of feeding. I will follow this with some comments on the growing use of commercially compounded feeds in Asian aquaculture and on one of the alternatives to their use for some farmers. Finally, I will try to highlight some of the problems for the aquaculture feed industry and some of the as-yet unsolved problems in our field.
2. ECONOMIC BENEFITS OF FEEDS USE
In commenting about the benefits of feed use, I would like to devote my time to examining the methods of assessing efficiency. In doing so, I wish to stress that although we are here to discuss formulated (or compounded) feeds, their use is not the only means of increasing aquacultural productivity. We should not forget the role of organic and inorganic fertilization or the benefits of integrating aquacultural with agricultural enterprise — the combination of two or more activities which are complementary. However, compounded feeds are the topic of this workshop, so I must concentrate on their use in intensive or semi-intensive aquaculture.
First of all, the cost of feeding is not the only factor to consider when comparing the potential productivity it can generate with other rearing systems. Taking shrimp culture as an example, it is not enough to say that while the natural productivity of the water may generate 100–300 kg/ha/yr and fertilization 600–1 000 kg/ha/yr, the use of feeds can raise productivity up to 20 000 (Taiwan) or even 30 000 (Japan) kg/ha/yr. In assessing the benefits of feeding compounded feeds, it is essential to take into account not only the cost of the feed used and the value of the aquatic product harvested but also all the other costs associated with the use of feed in an intensive system. These include increased pond construction and maintenance costs, increased requirements for water and dissolved oxygen, increased equipment costs for maintaining water quality, harvesting, transport to the market or processing factory, increased fingerling costs, and so on. In addition, if you are examining the economic benefits of feeding (and therefore, intensive aquaculture) you must also take into account its positive and negative effects. These include the impact on the skilled and unskilled labour markets; land, water and environmental resource requirements, investment needs and the socio-economic impact. All of us are aware that intensive shrimp farming, for example, is having an enormous impact on the coastal zones of our region; these impacts are not always beneficial for all. I do not want to go further into this topic now, but I raise it as a possible subject for discussion later in the workshop. For the moment, let us assume that the socio-economic benefits of the use of compounded feeds have been satisfactorily established and turn to an examination of the means of comparing two different feed formulations or two commercial diets.
We, as scientists, talk in terms of such parameters as growth rate, survival and feed conversion ratio. However, the fish or shrimp farmer has much more simple questions to ask about the feeds or formulations being compared.
We, and most (but not all) farmers, understand that the feed with the cheapest unit cost is not necessarily the best. We know that we have to compare the food conversion ratios (FCR's) achieved. However, FCR alone is not an adequate parameter for comparison. There is no point in using a feed which has an FCR of 1.5:1 if the unit cost of this feed is twice as much as another which provides a poorer FCR of 2:1, to give a simplistic example. So a combination of unit feed cost and FCR is necessary to make the comparison. What we have reached here is what Vincke (1969) called the INCIDENCE OF COST, which is governed by the unit cost of the feed and its apparent FCR (AFCR):
I would like to modify this formula a little and say that the:
This takes into account whether one feed is more expensive to use than another because of its demands, for example, on labour, water, aeration, etc.
Miller (1976) suggested another simple criteria called the PROFIT INDEX.
The latter formula brings the important factor of crop value into the picture; this is influenced by the appearance of the cropped animals, their texture and taste, and their suitability for the market in which they are to be sold (for example, fish from two harvest may both average 500 g but in one case the range of sizes might be 50–1 000 g, whereas in the other size range might be within that demanded by the market, say 400–600 g).
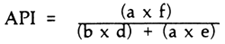
There is another important factor which governs the farmers' choice of feed which is not reflected in the equations illustrated, which is close to what we refer to as growth rate but actually also takes into account the down-time in the grow-out structure (pond, cage, etc.). Survival rate has already been taken into account in the Profit Index mentioned above. The farmers also need to know how often he can produce marketable fish or shrimp per year. How many marketable crops per year? Following on from that, what is the annual value of the harvest generated by a particular feed, not just the crop value. So I think the most accurate, though simplistic, way of expressing the criteria by which feed performance could be measured in a manner utilizable by the farmer is what I have called the Annual Profit Index.
The Annual Profit Index (API) can be calculated as follows:

where:
a = annual fish yield (mt/ha/yr)
b = annual quantity of feed used (mt [DM*]/ha/yr)
[c = FCR = b ÷ a; not used in the calculation of API]
d = unit feed cost (US$/'000/mt)
e = cost of all other inputs per unit of fish produced (US$/'000/mt), such as fingerlings, power, fertilizers, etc.
f = fish value (US$ '000/mt)
As an example, let us compare two feed formulations ‘A’ and ‘B’. Feed ‘A’ yields 3 000 kg/ha/yr (a = 3) while feed ‘B’ yields only 2 500 kg/ha/yr (a = 2.5). The farmer uses 6 000 kg of feed ‘A’ (b = 6) and 4 500 kg of feed ‘B’ (n = 4.5). Thus, the FCR of diet ‘B’ (c = 1.8) is better than that of diet ‘A’ (c = 2.0). At US$800/mt (d = 0.8), feed ‘A’ is less expensive than feed ‘B’ which is US$1 000/mt (d = 1.0). Because of increased pumping costs (for example) the total cost of other inputs was higher for diet ‘B’ at US$1 200/mt (e = 1.2) than for diet ‘A’, US$1 000 (e = 1.0). When the fish were sold, a better price was obtained for those harvested from the pond fed diet ‘B’ because of their appearance and homogenous size. Diet ‘B’ produced fish which sold at US$4 300/mt (f = 4.3) while those fed diet ‘A’ fetched only US$4 000/mt (f = 4).
Using the above data in the equation, we get the following result:
In the above example, feed ‘B’ had a better FCR than feed ‘A’ and produced fish which sold at a higher price. However, the total productivity when feed ‘A’ was used was higher than that when feed ‘B’ was fed. In addition, feed ‘B’ was more expensive than feed ‘A’ and its use increased the other input costs. The combination of all these factors resulted in feed ‘A’ giving a better annual profit index (1.54) than diet ‘B’ (1.43). In monetary terms, (a × f) - [(b × d) + (a × e)], this translates into a gross profit of US$4 200 when feed ‘A’ is used against a gross profit of only US$3 250 when diet ‘B’ is employed.
The above example has been worked through to illustrate my point that annual yield (not crop yield), FCR, unit feed costs, other operational costs and market value all need to be considered in evaluating the performance of two or more alternative feeds. Consideration of only some of these factors will give false and misleading results. Measuring growth rate, survival rate and FCR give an indication of comparative benefit but are not sufficient for commercial comparison, i.e., they do not tell the farmer or the investor what he needs to know.
Another misleading thing for the farmer may be the FCR's quoted by the salesmen of feed companies which are based on carefully controlled experiments in ponds, cages or even aquarium tanks. While these may give the ‘true’ FCR, the feed conversion efficiency achieved by an individual farmer is an ‘apparent’ FCR (AFCR) and depends not only on the basic quality of the feed used but also on the natural productivity of the pond being farmed and the ability of the farmer and his workers. Overfeeding is often the real cause of poor AFCR. Providing the dietary comparisons between a number of feeds are done under the same conditions, then both management skills and natural productivity are largely already taken into account in the calculation of the annual profit index discussed above.
Clearly, individual comparison on the basis of growth rate, survival rate and FCR, or a combination of these factors is inadequate from the farmers' point of view. I think we should bear this in mind during our discussions during this workshop and in our future research.
3. USE OF COMMERCIAL COMPOUNDED FEEDS
During the past 20 years, the feeds industry has become increasingly involved in the production of (primarily) fish feeds in the so-called developed countries where intensive methods of aquaculture for high-value species prevail. Large compound feed manufacturing companies have also become involved in aquaculture itself and in some cases, processing as a means of vertical integration in this growth industry. New feeds factories, take-overs and the like are constantly in the fish farming and feedstuffs press.
The growth of a commercial aquaculture feeds industry in the developing countries has naturally been slower but, because of the much greater current and potential aquaculture production, the scope for expansion is far greater than in the developed countries. The rate at which the industry expands in any particular country depends, of course, on the national potential for intensive aquaculture and on how far the feedstuff industry for terrestrial livestock has progressed locally.
In the Indian subcontinent where the use of simple mixtures of feed ingredients (e.g., 50 percent cottonseed or groundnut cake; 50 percent ricebran) for carp culture and relatively semi-intensive aquaculture has been the norm, the first tentative steps towards the production of commercially compounded fish feeds are just now being taken. The People's Republic of China having concentrated to date on aquaculture integrated with various forms of crop production and livestock rearing is now rapidly developing a feedstuffs industry, some of which will specifically target intensive aquaculture. At the other end of the scale, with an established feedstuffs industry at least 20 years old, Thailand is poised to emulate Taiwan as a major producer of aquaculture feeds, particularly shrimp feeds in Asia. Thailand, together with other Southeast Asian countries, particularly the Philippines and Indonesia, is favoured by a good local supply of many of the raw materials needed for aquaculture feed production.
To give a specific example of the dynamism of the Thai aquaculture feeds industry, I would like to make some comments about the Charoen Pokphand Group (known colloquially as CP). The parent company is Thai-based; basically a family company, it has public companies quoted on the Thai and Hong Kong stock exchanges. It is one of the largest Thai companies with interests in all aspects of the food industry from feedstuff production and the sale of chicks to poultry and shrimp farming, poultry and pig processing and retail outlets including, as of this month, some of the Kentucky Fried Chicken franchises in Thailand. CP has interests in the feed and food industry in several other countries in the region as well, including Indonesia, Singapore, the People's Republic of China and Taiwan (Province of China).
Nine years ago when I first worked in Thailand, I was contacted by the Vice-President of the CP Feedmill Company in Bangkok who was exploring the possibility of producing shrimp feeds. A few trial runs followed, mainly of extruded feeds produced on equipment which CP used for the manufacture of foods for domestic animals. Today, how the picture has changed! CP has a team of salesmen/extension agents for aquaculture feeds, a shrimp farming training unit and it is also developing into a major producer of farmed shrimp as well. One month ago, CP announced (Anonymous, 1988a) three developments of interest to us. The first was that its own shrimp farm is expected to produce 2 000 mt of shrimp per year worth some US$16 million/yr in gross revenue; harvesting will commence in 1989. Secondly, CP is expanding an existing feedmill in the Hat Yai District of Songkhla province to a capacity of 24 000 mt of shrimp feed per year. In its first year of operation, the mill will produce 18 000 mt with a value of US$14.4 million. Finally, CP announced that it was building a new mill near Bangkok with an initial capacity of 90 000 mt of shrimp feed per year with a planned subsequent expansion to 180 000 mt/yr. Commencing in April 1989, the plant will produce 60 000 mt in its first year of operation, worth some US$48 million in sales. This represents their confidence in the expansion of intensive shrimp farming.
I do not have data on the total production of aquaculture feeds in Asia. I imagine the feeds industry has its own estimates of current production and potential requirements but these are not available to the public. CP, for example, must be very confident that it can sell at least 200 000 mt of shrimp feed annually from its Thai mills alone in the foreseeable future, either locally or through exports. This volume of production would have a factory-gate value of about US$160 million per year and would be enough (if one assumes a practical — AFCR — conversion of 2:1) to service intensive farms producing about 100 000 mt of shrimp annually. Some idea of the potential for feeds production in the region for shrimp alone can be obtained by using the estimates given by Csavas (1988) of possible farmed shrimp production in Asia in the year 2000 (Table 1).
If the estimates of both the current author and Csavas (1988) are not too inaccurate it seems possible that, by the year 2000, up to 830 000 mt of shrimp feed alone may be being produced in Asia with a current sales value in excess of US$650 million annually (Table 1). This feeds industry will be servicing a shrimp aquaculture industry with an annual farm-gate value (assuming US$8.0/kg) of US$6 400 million of which US$3 326 million would be generated from intensive aquaculture. Highly speculative crystal-ball gazing, I know, but this gives some idea of the potential scale of the Asian aquaculture feeds industry a little over a decade from now, to supply shrimp aquaculture alone. On top of this, there will be feed requirements for marine (cage-farmed) fish and freshwater fish and crustacea (principally tilapia, carp, catfish and freshwater prawns) in the developing countries of the region, together with the demand for dry feeds designed for salmonids and the dry ingredient mixtures produced for eel and marine fish feeds, notably in Japan.
The aquaculture feeds industry will need to supply a wide range of products, not only for the various species being intensively cultured but also to suit the different nutritional and physical needs at each stage of their life cycles. The feeds I have attempted to quantify in Table 1 are grow-out feeds only. For each species there are, or will be, different particle sizes required for each animal size, different water stability requirements and a number of alternatives with regard to texture. For ease of manufacture, storage, transport and feeding, dry feeds (pellets or granules) have been favoured to date. However, semi-moist feeds are more palatable for most species. The quality/ storage problems of moist feeds have been partially solved. For example, semi-moist salmonid feeds are available in the USA and at least one company there markets an experimental semi-moist shrimp feed. Extruded, rather than pelleted, diets tend to have higher production costs due to the higher investment and running expenditure needed for extruders than for pelleters of the same capacity. This fact may be modified, however, as simpler, cheaper and locally-made extruders become available. This may increase ability to produce reasonably-priced, water-stable feeds without the use of specific binders; these feeds could be marketed dried and re-hydratable or perhaps in a semi-moist form. In addition to grow-out feeds, there are requirements for feeds for breeders and for the larval or fry stages, as well as a small volume/high value market for ornamental fish feeds. Several larval feeds are already available from Taiwan, Japan and the UK, and if they are eventually improved sufficiently to totally replace live feeds, will ease the burden of hatchery operators. Major companies are investing in this field which clearly has considerable potential if the technical problems can be solved.
Table 1. Potential for shrimp feed production in
Asia in the year 2000 (mt)1
| Country | Shrimp production2 | Estimated shrimp production from intensive culture | Estimated shrimp feed3 requirements in 2000 | |||
|---|---|---|---|---|---|---|
| 1985 | 2000 | (%) | (mt) | (mt) | (US$ '000 000)4 | |
| Bangladesh | 7 600 | 60 000 | (25) | 15 000 | 30 000 | 24 |
| Burma | (700) | 5 000 | (25) | 1 250 | 2 500 | 2 |
| P.R. China | 42 700 | 200 000 | (50) | 100 000 | 200 000 | 160 |
| India | (17 000) | 50 000 | (25) | 12 500 | 25 000 | 20 |
| Indonesia | 38 000 | 120 000 | (50) | 60 000 | 120 000 | 96 |
| Japan | 2 100 | 3 000 | (100) | 3 000 | 6 000 | 4.8 |
| D.P.R. Korea | - | 15 000 | (50) | 7 500 | 15 000 | 12 |
| R.O. Korea | 100 | 5 000 | (50) | 2 500 | 5 000 | 4 |
| Malaysia | 200 | 8 000 | (75) | 6 000 | 12 000 | 9.6 |
| Pakistan | - | 2 000 | (50) | 1 000 | 2 000 | 1.6 |
| Philippines | 29 900 | 100 000 | (50) | 50 000 | 100 000 | 80 |
| Singapore | 300 | 2 000 | (100) | 2 000 | 4 000 | 3.2 |
| Sri Lanka | - | 5 000 | (25) | 1 250 | 2 500 | 2 |
| Taiwan (Prov. of China) | 31 000 | 85 000 | (75) | 63 750 | 127 500 | 102 |
| Thailand | 18 500 | 110 000 | (75) | 82 500 | 165 000 | 132 |
| Vietnam | 13 000 | 30 000 | (25) | 7 500 | 15 000 | 12 |
| Totals | 201 100 | 800 000 | (52) | 415 750 | 831 500 | 665.2 |
1 Figures in parenthesis are authors' estimates
2 Csavas (1988)
3 Assumes AFCR of 2:1
4 Assumes US$800/mt
The expected rapid growth of intensive aquaculture in the region, therefore, demands a wide range of feeds tailored to the physical and nutritional requirements of the various species being farmed. Since our knowledge of these requirements for aquatic animals is currently very sparse compared to that of the needs of terrestrial livestock, this represents an exciting challenge for the scientists of the region in the years to come. Fish and crustacean nutrition is still in its infancy and, since the industry is expanding so fast, demands for our skill and hard work will be heavy. As I write this paper, I have beside me a letter from the General Manager of an ASEAN shrimp farm, who shall be nameless (!). In it he says, “the most important subject in aquaculture today is feed/nutrition. Most shrimp farmers in the world (99.9 percent) do not realize how important it is and are not aware of how the feed manufacturers are screwing them up every day”. By this he means that there are feed manufacturers who make excessive profits and others who produce feeds of inferior quality. In addition, the basic nutritional information on which commercial feed formulations need to be designed is often missing or inadequate. The dangers in using poor quality feeds were illustrated twice recently (Anonymous, 1988b; Rosen-berry, 1988). There have been many complaints about the quality of Taiwanese shrimp feeds; rapid expansion of shrimp farming in Taiwan has brought dozens of new firms into the feeds business, some of which are exporting to other Asian countries. In Taiwan itself a “finger has been pointed” at a feeds extender included in shrimp feeds when the cost of high-protein ingredients increased during the recent problems which have caused Taiwanese shrimp production to decline. Meanwhile, farmers in the Philippines have reported that the growth rates claimed by Taiwanese feed manufacturers have not been achieved. One farmer reported an 80 percent mortality rate when he used these feeds. Another claimed that some brands of Taiwanese shrimp feeds which had been rejected by farmers in Taiwan had found their way into the feed market in Indonesia, Malaysia, the Philippines and Thailand. Trade market infringement also seems common. Fortunately, there are also many reputable feed manufacturers both in Taiwan and elsewhere.
Some of the companies making aquaculture feeds, thus clearly intend to make a quick profit while the market is buoyant but many others are established firms with reputation as suppliers of good quality livestock feeds to protect. However, it is natural that both types of supplier are bound to concentrate on the needs of the large aquaculture units, the needs ofthe entrepreneur, the needs of the company farms, if you like — the needs of the rich. How are the needs of the small-scale farmer to be catered for? The next section of my paper, though brief, is an introduction to one of the means of helping them obtain the feed with which to increase the productivity of their farms.
4. HOME-MADE FEEDS
So far, I have only discussed commercial aquaculture feeds which are produced in specialized feedmills — these are perhaps the most appropriate feeds for the larger intensive farms and for those who do not want to dilute their farm management skills through having to control feed manufacture as well.
What about the feed needs of the smaller intensive farms and of the semi-intensive farms where absolute quality is not so critical as it is in intensive systems? Is there an acceptable alternative to ‘bought-in’ feeds? My view is that there is; many farmers already make their own feeds and find it economical to do so. Feeds made on the farm itself can utilize locally available raw materials, especially wet ingredients such as trash fish, waste shrimp head, etc. Feed manufacture on the farm is also often a means of using the farm labour force more efficiently. The farm-made feeds produced can be fed moist or dried for storage and subsequent use. Capital outlay for home-made feed production need not be great. As an example, the cost of new Japanese equipment capable of producing several tons of moist feed per day would be in the order of US$10–12 000 (New, 1987a). However, farms with a smaller feed demand could produce their own feeds for a capital outlay a fraction of this, through the use of second-hand equipment and ingenuity.
As I am rather a strong proponent of ‘home-made’ feeds for aquaculture, I do not propose to dwell on this topic further now. I am sure that there will be opportunities to return to it as the workshop progresses. I prefer not to expand this subject further now; for the moment I will simply refer you to an FAO manual on feeds and feeding published last year (New, 1987b) and to two subsequent articles published by INFOFISH (New, 1987a; INFOFISH, 1988).
5. PROBLEMS, PRIORITIES AND POINTS OF INTEREST
Let us look now at some of the problems which the aquaculture feeds industry has or will soon have problems which we should try to solve. I do not pretend that the topics which I am raising are the only problems - they are just the ones that are uppermost in my mind at present. I am sure that we shall add other topics based on our discussions during this workshop.
5.1 Requirements for ingredients of marine origin
The greatest problem, I believe, is that the whole of this region is riding high on a marine shrimp culture band-wagon, what in Thailand is known variously as shrimp fever or the gold rush. This follows the precedent of the salmon band-wagon and the yellowtail band-wagon in the temperate zones. Not far behind the shrimp band-wagon ride other smaller celebrators — those who hope to get rich on the cultivation of seabass, groupers, etc. All of these species are cultured because there is a large, unsaturated (at least at present), market for them which gives them a high farm-gate value. Profit and in most cases, export earnings are the fuel that fires their farming expansion, not hunger. However, the global demand for such luxury products means that we are concentrating on the least efficient means of utilizing the limited feed resources that we have. As much as 90 percent of the food ingested may be lost in metabolism at each trophic level. Most of the species in the genera which intensive aquaculture involves (because of the high market value) are primarily carnivores — tertiary producers whose diet consists largely of other animals, the secondary producers which have already consumed energy in their own metabolism. In addition to this problem, carnivorous fish and shrimp tend to require a higher dietary protein level than other species, and consequentially, higher levels of dietary energy to eliminate the nitrogenous wastes resultant from the ingestion of protein. We are not here to discuss the basic merits of the aquaculture of tertiary versus secondary producers; but let us look at the effects of the current situation on feed demand and supply.
In the short term, the feedstuffs industry must be very happy with the situation: a rapidly increasing market for high-protein, high-energy (and therefore, expensive) feeds and customers without sufficient information about the dietary requirements of their stock to prevent them being blinded by the science of binders, preservatives, growth promoters, attractants, antibiotics and the like. Recently, I read an ASEAN consultant's comment that “private technicians (from the feed companies) could be the best extension agents in aquaculture”. I absolutely disagree with this view because such advisers can only ultimately afford to be interested in the promotion of sales of their company's products or services. After all, whatever their job title is, this is what they are employed to do — promote sales. Such advisors can never be substitutes for good, well-trained and adequately-paid public advisory services. However, I do not want to digress too far on that topic — that is another story — but please remember the feed quality problem I mentioned earlier in this paper.
So, the feedstuff industry may be happy but in the long term, our concentration on the intensive culture of such species is wasteful of our precious feed resources. The FCR's of these animals may be good compared to terrestrial or avian livestock, but what of the conversion of protein? Worse is the apparent essentiality of marine proteins (and lipids) in compound diets for intensive aquaculture. This is what Wijkstrom (1988) recently called the “fish meal trap”. He believes that the real costs of fish meal are likely to increase, thus causing increases in compound fish feed prices already high. The more intensive aquaculture production increases, the further feed costs may escalate, not just for aquaculture itself but also for livestock feeds generally. If we concentrate on intensive aquaculture of this type we are not creating new human food supplies. This type of aquaculture is currently partially reliant on capture fisheries for its feed inputs. Using the assumptions indicated below1, Wikjstrom (1988) calculated that 3 kg of “raw” (captured) fish is required for each kilogram of cultured fish or shrimp produced. This captured fish is not necessarily utilizable for human food so its use for aquaculture does not directly deprive humans of fish. However, the rapidly increasing demand for fish meal may lead later to an encroachment on the supplies of other species which are used for human food, and worse, on juvenile stocks. Furthermore, technological improvements in fish processing are enabling the use of more and more of the species not previously acceptable. This also will have an effect on fish meal prices. Last week, I was told (B. Saisithi, personal communication) that demand for fish meal for aquaculture in Thailand had already forced up the cost of poultry feeds and therefore, of chicken.
While we are not here in this workshop to discuss the advantages and disadvantages of intensive aquaculture per se, I believe that the brief consideration of this issue which I have made highlights some real tasks for us as nutritionists. If the present species remain the most popular to farm, (and I see no signs of change), then it is imperative that we:
find ways of reducing the usage of trash fish and fish meal in aquaculture diets (some encouraging work on the use of soybean, for example, has commenced);
study methods of ‘sparing’ dietary protein generally;
seek economical ways of modifying or supplementing alternative high-protein ingredients to improve their suitability for inclusion in fish/shrimp feeds;
research ways of maximizing the utilization of ‘waste’ products;
seek methods of reducing the handling, storage and processing losses of feed ingredients especially high-protein sources; and
seek ways of improving FCR — the actual farm utilization of compound feeds through improved feeding technology, methods of biomass assessment, etc.
5.2 Fish for domestic markets
It is important that we, nutritionists do not serve only the clamourous demands of aquaculturists seeking to satisfy the high-value export market. We must also improve knowledge of the nutritional requirements of the many species which can help to relieve hunger and increase the consumption of animal protein in our own countries. One day we may also be expected to help alleviate the plight of shrimp farmers when the international shrimp market becomes saturated. Specifically, research on shrimp culture to develop technologies for producing shrimp for domestic market is necessary. This was one of the topics selected by a recent working party (NACA, 1988) for applied research during the next 10 years by this soon-to-be independent intergovernmental organization, the Network of Aquaculture Centres for Asia and the Pacific (NACA). This means we must study ways of reducing the production costs of shrimp. Since feed constitutes 30–50 percent of the total production costs of intensively reared fish or shrimp, (Wijkstrom, 19881) there is plenty of scope for our help.
Besides studying improvements in formulated feeds for aquaculture species produced under intensive culture systems, whether targeted at export or domestic markets, we should also pay more attention to herbivorous species using predominantly on-farm fertilizer/feed inputs. We tend to think only of supplying the complete dietary requirements of the animals we work with through the use of formulated feeds; we must also improve our understanding of the role of natural productivity (particularly in freshwater ponds) and of the ways in which it can be enhanced, if we are to contribute efficiently to the expansion of rural fish culture. However, we are here in this workshop primarily to discuss formulated feeds so I only mention the former topic for your later consideration. An interesting publication by ICLARM (Moriarty and Pullin, 1987) explores alternative methods of increasing pond productivity through the manipulation of detritus systems. In discussing priority topics for research, this publication lists the following needs which are of interest to this workshop:
assessment of the nutritive value of composts, silages, livestock manures, human wastes and green fodder as pond inputs, either fresh or after various degrees of processing;
production of feeds for cultured organisms from agricultural by-products, wastes and green vegetation;
toxicity problems — heavy metals and other anthropogenic compounds; and
health problems — possible transmission of animal and human pathogens.
5.3 Other priorities
Finally, let us take a look at the nutritional research priorities established at a number of other recent meetings, but as a means of provoking discussion here and as a way of reducing duplication. Sometimes I feel we all spend too much time discussing and listing research priorities and not enough time concentrating on the actual means of solving the problems they represent. However, it is necessary to discuss in order to plan and also to ensure that would-be donors are receptive to our pleas for financial support.
One of the recommendations of the 7th Session of the IPFC Working Party of Experts on Aquaculture concerned nutrition (IPFC, 1988). This was that “taking into account the need to conserve scarce supplies of feed ingredients, not just for aquaculture but for livestock husbandry generally, and the particular shortage of marine protein resources for aquaculture feeds designed to supplement naturally available food organisms, the Working Party recommended that:
complete or partial alternatives to the use of trash fish and fish meal in aquaculture diets be sought; and
methods of maximizing the limited quantities of marine protein available (for example through improvements in fish meal manufacturing technology or the ensilement of trash fish) be applied”.
This was followed by the plea that IPFC/ FAO seek support for these activities.
The report of the 3rd Fish Nutrition Workshop sponsored by IDRC in June 1988 is not yet published. However, a number of technical points relevant to our discussions this week were raised:
since ponds serve as an “external rumen” results obtained in controlled laboratory conditions may give an unduly favourable (or unfavourable) view of the true value of a feed;
knowledge of the dietary requirements of marine fish larvae was inadequate, as yet to develop effective inert diets;
growth and survival parameters can be supplemented by an “activity test” in comparing dietary effectiveness. This consists of exposing (larvae) to air for a few seconds and measuring 24-hour survival;
participants at the workshop felt that experimental duration was often too short. Individual recommendations for experimental duration ranged from the time necessary to achieve a minimum of a 10-fold (say 5–50 g) to a minimum 40-fold (say 2–80 g) increase in animal weight. Pond experiments should extend to the achievement of marketable size to be useful to farmers;
the value of determining the exact nutritional requirements of some species (such as milkfish) which were uneconomical to feed with a complete diet was questioned;
participants were advised to seek peer review, not only when seeking publication but also at the experimental design stage. The results of one or two of the papers presented at the meeting were invalidated by the experimental procedure adopted;
heat and grinding raw materials to 100–150 microns are necessary to ensure good binding. The inclusion of wheat gluten or alpha starch in feeds as binders is useless unless normal feed production technology is modified to increase moisture content beyond that normally present during pelleting; and
experimental feeds stored in freezers can still undergo oxidation and loss of vitamin potency. The dangers of the use of “frost-free” equipment which warms from -20°C to -5°C twice per day and cold stores (rather than freezers) for the storage of large volumes of moist feeds were highlighted.
During the recent FAO/SEAFDEC/INFOFISH Regional Seminar on Fisheries Investment and Project Identification, the “fish meal trap” which I discussed earlier was also discussed; it was hoped that planners would take note of this possible future constraint on intensive aquaculture. The impact of the demands for trash fish and fish meal on stock assessment needs, the feedstuff industry generally and on human food supplies was also discussed.
As you can see, there is enormous interest in nutritional and feed issues at present. As I said earlier, this creates tremendous opportunities and challenges for us.
CONCLUSIONS
I have touched on a wide range of topics in my paper as requested, and I hope that this has helped to set the scene for some of our discussions this week. In particular we might address the following questions:
In developing close relationships with the feedstuffs industry are we neglecting the needs of the small farmer?
Should we devote more attention to the development of “home-made” feeds than on research of benefit mainly to the animal feedstuff industry?
Should we restrict our attention to formulated feeds or develop a greater understanding of methods of increasing productivity generally — should we consider compound feeds in isolation?
How can we use marine proteins (and lipids) more efficiently?
How can we reduce the apparent requirement for marine protein in aquaculture feeds?
How can we improve the utilization of all ingredients and compound feeds, not only by improving the “real” FCR, but by reducing feed wastage and feeding losses?
Are our experimental procedures satisfactory?
When comparing dietary performance, are we measuring all the parameters necessary to make economic evaluations useful to the farmer?
If intensive aquaculture ceases to be so financially attractive to investors, will we be ready to supply the needs of the alternative systems of aquaculture?
And finally, a “political” question: what is the most efficient way of conducting aquaculture nutritional research? — nationally? — through regional networks? - through an international centre? What kind of international assistance is required?
ACKNOWLEDGMENTS
I would like to take this opportunity to thank Mrs. Medina N. Delmendo for inviting me to participate in this workshop and to assist FAO in a small way in one of its projects.
REFERENCES
Anonymous. 1988a CP feedmill sees B2 500 million gain in new projects. Bangkok Post (Business Post), 26 September, p. 32.
Anonymous. 1988b Feed fails. Fish Farming International, 15(8): 56.
Anonymous. 1988c Chinese shrimp sells in U.S. Fish Farming International, 15(9): 4.
Csavas, I. 1988 Shrimp farming development in Asia. Proceedings of Shrimp '88, Bangkok, Thailand, 26–28 January 1988. INFOFISH, Kuala Lumpur, pp. 63–92.
INFOFISH. 1988 Fish feeds. INFOFISH International, 3/88: 18–20.
IPFC. 1988 Report on the 7th Session of the Indo-Pacific Fisheries Council Working Party of Experts on Aquaculture, Bangkok, Thailand, IPFC WPA/ WP 22/1: 28 pp. plus annexes.
Miller, J.W. 1988 Fertilization and feeding practises in warm water pond fish culture in Africa, Accra, Ghana, 30 September-2 October 1975. Rome, FAO, CIFA Technical Paper 4 (Suppl. 1): 512–541.
Moriarty, D.J.W. and R.S.V. Pullin (editors). 1987 Detritus and microbial ecology in aquaculture. ICLARM Conference Proceedings, 14: 420 pp.
New. M.B. 1987a Home-made aquaculture feeds. INFOFISH Marketing Digest, 4/87: 16–18.
New, M.B. 1987b Feed and feeding of fish and shrimp — A manual for the preparation and presentation of compound feeds for shrimp and fish in aquaculture. Rome, FAO, ADCP/REP/87/26: 25 pp.
Rosenberry, R. (News item). 1988a Aquaculture Digest, 13.7.57.
Rosenberry, R. (News item). 1988b Aquaculture Digest, 13.9.1.
Vincke, M.M. 1969 Compte-rendu d'activite annee 1969. Division des Recherches Piscicoles, Centre Technique Forestier Tropical, Tananarive, Madagascar, 30 pp.
Wijkstrom, U.N. 1988 Aquaculture in OECD countries during the 1990's: An economist looks at major issues for public policies. Paris, Organization for Economic Cooperation and Development (OECD). Proceedings of the Extended Meeting on Aquaculture, 15–17 June 1988. FI/292/1 Session 5: Challenges for the Future: in preparation.
by
Mr. Kenneth Chin1
1. INTRODUCTION
The feedmilling industry in Malaysia had its roots in the 1960s and it developed in parallel with the development of the pig and poultry industry. Commercial feedmilling grew rapidly from 1965 onwards and is estimated to have an annual turnover of M$1 084 million. There are 65 feedmillers producing mainly poultry and pig compound feeds. Capital investment is estimated at over M$60 million up to 1978.
Malaysia produces little or no feed ingredients for the annual feeds manufacturing industry. It has to import more than 60 percent of the grains and other raw materials from various countries and 100 percent of the requirements for feed additives and premixes. Maize constitutes 55 percent of all feed imports with the balance made up of soybean meal, ricebran and fish meal. Due to this great dependence on imports of raw materials, the compounded feed price is subjected to the supply and demand of these materials on the world market.
2. SHRIMP CULTURE AND SHRIMP FEEDS IN MALAYSIA
Shrimp farming in Malaysia started in the mid 1930s with the development of shrimp trapping ponds in the state of Johore. These have been subsequently replaced by better designed pond systems based on Taiwanese and American technology. In the 1970s the government allocated 10 percent of the country's total mangrove area for conversion for brackishwater aquaculture use. Gold Coin realized that for the industry to grow the support industries had to be developed. It must be remembered that shrimp production in Taiwan only increased when a suitable feed was developed together with constant seed supply and a ready market. Considering the hectarage of land that was to be opened for shrimp farming and assuming production at 1 ton/ ha/yr with a feed conversion ratio of 2:1, the demand for feed in Malaysia would be substantial. With its experience in poultry and animal feeds, Gold Coin was in a good position to produce shrimp feeds. Gold Coin was involved in raw material trading which allowed its access to sources of raw materials necessary for shrimp feeds. It also had the capability to monitor the quality of incoming materials as well as the finished products; thus ensuring quality. Gold Coin began research into shrimp feeds in 1983 and trial production was attempted in 1984. By 1985, a dedicated shrimp feed plant was set up in Johore Bahru.
The local market was then dominated by Taiwanese feeds and it was Gold Coin's aim to provide an alternative product which was equal in quality. Sadly, the local shrimp industry has not grown as expected initially. In 1986 there were no more than 475 ha of water area under cultivation with a resultant feed demand of about 200 tons/month. As a result, Gold Coin has had to look to foreign markets for its products. It now exports feeds to Thailand, Sri Lanka, Indonesia and the Philippines.
3. PRODUCT QUALITY ASSESSMENT
Feed of good quality and proper feeding techniques are very important to the success and development of shrimp culture. However, a feed is only as good as the individual who uses it.
The criteria for evaluating feed quality can be divided into two aspects namely; physical and nutritional.
3.1 Physical
3.1.1 The feed must be of the ideal size suitable for the various stages of growth in the pond. This is to avoid feed wastage because shrimp will not eat feed particles which are too large. Gold Coin produces five different rations which are post-larvae crumble (0.6–1.0mm), starter (1.0–2.0 mm), grower (2.5 mm × 5.0 mm), finisher (2.5 mm × 10 mm) and an enhancer (2.5 mm × 5.00 mm). The finisher ration is not sold locally as the culture system practised requires only the post-larvae, starter and grower rations.
3.1.2 The components of the feed must be finely ground (250 microns and below). The shrimps digestive tract has a filter system which allows only the finest feed particles to enter the digestive gland. Shrimps are known to regurgitate coarse feed particles and this will lead to wastage. Fine particle size will also contribute to the water stability of feed.
3.1.3 The feed must have good water stability. Shrimps are slow feeders and the feed must remain intact for a period of time. A stability of some two hours is sufficient as too long an immersion time will reduce the attractiveness and palatability of feed due to the leaching of nutrients.
3.1.4 The feed should be attractive and palatable. To attract the shrimp and induce it to feed, the presence of attractants and ingestants are necessary. Individual amino acids such as betaine have been found to be effective, but it is generally believed that a mixture of amino acids achieves the best results.
3.1.5 The pH of the feed should ideally be neutral as extremes in pH can deter feeding. Observations show that high pH values deters the shrimp from feeding.
3.2 Nutritional
3.2.1 The feed should be well balanced with respect to protein, fat, carbohydrate and energy levels. It should also contain the vitamins and minerals essential to the shrimp.
3.2.2 The ingredients used must be of good quality since in semi-intensive and intensive systems the shrimp will depend on the feed for nutrients.
3.2.3 A good feed should promote optimal growth in the shrimp with good feed conversion ratios. The shrimp at harvest should be even in size.
3.2.4 The appearance of the shrimp should be attractive. In the local market there are few complaints of “blue” shrimp compared to other countries in Southeast Asia. The Japanese market, however, prefer their shrimp to appear “natural”. In a semi-intensive and intensive systems, the productivity of the pond is unable to supply the necessary pigments for the shrimp. It is, therefore, necessary to include extra pigment sources in the feed. Hence, Gold Coin produces an enhancer ration to aid in the coloration of the shrimp.
4. ECONOMICS OF COMMERCIAL SHRIMP FEEDS
It is a fact that shrimp feeds can be expensive since only the best ingredients are used. Despite the cost shrimp growers have long realized the advantages of these feeds, there are several advantages in having a feedmiller produce shrimp feeds:
4.1 It allows the farmer to concentrate on the important task of growing shrimps since the feedmillers will be dealing with the nutritional aspect.
4.2 Feedmillers can produce feeds in large volumes bringing down raw material and operating costs.
4.3 Local feedmillers can supply our farmers with the amount of feeds they require. This will ensure the freshness of the feed which is important with regards to vitamins. With a local supplier the farmer will not have to stockpile his feed which occurs if the feed is imported. Large stocks of feeds can cause cash flow difficulties not to mention nutritional problems due to old feeds.
4.4 Due to the proximity of a local feedmiller, feeds can be cheaper because of low transportation costs.
5. GOLD COIN AND SHRIMP FEEDS
Gold Coin is committed to producing quality shrimp feeds as its contribution to the shrimp industry. To this end, it has taken various steps to upgrade its aquaculture division. The basis for success in animal feeds has always been research and development. Facilities have been set up at the Gold Coin research farm in Gelang Patah specifically for nutritional work with shrimps. At this moment, Gold Coin is working with Roche on the pigmentation in shrimps.
In feed formulation, Gold Coin is employing a computer programme to improve its ability to formulate optimal feed mixture for shrimp. Manpower is being increased to enable Gold Coin to offer better field services to local and farmers abroad. Investments are also being made for new equipment for its shrimp feed plant in Johore Bahru. A new plant with extrusion facilities will be going on-stream in Singapore.
Aquaculture activities have great potential in Malaysia. It is slowly but surely growing in importance in the Malaysian economy and Gold Coin is obligated to ensure its success.
by
Felicitas Piedad-Pascual, Ph.D.1
ABSTRACT
The paper discusses the food and feeding habits of Penaeus monodon, present knowledge of nutrient requirements and available formulations in the market including those developed at the Aquaculture Department, Southeast Asian Fisheries Development Center. Economics of feeding is also presented. Further research on the use of indigenous feed ingredients and nutritional requirement studies should be carried out to lower cost of feed and increase profits for the farmers.
1. INTRODUCTION
The shrimp industry around the world has jumped by leaps and bounds. This has been because of the breakthrough in the production of broodstock and larvae in captivity. Consequently, shrimp farming was intensified. World demand for shrimp increased significantly and importation was 80 percent higher in 1986 than 10 years ago (Philip and Cruz, 1987). Some 32 species of shrimps have been studied and cultured, seven of which are now commercially grown (Liao, 1987). These include Penaeus monodon, P. indicus, P. merguiensis, P. japonicus, P. orientalis, P. vannamie and P. stylirostris. In Southeast Asia, P. monodon is the most commonly cultured species. Table 1 gives the estimated production by year 2000 and the amount of cultured crustacean production in Asia.
Shrimps have high market value and are exported to Japan, U.S.A. and western Europe. Of the species cultured, the most widely studied is P. japonicus. Most of its nutritional requirements and feed technology is known, hence, data for P. japonicus has been used or modified in the development of feeds for other species.
Feeding, proper pond preparation and water management are among the most critical factors that are necessary for successful shrimp culture.
Feeds constitute the most expensive component of the industry approximating 50–60 percent of operational costs. Therefore, there is a need to develop low cost but effective diets. To lower cost, use of locally available feedstuffs, agriculture and industrial waste products as well as nonconventional sources of nutrients is being pursued.
Table 1. Cultured crustacean production in Asia and estimated production by 20001
| Country | Year | |||
|---|---|---|---|---|
| 1975 | 1980 | 1985 | 2000 | |
| (In thousand metric tons) | ||||
| Bangladesh | (1.6) | 2.7 | 7.6 | 60 |
| Burma | (0.2) | 0.3 | (0.7) | 5 |
| China, PR of | 0.5 | 1.2 | 42.7 | 200 |
| India | 4.0 | (7.0) | (17.0) | 50 |
| Indonesia | 10.0 | 24.0 | 38.0 | 120 |
| Japan | 0.9 | 1.6 | 2.1 | 3 |
| Korea, Rep. of | 0.1 | 0.1 | 0.1 | 5 |
| Malaysia | 0.1 | 0.1 | 0.2 | 8 |
| Philippines | 1.1 | 1.4 | 29.9 | 100 |
| Singapore | 0.0 | 0.0 | 0.3 | 2 |
| Taiwan, PC | 0.3 | 3.8 | 31.0 | 85 |
| Thailand | 3.3 | 8.1 | 18.5 | 110 |
| Vietnam | (3.0) | 5.4 | 13.0 | 30 |
| Total | 25.1 | 55.5 | 201.1 | 800 |
The use of natural food organisms grown in the pond and the addition of supplements such as frogs, chicken entrails, carabao hide, trash fish, mussel meat apply only for the extensive culture of shrimps. Increase in stocking densities such as those in semi-intensive and intensive methods of culture practices require a diet containing or supplying all the nutrients needed by the shrimp. Knowledge of feed and feeding habits, nutrient needs and their sources, feed quality and feeding management schemes are necessary to develop diets for shrimps. Therefore, the main objective of feeding is to provide proper nutrition for the shrimp at optimum environmental conditions, to achieve production of marketable size shrimps over the shortest possible time with the largest margin of profit.
2. FOOD AND FEEDING HABIT OF SHRIMPS
Shrimp larvae are herbivorous but after a few days they become carnivorous (Table 2). Their first preference are phytoplankton such as Chaetoceros and Skeletonema. After a few days their choice shifts to Brachionus and other zooplankton and brine shrimp, Artemia. Both plants and animals are eaten as they grow older. They prefer small crustaceans like crabs and shrimps and molluscs, fish, polychaetes and ophiuroids (Marte, 1980). Crustaceans appear to be their “staple” food while molluscs are eaten in large amounts. They are nibblers and slow eaters. They tend to be cannibalistic when food is not sufficient and of poor quality. Although they feed all day, they consume more at night than during the day. Since shrimps have the same body temperature as that of their environment, they do not need as much energy as farm animals would in maintaining a constant body temperature. Food requirements increase with rise of water temperature, thus shrimps consume more food during the warm months than during the cold months. Small animals have greater metabolistic rates and grow faster than larger animals, hence, food need and feeding rate are higher in the small animals.
Table 2. Food habits of Penaeus monodon in the wild at different developmental stages1
| Life stages | Food | Location of study | Authors |
|---|---|---|---|
| Zoeae to Mysis to | Phytoplankton | Philippines | Villaluz, 1969 |
| Mysis to Postlarvae | Zooplankton and small crustaceans | Philippines | Villaluz, 1969 |
| Postlarvae | Small crabs | Philippines | Marte, 1980 |
| Shrimps | |||
| Molluscs | |||
| Polychaetes | |||
| Ophiuroids | |||
| Fish debris | |||
| Sand | |||
| Silt | |||
| Adults | Crustacean | Sudanese | El Hag, 1984 |
| Annelids | Red Sea | ||
| Algae | Coast and | ||
| Mud | Kerapuglia | Thomas, 1972 | |
| Unidentified matter | Estuary, India | ||
| Molluscs | Philippines | Marte, 1982 | |
| Crustaceans | |||
| Fish remains |
1 From: Piedad-Pascual, in press
3. NUTRIENT REQUIREMENTS
Nutrients are generally classified into five categories: protein, lipid, carbohydrates, vitamins and minerals. Table 3 gives a list of the nutrients that have been studied at AQD, SEAFDEC. Suggested levels of these nutrients are listed in Table 4.
Protein is necessary primarily for growth. It is also used for energy when fat and carbohydrates are not enough. The quality of protein or the amino acid profile of the diet is also necessary information in the development of feed for shrimps. It has been shown that the closer the essential amino acid pattern of the diet is to that of the species under study, the more effective the diet is for growth (Wilson, 1985). The essential amino acids needed by the shrimp are: arginine, histidine, isoleucine, leucine, lysine, methionine, phenylalanine, tryptophan, threonine and valine.
Table 3. Protein and lipid requirements
of Penaeus monodon
| Nutrients % of dry diet | Juveniles | Broodstock | Source of nutrient | Authors |
|---|---|---|---|---|
| Protein | 40 | Shrimp meal | Alava and Lim,1983 | |
| Squid meal | ||||
| Fish meal and Casein | ||||
| Soybean meal | ||||
| 40–50 | Casein and Gelatin | Bautista, 1986 | ||
| 55 | Prawn muscle | Nezaki, unpublished | ||
| Casein | ||||
| Gelatin | ||||
| Whole egg | ||||
| Protein | ||||
| 50–55 | Fish meal | Millamena et.al., 1986 unpublished | ||
| Squid meal | ||||
| Shrimp head meal | ||||
| Lipid | 5–10 | Bautista, 1986 | ||
| 11.7 | Mendoza, 1982 | |||
| 12 | Millamena, et.al., 1986 | |||
| Lecithin | 3 | Pascual, 1986 | ||
| 4 | Nezaki, et. al., unpublished | |||
| Cholesterol | 0.5–1 | Nalzaro, 1982 | ||
| Polyunsaturated fatty acids, n3 series | 0.5–1 | Chuen, 1986 |
From: Piedad-Pascual, in press
Fats or lipids are necessary for their energy value as well as for the presence of essential fatty acids important for growth and survival of the animals. The type of fat affects survival. Furthermore, fats act as carriers of fat soluble vitamins. The fatty acid composition of the shrimp is related to the fatty acid present in the diet. Ovaries, hepato-pancreas and tail muscle of wild P. monodon show a preponderance of higher long chain polyunsaturated fatty acids: arachidonic, eicosapentaenoic and docosahexaenoic acids (Villamena, et al., 1986). Cholesterol and lecithin have also been found to be required by the P. monodon (Nalzaro, 1982; Pascual, 1986).
Carbohydrates are mainly used for energy. Hence, fats and carbohydrates spare protein. The dissacharides trehalose, a marine sugar, and sucrose have been found to be sugars of choice (Alava and Pascual, 1987). Starches are not only useful for their energy content but also for their binding properties.
Vitamins and minerals are important for regulating body processes. Calcium and phosphorus have been found important in the prevention of the “soft-shell” syndrome in P. monodon (Baticados, et.al., 1987). A 1:1 ratio of calcium and phosphorus can help prevent soft-shelling (Bautista, personal communication). Due to the absence of published data on vitamin-mineral requirements of P. monodon, those based on P. japonicus have been used (Deshimaru, 1981 and Kanazawa, 1984).
Aside from nutrient needs, it is imperative to know the proximate composition of feedstuffs - moisture content, crude protein, crude lipid, crude fiber, nitrogen free extract (digestible carbohydrates), ash content, vitamins and minerals, available phosphorus, amino acid content and levels of polyunsaturated fatty acids of the n-3 and n-6 series.
Other factors to be considered are availability and cost of ingredients, acceptability and attractability to the shrimp and effectiveness of the diet (Pascual, in press). A diet may be water stable, attractive and acceptable but may not be effective unless it results in rapid growth, high survival rates and produces a palatable and colorful shrimp.
Feed conversion ratio (FCR) or feed efficiency is the amount of feed that will produce a unit of wet weight gain. The term FRC may not be the true FCR because of the presence of natural food and unconsumed feed in the pond. With these available to the shrimps, the calculation of FCR on the basis of the food introduced and weights gained can be misleading if other food sources are not accounted for. For this purpose New (1987) introduced the term “apparent feed conversion rate” or AFCR.
Shrimp diets may be supplementary or complete. A supplementary diet is given to complement the natural food in the pond, whereas a complete feed should supply all the nutrients needed by the shrimp with very little supply from the natural food in the pond. This is usually the case for the intensive culture of shrimps.
A shrimp diet is generally composed of:
It is always wise to use locally available feedstuffs to reduce cost of the feed. However, the feedstuffs should be of high quality. Rancid oils can lead to mass mortality. Some commonly used feedstuffs are shown in Table 4.
At present there is no single formula that can be considered “best”. Thus, one can plan or formulate a diet to meet his needs. However, the farmer may find buying commercially produced feeds in the market more practical for his own needs. If he decides to make his own here are a few tips:
Assuming that all factors such as cost and availability of foodstuffs have been considered, one should proceed to list the essential feedstuffs that will provide for the needed nutrients. Two or more sources of protein are better than one. Several protein sources should be considered or taken into account in order to get a good amino acid combination and lower the cost of the feed. Lipid sources carbohydrates, vitamin and minerals should then be considered. A source of binder and an attractant is necessary if the pellet is to be water stable and attractive to the shrimp. Table 5 gives some suggested formulations.
Presently, there are commercially produced complete shrimp diets in the Philippines some of which were developed from Taiwanese technology. There are also microencapsulated or microbound diets for shrimp larvae in the market. AQD, SEAFDEC has formulated both larval and broodstock diets for rearing shrimp under tank conditions and are being pilot-tested. The broodstock diet has been used to maintain broodstock in tanks to hasten gonadal development and improve hatching rate of eggs.
Demand for feed exceeds local supply such that shortages occur periodically and farmers resort to using a mixture of various commercial feeds depending on the availability in the market. It is therefore, difficult to assess the economic returns or the profitability of each commercial diet. Commercial feeds directly imported from Taiwan might be efficient per se. It becomes inefficient due to improper storage, various or abrupt temperature changes during storage, lack of storage facilities, length of time it has been stored from the time the feed is transported from Taiwan to the country of destination and the time it reaches the consumer. Some big feedmillers use least cost formulations and batches will or may not always use the same amount and type of feedstuffs. One feedstuff may be substituted for another in a formula depending on the availability and cost of the feed ingredients. Two adjacent ponds do not always have similar water and soil conditions. Therefore, I suggest that fishfarmers do their own baseline data gathering, record carefully the type and source of feeds, environmental conditions and management practices and compare results. These will vary from farmer to farmer.
Table 4. Nutritional specifications for shrimp diets and
typical sources of nutrients
| Nutrient | Suggested level | Typical sources |
|---|---|---|
| Moisture | <10% | |
| Crude protein | 38–46%(depending on size) | fish meal, shrimp meal, squid meal, soybean meal |
| Crude fat | 5–7% | oils from marine fish and invertebrates |
20:5n3 or 22:6n3 | 0.5–1.0% | |
Cholesterol | 0.3–0.6% | |
Lecithin (phospholipid) | 1.0–1.5% | soy lecithin |
| Crude fiber | <4% | |
| Nitrogen-free extract (digestible carbohydrate) | 20–26% | wheat flour, cornstarch, ricebran |
| Ash (minerals) | 8–15% | |
Calcium (Ca) | 2.5–4% | meat and bone meal, fish meal, |
Phosphorus (P) | 1–1.5% | dicalphos, oyster shell, sodium phosphate |
Magnesium (Mg) | 0.1–0.3% | magnesium chloride or carbonate |
Potassium (K) | 0.8–1.5% | potassium chloride or carbonate |
Copper (Cu) | 10–20 mg/kg | copper oxide or sulfate |
Manganese (Mn) | 20–40 mg/kg | manganese oxide or sulfate |
Iron (Fe) | 20–40 mg/kg | ferrous sulfate or carbonate |
Selenium (Se) | 1–2 mg/kg | sodium selenite |
Zinc (Zn) | 50–100 mg/kg | zinc oxide or sulfate |
Iodine (I) | 10–20 mg/kg | potassium iodide |
| Vitamins | (see Table 2) | |
| Metabolizable energy | >3 200 kcal/kg |
From: Chiu, 1988
With the above factors in mind and assuming all of these factors have been considered in evaluation, I shall attempt to compare commercial diets as gathered from personal interviews with some fishfarmers. Some fishfarmers would rather use a mixture of feeds in order to lower the cost. However, several farmers indicated that they use the “best” diet that they know of at the start of the rearing period, then use the cheaper diet as the shrimp grows older. Some say that a combination of A and B- towards the end of the culture period give heavier shrimps and higher survival rates because diet B gives heavy shrimps while Diet A gives longer size but lighter prawns. An educational guess is that by mixing two or more diets, each diet complements each other.
Table 5. Diet composition of four formulated feeds
| Ingredients | Diet alternatives5 | |||
|---|---|---|---|---|
| 1 | 2 | 3 | 4 | |
| Fish meal | 30 | 30 | 16 | 32 |
| Shrimp head meal | 30 | 15 | 15 | 15 |
| Soybean meal (defatted) | 15 | 15 | 35 | 15 |
| Ricebran | 15 | 15 | 35 | 14.8 |
| Bread flour | 5 | 15 | 4.8 | 14 |
| Sago palm or cornstarch | - | 5 | - | - |
| Potato starch | 5 | - | 6.0 | - |
| Binder | - | - | - | 1.0 to 5.0 |
| Lecithin | - | 2 | - | 2.0 |
| Cod liver oil | - | - | 5.0 | 3.0 |
| Soybean oil | - | 2 | - | - |
| Vitamin mix* | - | 0.951 | 1.53 | 1.5 |
| Mineral mix* | - | 0.052 | 1.54 | 1.5 |
| BHT (Butylhydroxy toluene) | - | - | 0.2 | 0.2 |
| Water (enough to make a dough) | 150 | 200 | 200 | 200 |
1 Poultry vitamin-mineral mix
2 Vitamin C
3 Composition of vitamin mix (q/100 q vitamin mix)*
Thiamin HCL 0.15; Riboflavin 0.50; Pyridoxine 0.15; Nicotinic Acid 2.00; Ca Panthothenate 0.75; Inositol 10.00; Biotin 0.015; Folic Acid 0.0375; p-amino Benzoic Acid 1.00; Choline chloride 20.00; Ascorbic Acid 25.00; L-tocopherol 1.00; Menadione 1.10; B-carotene 0.67; Ergocalciferol 0.015; Cyanocabalamine 0.001; Cellufil 38.61.
4 Composition of mineral mix (q/100 q mineral mix)*
K2HPO4 10.00; HaH2PO4.H2O 18.92; Ca (H2PO4).H2O 26.50; Calactate 16.50; KC1 2.80; MgSO4.7H2O 10.00; Fe citrate 1.20; Trace metals** 1.00; Cellufil 13.08. (From Deshimaru, 1981).
5 Diet 1 is the simplest and can be used to supplement food naturally grown in the pond. Note that no vitamins and minerals are added.
Diet 2 is the first formula that SEAFDEC recommended and contains a poultry vitamin-mineral mix.
Diet 3 is more complete than Diet 1 and 2 but is also more expensive.
Diet 4 is another diet that may suffice for semi-intensive culture method.
** Trace metals - AlCl36H2O 0.024 g; ZnSO4.H2O 0.476; MnSO4.H2o 0.081; CuCl2 0.020; Kl 0.023;CoCl2.H2O 0.140; Cellufil 0.236.
Source: From Piedad-Pascual, in press.
Feeding rates vary from 10–20 percent of shrimp biomass per day for less than 1 gram animals to between 2–4 percent for those beyond 30 g. Each company has its own feeding rate and feeding scheme.
4. FEED PROCESSING
Prawn feeds are produced by extrusion or pelletizing with steam. The extrusion process improves the stability of pellets and increases the digestibility of starch but is more expensive due to the energy required and cost of equipment. Steam pelleting is a more commonly used procedure because mills for poultry feeds can be used for pelletizing shrimp feeds. Prawn feeds should be water stable and have a minimum of fines (Chiu, 1988).
It is important that particle size of ingredients be uniform. Conditioning time and temperature in the pellet mill should be regulated. Likewise, quality of steam supply and amount of pressure to compress the feedstuffs should be controlled in order to minimize fines in pelleted feeds.
Cost of prawn feeds in the Philippines is around 50 percent higher than those in Taiwan, hence there is a need to reduce cost. One drawback in the use of locally available materials is that there is no quality control of many of the locally available feedstuffs. For example, fish meal produced locally have high fat content, making the pelletized feed easily subjected to oxidative rancidity. Quality shrimp meal and shrimp waste are unavailable although volume of shrimp export is high. Many farmers also use shrimp heads when they culture shrimps at lower densities, 20 000–25 000. There is no assurance that the labels are accurate, the feedstuffs are pure and the period and place of storage have not destroyed the feed nutrients in the feedstuffs.
Thus, the pelleting process, the supply and quality of feed ingredients are important considerations in the manufacture of shrimp feeds.
5. ECONOMICS OF SHRIMP CULTURE
According to Posadas (1988) major inputs to operate shrimp farms are seed, feed, power, labor and capital. He identified some economic factors that affect shrimp farming as:
Shrimp markets: The size and growth of local and foreign markets, domestic and foreign prices, local and foreign production, marketing and processing, export and import duties on shrimp, and foreign exchange rates affect market prices and profitability.
Input markets are: Availability of suitable land and water for shrimp culture, fry, feed, power, fertilizer and chemicals, technical manpower, infrastructure and equipment and credit.
Risk and uncertainties: Price fluctuations, low production levels, occurrence of diseases, legal restrictions and peace and order situation are major issues.
To determine feed and operating cost ratio J = K/H where:
J = feed and operating cost ratio
K = feed cost (P)
H = operating cost
P = Q/H, where the average feed cost shows the cost of feed per kg of shrimp produced. In order to compute for average feed cost:
P = feed and operating cost ratio
Q = feed cost in pesos
H = operating cost
Further, Posadas (1988) found the average
cost of feeds peso/kg for the extensive
method as
3.35 (US$0.17)*. Modified
extensive (Modex)
33.95 (US$1.70), semi-intensive
44.80 (US$2.24) and intensive
44.80 (US$2.24). He computed the contribution
of feed cost to total operating cost
for extensive, 8 percent, 55 percent for
Modex, 60 percent for semi-intensive and
55 percent for intensive.
* Exchange rate of
20.00 to US$1.00
He concluded that when time value of money is not considered, all four culture systems are financially profitable. However, when time value of money is taken into consideration, the extensive method is not economically profitable. The modified extensive, semi-intensive and intensive methods are profitable when market conditions are stationary. The modified extensive and intensive methods are very sensitive to the dynamic changes in the input and output markets and that the semi-intensive method is more stable despite the dynamic variations in output and input markets. Highly intensive culture methods involve high risk and high profit ventures. There are more problems like diseases that occur in intensive method of farming where stocking density is beyond 15/sq m, thus it is best to use semi-intensive culture method under Philippine conditions.
Although many commercial feeds are now available, the formulation of these feeds are proprietary secrets. Feed ingredients used are in most instances too expensive in developing countries. Search for locally available feed ingredients, utilization of industrial and agricultural by-products and non-conventional sources should continue. Researches on nutrient requirement and feed development should be persistently carried out in order to bring down the cost of feed and improve the shrimp industry.
REFERENCES
Alava, V.R. and C. Lim. 1983 The quantitative dietary protein requirement of Penaeus monodon juveniles in a controlled environment. Aquaculture, 30(1): 53–61.
Alava, V.R. and F.P. Pascual. 1987 Carbohydrate requirements of Penaeus monodon Fabricius juveniles. Aquaculture, 61: 211–217.
Baticados, M.C.L., R.M. Coloso and R.C. Duremdez. 1987 Histopathology of the chronic soft-shell syndrome in the tiger prawn, Penaeus monodon. Dis. Aquat. Org. 3:13–28.
Bautista, M.N. 1986 The response of Penaeus monodon juveniles to varying protein/ energy ratios in test diets. Aquaculture, 53:229–242.
Chiu, Y.N. 1988 Prawn nutrition and feeding. In: Y.N. Chiu, L.M. Santos and R.O. Juliano (eds.). Technical considerations for the management and operation of intensive prawn farms. U.P. Aquaculture Society, Iloilo City, Philippines. pp. 86–101.
Chuen-Herng, W. 1986 Requirements of lipids and cholesterol in diet grass shrimp. In: J.L. Chuang and S.Y. Chian, (eds.). Research and development of aquatic animal feed in Taiwan, Vol. 1, pp. 69.
Csavas, I. 1988 Shrimp farming developments in Asia. In: INFOFISH International No. 2, March/April 1988. pp. 11–16.
Deshimaru, O. 1981 Studies on nutrition and diet for prawns, Penaeus japonicus. Memoirs Kagoshima Prefecture Fisheries Experiment Station.
El Hag, E.A. 1984 Food and food selection of the penaeid prawns Penaeus monodon (Fabricius). Hydrobiologia, 110: 213–217.
Kanazawa, A. 1984 Nutrition of penaeid prawns and shrimps. In: Y. Taki, J.H. Primavera, J.A. Llobrera, (eds.). Proceedings of the First International Conferences on the Culture of Penaeid Prawns/Shrimps, pp. 123–130. Iloilo City, Philippines, October 1985.
Liao, I.C. 1987 Future technology in prawn production. Paper presented at the Special Session during the 18th Annual Meeting of the World Aquaculture Society, Guayaquil, Ecuador, 18–23 Jan.
Marte, C.L. 1980 The food and feeding habit of Penaeus monodon Fabricius collected from Makato River, Aklan, Philippines (Decapoda: Natantia). Crustaceana, 38:225–236.
Marte, C.L. 1982 Seasonal variation in food and feeding Penaeus monodon Fabricius (Decapoda: Natantia). Crustaceana, 42:250–255.
Millamena. O.M., J.H. Primavera, R.A. Pudadera and R.V. Caballero. 1986 The effect of diet on the reproductive performance of pond-reared Penaeus monodon Fabricius broodstock. In: J.L. Maclean, L.B. Dizon and L.V. Hosillos, (eds.). The First Asian Fisheries Forum, pp. 593–596. Asian Fisheries Society, Manila, Philippines.
Nalzaro, G.F. 1982 Quantitative dietary cholesterol requirement of Penaeus monodon juveniles. M.S. Thesis, College of Fisheries, University of the Philippines in the Visayas. 47 pp.
Nezaki, G. 1986 Nutritional requirements of prawn (Penaeus monodon) Fabricius-11. Effect of dietary protein and carbohydrates. Unpublished Terminal Report.
Piedad-Pascual, F.P. 1986 Effect of supplemental lecithin and lipid sources on growth and survival of P. monodon juveniles. In: J.L. Maclean, L.B. Dizon and L.V. Hosillos, (eds.). The First Asian Fisheries Forum, pp. 615–618. Asian Fisheries Society, Manila, Philippines.
Piedad-Pascual, F. 1988 Shrimp nutrition and feed development in Southeast Asia. Paper presented during the Third Nutrition Workshop sponsored by International Development Center of Canada. July 6–10, 1988, Bangkok, Thailand.
Piedad-Pascual, F. 1988 Manual for nutrition and feeding of Penaeus monodon. In press.
Posadas, B.C. 1988 Economic analysis of various prawn farming systems. In: Y.N. Chiu, L.M. Santos and R.O. Juliano, (eds.). Technical Considerations for the Management and Operation of Intensive Prawns. U.P. Aquaculture Society, Iloilo City, Philippines. pp. 12–24.
Thomas, M.M. 1972 Food and feeding habits of Penaeus monodon Fabricius from Korapuzlia estuary. Indian Journal Fisheries, 19:202–204.
Villaluz, D.K., A. Villaluz, B. Ladrera, M. Sheik and A. Gonzaga. 1969 Reproductive larval development and cultivation of sugpo (Penaeus monodon Fabricius). Philippine Journal of Science, 98(3–4):205–233.
Wilson, R.P. 1985 Amino acid and protein requirements of fish. In: Cowey, C.B., A.M. Mackie and J.H. Bell, (eds.). Nutrition and feeding in fish. Academic Press, Harcourt Brace Jovanovich, Publisher p. 1–16.