El índice de fertilización se determinó según el método propuesto por Woynarovich (1980), extrayendo muestras por medio de pipeta, 24 horas después de la inseminación, momento en que ya se ha cerrado el blastoporo. De cada incubadora se extraían varias muestras, en diversas áreas de la misma. El contaje de huevos fértiles se realizaba bajo una lupa binocular, indicándose como índice de fertilización, en forma porcentual, al promedio de todas las lecturas de cada incubadora. En el cuadro 3 se pueden apreciar los índices de fertilización de las diferentes experiencias según el método de inseminación empleado. Los huevos fecundados naturalmente presentan un índice de fertilización considerablemente superior a los fecundados artificialmente. Esto indica que si bien se conoce el período de inducción, con la finalidad de realizar el stripping e inseminación artificial en el momento más indicado, al colocar ejemplares de ambos sexos en el mismo ambiente, este período se reduce y se produce el desove y espermiación en el momento óptimo y de la forma más natural con los resultados presentados. Por esta razón, una vez realizadas las primeras experiencias utilizando este método, fue el único empleado salvo en casos especiales.
Cuadro 3
PORCENTAJE DE FERTILIZACION SEGUN EL METODO DE INSEMINACION
| No de Experiencia | 1 | 2 | 3 | 4 | 5 | 6 | 7 | 8 | 9 | 10 | 11 | 12 | 13 | 14 | 15 |
| Fecha | 07.10 | 21.10 | 27.10 | 28.10 | 03.11 | 04.11 | 10.11 | 17.11 | 24.11 | 01.12 | 08.12 | 12.01 | 09.02 | 16.02 | 23.03 |
| Temp.media °C | 15.9 | 19.3 | 21.1 | 21.0 | 20.1 | 21.0 | 21.6 | 22.3 | 21.3 | 21.3 | 22.1 | 24.0 | 24.7 | 23.6 | 24.5 |
| 86 | 50 | 54 | 89 | 67 | 50 | 60 | |||||||||
| % de Fertiliz. | 70 | 74 | 61 | 24 | 73 | ||||||||||
| 80 | 87 | ||||||||||||||
| Fecundación | 85 | ||||||||||||||
| Artificial | 0 | ||||||||||||||
| 0 | |||||||||||||||
| 0 | |||||||||||||||
| Media | 78 | 41 | 67 | 57 | 70 | 50 | 60 | ||||||||
| % de Fertiliz. | |||||||||||||||
| 90 | 93 | 29 | 92 | 72 | 70 | 97 | 73 | 95 | 96 | ||||||
| Fecundación | 50 | 66 | 72 | 86 | 93 | 86 | 90 | ||||||||
| Natural | 85 | 77 | 53 | 85 | |||||||||||
| 96 | |||||||||||||||
| 95 | |||||||||||||||
| Media | 90 | 93 | 40 | 81 | 74 | 78 | 87 | 80 | 90 | 96 |
Se considera período de incubación, el tiempo comprendido entre la fecundación del óvulo y la eclosión del 50% de los huevos fértiles. En todos los peces, éste es función de la temperatura del agua. Dentro de ciertos límites propios de cada especie, el período de incubación se reduce al aumentar la temperatura del agua. En el caso de las experiencias realizadas, se registró este tiempo, siempre que fue posible determinar el momento de fecundación y eclosión de cada caso (cuadro 4). En base a estos datos, se pudo determinar que en el caso del Bagre Negro, el período de incubación depende de la temperatura del agua, según la función P.Incubación = 7,5864 . 105 × T° C-3,16, con un coeficiente de correlación de 0,96. Los resultados se presentan en el cuadro 4 y la figura 7.
Cuadro 4
PERIODO DE INCUBACION Y TEMPERATURA DEL AGUA
| TEMP °C | PER.INCUB./Hrs. |
| 19.3 | 69 |
| 19.3 | 69 |
| 19.3 | 69 |
| 19.3 | 69 |
| 21.1 | 49 |
| 21.1 | 48 |
| 20.1 | 54 |
| 20.1 | 54 |
| 20.1 | 54 |
| 21.6 | 52 |
| 21.6 | 48 |
| 21.6 | 50 |
| 22.3 | 43 |
| 22.3 | 46 |
| 22.3 | 46 |
| 21.3 | 45 |
| 21.3 | 48 |
| 21.3 | 49 |
| 21.3 | 49 |
| 21.3 | 49 |
| 21.3 | 45 |
| 21.3 | 49 |
| 21.3 | 50 |
| 21.3 | 50 |
| 24 | 34 |
| 24 | 34 |
| 24 | 34 |
| 22.1 | 39 |
| 22.1 | 39 |
| 24.5 | 29 |

Figura 7 - Relación Período de Incubación-Temperatura
En todas las experiencias se realizó el contaje de los huevos obtenidos, volumétricamente. Esto implicó determinar el número medio de huevos por centímetro cúbico en cada oportunidad. Se realizó el contaje de huevos por c.c. de cada una de las hembras desovadas y se calculó el promedio para la experiencia. El mismo se realizaba 30 minutos después de la fecundación, o sea con los huevos ya hidratados. Los valores obtenidos se presentan en el cuadro 5.
Cuadro 5
| Exp. | Fecha | No Huevos/cc |
| 1 | 07.10.81 | 104 |
| 2 | 21.10.81 | 107 |
| 3 | 27.10.81 | 109 |
| 4 | 28.10.81 | - |
| 5 | 03.11.81 | 110 |
| 6 | 04.11.81 | 87 |
| 7 | 10.11.81 | 117 |
| 8 | 17.11.81 | 130 |
| 9 | 24.11.81 | 134 |
| 10 | 01.12.81 | 129 |
| 11 | 08.12.81 | 102 |
| 12 | 12.01.82 | 172 |
| 13 | 09.02.82 | 140 |
| 14 | 16.02.82 | 152 |
| 15 | 23.03.82 | 200 |
El número de huevos por unidad de volumen depende, obviamente, del volumen ovular medio. En el caso del Bagre Negro, el mismo está compuesto, no solamente por el huevo propiamente dicho, sino además por una capa mucoide, de composición glucoproteica, que lo envuelve completamente. Esta capa no es adhesiva como en el caso de otros peces. Los huevos de Bagre Negro, son demersales y libres.
En las experiencias No 2, 14 y 15 se realizaron mediciones del huevo, su capa mucoide y de las larvas recién eclosionadas. Estos datos se presentan en el cuadro 6.
Cuadro 6
| Exp. | Æ huevo mm | Espesor capa mucoide mm | Æ Total | Larvas Long.total x mm |
| 2 | 1,41 | 0,47 | 2,35 | 5,44 |
| 1,41 | 0,51 | 2,43 | 5,28 | |
| 1,43 | 0,74 | 2,92 | 5,92 | |
| 1,50 | 0,51 | 2,52 | 5,82 | |
| 13 | 1,11 | -- | -- | 4,70 |
| 14 | 1,27 | 0,46 | 2,19 | 4,38 |
| 15 | 1,11 | 0,44 | 1,99 | 3,94 |
De los datos del cuadro 5 se puede apreciar que durante el período considerado se produce un aumento del número de huevos por unidad de volumen, lo que implica una disminución del tamaño ovular en el correr del período de reproducción. Se determinó que existe una correlación positiva de 0,76 entre el número de huevos por cc y la fecha del desove (expresada en semanas) (figura 8).
En los peces, el tamaño del huevo determina el que tendrá la larva al eclosionar. Este hecho también se da en la especie considerada. De acuerdo a los datos del cuadro 6, existe una correlación de 0,88 entre el diámetro del huevo (sin considerar la capa mucoide) y el tamaño larvario al eclosionar (figura 9).
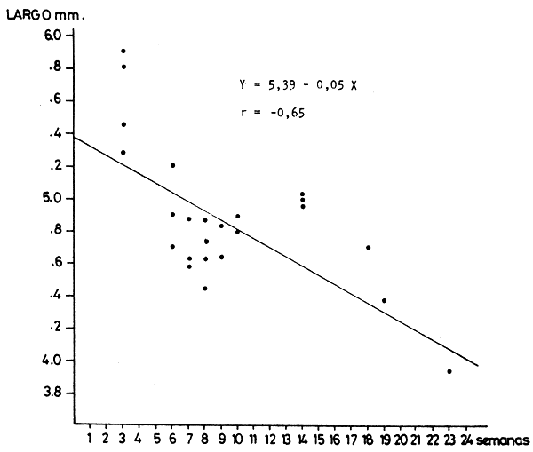
Los resultados obtenidos determinan por lo tanto, que la talla de las larvas recién eclosionadas es menor a medida que avanza el período de reproducción. Esto se corrobora analizando la totalidad de los datos del cuadro 7, en el cual se presentan las longitudes de las hembras y de las larvas recién eclosionadas, en relación al tiempo. Se determinó una correlación negativa de 0,65 entre la talla larvaria (largo total) y la fecha de desove (expresada en semanas) (figura 10).

Figura 8 - Número de huevos por cc en relación al período de reproducción

Figura 9 - Longitud de larvas (L.T.) en relación al diámetro del huevo
Cuadro 7
| Exp. No | Fecha | Peso hembras/gr | Largo larvas/mm |
| 2 | 21.10.81 | 2290 1700 1940 2320 | 5.44 5.28 5.92 5.82 |
| 7 | 10.11.81 | 1350 1800 1150 | 5.20 4.70 4.90 |
| 8 | 17.11.81 | 1050 1000 1340 | 4.64 4.58 4.89 |
| 9 | 24.11.81 | 1600 1300 1250 1000 | 4.63 4.48 4.74 4.89 |
| 10 | 01.12.81 | 1320 1180 950 | 4.65 4.82 4.82 |
| 11 | 08.12.81 | 1340 880 | 4.80 4.90 |
| 12 | 12.01.82 | 1020 1000 780 | 5.03 4.97 5.06 |
| 13 | 09.02.82 | 1110 | 4.70 |
| 14 | 16.02.82 | 1500 | 4.38 |
| 15 | 23.03.82 | 1030 | 3.94 |
La disminución del tamaño de los huevos y larvas al avanzar el período de reproducción y el reducido número de desoves realizados, hace que no sea posible correlacionar las tallas de huevos y larvas con caracteres métricos de las hembras.

Figura 10 - Longitud de larvas (L.T.) en relación al período de reproducción
En el cuadro 8 se presenta el número de huevos obtenidos de cada hembra desovada en cada una de las experiencias. No hay correlación entre el peso de la hembra y el número de huevos desovado. Èste número osciló entre 14.659 y 144.000 por kilo de peso.
Además de las experiencias sobre métodos de reproducción de la especie, también se intentó obtener el mayor número de larvas posible, con la finalidad de producir semilla para experiencias de producción. Durante este período de trabajo se produjeron 1.126.600 larvas, con 5 días de vida como promedio. Luego de esta etapa, fueron enviadas a las estaciones de piscicultura, o utilizadas para investigaciones en el laboratorio.
El porcentaje de larvas de 5 días obtenidas en relación al número de huevos incubados osciló entre 0 y 86% (cuadro 9). La producción en el correr del laño se presenta en el mismo cuadro y en la figura 11.
Cuadro 8
| Exp. No | Fecha | Peso/gr | Vol/ml | NoH/ml | NoHuevos | NoHuevos/kg | Vol Huevos/kg |
| 1 | 07.10.81 | 1340 | 690 | 104 | 71760 | 53552 | 515 |
| 2 | 21.10.81 | 2290 | 1880 | 115 | 216200 | 94410 | 821 |
| 1700 | 350 | 136 | 47600 | 28000 | 206 | ||
| 1940 | 300 | 96 | 28800 | 14845 | 155 | ||
| 1680 | 1000 | 108 | 108000 | 64286 | 595 | ||
| 1830 | 1180 | 102 | 120360 | 65770 | 645 | ||
| 2320 | 2250 | 94 | 211500 | 91164 | 970 | ||
| 1600 | 650 | 98 | 63700 | 39813 | 406 | ||
| 3 | 27.10.81 | 1000 | 775 | 116 | 89900 | 89900 | 775 |
| 1570 | 650 | 121 | 78650 | 50096 | 414 | ||
| 2090 | 1720 | 90 | 154800 | 74067 | 823 | ||
| 5 | 03.11.81 | 1460 | 500 | 110 | 55000 | 37671 | 342 |
| 1530 | 1600 | 110 | 176000 | 115033 | 1046 | ||
| 1900 | 850 | 131 | 111350 | 58605 | 447 | ||
| 6 | 04.11.81 | 1420 | 1300 | 98 | 127400 | 89718 | 915 |
| 1370 | 840 | 75 | 63000 | 45985 | 613 | ||
| 7 | 10.11.81 | 1350 | 980 | 79 | 77420 | 57348 | 726 |
| 1800 | 1240 | 139 | 172360 | 95756 | 689 | ||
| 1150 | 800 | 117 | 93600 | 81391 | 696 | ||
| 1200 | 600 | 135 | 81000 | 67500 | 500 | ||
| 8 | 17.11.81 | 1050 | 1300 | 120 | 156000 | 148571 | 1238 |
| 1000 | 750 | 140 | 105000 | 105000 | 750 | ||
| 1340 | 170 | 130 | 22100 | 16493 | 127 | ||
| 9 | 24.11.81 | 1600 | 230 | 135 | 31050 | 19406 | 144 |
| 1300 | 700 | 116 | 81200 | 62462 | 538 | ||
| 1250 | 1270 | 141 | 179070 | 143256 | 1016 | ||
| 1000 | 1000 | 144 | 144000 | 144000 | 1000 | ||
| 10 | 01.12.81 | 1320 | 150 | 129 | 19350 | 14659 | 114 |
| 1180 | 370 | 115 | 42550 | 36059 | 314 | ||
| 1150 | 250 | 140 | 35000 | 30435 | 217 | ||
| 1050 | 250 | 133 | 33250 | 31667 | 238 | ||
| 950 | 400 | 129 | 51600 | 54316 | 421 | ||
| 11 | 08.12.81 | 1340 | 480 | 101 | 48480 | 36179 | 358 |
| 880 | 640 | 103 | 65920 | 74909 | 727 | ||
| 12 | 12.01.81 | 1020 | 430 | 165 | 70950 | 69559 | 422 |
| 1000 | 620 | 164 | 101680 | 101680 | 620 | ||
| 780 | 420 | 170 | 75180 | 96385 | 538 | ||
| 14 | 16.02.82 | 1500 | 900 | 152 | 136800 | 91200 | 600 |
| 15 | 23.03.82 | 1030 | 450 | 200 | 90000 | 87379 | 437 |
Cuadro 9
| Exp. No | Fecha | No Huevos | No Larvas | % |
| 1 | 07.10.81 | 127920 | --- | --- |
| 2 | 21.10.81 | 814270 | 104000 | 12.8 |
| 3 | 27.10.81 | 271955 | 45000 | 16.5 |
| 4 | 28.10.81 | 91300 | --- | --- |
| 5 | 03.11.81 | 242000 | 96000 | 39.7 |
| 6 | 04.11.81 | 186180 | --- | --- |
| 7 | 10.11.81 | 424870 | 132000 | 31.1 |
| 8 | 17.11.81 | 288600 | 98000 | 34.0 |
| 9 | 24.11.81 | 428800 | 172000 | 40.1 |
| 10 | 01.12.81 | 181750 | 124000 | 68.2 |
| 11 | 08.12.81 | 114400 | 68000 | 59.4 |
| 12 | 12.01.82 | 460250 | 147500 | 31.4 |
| 13 | 09.02.82 | 122500 | --- | --- |
| 14 | 16.02.82 | 136800 | 118200 | 86.4 |
| 15 | 23.03.82 | 90000 | 21900 | 24.3 |
| Total 1126600 | ||||

Figura 11 - Producción de larvas en el período