LOCALIZACION GEOGRAFICA DEL PROYECTO.

AREA DE ESTUDIO

Boca barra El Chapetón
El Chapetón
Tortugario (El Ahumado)
El Estanque
Casa Don Nayo
Lo de Garón
Chalet Sandoval
Rancho Mila
Tortugario (Las Lisas)
El Cementerio
Boca barra El Jiote
El Avión
Rancho Isaura
Boca barra La Gabina
Arnoldo Mejía - Anne Ramboux/vdec
HOJAS DE REGISTRO
a) Hoja Playa:
Especie: ................ Marca No: ................. Fecha: ............... Hora: ................ Tortuga: ¿vista? Si - No Acción: .......... Huevos puestos: ...... L.C.: ...... cm/A.C.: ...... cm Nido: encontrado - robado (huevos regalados ........) Prof. nido: ....... cm Zona: ....... Posición: + ........ m - arena - vegetación Tiempo: despejado - nublado - llovisna - lluvia - chubasco. Observaciones: ............................................ ........................................................... ...........................................................
b) Hoja rancho de incubación
VIENE CON LAS HOJAS No : ............................
Nido No.: ..... Fecha: .......... Hora: .............
Número huevos enterrados: ..........
Eclosión huevos: Fecha: ............ Hora: .............
No. vivas: ........ No. muertas: ...... No. .............
AVERIGUAR ESPECIE : .................
Otras especies : ............. (No.: ......)
............. (No.: ......)
Observaciones: ............................................
...........................................................
...........................................................
REGISTRO DE NIDOS ROBADOS
| Tortugario: | |
| Año: | Mes: |
| FECHA | ZONA 1 | ZONA 2 | ZONA 3 | ZONA 4 | ZONA 5 | TOTAL | |
| PARLAMAS | BAUL | ||||||
| TOTAL: | |||||||
REGISTRO DE TORTUGAS MUERTAS EN LA PLAYA
| Tortugario: | |
| Año: | Mes: |
| FECHA | ZONA 1 | ZONA 2 | ZONA 3 | ZONA 4 | ZONA 5 | TOTAL | ||
| MACHOS | HEMBRAS | DESPEDAZAD. | ||||||
| TOTAL: | ||||||||
REGISTRO SUPERVISOR
| Tortugario: | |
| Año: | Mes: |
| FECHA | NIDOS ROBADOS | NIDOS ENCONTRADOS | TOTAL NIDOS | HUEVOS ENTERRADOS | O B S E R V A C I O N E S |
| TOTAL: |
REGISTRO SUPERVISOR
| Tortugario: | |
| Año: | Mes: |
| FECHA | HUEROS | VIVAS | MUERTAS | TORTUGAS SUELTAS | ||||
| L.o | C.c. | E.i. | C.m. | D.c. | ||||
| TOTAL: | ||||||||
EVOLUCION DEL PESO (1981–1982) DE CRIAS DE Lepidochelys olivacea
ECLOSIONADAS A FINALES DE LA TEMPORADA DE ANIDACION DE 1980
* Valor individual del espécimen más grande
• Valor medio de diez crías más grandes
x Valor medio de diez crías medianas
o Valor medio de diez crías más pequeñas

EVOLUCION DEL TAMAÑO (1981–1982) DE CRIAS Lepidochelys olivacea
ECLOSIONADAS A FINALES DE LA TEMPORADA DE ANIDACION DE 1980

* Valor individual del espécimen más grande
• Valor medio de diez crías más grandes
x Valor medio de diez crías medianas
o Valor medio de diez crías más pequeñas
EVOLUCION (1982) DEL PESO Y TAMAÑO DE TRES Lepidochelys olivacea
(ECLOSIONADAS A FINALES DE LA TEMPORADA DE 1980) Y DE UN SUBADULTO
CAPTURADO DE Eretmochelys imbricata
• N6L4P
x C9L5P
o C6L5P
Δ Carey

EVOLUCION DEL PESO (1982) DE CRIAS DE Lepidochelys olivacea
ECLOSIONADAS A FINALES DE LA TEMPORADA DE ANIDACION DE 1981
o Valor medio de diez crías grandes
• Valor medio de diez crías pequeñas
Δ Valor medio de diez crías más grandes
* Valor medio de diez crías medianas
x Valor medio de diez crías más pequeñas

EVOLUCION DEL TAMAÑO (1982) DE CRIAS DE Lepidochelys olivacea
ECLOSIONADAS A FINALES DE LA TEMPORADA DE ANIDACION DE 1981
o Valor medio de diez crías grandes
• Valor medio de diez crías pequeñas
Δ Valor medio de diez crías más grandes
* Valor medio de diez crías medianas
x Valor medio de diez crías más pequeñas

EVOLUCION DE LA SUPERVIVENCIA (1982) DE CRIAS DE Lepidochelys olivacea
ECLOSIONADAS A FINALES DE LA TEMPORADA DE 1981

RELACION TAMAÑO-PESO EN Lepidochelys olivacea CAUTIVA
x Valor calculado
• Valor medio de diez crías

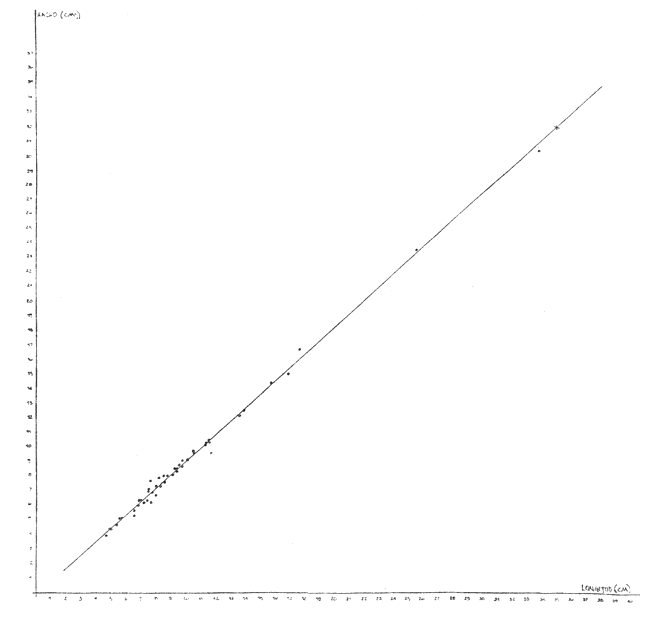
RELACION ANCHO-LARGO DEL CARAPACHO EN Lepidochelys olivacea CAUTIVA
x Valor calculado
• Valor medio de diez crías

SUPERVIVENCIA Y EVOLUCION DEL TAMAÑO Y PESO (1982) DE CRIAS
DE Dermochelys coriacea ECLOSIONADAS A FINALES DE DICIEMBRE
DE 1981

x—x Supervivencia
• Valor medio peso
o Valor medio largo carapacho
EVOLUCION DE LA DENSIDAD EN EL CULTIVO DE LAS CRIAS
DE LA TEMPORADA DE 1981
| FECHA (1982) | No. CRIAS POR m2 | VOL. AGUA (1) POR CRIA | VOL. AGUA (1) POR kg. PESO TORTUGA. |
| 15/1 | 133 | 1 | 40 |
| 26/2 | 117 | 1 | 26 |
| 26/3 | 93 | 1.5 | 19 |
| 5/4 | 82 | 2 | 18 |
| 15/4 | 70 | 2 | 20 |
| 25/4 | 66 | 2 | 19 |
| 6/5 | 62 | 2.5 | 19 |
| 31/5 | 21 | 9.5 | 46 |
| 25/6 | 20 | 10 | 46 |
| 5/7 | 16 | 12 | 38 |
| 17/7 | 16 | 13 | 44 |
| 9/8 | 14 | 14 | 39 |
| 23/8 | 12 | 16.5 | 37 |
REGISTRO DE NIDOS EN LAS TEMPORADAS DE 1981 Y 1982
a) Temporada de 1981
| TORTUGARIOS | EL AHUMADO | LAS LISAS | EL JIOTE | TOTAL | ||||||||||||||||
| MESES | A | S | O | N | T | A | S | O | N | T | A | S | O | N | T | A | S | O | N | T |
| TOTAL NIDOS ROBADOS | 382 | 480 | 274 | 94 | 1230 | 261 | 654 | 249 | 134 | 1298 | 220 | 408 | 324 | 110 | 1062 | 863 | 1542 | 847 | 338 | 3590 |
| NIDOS TRASLADADOS | 23 | 29 | 22 | 2 | 76 | 36 | 29 | 8 | - | 73 | 26 | 17 | 14 | 4 | 61 | 85 | 75 | 44 | 6 | 210 |
| TOTAL NIDOS | 405 | 509 | 296 | 96 | 1306 | 297 | 683 | 257 | 134 | 1371 | 246 | 425 | 338 | 114 | 1123 | 948 | 1617 | 891 | 344 | 3800 |
b) Temporada de 1982
| TORTUGARIOS | EL AHUMADO | LAS LISAS | EL JIOTE | TOTAL | ||||||||||||||||
| MESES | A | S | O | N | T | A | S | O | N | T | A | S | O | N | T | A | S | O | N | T |
| TOTAL NIDOS ROBADOS | 180 | 154 | 113 | 27 | 474 | 179 | 182 | 62 | 18 | 441 | 154 | 141 | 62 | 24 | 381 | 513 | 477 | 237 | 69 | 1296 |
| NIDOS TRASLADADOS | 14 | 11 | 11 | 1 | 37 | 21 | 11 | 5 | 1 | 38 | 9 | 11 | 16 | 11 | 47 | 44 | 33 | 32 | 13 | 122 |
| TOTAL NIDOS | 194 | 165 | 124 | 28 | 511 | 200 | 193 | 67 | 19 | 479 | 163 | 152 | 78 | 35 | 428 | 557 | 510 | 269 | 82 | 1418 |