Previous Page Table of Contents Next Page


APPENDIX X: CONVERSION TABLES AND COMMON FORMULAE A. CONVERSIONS


Length

1 micron = 0.001 mm
1 mm = 0.0394 in = 0.001 m
1 cm = 0.394 in = 10 mm = 0.01 m
1 m = 3.28 ft = 1.094 yd
1 in = 25.83 mm = 2.54 cm
1 ft = 0.305 m = 12 in
1 yd = 0.915 m = 3 ft

Weight

1 g = 0.0353 oz
1 kg = 1 000 g = 2.205 lb
50 kg = 110.25 lb
1 000 kg = 1 mt
1 mt = 0.9842 UK 1/t = 1.102 US t
1 oz = 28.349 g
1 lb = 16 oz = 453.59 g
1 UK 1/cwt = 112 lb = 50.80 kg
1 US cwt = 100 lb = 45.36 kg
1 UK 1/t = 20 UK 1/cwt = 2 240 lb = 1.016 mt = 1.12 US t

Volume

1 litre = 1 000 ml = 0.220 UK 1/gallon = 0.264 US gallon

1m3 = 35.315 ft3 = 1.308 yd3

1m3 = 1 000 litres = 219.97 UK 1/gallons = 264.16 US gallons

1 ft3 = 0.02832m3 = 6.229 UK 1/gallons = 28.316 litres

1 UK 1/gallon = 4.546 litres = 1.2009 US gallon

1 US gallon = 3.785 litres = 0.833 UK 1/ gallon

1 MGD (million UK 1/ gallons/day) = 694.44 GPM (UK 1/ gallons/minute)

1 MGD = 3.157 m3/minute = 3 157 litres/minute

1/'British' or 'Imperial' units

Area

1 m2 = 10.764 ft2 = 1.196 yd2
1 ha = 10 000 m2 = 2.471 acres
1 km2 = 100 ha = 0.386 mi2
1 ft2 = 0.0929 m2
1 yd2 = 0.836 m2
1 acre = 0.405 ha
1 mi2 = 640 acres = 2.59 km2

Temperature



Pressure

1 psi (lb/in2) = 70.307 g/cm2
1 atmosphere = 14.69 lb/in2 (psi) = 29.92 in Hg
1 atmosphere = 33.9 ft HO

Calorific Value

1 cal (calorie) = 4.184 joules = 0.003968 BTU 1/
1 kcal (kilocalorie) = 1 000 cal = 4 184 joules
1 Mcal (megacalorie) = 1 000 000 cal = 1 000 kcal
1 joule = 0.239 cal
1 BTU 1/= 252 cal = 778.16 ft lb = 1 055.124 joules

1/British Thermal Unit

Power

1 HP = 746 watts = 0.746 kw = 550 ft lb per second
1 kw = 1 000 watts

Other

1 m3 of water weighs 1 mt

B. COMMON FORMULAE

Areas 1/

Tiangle

Rectangle

A = ab

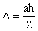
Parallelogram

A = ah

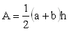
Trapezoid

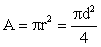
Circle

Circumference

C=2p r


Sphere

A=4p R2=p d2


Sector

Volumes 1/

Sphere

Regular Prism

V= area of base × h

Regular Circular Cylinder

V=p r2h

Regular Circular or Con

Frustrum of Any Pyramid


Previous Page Top of Page Next Page