Activités au titre du programme de la Division des forêts et
des industries forestières, 1963-68
Document préparé pour être examiné par le Conseil à sa cinquante et unième session
Observations du Comité du Programme du Conseil de la FAO
Un document supplémentaire préparé pour le Conseil de la FAO
Rapport du Conseil de la FAO sur les activités de la Division
[Document CL 51/20.]
OBJECTIFS
L'objectif général que la Conférence, tenue à Québec en 1945, a fixé à la FAO consiste à fournir à une économie mondiale en expansion les produits forestiers nécessaires au bien-être général. Il ne s'agit pas seulement de faire pousser des arbres, mais de récolter et transformer le bois, ainsi que d'intégrer l'aménagement des forêts à la gestion industrielle et à la commercialisation des produits forestiers. Cet objectif englobe également les autres avantages fondamentaux que l'homme tire des forêts: protection des terres agricoles; régulation des cours d'eau et des eaux souterraines et prévention des inondations, des avalanches et de l'érosion par le vent et par l'eau; apport de terrains de parcours pour le bétail et la faune sauvage, possibilités de loisir et agréments offerts aux populations urbaines en expansion ainsi que d'autres avantages sociaux. Tous ces éléments doivent figurer dans un exposé de la FAO sur la foresterie.
Toutefois, les objectifs à long terme de la FAO ne sont nullement demeurés statiques. Nous vivons dans une ère de rapide évolution. En 1945, et pendant plusieurs années encore, le monde n'avait pas encore pris conscience de l'explosion démographique; or celle-ci est reconnue aujourd'hui comme l'une des caractéristiques les plus notables de notre époque et elle ne manquera pas de peser également sur les ressources forestières du monde au cours des décennies à venir. Les progrès techniques, eux aussi, sont des plus remarquables; les produits, les processus, les systèmes et les méthodes évoluent vite et il en est de même des structures politiques, économiques et sociales à l'intérieur desquelles le développement des forêts doit être réalisé. Aussi, les objectifs doivent-ils faire l'objet de rajustements stratégiques et de déplacements d'accent.
En raison de l'ampleur et de la complexité nouvelles des problèmes à résoudre, et à cause évidemment de ses ressources limitées, les activités de la FAO en matière de foresterie ont dû être de plus en plus consacrées au cours des cinq dernières années, à certains domaines prioritaires. Elles peuvent se classer parmi celles qui visent à favoriser la contribution de la foresterie et des industries forestières au développement économique et social ou parmi celles qui sont destinées à orienter les Etats Membres dans le réexamen fondamental des objectifs de l'aménagement des forêts dans une économie mondiale en pleine évolution.
ORGANISATION ET PRINCIPAUX SECTEURS D'ACTIVITÉ
L'organisation de la Division des forêts et des industries forestières se fonde sur deux principes: a) l'organisation est un concept dynamique qui exige de constants ajustements en fonction de l'évolution politique; b) l'efficacité opérationnelle doit être sans cesse améliorée.
Une nouvelle structure des activités de la FAO en matière de foresterie figure dans le document CL 51/9. Au cours des dernières années, la structure comprenait le Bureau du directeur et cinq sous-divisions: celles de la politique forestière, de l'aménagement forestier, de l'exploitation et des transports en forêts, des industries forestières et de l'utilisation, et de l'économie forestière. Elles constituaient les organes techniques de la Division, chacune étant chargée d'un grand nombre de fonctions spécialisées ainsi que du service et du soutien techniques des projets sur le terrain consacrés à un sujet déterminé.
Le Bureau du directeur assure la direction et la coordination. Au sein de ce Bureau, le Bureau des opérations et de la coordination a été reconstitué à la date du 1er juin 1968 en un Bureau des opérations et en un service administratif.
La Division a été la première à l'Organisation à envoyer des fonctionnaires dans les régions, devançant la nomination de représentants régionaux. Il s'agissait alors d'examiner de plus près les problèmes locaux qui se posaient dans les diverses parties du monde et d'édifier des relations de travail avec les Etats Membres plus facilement qu'il n'est possible de le faire à partir du Siège. Les périodes de séjours des fonctionnaires dans les régions ont alterné avec des périodes au Siège ou de travail sur des projets sur le terrain, de sorte que maintenant à Rome et dans les bureaux régionaux la Division dispose d'un personnel expérimenté et bien au courant de toutes les questions.
Pour faire face à ses responsabilités dans le domaine des industries forestières, la FAO a créé des groupes consultatifs régionaux sur le développement des industries forestières conjointement avec la Commission économique des Nations Unies pour l'Amérique latine (CEPAL) à Santiago et pour l'Afrique (CEA) à Addis-Abéba. Pour l'Asie et l'Extrême-Orient un groupe analogue (CEAEO) fonctionne à Bangkok sur des crédits régionaux du PNUD. La Division CEE /FAO du bois à Genève remplit une fonction quelque peu analogue pour l'Europe.
En vue de coordonner les activités avec d'autres programmes, la Division fournit des agents de liaison pour le programme de coopération FAO/BIRD et pour le Programme alimentaire mondial.
A compter de juin 1968, le nombre total de postes du cadre organique au titre du Programme ordinaire s'élevait à 44 au Siège et à 9 dans les régions. Le total des postes au titre du PNUD (Fonds spécial) était de 603 dont 12 au Siège. Au titre du PNUD (Assistance technique) il y avait 63 postes et au titre des Fonds de dépôt, principalement pour des experts associés, 44 postes sur le terrain et 4 temporairement au Siège.
Pour la commodité, on peut répartir le travail de la Division en deux grands groupes: les ressources forestières et les industries et le commerce forestiers. Cette répartition est faite sur la base des fonctions de production et de distribution. Entre ces deux fonctions, on trouve l'influence unificatrice de l'économie et de la planification qui fournissent deux domaines d'activités nécessairement interdépendants des autres.
Beaucoup de pays ont donné, dans les débuts, à l'agriculture une certaine forme de structure institutionnelle. Dans le cas de la foresterie, de nombreux pays ont dû récemment prendre ab initio des mesures législatives et administratives fondamentales qui s'appliquent surtout au domaine public. Tel a été le résultat des principes fondamentaux de politique forestière approuvés par la Conférence de la FAO en 1951, que la Division s'est constamment efforcée d'implanter dans les Etats Membres.
La Division devait publier une édition révisée de son étude antérieure Politique, législation et administration forestières qui constitue un exposé logique des règles gouvernant l'intervention de l'Etat dans le secteur forestier et fournit aux services nationaux forestiers la base nécessaire pour leur examen des problèmes de politique forestière. Ces travaux ont dû être retardés, mais pourraient être achevés en 1970/71.
Les problèmes institutionnels de la foresterie constituent une des principales préoccupations de la Division. Il s'agit dans les débuts de problèmes intéressant surtout l'agrosylviculture et qui portent sur les relations entre l'homme et la forêt. Mais à mesure que le processus de développement politique et économique s'accélère, les problèmes institutionnels prennent un caractère plus social et économique. La foresterie doit renforcer ses liens et ses interrelations avec l'industrie et le commerce ainsi qu'avec d'autres secteurs de l'économie. Il s'agit là d'une évolution naturelle. En outre, le développement de la foresterie et des industries forestières doit s'intégrer dans les plans et programmes économiques de toute la nation.
Pour articuler son action dans le domaine de la politique forestière à l'égard des services nationaux, la FAO dispose d'un élément fondamental; il s'agit du réseau des six commissions forestières régionales dont la Division assure en permanence le secrétariat comme elle le fait aussi pour la Sous-commission de coordination des questions forestières méditerranéennes. Depuis leur création - la Commission européenne en 1947, les Commissions pour l'Amérique latine et pour l'Asie et le Pacifique en 1949, la Commission pour le Proche-Orient en 1953, les Commissions pour l'Afrique et pour l'Amérique du Nord en 1959 - ces commissions ont permis sur le plan intergouvernemental d'examiner les tendances de la politique forestière, de confronter des expériences, d'échanger des renseignements et d'étudier des problèmes techniques et économiques d'intérêt commun. Les résultats des activités des commissions sont énumérés dans l'Index Forêts publié par le Centre de documentation de la FAO.
Les études régionales sur les tendances du bois, qui ont été effectuées par la FAO ces dix dernières années en collaboration avec les commissions économiques régionales des Nations Unies et qui ont abouti en 1966 à l'étude intitulée Le bois: évolution et perspectives mondiales, ont pris également une grande signification à cet égard. Ces études fournissent une partie essentielle de la documentation de base à partir de laquelle les politiques forestières nationales et les plans de développement peuvent être élaborés. Allant plus loin, la Division, dans le cadre de la contribution qu'elle apporte au Plan indicatif mondial de la FAO pour le développement agricole 196585, procède à l'établissement de comptes sectoriels par pays pour la foresterie afin de déterminer l'incidence que le développement des industries forestières peut avoir sur l'économie de chaque pays.
Si l'on veut réaliser avec succès des plans de développement forestier, il faut, outre le capital nécessaire aux investissements, disposer de personnel qualifié sur le plan tant professionnel que technique. Le but visé par la FAO en matière d'enseignement et de formation forestiers consiste à adapter les efforts éducatifs aux priorités qu'imposent au secteur forestier les objectifs fixés pour le développement général de l'économie. On a élaboré une méthode d'évaluation des besoins de main-d'uvre nécessaire au développement du secteur forestier et on l'a ajustée en fonction des objectifs des plans généraux d'enseignement. La Division a également préparé des programmes pour l'expansion de l'enseignement dans les régions en voie de développement: le premier pour l'Afrique est déjà achevé; celui qui concerne l'Amérique latine devrait l'être en 1969, et serait suivi d'un autre destiné à l'Asie et l'Extrême-Orient. La Division a également participé à des plans de collaboration entre des groupes de pays pour l'enseignement forestier: ainsi l'Algérie, le Maroc et la Tunisie ont conclu un accord en vue d'organiser un système commun d'enseignement et de formation forestiers. Un accord analogue est en cours d'examen pour l'Amérique centrale et les Antilles.
A la base de tous les travaux de la Division figure son programme de statistiques, qui consiste à fournir des données par pays, comparables à l'échelon international, sur les ressources, les prélèvements de bois dans les forêts, la production de produits forestiers, les courants d'échange de ces produits ainsi que sur beaucoup de questions connexes comme les incendies de forêts ou le secteur du revenu national et de la main-d'uvre. Il s'agit non seulement de rassembler les données, mais encore d'améliorer les concepts, les définitions et la présentation des rapports en les normalisant et en en assurant la comparabilité. Le volume des travaux croît avec l'amélioration du dépouillement et l'accroissement de la demande de données.
Si l'on veut établir des plans viables à tous les niveaux depuis l'entreprise jusqu'aux travaux internationaux, il est indispensable d'évaluer les ressources forestières et leur milieu physique. Des techniques nouvelles ou en cours d'élaboration aident à remplir cette tâche difficile et souvent négligée. Les travaux sur le terrain pour la réalisation de projets et la formation ainsi que la normalisation des méthodes et de la présentation des données demeurent l'un des principaux domaines d'activités du programme de la Division.
Il devenu normal pour presque tout le programme de considérer les questions sous l'angle économique au point de répartir des spécialistes de ces questions dans plusieurs parties de la Division. Quant aux travaux analytiques, ils restent surtout la tâche de sections spéciales.
Ressources forestières
Les activités entreprises à cet égard consistent à étudier comment et où l'on peut produire, protéger et exploiter économiquement les quantités croissantes de bois dont le monde a besoin. Pour ce qui est de l'exploitation des forêts naturelles, on s'attache à étudier les problèmes particuliers que posent les forêts tropicales hétérogènes. L'accent est mis également sur les possibilités dynamiques des forêts artificielles ainsi que sur les risques qu'elles présentent.
Peut-être le plus grand changement qui s'est produit dans l'aménagement des forêts au niveau de l'exploitation a-t-il consisté dans le fait que des considérations d'ordre national et international ont pris un poids plus grand lors de la détermination des objectifs de l'aménagement. Pour cette raison, et aussi à cause de la forte demande de quantités plus grandes et plus uniformes de matières premières comme base des industries forestières, en particulier pour la pâte et le papier et les panneaux dérivés du bois, la création de forêts artificielles a pris un essor beaucoup plus important qu'on aurait pu l'envisager autrement. A son tour, cet essor a conduit à l'application de la génétique et de la sélection de graines forestières pour accélérer et améliorer la production forestière.
La portée de l'aménagement des forêts s'étend également de plus en plus, dépassant le stade de la production de bois pour englober celui de l'exploitation des produits. L'ensemble des opérations entre la coupe et la livraison à l'usine représente le maillon le plus vulnérable, souvent économiquement décisif, de la chaîne qui aboutit au consommateur final. Telles sont les considérations qui ont conduit, il y a deux ans, à créer au sein de la Division une nouvelle sous-division et à accroître le personnel, afin d'encourager de meilleures méthodes d'exploitation forestière et de transport du bois, car ces deux phases du processus de production exercent une influence déterminante, par exemple, à l'égard de la position concurrentielle des produits du bois sur les marchés d'exportation.
Plusieurs pays considèrent déjà la forêt plus pour la protection matérielle et les avantages sociaux qu'elle assure que pour le bois qu'elle fournit. En outre, l'homme et le processus de colonisation empiètent constamment sur l'habitat naturel d'une grande partie de la faune mondiale. C'est pourquoi, tout en encourageant par son action la production forestière, la Division s'efforce de faire en sorte que des précautions suffisantes et des mesures appropriées soient prises afin que les forêts fournissent en supplément les avantages sociaux qu'exigent des niveaux de vie croissants et que le principe «de l'utilisation multiple» reçoive une application suffisante. Dans tout le vaste domaine de la conservation et de l'aménagement de la faune, une bonne collaboration a été maintenue avec l'Union internationale pour la conservation de la nature (UICN), avec l'Unesco et avec le Programme biologique international.
Industries forestières et commerce
Les produits forestiers servent à tous les secteurs de l'économie et la demande relative à ces produits est directement liée au processus de croissance économique. La consommation s'accroît rapidement.
Aujourd'hui, on peut se faire une idée assez claire du volume de bois dont le monde aura besoin au cours des cinq prochaines années ou à peu près, ainsi que des principaux changements qui peuvent intervenir dans le secteur du bois et des utilisateurs de bois. Les études régionales de la FAO sur les tendances du bois indiquent que vers 1975 le monde aura besoin tous les ans de quelque 560 millions de mètres cubes de plus qu'en 1961. Sur ce volume supplémentaire, les utilisations industrielles absorberont environ 450 millions de mètres cubes, ce qui représente une hausse probable de 43 pour cent en 14 ans.
Une part croissante des bois industriels servira aux produits à base de pâte et aux panneaux dérivés du bois, dont la consommation pourrait au cours de la période augmenter respectivement de 110 et de 150 pour cent. En revanche, la consommation de sciages progresserait de 23 pour cent, et pour les bois ronds destinés à l'industrie, elle ne varierait guère.
Ce volume supplémentaire de bois industriels sera utilisé à raison de 70 pour cent par les pays économiquement évolués qui sont de gros consommateurs. Ainsi, des possibilités paraissent s'offrir aux pays en voie de développement bien dotés de ressources ou de potentiels forestiers. En fait, pour certains pays, les produits forestiers figurent aujourd'hui parmi les exportations se développant le plus rapidement et, dans quelques cas, occupent la première place comme source de devises. Au cours des dix années allant de 1955 à 1965, les exportations de ces produits ont augmenté de valeur passant de 280 millions de dollars par an à 770 millions et pourraient fort bien atteindre 1 500 millions vers 1975. Ces faits ont servi de base à la nouvelle orientation des activités de la Division en matière de développement du commerce et en particulier de rapports sur les marchés et de diffusion aux Etats Membres de renseignements sur les marchés, les prix, les coûts de transport et les courants commerciaux de produits forestiers.
Nombre de pays en voie de développement estiment que, pour accroître les possibilités d'activité économique et d'emploi, les pays évolués doivent intensifier leurs investissements en biens de production et leur participation industrielle active en créant des industries ayant des activités analogues dans les régions en voie de développement. En raison de ses effets multiplicateurs et autres, l'expansion de l'industrie forestière peut avoir une notable incidence sur la croissance de l'économie générale.
Certes, nombre de pays en voie de développement sont bien placés puisqu'ils disposent de ressources appropriées pour certains produits forestiers, mais un développe ment rapide des industries se heurte à de nombreux obstacles. Parmi ceux-ci figurent les suivants: manque de main-d'uvre qualifiée, infrastructure, concentration de la demande, ressources forestières appropriées ou emplacements favorables des forêts. La Division fait beaucoup d'efforts, grâce à ses projets sur le terrain, pour aider les Etats Membres à surmonter ces empêchements et difficultés et pour encourager la réalisation de programmes échelonnés de développement des forêts et industries forestières dans le cadre des plans nationaux de développement général. En raison de l'expérience ainsi acquise, la FAO a accumulé une mine de connaissances et a pu constituer, au Siège et dans les régions, un cadre de spécialistes et d'économistes de l'industrie forestière qui sont facilement disponibles pour fournir aide et avis aux Etats Membres. Elle peut également, le cas échéant, faire appel aux services de nombreux organismes et entreprises, publics ou privés, pour exécuter des tâches sous contrat.
MÉTHODES ADOPTÉES POUR ATTEINDRE LES OBJECTIFS VISÉS
Pour mener à bien sa tâche, la Division des forêts et industries forestières de la FAO doit être équipée afin d'apprécier et d'évaluer les problèmes de la foresterie mondiale et déterminer les zones prioritaires où une action internationale se révèle la plus nécessaire et peut être la plus efficace. Ses fonctions complexes ont été facilitées car elle possède ses propres services pour la statistique, le commerce, l'économie, la documentation et les activités opérationnelles, et ce malgré les limitations apportées depuis longtemps à ses ressources en personnel pouvant être affecté à certaines de ces activités. Ainsi, la publication périodique de la Division Unasylva en est maintenant à son 22e volume et elle continue d'être préparée avec un modeste budget.
Comme on l'a signalé précédemment au Conseil, dans les débuts de l'Organisation, l'accent devait être mis sur les méthodes dites fondamentales du programme ordinaire de la FAO, sur l'échange de renseignements, d'études et de rapports et sur l'élaboration de résolutions. Mais comme les nouveaux programmes sur le terrain se sont développés en fonction de l'accroissement des Etats Membres de la FAO (dont le nombre atteint actuellement 119 au total), la situation a rapidement évolué. Les crédits actuellement mis à la disposition des projets forestiers au titre du PNUD s'élèvent actuellement à un total de quelque 62 millions de dollars répartis sur une période moyenne de quatre ans (non compris la contrepartie fournie par les gouvernements) contre 2,68 millions de dollars pour les activités biennales du programme ordinaire (1968/69). Le personnel du programme ordinaire consacre environ 40 pour cent de son temps à la réalisation de ces projets.
Bien que, pour des raisons administratives, le programme ordinaire et les programmes sur le terrain soient traités séparément par l'Organisation, étant financés par des sources différentes, en pratique ils sont indissolublement liés et se complètent mutuellement.
Les travaux réalisés au titre du programme ordinaire sont élaborés en fonction des tâches aussi bien que des types d'activités, ce qui facilite l'établissement de priorités sous-sectorielles (enseignement, forêts artificielles, pâte et papier par exemple) aussi bien que le choix des méthodes les plus efficaces de réalisation (études, réunions, rassemblement et diffusion de renseignements, conseils, par exemple). Ainsi, la préparation d'un programme régional pour l'enseignement forestier est un type d'activité auquel conviennent le mieux des études sur les conditions locales et les besoins de main-d'uvre, en fonction du développement forestier, tandis que l'établissement, l'aménagement et l'utilisation de forêts artificielles représentent une série d'activités auxquelles conviennent le mieux des réunions, colloques ou projets de démonstration bien organisés. Un examen de la politique forestière est un sujet auquel conviennent un échange de vues et une confrontation d'expérience parmi ceux qui, dans les Etats Membres, sont chargés des décisions politiques; les commissions forestières régionales fournissent d'ordinaire une tribune pour ces échanges. Les activités de la Division effectuées au titre du programme ordinaire se fondent sur le principe selon lequel les efforts de la FAO expriment ceux de l'ensemble des Etats - le secrétariat n'étant que le moyen mis en uvre pour organiser l'exécution des intentions et des idées des Etats Membres de la FAO.
De toute évidence, la Division ne peut faire face aux demandes de services formulées par les Etats Membres que dans la mesure où ses ressources le lui permettent. Elle a réussi à étendre ses possibilités grâce à la coopération mise au point avec les Nations Unies (commissions économiques régionales), le Programme alimentaire mondial ou les autres institutions de la famille des Nations Unies ainsi qu'avec des organismes internationaux non gouvernementaux et des institutions d'aide bilatérale. On compte que la collaboration avec la CNUCED et l'ONUDI ira en se resserrant. Il lui a donc été possible d'obtenir des résultats beaucoup plus importants que les crédits et ressources limités que lui accorde le programme ordinaire ne laisseraient supposer.
Les comités consultatifs et les groupes d'experts, au nombre desquels on peut citer les comités FAO de la pâte et du papier, des panneaux dérivés du bois, de l'enseignement forestier et de la mise en valeur des forêts sous les tropiques, constituent un des éléments d'organisation qui s'est révélé des plus utiles pour aider à atteindre les objectifs de la FAO. On fonde beaucoup d'espoirs également sur le nouveau groupe d'experts des ressources génétiques forestières. Dans les débuts, la Division disposait d'un Comité consultatif permanent de spécialistes ayant un statut reconnu. Aussi a-t-on pu, au moment opportun, créer ces autres organes à partir de cette instance initiale.
On ne peut obtenir que les pays en voie de développement progressent sur le plan technique, économique ou social, en se bornant à faire des études et des rapports ou à échanger des opinions lors de réunions internationales d'experts. Il convient d'aller plus loin et d'encourager le développement direct, après l'avoir adapté aux besoins et possibilités de chaque pays. C'est pourquoi les programmes sur le terrain ont pris une telle importance ces dernières années. Vers le milieu de 1968, la Division avait mené à terme 11 projets nationaux au titre du PNUD (FS), elle en réalisait 52 et sept autres projets approuvés n'étaient pas encore commencés, soit en tout 70 projets, sans compter sa participation à plusieurs autres réalisés par d'autres divisions de la FAO. La Division a la responsabilité d'environ 7 pour cent des allocations totales du PNUD (FS), soit plus de 18 pour cent des fonds du PNUD (FS) gérés par la FAO. Ces projets englobent un vaste champ d'activités intéressant le développement qui vont de prospections et inventaires des ressources forestières, de l'établissement de plantations, de la faune sauvage, de l'utilisation des terres et de l'aménagement des bassins versants, de la création d'organismes de recherche forestière et d'établissements d'enseignement aux niveaux professionnel et technique, de centres d'abattage et de formation à des études sur les réalisations possibles portant sur la récolte, le transport et les différentes sortes d'utilisation industrielle notamment la fabrication de pâte et de papier.
Quelque 30 projets du PAM présentant un intérêt immédiat pour la Division avaient également été approuvés au début de 1968 et représentaient un coût total pour le PAM de quelque 47 millions de dollars.
Difficultés éprouvées
Les difficultés éprouvées depuis le dernier examen du Conseil peuvent se classer en deux grandes catégories: celles qui sont inhérentes à la complexité des tâches de la FAO et celles qui résultent de la pression exercée sans cesse sur les ressources de la Division.
L'écart qui existe entre les niveaux de connaissances technologiques et de réalisations socio-économiques parmi les Etats Membres de la FAO constitue la plus grande difficulté. Il en résulte une gamme extrêmement vaste de problèmes, de besoins et de nécessités en matière de foresterie internationale. Quelque 80 pour cent des Etats Membres de la FAO en sont encore à lancer leur développement économique ou s'efforcent d'y parvenir. Les stades atteints en matière de développement forestier diffèrent selon les pays. Dans certains, on considère encore que les forêts offrent gratuitement des terres pour la coupe, le défrichage, la culture, la pâturage ou la chasse et que c'est à la nature à rétablir l'équilibre entre les besoins de l'homme et ceux du reboisement. D'autres commencent à voir dans la foresterie des avantages pour la communauté et ils ont élaboré et appliqué des dispositions institutionnelles pour protéger les ressources forestières et les utiliser rationnellement dans l'intérêt général, par opposition au profit particulier. Les pays qui élaborent des plans nationaux considèrent maintenant les forêts comme une ressource possible en matières premières à utiliser pour la croissance économique et sociale.
A l'autre extrémité, on trouve les Etats Membres économiquement développés qui disposent d'administrations et d'institutions forestières bien établies mais auxquelles une forte demande de produits forestiers et d'autres avantages sociaux ainsi que la concurrence sur les marchés ou celle des produits de substitution créent une gamme tout à fait différente de problèmes et de besoins.
Dans l'ensemble, les problèmes forestiers se trouvent aggravés aujourd'hui par des tendances contradictoires et des incompatibilités; il faut faire face à une demande croissante de produits du bois alors que la superficie forestière rétrécit; il faut comprimer les coûts de production, tandis que les salaires augmentent; il faut mettre au point de nouveaux produits pour lutter contre la concurrence d'autres matériaux et produits de remplacement; il faut appliquer les progrès techniques en dépit de l'insuffisance de l'enseignement et de la formation il faut investir davantage alors que des exigences rivales pèsent sur les ressources en capitaux; il faut concilier les diverses fonctions de la forêt avec des coûts de production bas pour le bois et intégrer ces fonctions dans une structure sociale en pleine évolution.
Les objectifs fixés à l'origine à la FAO ont donc rendu, ces dernières années, de plus en plus difficile la concentration des efforts. Les besoins de la foresterie internationale sont si étendus que la FAO est constamment tentée de se disperser trop superficiellement. Des changements de structure ne suffisent pas pour remédier à cette situation, encore que ces changements auront, on l'espère, pour résultat d'améliorer l'efficacité opérationnelle et de simplifier les procédures. A longue échéance il faudra disposer de sources de financement extérieures plus nombreuses.
EVALUATION DES RÉSULTATS OBTENUS
Dans le dernier examen des activités du programme soumis au Conseil de la FAO lors de sa quarante-troisième session, tenue en octobre 1964, un certain nombre de résultats avaient été exposés2. On peut encore dire aujourd'hui que la FAO continue d'être reconnue comme une autorité mondiale pour l'ensemble des questions touchant à la foresterie et aux industries forestières. Elle a su gagner la confiance des grandes industries forestières européennes et nord-américaines, en leur offrant un organisme neutre pour examiner leurs problèmes. C'est elle également qui donne son impulsion au Comité du bois de la CEE, dont le secrétariat est assuré par la Division mixte du bois FAO/CEE et qui permet de réunir les pays d'Europe orientale et d'Europe occidentale pour des consultations; d'autres tribunes internationales pour des discussions de ce genre, comme la CNUCED, tirent leur origine de la FAO. Mais, en outre, la FAO joue un rôle particulièrement utile en transposant et en adaptant les conceptions et les pratiques relatives à la foresterie en fonction des conditions très différentes de ses nombreux Etats Membres dans toutes les régions du monde.
[2 Voir Unasylva, Vol. 18 (4), N° 75, 1964. le développement des ressources et industries forestières au Chili.]
La FAO a certainement contribué à mieux faire comprendre les possibilités offertes par la foresterie pour le développement économique et social. En appliquant sa méthode intégrée à l'exploitation des forêts et des industries forestières, elle a continué de chercher à réduire l'antagonisme traditionnel existant entre les responsables de l'exploitation forestière et ceux qui sont chargés d'en transformer les produits. La nécessité d'intégrer la production forestière, l'abattage et le transport, la transformation et la commercialisation, qui est dictée par des considérations d'ordre technique, industriel, économique, social et politique, est maintenant plus universellement comprise et admise.
La FAO a également cherché à faire démarrer le développement forestier dans de nombreux pays. Peut-être est-ce là qu'il faut voir la plus grande réalisation de l'Organisation dans le secteur forestier, ces dernières années. On peut citer à cet égard des activités aussi disparates que la création d'un département de la foresterie à l'université d'Ibadan au Nigeria, de centres de formation d'abattage en Inde soutenus aussi par l'aide bilatérale, ou les prospections forestières dans le bassin de l'Amazone au Brésil, ou encore l'institut pour
La FAO a également participé à la recherche de soutiens financiers internationaux pour le développement forestier. Elle a récemment entrepris plusieurs missions pour le compte de la Banque internationale pour la reconstruction et le développement (BIRD) et pour les banques internationales régionales. Une étude économique du secteur forestier (Amérique centrale), la définition de projets forestiers (Gabon), le développement des marchés (Kenya, Madagascar et Tanzanie), l'évaluation d'un programme de plantation de bois à pâte industriel en Inde constituent des exemples de missions de ce genre. Une participation étroite au programme de coopération FAO/Industrie, en particulier la récente création d'un Sous-groupe de la foresterie et des industries forestières, a contribué à attirer de plus en plus l'attention des industriels des pays économiquement évolués, ayant des liens avec des organismes privés ou publics, sur les possibilités d'investissement qu'offrent de nombreux pays des régions en voie de développement.
Certes, beaucoup a été accompli, mais des erreurs ont aussi été commises et on espère qu'on en tirera un enseignement. Il y a eu des cas où des projets sur le terrain n'ont pas pleinement réussi parce que les pays intéressés n'étaient pas en mesure de les réaliser (ils ne disposaient pas de fonds de contrepartie ou de personnel pour soutenir, égaler et poursuivre l'effort multilatéral) ou parce que le projet lui-même ne méritait pas vraiment une priorité élevée au regard d'autres besoins et exigences du pays. Dans certains cas, les programmes d'aide multilatérale ou bilatérale n'étaient pas harmonisés et il en est résulté une répétition inutile de l'effort. On a fait des erreurs dans le choix du personnel international sur le terrain et, au Siège, le personnel a dû souvent travailler sous une pression telle qu'il était incapable de consacrer assez de temps à une sérieuse élaboration des projets et à une évaluation permanente des résultats. Telles sont les difficultés généralement éprouvées au sein de l'Organisation et celles-ci ne sont d'ailleurs pas particulières à la foresterie. On se préoccupe sans cesse d'y trouver des remèdes et des solutions.
TENDANCES DES TRAVAUX DE LA DIVISION
En raison de l'expérience acquise pendant plus de vingt années, on connaît aujourd'hui clairement tant les problèmes que les possibilités de la foresterie mondiale. Lors du sixième Congrès mondial de la foresterie, tenu à Madrid à l'été de 1966, de nombreuses questions ont été éclaircies. Depuis lors, le fort accroissement des crédits disponibles pour les programmes sur le terrain a permis d'attirer l'attention sur les problèmes et possibilités de chaque pays. Cette tendance se poursuivra.
Dans le secteur de la foresterie, les tâches futures de la FAO pourront se classer en deux grandes catégories et dans l'ordre suivant de priorité:
a) Assistance aux Etats Membres dans leurs efforts pour le développement des forêts et industries forestières (activités opérationnelles).b) Encouragement des échanges de connaissances en matière forestière entre les pays du monde (activités fonctionnelles).
Ce déplacement d'accent sur les activités intéressant le développement ne diminue en rien l'importance des travaux techniques de la Division. Au contraire, il fournit une base pragmatique plus sûre pour l'élaboration des activités du programme ordinaire.
Les futures zones prioritaires où la FAO peut le mieux stimuler une action nationale ou internationale peuvent être énumérées ainsi:
a) Protéger le domaine forestier national, évaluer les disponibilités de matières premières en bois et les coûts; promulguer la législation et créer ou renforcer des structures ou institutions administratives pour assurer l'aménagement et l'utilisation appropriés des ressources forestières.b) Créer de nouvelles ressources forestières ou les renouveler, dans les zones où les conditions sont favorables à la production à un faible coût du bois nécessaire à l'industrie. Trouver des solutions aux problèmes spéciaux des tropiques.
c) Encourager les investissements extérieurs ou accorder des prêts pour l'établissement d'industries forestières et relever la qualité des produits de façon qu'ils puissent soutenir la concurrence sur les marchés mondiaux.
d) Coordonner la collaboration entre les industries et les pays où pour être viable l'expansion exige une action plus vaste, comme dans certaines branches de la production de pâte et de papier, dans le secteur des expéditions et dans la promotion des marchés.
e) Dans le cas des pays développés, fournir des moyens de formation, d'assistance technique, des capitaux et connaissances aux secteurs forestiers des pays en voie de développement.
f) Surmonter les obstacles pour accroître le commerce des produits forestiers transformés et ensuite manufacturés, et obtenir l'accès aux marchés des bois tropicaux moins connus.
C'est aux gouvernements qu'il appartient d'établir des politiques en ces matières. Lors de sa quatorzième session, la Conférence de la FAO a approuvé l'orientation des efforts de la Division vers ces types d'action, en particulier au moyen de ses programmes sur le terrain. Elle a proposé que les futures activités du programme ordinaire soutiennent davantage tout l'effort de développement, l'accent étant mis sur les questions suivantes, groupées selon les cinq zones de concentration spéciale que le Directeur général a prévues pour 1970 et 1971:
a) Liaison entre la recherche fondamentale et la pratique sur le terrain.b) Services de graines forestières et banques de matériel génétique.
c) Aménagement de la faune.
d) Foresterie en zone aride.
e) Aménagement forestières. des bassins versants et influences
f) Prévention des incendies de forêts et lutte contre ces incendies.
g) Education et formation forestières.
h) Aménagement du territoire pour la foresterie.
i) Problèmes institutionnels et administratifs.
j) Programme mondial élargi pour le développement de la foresterie sous les tropiques.
k) Missions d'enquêtes sur les industries forestières et services pour la planification du développement.
l) Problèmes économiques et commercialisation.
Il sera donné effet à ces conclusions de la Conférence dans l'élaboration des programmes futurs de la FAO au cours des cinq prochaines années. Les perspectives actuelles des modifications relatives à l'organisation représentent en elles-mêmes un pas vers une plus grande liberté d'action pour l'intensification des activités forestières de la FAO, permettant à l'Organisation de s'attaquer avec plus d'efficacité aux problèmes à venir.
[Extrait du Document CL 51/6, paragraphes 15-23.]
Le Comité prend note des objectifs à long terme et à court terme de la Division des forêts et des industries forestières, de ses principales activités et méthodes de travail, qui ont fait l'objet d'un exposé exhaustif, il considère cependant que l'ordre de priorité des différentes activités aurait dû être indiqué plus clairement.
Le Comité observe que les éléments principaux du programme de travail de la Division pour les cinq prochaines années se rattachent aux cinq «champs d'action prioritaires» définis par le Directeur général, mais que les activités englobées dans les quatre premiers champs ne correspondent pas absolument aux priorités réelles de la Division. A son avis, de plus amples renseignements sur l'aspect production ou ressources auraient permis de dresser un tableau plus exact des activités effectives de la Division. Le Comité reconnaît que la foresterie joue un rôle éminent dans le développement économique, pour ce qui est surtout des pays en voie de croissance, et que les travaux de la Division touchant les industries forestières, l'économie des produits forestiers et leur commercialisation peuvent représenter une contribution essentielle à l'effort visant à l'augmentation des recettes en devises et des économies de devises, qui constitue le cinquième champ d'action prioritaire indiqué par le Directeur général.
Le Comité s'est demandé si la FAO ne pourrait pas accorder plus d'attention au boisement ainsi qu'aux programmes visant les forêts de ferme, qui permettraient d'accroître la production de bois de feu et faciliteraient la conservation du sol. Il a soulevé la question de la foresterie dans les zones arides ou semi-arides, et il a été informé que pendant une bonne partie des années cinquante, la FAO a fait dans ses travaux une grande place à la foresterie dans les zones arides. Par la suite, l'accent s'est déplacé vers les essences à croissance rapide et les forêts artificielles en général. Toutefois, plus de la moitié des 30 projets forestiers relevant du Programme alimentaire mondial et plusieurs projets exécutés au titre du PNUD (FS) concernaient le boisement des zones arides, la conservation du sol et les mesures propres à arrêter l'avance du désert. Le Comité est d'avis qu'il faudra à l'avenir consacrer plus d'attention à ces questions. Il reconnaît en outre la nécessité d'une aide renforcée pour la lutte contre les incendies de forêts
Le Comité a été informé que les commissions forestières régionales de la FAO jouent un rôle utile dans la coordination des politiques forestières et l'encouragement de la coopération au niveau régional. On peut citer en exemple la part importante prise par ces commissions à la préparation et à l'exécution du cycle d'études régionales sur les tendances du bois, ainsi qu'à l'établissement de centres régionaux comme l'Ecole des gardes forestiers pour le Proche-Orient (Lattaquié, Syrie) et l'Institut latino-américain de recherche forestière (Mérida, Venezuela). Enfin, le Comité observe que l'influence des commissions sur le plan des politiques est appelée à grandir, car les Etats Membres se rangent de plus en plus à l'idée d'une action régionale concertée.
Le Comité a également été informé que, pour s'acquitter de ce rôle, les commissions forestières devaient souvent établir des organes subsidiaires qui étudient les problèmes techniques et font rapport directement aux commissions. Il rappelle toutefois que la tendance à créer des groupes de travail permanents doit être combattue et que les travaux confiés à ces organes devraient, dans toute la mesure du possible, être effectués dans le cadre de réunions ad hoc ou par des groupes d'étude. Le Comité relève avec satisfaction que, durant les deux dernières années, 12 organes subsidiaires desservis par la Division des forêts et des industries forestières ont été supprimés et que trois autres font l'objet d'un examen tendant à préciser leurs objectifs et à simplifier leurs méthodes de travail. Son avis est qu'il faut poursuivre dans cette voie.
Le Comité note que la Division s'efforce actuellement d'élaborer des plans régionaux d'éducation et de formation forestières. Ces plans se fondent sur une estimation attentive des besoins en personnel forestier (cadres et techniciens) à tous les échelons du développement forestier dans une région donnée. Ces besoins sont mis en relation avec les moyens d'enseignement existant dans la région, afin de déterminer le sens de l'action à mener pour améliorer l'enseignement forestier et d'indiquer les priorités en matière d'aide multilatérale, eu égard à une stratégie globale bien définie. Le Comité reconnaît qu'il faut tirer parti des moyens disponibles dans les centres d'enseignement forestier qui existent dans la région. A ce propos, le Comité souligne qu'une importance spéciale doit être accordée à la formation au niveau technique, afin de s'assurer qu'elle est conforme aux possibilités et besoins immédiats des pays intéressés
Le Comité reconnaît que les activités de développement intéressant la faune sauvage, la récréation de plein air et les parcs nationaux doivent demeurer au nombre de celles que la Division encourage par priorité dans le cadre de son programme de travail compte tenu en particulier de leur importance pour le tourisme, lequel se révèle une source prometteuse de devises pour maints pays en voie de développement. Le Comité note également qu'une exploitation rationnelle des ressources de la faune par abattages contrôlés pourrait dans certains cas améliorer les disponibilités autrement insuffisantes d'aliments riches en protéines d'origine animale.
Le Comité se félicite vivement de la part prépondérante que prend la FAO dans l'essor de l'industrie forestière. Son expérience de la foresterie sous tous ses aspects est garante d'un développement judicieusement fondé sur l'intégration de toutes les disciplines forestières. Cette intégration, qui fait intervenir l'ensemble des ressources et des industries, est nécessaire pour réaliser un développement techniquement sain et économiquement viable. Le Comité recommande vivement de poursuivre sur cette base la coopération avec l'Organisation des Nations Unies pour le développement industriel (ONUDI). Il a été mis au courant du travail effectué par la FAO avec ses groupes consultatifs régionaux pour le développement des industries forestières ainsi que dans le cadre du Programme de coopération FAO/Industrie. Le Comité estime qu'une documentation plus complète sur la place des feuillus dans la fabrication de la pâte et du papier serait utile à de nombreux Etats Membres.
Le Comité note également que, dans sa manière de concevoir la foresterie, la Division fait une place au moins aussi grande aux êtres humains qu'aux arbres; si cette optique était plus fréquente dans la profession, cela faciliterait le recrutement et le placement d'un personnel forestier capable d'effectuer un travail fécond dans les pays en voie de développement. Il importe donc que la FAO encourage les forestiers à se montrer ouverts au progrès et à dresser des programmes techniquement valables et correspondant aux besoins généraux des pays dans l'ordre économique et social. C'est, a-t-on déclaré au Comité, ce que la Division s'efforce de faire à l'occasion des nombreux projets du PNUD (FS) qu'elle exécute. Certains membres du Comité estiment que le personnel de contrepartie dans les pays en voie de développement devrait être davantage associé à l'élaboration et à la réalisation de ces projets.
[Document CL 51/20 - Sup. 1.]
A l'issue de confrontations d'opinions et de discussions avec des représentants de la Division, le Comité a noté dans son rapport que, si ce document donne bien une description complète des activités de la Division, il aurait, à son avis, du mettre mieux en lumière la hiérarchie des priorités. En particulier, il aurait fallu étudier de façon plus approfondie le secteur forestier du point de vue de la production, ou en tant que ressource de façon à donner une image plus fidèle du travail effectif de la Division.
Les principales directions d'activité de la Division ont été regroupées suivant les cinq «domaines d'action prioritaires» énoncés par le Directeur général, afin de bien les mettre en évidence. Ces directions d'activité sont importantes par elles-mêmes et le présent supplément vise à préciser encore, pour éviter toute distorsion, l'ordre de priorité adopté par la Division.
Les objectifs proposés à la FAO en 1945 par la Conférence de Québec n'ont pas changé, mais la portée des activités de la FAO s'est élargie et leur rythme s'est accéléré. Les efforts de la Division sont actuellement orientés dans deux directions principales: a) faciliter une expansion viable de la foresterie et des industries forestières dans les pays en voie de développement pour les mettre en mesure de tirer parti des débouchés actuels ou potentiels pour les produits forestiers sur les marchés locaux et internationaux; b) aider tous les pays à valoriser et mettre à jour leur potentiel d'aménagement forestier compte tenu des nouveaux besoins des populations et des nouvelles tâches des organisations forestières locales.
Dans ce contexte, le programme de travail de la Division des forêts et des industries forestières est conçu en fonction de l'évolution des besoins des Etats Membres. Le centre de gravité des activités s'est déplacé graduellement selon la conjoncture. Actuellement, les activités prioritaires sont les suivantes.
PLAN INDICATIF MONDIAL POUR LE DÉVELOPPEMENT AGRICOLE
Le PIM est fondé sur un examen réaliste de la situation des ressources et de l'économie dans près de cent pays et territoires. La contribution actuelle et future du secteur forestier est étudiée dans le cadre du développement général de l'économie et de l'agriculture. Le potentiel de production forestière est analysé ainsi que les besoins quantitatifs et qualitatifs - d'inputs matériels indispensables pour atteindre les objectifs de production. On étudie les stimulants économiques et les réformes institutionnelles nécessaires à cet effet, de même que, cas par cas, les incidences des politiques et mesures proposées du point de vue des investissements et des effectifs de personnel qualifié. Des comptes du secteur forestier à l'échelon des pays sont en préparation.
A la base du PIM et de toutes les activités de la Division est le programme de rassemblement et d'analyse des statistiques nationales sur la qualité et la quantité des ressources forestières, les quantités enlevées, la production de produits forestiers, les courants d'échange de ces produits et maintes données connexes. Ce travail a permis notamment de réaliser un cycle d'études régionales sur l'évolution du secteur du bois, en coopération avec les commissions économiques régionales des Nations Unies, dont l'aboutissement est l'étude intitulée Le bois: évolution et perspectives mondiales. Cette publication a constitué le document de base du sixième Congrès forestier mondial, qui a eu lieu en Espagne en 1966. La Division poursuivra son travail d'analyse, essentiel pour la formulation des politiques. Il ne s'agit pas seulement de réunir les données, mais aussi de les mettre à jour et de les normaliser de façon à permettre des comparaisons internationales. Il est aussi nécessaire de collationner et d'indexer périodiquement la bibliographie pertinente, comme cela a été fait dans le volume récemment publié de l'Index Forêts 1945-1966.
EDUCATION ET FORMATION FORESTIÈRES
Pour exécuter avec succès les plans de développement forestier, il faut des cadres et des techniciens qualifiés. En matière d'éducation et de formation forestières, la FAO cherche à encourager tout effort nécessaire à l'échelon local pour permettre au secteur forestier de contribuer au développement économique d'ensemble. Outre le soutien qu'elle apporte à 17 projets du PNUD (FS) comprenant des activités en matière d'éducation et de formation forestières, la Division prépare des directives régionales pour l'expansion et la coordination des programmes d'éducation forestière dans les pays en voie de développement, sur la base d'une évaluation des besoins de chaque région en cadres et en techniciens à tous les niveaux du développement forestier. Ces besoins sont ensuite mis en regard des moyens existants dans la région pour l'enseignement, afin d'indiquer les initiatives à prendre en matière de développement et l'aide extérieure nécessaire, ainsi que les priorités à respecter pour maintenir ce développement dans le cadre d'une stratégie globale et bien définie. Aujourd'hui, les aspects qualitatifs sont devenus aussi importants que les aspects quantitatifs. Le progrès technique rapide, l'évolution des utilisations de la forêt, l'insistance plus marquée sur le développement et une plus nette conscience des coûts sont autant de facteurs nouveaux qui appellent un réexamen critique de la teneur de l'enseignement forestier aux différents niveaux.
PEUPLEMENTS ARTIFICIELS
La demande soutenue de grandes quantités de matières premières uniformes pour les industries forestières a souvent poussé à établir des peuplements artificiels loin des emplacements où l'on aurait normalement envisagé de les créer. A cet égard, le souci d'efficacité a inspiré diverses initiatives: étude de l'économie de la production de bois, création d'un centre de semences programme international d'introduction d'essences forestières, coopération avec l'Union internationale des instituts de recherches forestières (IUFRO) pour promouvoir la conservation du plasma germinatif dans les semences et le matériel de propagation végétative, et étude de l'emploi des engrais dans les boisements. En outre, la préparation d'un manuel sur la programmation des grands projets de boisement, recommandée par le récent Colloque mondial sur les peuplements artificiels, a été entreprise. En même temps, la Division poursuit d'autres tâches importantes: elle assure le contrôle des experts en matière de boisement et d'amélioration des arbres forestiers travaillant à 33 projets sur le terrain du PNUD (FS) et donne des directives techniques à 30 projets du Programme alimentaire mondial auxquels elle participe.
FAUNE ET LOISIRS EN FORÊT
Dans certains pays en voie de développement, une utilisation rationnelle des ressources de la faune par l'exploitation du gibier peut constituer un appoint précieux à l'approvisionnement insuffisant en aliments protéiques. Comme il a été noté lors de la très récente Conférence intergouvernementale d'experts sur les bases scientifiques de l'utilisation rationnelle et de la conservation des ressources de la biosphère (1968), la faune peut être utile à l'humanité de diverses façons: utilisation complémentaire ou principale des terres, source de protéines, cuir, fourrure, chasse touristique, tourisme de vision dans les parcs et les réserves. Dans certains pays en voie de développement, il existe une faune nombreuse et d'une grande beauté qui, en raison de son intérêt touristique, influe de façon appréciable sur les recettes en devises. Dans certains pays d'Afrique par exemple, le tourisme est la deuxième industrie nationale et sa place dans l'économie gagne en importance. La Division administre les activités de 27 experts sur le terrain participant à des missions du PNUD (AT) ainsi que huit projets du PNUD (FS). Ces experts s'occupent des inventaires de la faune et des parcs nationaux, de la construction de routes dans les parcs nationaux, de l'élaboration de lois et de politiques en matière d'aménagement des parcs nationaux, de programmes relatifs aux loisirs en plein air et au tourisme dans les parcs nationaux, de la formation des gardes-chasse et du personnel des parcs nationaux, ainsi que de recherche dans le domaine de la biologie de la faune. Un manuel des techniques d'aménagement de la faune est également en préparation, et la Division étudie, en collaboration avec l'Union internationale pour la conservation de la nature (UICN) et avec l'IUFRO, les rapports, entre l'aménagement forestier et l'utilisation de la forêt à des fins récréatives en vue de déterminer les besoins et le potentiel de développement en matière de récréation. Elle entreprend également une collaboration avec la Banque internationale pour la reconstruction et le développement (BIRD) en vue d'étudier des propositions précises d'investissement pour développer l'industrie des loisirs et du tourisme dans divers pays. Ces nouvelles activités reflètent le progrès constant de la notion d'utilisation polyvalente des terres adoptée par le cinquième Congrès forestier mondial en 1960.
EXPLOITATION FORESTIÈRE ET TRANSPORT
L'exploitation forestière et le transport du bois et des produits dérivés sont les deux étapes du processus de production qui ont, surtout dans les pays en voie de développement, une influence déterminante sur la fonction de l'offre et la compétitivité des produits du bois sur les marchés d'exportation. En raison de l'importance de ces opérations, des experts en matière d'exploitation forestière et de transport participent actuellement à 40 projets de développement du PNUD (FS). La Division administre leurs activités; en outre, elle coopère avec l'Organisation internationale du travail pour organiser des centres de formation régionaux sur les techniques d'abattage et de débardage, et par l'intermédiaire du Comité FAO/CEE/OIT des techniques de travail en forêt et de la formation des ouvriers forestiers pour réaliser des études sur la mécanisation et l'organisation des travaux forestiers. Elle travaille également à l'évaluation des moyens de production et des techniques utilisées dans l'exploitation forestière, ainsi que, en collaboration avec la Conférence des Nations Unies sur le commerce et le développement (CNUCED), à des études sur les problèmes que pose le transport par mer des produits du bois.
DÉVELOPPEMENT DES INDUSTRIES FORESTIÈRES (EN PARTICULIER DE LA PÂTE ET DU PAPIER)
On estime qu'en 1975 les besoins annuels de bois d'uvre et d'industrie seront de 450 millions de mètres cubes plus élevés qu'en 1961, ce qui représente un accroissement d'environ 43 pour cent. Une part croissante de ce bois sera absorbée par les industries de la pâte et des panneaux dérivés du bois, dont la consommation de matières premières pourrait au moins doubler d'ici 1975. S'il est probable que les trois quarts de cette augmentation de la consommation de bois d'uvre et d'industrie se situeront dans les pays développés, les pays en voie de développement possédant des ressources ou un potentiel forestiers appropriés n'en ont pas moins d'excellentes possibilités d'accroître leur production. Quarante experts participant à des projets du PNUD (AT) et (FS) travaillent à dresser les plans de nouvelles industries de la pâte et du papier et d'autres industries forestières et à en évaluer les perspectives et apportent une assistance technique aux industries existantes. Des préparatifs sont en cours pour une conférence régionale sur le développement des industries forestières et plus particulièrement des industries de la pâte et du papier, qui doit avoir lieu à Mexico en 1969. Une autre réunion d'importance mondiale sera le colloque mondial sur l'utilisation du bois dans le logement et la construction, mettant l'accent sur les logements à bon marché, qui est préparé en collaboration étroite avec le Centre des Nations Unies pour le logement, la construction et la planification. L'utilisation des essences secondaires et la conservation du bois seront parmi les principaux points à l'ordre du jour de cette réunion. Dans ses activités en matière de développement des industries forestières, la FAO est aidée par les conseils des Comités consultatifs de la pâte et du papier et des panneaux dérivés du bois. On continue à s'efforcer de mettre au point une collaboration efficace avec l'Organisation des Nations Unies pour le développement industriel (ONUDI). Dans le cadre du Programme de coopération FAO/Industrie, la FAO a pu canaliser l'aide d'industries privées vers les secteurs des pays en voie de développement qui en ont besoin et qui la demandent. Le nombre croissant de sociétés qui demandent des conseils et des renseignements sur les possibilités d'investir dans les pays en voie de développement atteste bien l'importance de cette activité. Au cours de l'année écoulée, plus de 100 sociétés ont posé des questions de ce genre, soit par correspondance, soit à l'occasion de visites de leurs représentants. La FAO joue un rôle sans cesse important de centre mondial de renseignements et d'orientation sur les possibilités de développement des industries forestières et de la foresterie.
DÉVELOPPEMENT DU COMMERCE
C'est surtout dans le domaine du commerce international que la FAO peut influer de façon évidente sur le secteur des forêts et des industries forestières. La demande de feuillus tropicaux dans les pays développés continue d'augmenter, de sorte que les pays en voie de développement ont de bonnes possibilités d'accroître leurs ventes de produits dérivés de ces bois. Leurs exportations de grumes sont passées de 109 millions de dollars en 1964 à 494 millions de dollars en 1966, et le solde positif net de la balance commerciale à ce titre s'est accru, passant de 74 à 364 millions de dollars. Les exportations de sciages, de contre-plaqués et d'autres panneaux dérivés du bois sont passées de 154 à 393 millions de dollars, et le solde négatif net de 39 millions de dollars a cédé la place à des exportations nettes de 127 millions de dollars, malgré une expansion considérable des importations. Pour aider les pays à développer leurs exportations et accroître leur valeur par une transformation industrielle plus poussée, la FAO a un rôle de premier plan à jouer: évaluation des ressources, rationalisation de la production et de la commercialisation. Malheureusement, l'amélioration de la balance commerciale relative aux grumes et au bois transformé a été en partie annulée par une détérioration de la balance des produits de la pâte et du papier, dont le solde importateur net est passé de 361 millions de dollars en 1959 à 646 millions en 1966. Cependant, proportionnellement, la situation relative des pays en voie de développement s'est améliorée: ils produisaient en 1966 près des trois quarts de leurs besoins de pâte et de papier, ce qui représente un progrès fort appréciable par rapport aux quelque 50 pour cent d'une dizaine d'années plus tôt. Dans les pays où une production de pâte et de papier est possible, il est essentiel que ces industries se développent sur la base d'une planification rationnelle prévoyant un approvisionnement et des marchés assurés dans des conditions économiques, ainsi qu'une dimension optimale des usines. Là, la FAO a eu et peut encore avoir une action très bénéfique. Son aide est aussi nécessaire pour évaluer l'influence des facteurs d'ordre institutionnel (tarifs douaniers, impôts, redevances, prix du bois sur pied et dispositions régissant le fret) sur le commerce.
Durant les cinq prochaines années, la Division des forêts et des industries forestières s'engagera à fond dans ces sept principales zones d'action contribuant ainsi grandement au progrès des recettes en devises et à la réduction du coût des importations dans les pays en voie de développement, ainsi qu'à la valorisation et à l'utilisation plus rationnelle des forêts tropicales du monde.
Conformément aux recommandations de la quatorzième session de la Conférence de la FAO et en déterminant les priorités en fonction de l'évolution des besoins des Etats Membres, la FAO continuera aussi à donner son assistance dans les domaines suivants:
a) Prévention des incendies de forêt et lutte contre ces incendies.b) Foresterie en zone aride.
c) Collaboration avec l'IUFRO pour resserrer les liens entre la recherche fondamentale et la pratique forestière.
d) Aménagement du territoire.
e) Amélioration de la conservation de l'eau et de l'alimentation en eau par un bon aménagement des forêts et des terres non cultivées.
f) Solution des problèmes d'ordre institutionnel et de gestion qui freinent la valorisation et l'utilisation des ressources forestières.
Les recettes ou économies de devises convertibles ou de crédits restent les principaux stimulants des investissements d'origine locale dans la foresterie. L'essor des industries et du commerce des produits forestiers peut donc manifestement beaucoup pour accélérer le progrès dans les pays en voie de développement. La FAO doit donc, et c'est là un de ses objectifs prioritaires, tirer parti de ces possibilités tout en restant disposée à aider les Etats Membres à résoudre les problèmes que suscitent les fonctions sociales et protectives de la forêt, elles aussi essentielles à une croissance soutenue.
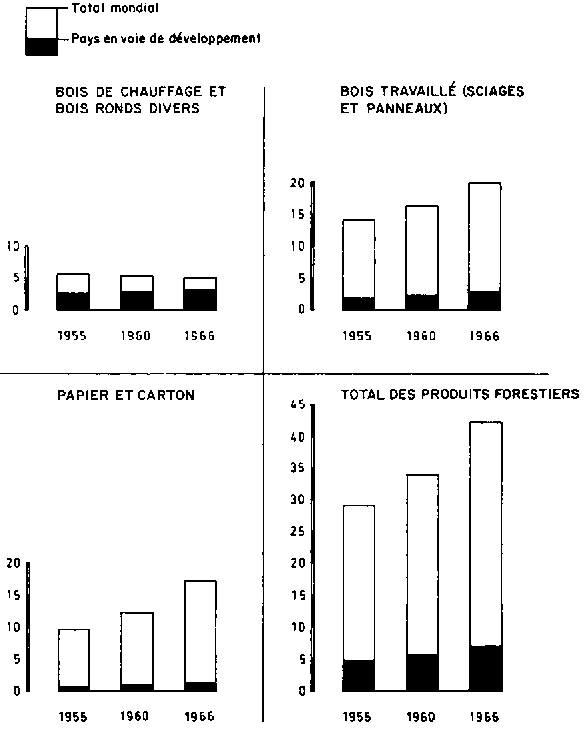
Les produits forestiers constituent un secteur en expansion. - Parmi les secteurs relevant de la FAO, celui des produits forestiers est l'un de ceux qui connaissent l'expansion la plus rapide. Tant dans les pays développés que dans les pays en voie de développement, la croissance de la demande de ces produits tend à être en corrélation étroite avec la croissance du revenu national. Les graphiques ci-dessous illustrent certains aspects de cette situation:
- CROISSANCE DE LA PRODUCTION FORESTIÈRE (Valeur en milliards de dollars des Etats-Unis aux prix de 1960)
- BALANCE COMMERCIALE DES PAS EN VOIE DE DÉVELOPPEMENT POUR LES PRODUITS FORESTIERS

[Extrait du Rapport provisoire de la 51e session du Conseil de la FAO, paragraphes 186-189.]
Le Conseil reconnaît l'importance des activités forestières dans la promotion économique des pays en voie de développement et estime que les travaux de la Division touchant les industries forestières, l'économie des produits forestiers et leur commercialisation peuvent représenter une contribution essentielle à l'effort visant à augmenter les recettes en devises et les économies de devises, qui constitue l'un des domaines prioritaires.
Il souligne qu'il faudrait aussi donner la priorité aux autres activités de la Division concernant le boisement (spécialement dans les zones arides), les forêts de ferme, la lutte contre les incendies de forêt, l'éducation et la formation, et l'influence de la forêt sur la conservation des ressources naturelles. Il reconnaît que les activités de la FAO visant à conserver les ressources génétiques forestières et à mettre au point des variétés d'arbres à haut rendement présentent une importance particulière pour l'avenir et méritent d'être soutenues par une action conjointe des institutions internationales. Le Conseil estime que ces activités ne devraient pas se limiter à la protection des ressources génétiques forestières qui existent actuellement mais déboucher sur la mise en valeur et l'exploitation de celles de ces ressources qui ont un rôle important à jouer dans l'avenir. Il reconnaît que le Département des forêts et celui de l'agriculture doivent coopérer étroitement dans ce secteur d'activité, ainsi que de l'aménagement des parcours et de la conservation des ressources naturelles.
Le Conseil prend note de l'état actuel des négociations en vue de la préparation du septième Congrès forestier mondial qui doit avoir lieu en 1972. Au 15 août 1968, date limite fixée par le Directeur général, quatre pays - l'Argentine, le Chili, la Grèce et l'U.R.S.S. - ont exprimé le souhait d'accueillir le Congrès sur leur territoire. Le Conseil prend note de la déclaration par laquelle l'observateur de l'Argentine, auquel les délégations du Brésil et de la Colombie ont manifesté leur appui, a confirmé l'invitation faite par son gouvernement à tenir le Congrès en Argentine.
Le Conseil observe à ce propos que les congrès forestiers mondiaux ne relèvent pas directement de la responsabilité de la FAO.
Etant donné qu'il souscrit dans l'ensemble aux recommandations du Directeur général et du Comité ad hoc sur l'organisation tendant à élever au rang de Département la Division des forêts et des industries forestières le Conseil suggère que le Directeur général se préoccupé particulièrement du soutien budgétaire accru dont le Département aura besoin pour développer encore ses activités.
L. J. V.