Yang Huazhu
Planning is the primary function of management on an integrated fish farm. Because the target product of the farm can only be realized through planning, all production activities must be performed under the guidance of the plan. Therefore, an integrated fish farm needs strict planning management to be economically efficient.
The Necessity of Planning Management
A management plan is determined by the specific features of an integrated fish farm. An integrated fish farm is multitrade production complex. The proportional development of all trades has to be realized through planning management.
An integrated fish farm is a cell of the national economy. The products of the farm are essential to the people, and the farm expends a considerable amount of natural resources. Therefore, integrated fish farming is closely related to the national economic plan, making a proper management plan important.
Strong planning management is essential to raise the managerial level of a fish farm. Only when various managerial tasks are strictly performed to comply with the plan will the production target of the farm be fulfilled. Planning management is the most important aspect of managerial work. Raising the level of planning management raises the level of other management duties.
The Objectives
Planning management
There are three main objectives of planning management. First, the plan of the farm must mesh with the national plan and the market. Second, all production activities on the farm must be comprehensively balanced. This comprehensive balance is very important. There is a series of proportional relationships between trades, links within a certain trade, managerial departments, and the farm and the outside. The planning management of a fish farm must comprehensively balance ll these proportions using quantitative economics to achieve an optimal combination. The main components of such a combination are balanced between the following aspects of integrated fish farming:
production and marketing;
fingerling production and the relevant fish-livestock-poultry production;
supply and demand of fish feeds and manures;
supply and demand of fishery instruments and their installation;
supply and demand of labour; and
financial revenues and expenditures.
Such a balance is not permanent, it requires much adjustment and fine tuning over time. Third, planning management aims at an overall optimal efficiency. This overall optimal efficiency includes quantitative and qualitative efficiency. However, economic efficiency is most important on an integrated fish farm.
The Planning System of Management
Long-term planning
A long-term development plan usually covers 3, 5 or 10 years and includes orientation, scale of development, main targets, and important measures. It is designed with the guidance of economic policy information and long-term market forecasts. Its content depends on production techniques, environmental conditions, managerial authority, and other social factors. The following areas may be covered by a long-term plan:
Orientation of agricultural-produce development: i.e., development of new varieties and different of produce, sizes improvement of quality, increased quantity, improved cooperation, etc.
Speed and the scale of production: i.e., exploitation of natural resources, increased productive capability, increased number of trades, increased or decreased real estate and its renovation, changes in the labour force, etc.
State of the art: i.e., development trends in aquaculture, animal husbandry and agriculture, and their comprehensive utilization techniques; the extension of new species, new technology and new techniques; research work, etc.
Principal technical economic indicators: i.e., production value, cost, profit, labour productivity, weight gain of animal, food-conversion factor, food-conversion rate, and their variations.
Improvement of fish farm management: i.e., improved coordination between trades, rationalization of management organization, improved managerial methods, etc.
Increased employment and improved labour management: i.e., improved labour skill, coordination of the labour force, security measures, wages, social welfare, etc.

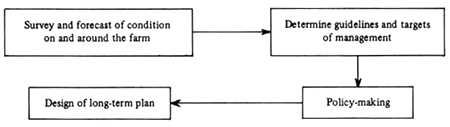
Fig. 8.1 Design of long-term plan.
Design and adjustment — A typical design procedure is outlined in Fig. 8.1.
The long-term plan should be modified as necessary during its execution. Because of its length, the complexity of integrated fish farming, and natural factors, changing conditions may force adjustments in the management plan (Fig. 8.2).
Yearly planning
The yearly plan of an integrated fish farm defines the essential tasks involved in all the production activities of the farm. It is the basis for adjusting the long-term plan and is also the basis of the stage plan. The yearly plan is the core of the planning system.
Sale plan: includes species of fish, livestock, and poultry, their quantities and sizes, the time of marketing, and the income from sales. This plan, including the commodity rate, should be designed by the sales department.
Production plan: the main point of a yearly plan depends on the sale plan. It defines the species to be produced, the sizes, output, the output value, and the time of marketing. The indicators of productive capability and coordination of trades are the basis on which the other plans are designed. The aquaculture production plan is the core of the overall, yearly plan and should be designed by the technical department.
Wage plan: defines the labour quota during the term of the plan, the productivity of all personnel, the labour size, the total allocation, and the social welfare funds. It should be designed by the payroll department on the basis of the production plan.
Material supply plan: includes the requirements, storage, and supply of all necessities, (seeds, fry, young animals, manure, feed, drugs, diesel oil, electric power, instruments and installations, etc.). It should be designed by the material supply department on the basis of the production plan.
Cost plan: defines all the costs of production and sales, the planned unit cost of each product, as well as the cost and inflation index of comparable products. It should be designed by the financial department.
Financial plan: reflects the trends and the results of all the production activities on a farm in monetary terms. This plan includes the depreciation of real estate, current capital, revenues, and profits and should be designed by the financial department.
Technical measure plan: includes new products, new techniques, scientific experimentation, maintenance and renovation of real estate etc. Besides their effects, the date of accomplishment, the person in charge, and the source of funds are also defined. This plan should be designed by the technical production department.

Fig. 8.2 Adjustment of long-term plan.
Design of the yearly plan — There are three stages in designing a yearly plan. First, there is the preparatory stage. The purpose of the preparatory work is to understand and analyze national policy and the yearly target of the long-term plan; to survey and analyze environmental conditions and natural resources; to survey and forecast market supply and demand relations; to analyze the results of the previous year's management; and to summarize these experiences and make a decision on feasible quotas. Second there is the design stage; there are three steps in this stage. First, on the basis of data analysis, the yearly production targets can be set: the sales target, and the targets of the production, labour, materials, costs, and finance. These targets are then sent to the department concerned and for feedback. Second, after analyzing this feedback, the draft plans of the departments are technically verified to determine the optimal plan. Third, after target balancing, the draft plan of the whole farm is formulated by the production department through comprehensive balance, modification, and adjustment. The last stage in designing a yearly plan is obtaining authorization for the plan.
Execution of the yearly plan — Targets should be distributed to the concerned units on a contract basis. At present, a production responsibility system is used, i.e., the farm enters into a contract with each farmer and worker as regards output, species, sizes, cost, profits, labour, wages, and tools.
Control of the yearly plan — The execution of the plan must be monitored. To examine and adjust the plans, a feedback system should be set up. Each production team of each trade must have someone responsible for keeping statistics and serving as a part-time accountant. Any feedback should immediately be reported to farm headquarters so that the plan can be modified or adjusted.
Stage plan
The yearly plan is based on several stage plans, which are developed on a seasonal, monthly, or weekly basis (Fig. 8.3). The production activities of an integrated fish farm are closely related to natural conditions. Therefore, the stage plan should be designed to ensure the accomplishment of the yearly plan.
Planning models of an integrated fish farm can be defined as a series of simplified formulas of basic relation between production managerial activities. The models are based on relationships between trades and a successful plan is dependent on accurate data. Because of the complexity of integrated fish farming, however (Fig. 8.4), some parameters have not been fully analyzed and some data may be inaccurate; the proportional relationship mentioned in this chapter should be adjusted during the execution a fishery programme.

Fig. 8.3. The principal activities of integrated fish farming in The Taihu Lake Basin. (*, broilers only)

Fig. 8.4. Model block diagram of an integrated fish farming plan.
Fish Yields and Stocking Amounts
The grass yield of a grow-out pond can be calculated as follows:
![]() | [8.1] |
Where Ni is the stocking quantity of each species at different sizes in polyculture (individuals per mu), Si is the weight of each species at different sizes (kilograms per individual), Ti is the multiple of gross weight gain of each species at different sizes, Ri is the survival rate of each species, and Si is the size of each species harvested. Also,
![]() | [8.2] |
Where S' is the target size of a certain species at transference, N is the stocking quantity (individuals per mu), and R is the survival rate (per cent).
The stocking quantity of a certain species (individuals) can be estimated:
![]() | [8.3] |
Where S is the stocking size (kilograms per individuals) and T is the multiple of weight gain. From equation 8.1, the fingerlings size can be calculated:
![]() | [8.4] |
![]() | [8.5] |
These formulae can be applied to yearling and 2-year-old fingerling ponds. To make a stocking plan or forecast yields, farmers should understand not only the relationships between items but also the interlocking part of different size in different stages and the general survival rate and the weight gain of fish in different sizes.
Example 1
A fish farm has 100 mu of grow-out ponds. Polyculture of various species of different sizes is practiced. The target gross yields, sizes of grass carp and silver carp, and survival rates of grass carp and silver carp are listed in Table 8.1. What are the required stocking quantities and sizes of grass carp and silver carp fingerlings?
Table 8.1 Target yields, harvest sizes, and survival rates of grass carp and silver carp.
| Species | Size (kg/fish) | Gross yield (kg) | Survival rate (%) | Multiple ofgross weight gain |
| Grass carp | 1.5 | 60 | 85 | 4 |
| 0.4 | 40 | 80 | 12 | |
| Silver carp | 0.6 | 60 | 95 | 3.5a |
| 0.5 | 45 | 90 | 5 |
Solution — From equation 8.4, the total number of grass carp and silver carp can be calculated. From equation 8.5, the stocking size can be calculated. The results are shown in Table 8.2.
Table 8.2 Stocking data for grass carp and silver carp.
| Species | Sizes (kg/fish) | Quantity (fish/mu) | Weight (kg/mu) | Total amount of fish | |
| fish/100 mu | kg/100 mu | ||||
| Grass carp | 0.320 | 47 | 15.04 | 4,706 | 1,504 |
| 0.027 | 125 | 3.38 | 12,500 | 338 | |
| Silver carp | 0.163 | 105 | 17.12 | 105,000 | 1,712 |
| 0.090 | 100 | 9.00 | 100,000 | 900 | |
Yearling and summerling sizes can also be calculated using this method, the values in Table 8.2, and assuming a survival rate of 80 per cent and multiple gross weight gains of 10 and 45, respectively. There should be 5883 yearlings (4706/80), the size of each being 0.026 kg [(1504/10)/5883]. Likewise, there should be 15,625 summerlings (12,500/80), the size of each being 0.5 g [(338/15,625].
To calculate the required quantity of fry, the following equation is used:
![]() | [8.6] |
Where N' is the number of summerlings (1 unit = 10,000) and R is the survival rate of summerlings from fry.
To calculate the required number of fertilized eggs;
![]() | [8.7] |
Where N' is the planned number of fry (1 unit = 10,000) and R is the hatching rate. If the target spawning quantity is required, N' should be changed to the planned fertilized quantity and R should be changed to the fertilization rate.
To calculate the target body weight of female brooders (W, kilograms),
![]() | [8.8] |
Where N is the target spawning quantity and n is the average spawning quantity per kilogram of female brooder.
Pond Areas
The pond areas required for each stage from summerlings to grow out are calculated as follows: (target gross yields of polyculture)/(per unit gross yield of polyculture). From summerlings to yearlings, the value is calculated on the basis of individuals. Fry nurturing requires no special ponds. The brooder-rearing pond area is calculated by dividing the total weight of the brooders by the stocking amount per mu.
Fish feeds
In most cases, fish ponds in China are given whatever feeds are available. Calculating proper amounts in such a situation is complicated and inconvenient to proper scientific management. In practice, one common feeds with a stable source serves as a standard: e.g., barley in southern Jiangsu Province; pelleted feeds in other areas. For green fodder, aquatic grass serves as the standard. Then, on the basis of feed sources available and the need for cultivated species, the feed amount should be converted into the actual amount of feed according to the equivalent ratio between the actual feed and the standard feed.
Example 2
A farm expects 1000 t barley. The supply department can only provide 50 per cent of this; the balance is to consist of 20 per cent bean cake, 20 per cent bran, and 10 per cent pellets. What is the exact quantity of each substitute needed?
Solution — According to the available information, the equivalent ratio between barley and the substitutes is 3/4 for bean cake, 2/1 for brans, ½ for pellets.
Therefore,
| the quantity of bean cake is 150 t | (1000 × 20 per cent ×3/4), |
| the quantity of bran is 400 t | (1000 × 20 per cent × 2), and |
| the quantity of pellets is 50 t | (1000 × 10 per cent ×½). |
Fine feed requirement
The total requirement for fine feed is the total amount of fine feed needed at each stage except hatching.
![]() | [8.9] |
Where Yi is the target net yield of each species at a certain stage, Ci is the food-conversion factor of a standard feed given to each species of herbivorous fish and grain feeder and R is the utilization rate of the feed (per cent). When the fine feed requirement in fry-nurturing stage is to be solved, Y and C will represent the number of fry (1 unit — 10,000) and feed given to 10,000 summerlings, respectively. If the fine feed is mixed with green fodder, the method used in example 2 is used to calculate the quantity of green fodder.
Example 3
A farm expects to gain 2000 kg of black carp, 6000 kg of herbivorous fish, and 2000 kg of common carp and crucian carp. If barley is used as the standard feed, how much is required? If only 50 per cent of the required barley can be provided, how much ryegrass and Sudan grass is required to compensate for the shortage:
Solution — The food-conversion factors of barley in rearing the above-mentioned species are 4, 3, and 3.5 respectively. Therefore, the total requirement of barley is 33,000 kg [(2000 × 4) + (6000 × 3) + (2000 × 3.5)]. If the annual output of ryegrass and Sudan grass was averaged out, the food-conversion factor for herbivorous fish is about 30 and the equivalent ratio is about 10. Therefore, the grass requirement to compensate for 50 per cent of the barley is 165,000 kg (33,000 × 50 per cent × 10).
Green fodder requirement
![]() | [8.10] |
Where Y is the target net yield of the herbivorous fish at a certain stage, C is the food-conversion factor of a standard green fodder, and R is the utilization rate of this fodder; R can be omitted in production. When there is a shortage of green fodder, fine feeds are used as supplementary feeds. The deficient number should be converted into the number of fine feeds according to its equivalency ratio. For example, 1000 kg of Sudan grass is equivalent to 100 kg of barley. If it is used for the herbivorous fish, therefore, its equivalency ratio is 10.
Manure for fish culture
The total requirement for manure is the total amount of manure required at different stages. If applied manures come from different sources, a common manure from a stable source can serve as a calculation standard. The amount can be worked out according to its equivalency ratio. The target amount of manures at a certain stage (M) is
| M = (Yi - nY2)C | [8.11] |
Where Yi is the target net yield of filter-feeding fish, Yi is the target gross yield of grain-feeding and herbivorous fish, C is the manure-conversion factor of a certain kind of manure to fish flesh, and n is the rate of net yields of the filter-feeding fish, which feed on the plankton propagated out of the excreta of herbivorous and growth-feeding fish. The rate of application varies with species, feeds, and ecological factors; generally, it ranges from 0.2 to 0.6. Factor C results from the synergism of other ecological factors and can be very specific farm. Pure livestock feces are taken as a manure standard. Livestock urine should be converted into feces using an equivalency ratio.
Example 4
A farm is expected to produce 15,000 kg of herbivorous and filter-feeding fish from its grow-out ponds. Terrestrial grass is used to feed the herbivorous fish and livestock manure is used to fertilize the pond water. There is only about 100,000 kg of pure pig excreta; how much cow dung is needed to fulfill the farm's expectations?
Solution — the conversion factors of pig excreta and cow dung are 25 and 40, respectively. Assuming 50 per cent of the filter-feeding fish can be raised on plankton propagated by the excreta of herbivorous fish, the required amount of pig excreta is 187,500 kg (15,000-0.5 × 15,000) × 25. Therefore, the required amount of cow dung is 140,000 kg (87,500 × 40/25).
Crop Production Area
The area of grass fields can be calculated according to the method mentioned in Chapter 7 (Integrated Management of Fish and Crop Farming). The planting area of grass is often calculated because the economic returns of grain crops or green manure fodder are poorer than grasses for fish farming.
Number of Animals and the Size of the Animal Shed
After the total manure requirement is calculated, the requirements for different kinds of manures can be calculated according to local conditions and, therefore, the number of different animals can also be determined.
The number of a certain animal raised in its production period is calculated using the following equation:
![]() | [8.12] |
Where M is the requirement of a certain animal manure (kilograms), m is the amount of excreta of one animal in one production period (urine should be converted into the equivalent amount of feces), and c is the periods of animal raising in 1 year (the time can be overlapped).
To determine the construction area of animal houses, use the following equation:
![]() | [8.13] |
Where N is the total number of a certain animal raised in 1 year, C is the raising periods (not overlapping) of a certain animal in 1 year (e.g., fattening take 5–6 months; therefore, there will be two periods in 1 year), and s is the average construction area for one animal. If the quantity of livestock is different in each raising period, use equation 8.13 with the following definitions: Where N is the total amount of livestock and poultry raised in 1 year; C is the number of production periods (not overlapped); s is the average area of construction that each batch of livestock or poultry occupies. If the number of batches in different periods is uneven, the formula can be simplified as S = Ns, where N is the maximum number of batches.
Methods of Material Collection
Surveying method
In terms of scope, an investigation can be divided into general surveying, sampling, and typical surveying. In terms of form, a study may use either live coverage or a questionnaire. An investigation using various methods can get better results; nevertheless, general surveying combined with typical surveying is commonly practiced. Before the investigation, the purpose, contents, and objectives should be fixed; the design of the investigation should be developed precisely; and the outline of the investigation should be drawn up. An extensive survey can then be conducted.
Experimental method
Because of the limitations of investigation by survey, results should be verified by trial and error. On-site experimentation should be conducted before any new decision on technical measurements is adopted. To correctly appraise the situation, it is necessary to get technical and economic data that is as complete and accurate as possible.
Data analysis and processing
There are several methods of data analysis: comparative analysis, cut and try, marginal analysis, regressional analysis, linear analysis. After the appraisal (Fig. 8.5) the best plan can be selected in line with the local conditions and enterprise capabilities by using an overall, systematic analysis.

Fig. 8.5. Appraisal of the economic return of integrated fish farming techniques.
The Main Indicators of Economic Return
The indicators of economic return of integrated fish farming techniques are a measurement of farming management. Because of the complexity of integrated fish farming, any individual indicator cannot represent all farming activities. Therefore, a series of indicators must be used for analysis. The common indicators used in both research and actual production are described here.
Production indicators
Production indicators mainly reflect the productivity and the level of technical and economic management. The production indicator is also the yield indicator. On an integrated fish farm, however, there is a wide variety of produce and these products cannot simply be added together; basic production must be converted to protein production or energy output before the different productions can be totaled.
There are two kinds of production: total production and per unit yield. Total production refers to the amount of one kind of product (fish, milk, eggs, etc.) produced in 1 year. The per unit area of volume yield refers to fish and crop yields in one unit of land area or water surface area, or water body volume; the yields of husbandry and poultry, however, are based upon the number of heads. The formulae are as follows:




The per unit area yield indicates animal production capabilities and, other factors remain unchanged, the higher the per unit area yield, the better the economic return. For the per unit area fish yield, the method of calculation varies widely from place to place. In general, the average per unit area yield is calculated as follows: the total yield is divided by the total pond area including fingerling-rearing ponds, or the yields of the grow-out pond and the fingerling pond are worked out separately for comparison. The total pond area excludes the area accepted by the pond dyke. In China, pond fish culture usually employs a polyculture system. Different techniques are practiced in different stocking models producing different species yields and, thus, different economic benefits. In an economic appraisal, therefore, it is necessary to calculate the per unit area yield of each species.
Production indicators also include commodity indicators: i.e., products entering circulation. The commodity percentage of the total yield is called the commodity rate. These two indicators represent the contributions (social efficiency or benefit) made by the labourers on an integrated fish farm.
Total yield or per unit area yield can also be divided into gross and net yield. The gross yield includes the input weight of fry or young animals and the net yield does not. Therefore, net yield indicators can accurately represent the production level.
Output value and income indicators
There are two kinds of output values: total output value of the farm and that of any specific trade. The former is the total product value of all trade. The latter is the total value of each trade such as aquaculture or livestock output. The total output value reflects the final results of farm management. The output value of a certain product equals the yield multiplied by its price. There are two kinds of prices that are used to calculate the output value: current price and fixed 1980 price, which often serves as a standard for the appraisal of economic returns on integrated fish farms.
Total income indicates the revenues that can offset expenditures and wages. Total income is different from total output value because the latter includes the weight gain of both fingerlings and young animals that are unsold, total income includes only sold products. Total output value excludes nonproductive income; total income includes the interest and rent of nonproductive income, etc. Total output value is evaluated using comparative prices; total income is calculated using actual prices.
To obtain the per unit area or per unit animal output value and income, the total output value and revenues of aquaculture, crop, and animal husbandry are divided by the stocking area, cultivated area, and the quantity of reared animals, respectively. If other factors remain unchanged, the higher these indicators, the greater the economic return.
Cost indicator
The production cost indicator of integrated fish farming is the sum of embodied labour and actual labour, i.e., the sum of total production expenses and wages: it is a synthetic indicator of labour consumption. There are two kinds of production costs: the total cost of the farm and the total cost of each trade. The total cost of aquaculture includes the costs of fingerlings and fish feed. The cost indicators are calculated according to the following formulae:



Per unit area, per unit product, and per unit output value cost accurately reflect farming consumption. They are important indicators in appraising the economic return of integrated fish farming: the lower the cost, the greater the economic return.
Net output value and net income indicators
The recently created net output value refers to the total output value minus all operating costs. Production results can be clearly shown from this indicator. The net output value is calculated according to a constant price.
Net income is the total initial revenue minus total production costs. For state-owned fish farms, this calculation includes taxes and profits. For collective or individual farms, the operating cost excludes labour payments; therefore, it is actually an incomplete cost. Thus, net income includes taxes and gross profits, which contain the accumulation, welfare, and bonus funds. Owing to the big difference between the collective farm and the individual farm, net income can be calculated according to the same standard or can be compared directly with gross profit.
The net output value and net income indicators are operating results that accurately reflect economic benefit. The following three indicators are often adopted to appraise the net output value and net income:



In the equation for “net output value of cost,” if the numerator and the denominator refer to the output value and production cost of the farm, a trade, or a product, respectively, the percentage shows the net output value rate of cost. If the numerator refers to the profit, the percentage will show the profit rate of cost. The three indicators defined above are important factors in appraising farm activities and accurately reflect farming consumption, production, and utilization of natural resources. The higher the value of these indicators, the better the economic benefit.
Labour productivity
Labour productivity refers to the produce and output value created by “living labour”. The formula is as follows:

There are four indicators commonly used for comparison between living labour consumption and farming achievements: net output value created by each laborer, net income created by each laborer, profit made by each laborer, and commercial produce contributed by each laborer per annum.

This formula can be applied to a farm, a certain trade, or a certain product. On a state-owned farm, the workforce is quite stable; on the collective or individual farms, there is a great variation in the workforce. In an actual appraisal, 300 work-days are generally considered as 1 workyear. This accurately reflects the new contribution to society by each laborer, excluding the effects of embodied labour on labour productivity. The higher the value of this indicator, the better the economic benefit.


Net income created by each laborer and profit made by each laborer have the same functions as the net output value created by each laborer in the economic appraisal.

As outlined earlier, an integrated fish farm produces a variety of products, but they can't be simply added together to give total production. To analyze the indicators of the whole farm, the measurement form should be uniform, e.g., protein production. This indicator reflects the social contribution of the labourers.
Investment analysis
Two indicators are commonly used for investment analysis: return on investment and coefficient of return on investment.

If the investment is used to enlarge the scale of production or to renovate old facilities, the average profit per annum should be changed to the increment of average profit.
The coefficient of return on investment, which is the reciprocal of the first indicator above, reflects the economic return per unit investment in a quota recovery period. The shorter the recovery period, the higher the coefficient, the better the economic return.
Technical analysis indicators



From gross yields and net yields, gross and net weight increment can be calculated.

These three technical indicators reflect the growth rate of fish, livestock, and fowl under different technical measures.


Food efficiency is also called food-conversion rate.

The manure-conversion factor is a new concept developed directly from integrated fish farming. This indicator varies with manure quantity, ecological conditions and technical management. Food-conversion factor, food efficiency, and manure-conversion factor all represent the relationships between the input of feed and fertilizer and the output of fish, livestock and fowl.

The energy-utilization rate represents the relationship between inputs (feed, fertilizer) and outputs (fish, livestock, fowl) and is used in appraising the economic returns of integrated fish farming techniques.
Feed equivalent ratio
The refers to the ratio between the food-conversion factors of new feeds or substitutes and that of the standard feed. It indicates the effects of comprehensive utilization.