Avílio A. Franco
Sérgio M. de Faria
Valéria C.G. Moreira
Eliane M.S. Monteiro
ma-embrapa-uapnpbs, Seropédica, Rio de Janeiro
Introduction
The genus Prosopis occurs predominantly in tropical environments (Norris, 1958) and, according to Allen and Allen (1981), 84% of its species nodulate. Of the 45 species of Prosopis described by Allen and Allen (1981), 12 showed nodules, the efficiency of which varies among the species and among varieties within a species (Felker and Clark, 1980). Subba Rao et al. (1982) reported that a strain isolated from P. juliflora nodulated peanut plants and classified the Rhizobium nodulating P. juliflora as belonging to the cowpea group; the same occurred for Rhizobium isolated from 5 species of the genera Acacia and Albizzia (Basak and Goyal, 1975).
P. juliflora nodules have apical meristema, with indeterminate growth, thus withstanding harsher stress conditions provoked by temperature, drought and salinity, than species with globous nodules (Felker et al., 1981; Felker and Clark, 1982), restarting growth once the adverse conditions disappear, without needing to produce new nodules.
Despite all the enthusiasm generated by P. juliflora introduction into the Brazilian Northeast in the early 1940's, no attention was granted to its nodulation and atmospheric nitrogen fixation capabilities. Leite and Vasconcelos (1981) observed P. juliflora nodulation in soils from the sertão but not from the Ceará mountains, and they did not characterize the efficiency of these nodules. Being P. juliflora an introduced species adapted to soils with low micriobiological activity in its upper stratum, it restricts the proliferation of indigenous Rhizobium. Planting of seedlings nodulated with efficient Rhizobium strains is, therefore, very important.
This paper presents the findings produced by trials aimed at testing the effect of cross inoculation of Rhizobium spp. from different groups in P. juliflora, selecting the Rhizobium strains that are efficient for this species, and at testing increasing doses of rock phosphate as a source of phosphorus for P. juliflora seedlings.
Material and Methods
Cross Inoculation of Rhizobium from Different Groups in P. juliflora
The experiment was established in a greenhouse with temperature ranging from 25° C to 30° C, using randomized blocks with 3 replications, in “Leonard” flasks (Vincent, 1970) with a sterilized 2:1 sand-vermiculite mix. Norris (1958) nutritive solution, as modified by Guzmán and Döbereiner (1969), was used. Five seeds were placed per flask, which, after germination, were thinned out to two per flask. Inoculation was performed at the moment of sowing, the bacteria growing in medium 79 (Fred and Waksman, 1928). All treatments received 10 mg of N as nh3no3 during the first week after germination. During the second week, 20 mg N/seedling were applied. A control without nitrogen fertilization and with no Rhizobium inoculation was used. Collection was carried out when the seedlings were 60 days old, ascertaining nodule amount and dry weight, nitrogenase activity by acetylene reduction, dry matter and total N for aerial portion.
Selection of Rhizobium spp. Strains in Sterilized Flasks
A randomized block trial in “Leonard” flasks (Vincent, 1970) was performed, with 3 replications, using the following strains of Rhizobium sp.: Br 4001 = Prj Al, Br 4002 = Prj B4, Br 4003 = Prj E4 from NifTAL, Hawaii; Br 4004, from embrapa-snlcs; Br 4005 = Pj 5 and Br 4010 = Pj 4, from the Universidade Federal Rural de Pernambuco, Recife (ufrpe); Br 4006 = ufc 932.52, Br 4007 = ufc 933.52, Br 4008 = ufc 934.52 and Br 4009 = ufc 935.52, from denae-Fortaleza, Ceará. A non-inoculated control and a nitrogenated control receiving 30 mg of N as nh4NO3 weekly were also used. Substratum was a 2:1 sand-vermiculite mix, and a Norris (1958) nutritive solution was used modified by doubling the iron dosage and halving that of calcium.
The P. juliflora seeds, from cpatsa-embrapa, Petrolina, Pernambuco, were scarified in concentrated sulphuric acid for 3 minutes, sterilized superficially with HgCl2, washed 5 times in sterilized water and sown at a rate of 5 per flask, thinning out later to two seedlings per flask. Two months after trial establishment, the seedlings were collected and nodulation and nitrogenase activity were evaluated with the acetylene reduction technique, nodule amount and dry weight, and dry matter from the aerial portion of the seedling.
Selection of Rhizobium spp. Strains in Containers with Soil
The trial was established in polyethylene containers with 3 kg of red-yellow podzol, with the following chemical characteristics: pH 5.5; Al 0.0 meq/100 ml; Ca 1.7 meq/100 ml; Mg 0.7 meq/100 ml; P 4 ppm; K 0.14 meq/100 ml; Na 0.02 meq/100 ml. The soil was fertilized prior to sowing, applying the following compounds per kg of soil: 40 mg of P; 50 mg of K; KH2PO4; 150 mg of MgSO4.7H2O; 15.5 mg of CuSO4.5H2O; 8.9 mg of ZnSO4.7H2O; 0.3 mg of H3BO3; 0.5 mg of NaMoO4.2H2O; 20 mg of FeSO4.7H2O and 0.5 mg of MnSO4.H2O.
The layout used was randomized blocks with three replications and the following treatments: inoculation with the Rhizobium strains Br 4002 (=Prj 4), Br 4005 (=ufrpe Pj 5), Br 4006 (=ufc 932.52) and Br 4007 (=ufc 933.52), one non-inoculated control and a nitrogenated control receiving 0.5 mg N/container per week with a total of 150 mg N/container. The P. juliflora seeds were scarified with sand paper prior to planting, thinning later to two seedlings per container. The seedlings were collected after 60 days, determining nitrogenase activity through acetylene reduction, nodule number and dry weight, and dry weight of aerial portion.
Production of Nodulated Seedlings in Containers with Rock Phosphate
The experimental layout used was randomized blocks with four replications. The treatments included doses of phosphate from Patos de Minas (with 24% P2O5 total and 4.5% P2O5 soluble in H2O). The doses were 5%; 12.5%; 25%, and 50% (v/v) of fine air-dried earth mix for a volume of 500 ml. The control with soluble phosphate received 17 ppm P as simple superphosphate. The fine earth came from hydromorphic “Gray” soil, Ecology series, sandy texture (75% sand), with the following chemical characteristics: pH 5.3; Al++ 0.0 meq/100 ml; Ca++ + mg 0.8 meq/100 ml; K+ 0.18 meq/ml; Na 0.04 meq/100 ml and P, 3 ppm.
The seeds came from embrapa-cpatsa, Petrolina, Pernambuco, and were scarified for 30 minutes with water at 90° C and inoculated with a mix of four Rhizobium sp. strains: Br 4001; Br 4002; Br 4006 and Br 4007.
The seedlings were raised in a field with 50% shading and were collected 60 days after germination. Height, total dry weight were measured and total phosphorus ascertained by nitricperchloric digestion and determination by colorimetry.
Results and Discussion
A different scarification method was used in each of the three experiments: sandpaper, sulphuric acid and 3 minutes in water at 90° C; all three gave satisfactory germination rates.
P. juliflora turned out to be very specific, nodulating efficiently only with strains isolated from P. juliflora, Acacia senegal and Laucaena leucocephala (Table 1). Nodulation also occurred with strains isolated from Anadenanthera peregrina and Mimosa caesalpinidefolia, but no nitrogen fixation was produced. The strains isolated from Phaseolus vulgaris (co-5), Glycine max (br-29), and Vigna unguiculata (cb-756) nodulated only in one replication, indicating that contamination had occurred and that those strains were not capable of nodulating P. juliflora. These findings show the difficulty of classifying the Rhizobium of P. juliflora as belonging to the cowpea group (Subba Rao et al., 1982). In a study of cross-inoculation data from more than 14,000 trials, Liebermann et al. (1985) observed 18 Rhizobium groups with 70% similarity. The similarity between Rhizobium of genus Vigna and of Prosopis was only 65%, significantly different from each other. The specificity of Prosopis stresses the need of producing seedlings inoculated with efficient strains.
TABLE 1
Nodulation and Nitrogen Fixation in P. juliflora Inoculated with Rhizobium spp. Isolated from Various Legumes
| Rhizobium strains | Isolated from | Nodules per seedling* | C2H2 Reduction | Dry matter* | Total N | ||||||
|---|---|---|---|---|---|---|---|---|---|---|---|
| Number | Dry weight | Aerial portion | |||||||||
| (mg) | (μmol/h seedling) | (g/seedling) | (mg/seedling) | ||||||||
| CB 756 | Vigna unguiculata | 1.2 | b** | 1.5 | bc | 0.5 | c | 1.13 | b | 1.9 | b |
| C 05 | Phaseolus vulgaris | 2.1 | b** | 2.0 | bc | 0.6 | bc | 1.16 | b | 2.16 | b |
| Br 29 | Glycine max | 2.7 | ab** | 2.4 | bc | 0.7 | bc | 1.20 | b | 2.3 | b |
| Br 4007 | Prosopis juliflora | 6.8 | a | 6.0 | a | 1.2 | a | 1.43 | a | 4.5 | a |
| NGR 8 | Leucaena leucocephala | 5.4 | ab | 6.4 | a | 1.2 | a | 1.20 | ab | 3.0 | ab |
| Br 7001 | Anadenanthera peregrina | 5.5 | ab | 4.7 | ab | 0.5 | c | 1.13 | b | 1.8 | b |
| Br 3405 | Mimosa caesalpiniaefolia | 3.3 | ab | 3.9 | abc | 0.5 | c | 1.10 | b | 1.8 | b |
| Br (3616) | Acacia senegal | 7.1 | a | 6.2 | a | 1.0 | ab | 1.36 | a | 3.6 | a |
| T | 1.0 | b | 1.0 | c | 0.5 | c | 1.16 | b | 1.9 | a | |
| NC | 1.0 | b | 1.0 | c | 0.5 | c | 1.43 | a | 4.7 | a | |
| CV (%) | 45 | 33 | 24 | 11 | 26 | ||||||
* Values transformed by 
** Seedlings of two replications inoculated with these strains did not produce nodules.
Figures followed by different letters exhibited significant differences as per Tukey's test (P ≤ 0.05).
The strain selection trial in sterilized flasks with Rhizobium strains isolated from Prosopis (Table 2) showed that one strain (Br 4009) did not nodulate; two strains (Br 4004 and Br 4005) nodulated but did not fix nitrogen; two strains (Br 4006 and Br 4010) showed poor efficiency, and four strains (Br 4001, Br 4002, Br 4003 and Br 4007) were highly efficient. The first three of these four strains had been selected for Prosopis by NifTAL at Hawaii, and the last strain was isolated at the Universidade do Ceará. The efficiency of these strains was comparable to applying a total of 150 mg of N per plant in weekly doses.
TABLE 2
Effect of Inoculation with Different Rhizobium Strains on P. juliflora
Nodulation, Symbiosis and Growth
(mean values per seedling, with 3 replications)a
| Rhizobium strain | Provenance | N2 - ase activity | Nodules | Seedling Dry Weight | |||||
|---|---|---|---|---|---|---|---|---|---|
| Number | Dry Weight | ||||||||
| (μmol C2H4/h) | (g) | (g) | |||||||
| Br 4001 | NifTal PrjAl | 3.02 | bc | 61 | cd | 0.06 | abc | 1.06 | abc |
| Br 4002 | NifTal PrjB4 | 4.26 | a | 73 | cd | 0.06 | abc | 1.15 | ab |
| Br 4003 | NifTal PrjE4 | 2.41 | bc | 98 | cd | 0.08 | ab | 1.02 | abcd |
| Br 4004 | PNPBS-km 47 | 0 | d | 61 | cd | 0.04 | bcd | 0.42 | gh |
| Br 4005 | UFPe-Pj5 | 0.14 | d | 61 | cd | 0.04 | bcd | 0.66 | efgh |
| Br 4006 | UFC-932.52 | 3.58 | ab | 109 | bc | 0.10 | a | 0.78 | cdef |
| Br 4007 | UFC-933.52 | 2.16 | bc | 113 | abc | 0.05 | bc | 1.18 | ab |
| Br 4008 | UFC-934.52 | 3.36 | ab | 48 | cd | 0.03 | cd | 0.89 | bcde |
| Br 4009 | UFC-935.52 | 0 | d | 0 | e | 0 | d | 0.59 | efgh |
| Br 4010 | UFPe-Pj4 | 2.00 | c | 205 | a | 0.08 | ab | 0.71 | defg |
| T | 0.12 | d | 1 | e | 0 | d | 0.37 | h | |
| NC | 0 | d | 1 | e | 0 | d | 1.34 | a | |
| C.V. (%) | 40 | 32 | 56 | 23 | |||||
TABLE 3
P. juliflora Response to Inoculation with Rhizobium
in Containers with Red-Yellow Podzol
| Rhizobium strains | Nodules per seedling | Acetylene reduction | Dry matter | |
|---|---|---|---|---|
| Number | Weight | aerial portion | ||
| (mg) | (μmol C2H4/ h. seedling) | (g/seedling) | ||
| Br 4002 | 2.6 | 4.2 | 2.01 | 0.73 |
| Br 4005 | 0.8 | 3.3 | 1.08 | 0.64 |
| Br 4006 | 0.3 | 2.2 | 0.28 | 0.69 |
| Br 4007 | 0.2 | 2.2 | 0.33 | 0.73 |
| T | 0 | 0 | 0 | 0.65 |
| NCa | 0 | 0 | 0 | 1.03 |
| CV (%) | 34 | 49 | — | 29 |
TABLE 4
Effect of Increasing Patos Phosphate Doses on P. juliflora Height, Dry Weight
and Phosphorus Absorbed in 60 Days
(mean values of 4 replications)a
| Treatmentsb | Seedling height (cm) | Total dry matter (g) | % P in seedling | Total P (mg) | |||
|---|---|---|---|---|---|---|---|
| 50% soil + 50% rock phosphate | 32.0 | a | 0.71 | a | 032 | 2.2 | a |
| 75% soil + 25% rock phosphate | 23.3 | b | 0.39 | b | 0.26 | 1.0 | ab |
| 87.5% soil + 12.5% rock phosphate | 23.5 | b | 0.39 | b | 0.24 | 0.9 | ab |
| 95% soil + 5% rock phosphate | 22.0 | b | 0.37 | b | 0.22 | 0.8 | ab |
| soil + soluble phosphate (17 ppm) | 24.8 | b | 0.42 | b | 0.30 | 1.2 | ab |
| Soil | 13.0 | c | 0.25 | c | 0.17 | 0.4 | b |
| CV (%) | 8.6 | 8.8 | — | 8.8 | |||
a Figures followed by the same letter do not differ significantly from each other (msd P≤ 0.05).
b V/v percent soil:rock phosphate.
When tested in soil, nodulation was very deficient, with the best strain (Br 4002) producing few nodules, but without any significant difference among treatments. Although the seedlings inoculated with strains Br 4002 and Br 4007, together with the nitrogenated control, showed better development prior to collection and had a slightly higher dry weight than the other treatments, these differences were not significant. It appears that the little nitrogen contained in the soil was sufficient for decreasing nodulation and sustaining P. juliflora initial growth.

Figure 1. Effect of increasing doses of Patos phosphate on the weight and P content of P. juliflora growing on a substratum with high concentrations of rock phosphate.
The addition of phosphate up to 50% of substratum volume helped seedling development in terms of height and shoot dry weight (Table 4). P analysis showed that the percentage of this element in the seedling increased as the phosphate level was increased. Even when it reached 50% of the substratum, it was well below the toxic levels mentioned by Bingham (1973) for various plants, showing no detrimental effects for the plant (Figure 1).
Nodulation, although not quantified, occurred in all treatments, appearing not to have been affected by the greater compaction observed in the substratum as the phosphate dose was increased. The production of well-formed seedlings without any symptoms of nitrogen deficiency and without nitrogenated fertilization is another indication of the effectivity of symbiosis between P. juliflora and Rhizobium in all combinations.
In all treatments, an infection with vesicular-arbuscular mycorrhiza was observed in the roots.
The possibility of raising seedlings with 50% rock phosphate in the substratum appears to be a promising practice, as the seedling is provided with a P reserve for plant development in the field. For instance, in a plantation with 2 × 2-m spacing, the use of seedlings raised in containers with 500 ml of a mix containing 30% rock phosphate is equivalent to fertilizing with 625 kg of P/ha. Recent findings with Leucaena and Albizzia showed the advantage of field-planting seedlings raised on a substratum with high phosphate concentration, as compared with seedlings raised on simple superphosphate fertilization (Serpa et al., 1986).
Conclusions
References
allen, o. n. and allen, e. k., 1981: “The leguminosae: A source book of characteristics, uses, and nodulation,” Madison, The University of Wisconsin Press, 812 p.
azevedo, g. de, 1961: “Algaroba,” sia (843), 49 p.
basak, m. k. and goyal, s. k., 1975: “Studies on tree legumes. I. Nodulation pattern and characterization of the symbiot,” Ann. Arid Zone, 14: 367–370.
bingham, f. t., 1973: “Phosphorus,” In: Diagnostic criteria for plants and soils, chapman, h. d. (Ed.), California, chapman, h. d., pp. 324–361.
FELKER, P. and clark, p. r., 1980: “Nitrogen fixation (acetylene reduction) and cross inoculation in 12 Prosopis (mesquite) species,” Plant & Soil, 57: 177–186.
felker, p. and clark, p.r., 1982: “Position of mesquite (Prosopis spp.) nodulation and nitrogen fixation (acetylene reduction) in 3-m-long phraetophytically simulated soil columns,” Plant and Soil, 64: 297–305.
felker, p.; clark, k.; laag, a. e. and pratt, p. f., 1981: “Salinity tolerance of the tree legumes: Mesquite (Prosopis glandulosa var. torreyana, P. velutina and P. articulata), Algarrobo (P. chilensis), Kiawe (P. pallida) and Tamarugo (P. tamarugo) grown in sand culture on nitrogen-free media,” Plant & Soil, 61: 311–317.
fred, f. b. and waksman, s. a., 1928: “Laboratory manual of general microbiology,” New York, McGraw-Hill Book Company.
guzman, i. and dobereiner, j., 1969: “Effectiveness and efficiency in the symbiosis of four cross-inoculated tropical legumes,” Rev. Lat. Amer. Microbiol. Parasitol., 11: 137–140.
leite, p. h. and vasconcelos, j.i.p. de, 1981: “Fixação biológica de nitrogenio em plants de interesse económico do Nordeste,” In: Projeto cnpq/Fundação Cearense de Pesquisa e Cultura, Universidade do Ceará, Relatório April–September.
lieberman, m. t.; mallory, l. m.; simkins, s. and alexander, m., 1985: “Numerical taxonomic analysis of cross-inoculation patterns of legumes and Rhizobium,” Plant & Soil, 84: 225–244.
norris, d. o., 1958: “Lime in relation to the nodulation of tropical legumes,” In: Nutrition of the legumes, hallsworth, e. g. (Ed.), New York, Academic Press Inc., pp. 164–182.
serpa, a. s. p.; campello, e. f. c. and franco, a. a., 1986: “Efeito da inoculação com Rhizobium sp. no estabelacimento no campo de Leucaena leucocephala e Albizzia lebbek por semeio direto ou mudas com substrato contendo altas concentrações de fosfato de rocha,” Pesq. Agropec. Bras. (in preparation).
subba rao, n. s.; sen, a. n. and dadarwal, k. r., 1982: “Rhizobium research in India,” In: Review of soil research in India, Part I, 12th International Congress of Soil Science, New Delhi, Indian Society of Soil Science, pp. 211–224.
vincent, j. m., 1970: “Manual for the practical study of root nodule bacteria,” Oxford, Blackwell, 164 p., (Int. Biol. Program Handb., 15).
Marcos António Drumond
Forester, M. Sc.
Researcher with embrapa/cpatsa
Petrolina, Pernambuco
Introduction
Many species have been recommended for afforestation in the Northeast's semi-arid region, with a view to timber and fodder production (Silva et al., 1979). This region is characterized by marked water deficit and edaphic constraints such as low fertitility and shallow soils. P. juliflora is one of the species suitable for this purpose, on account of its multiple use possibilities.
Several parameters must be considered when selecting potential species for afforestation in any given ecologic region, including the plant's nutrition requirements. Generally, foliar analysis is used for this purpose, as the leaves are a relatively sensitive indicator of nutrient supply variations (Kramer and Kozlowski, 1976).
Haag et al. (1976), analyzing leaves of five species of the genus Eucalyptus, observed that nutrient content differed significantly among species, while Bellote (1979) found that N and P concentrations in E. grandis decrease with age.
Mergen and Worral (1964) found that N, P, and K content in Pinus bankisiana was associated with provenance, that the capacity to export soil minerals varies among individuals of the same species, and that it could vary with seed provenance and environment. Hoyle and Mader (1964), studying P. resinosa, observed that different growth characteristics seem to be correlated with the tree's nutritional status, height being stronlgy related to calcium levels; basal area with potassium levels and volume with soil moisture.
Research conducted by corfo (1985) to determine the chemical composition of P. tamarugo and P. chilensis foliage showed, in general terms, a strong mineral imbalance, with deficit in some cases: phosphorus, 0.03 and 0.05%, respectively; calcium, 1.39 and 1.27%; sodium, 0.27 and 0.18%; and excess in others: magnesium, 5.8 and 4.8%, respectively; copper, 70 and 45 ppm.
Sharma (1984), working with P. juliflora, found correlations between foliar nutrient content and cationic exchange capacity with the soil. The analyses evidenced the capacity of the plant to tolerate salinity.
This paper presents foliar nutrient concentrations in species of the genus Prosopis, as well as a regression equation for productivity as a function of nutrient content.
Material and Methods
This research evolved from a competition trial among 24-month-old Prosopis species, provenances and progenies, spaced at 6.0 × 6.0 m, established on red-yellow latosol, at the experimental field of the Agriculture and Livestock Research Center for the Semir-Arid Tropic (cpatsa), Petrolina, Pernambuco. Mean annual temperature and rainfall were, respectively, 24° C and 500 mm.
Leaf samples were taken from the canopy's intermediate section of ten trees each of P. alba (Chile provenance), P. chilensis (Chile provenance), P. glandulosa var. torreyana (u.s.a. provenance), P. juliflora (local provenance), P. pallida (Peru provenance) and P. velutina (u.s.a. provenance), corresponding to the North, South, East and West points of the canopy, as suggested by Young and Carpenter (undated). At planting, the trees had received 5:14:3 npk at a dosage of 100 g/pit.
The samples were oven-dried with forced ventilation, at 65 ± 5° C, until they achieved constant weight. This material was then crushed in a Willey-type mill, sifted with mesh 20, and assayed in laboratory. The concentration of the nutrients K, Ca, Mg, Na, Fe, Zn, Cu, and Mn was measured with an atomic absorption spectrophotometer; phosphorus, by the vanadium ammonium molybdate method, and nitrogen by the microkjeldahl method, according to Sarruge and Haag (1976).
To determine the cylindrical volume of the species, for each tree, the volumes of each forking occurring below 1.30 height were added together.
The data were fed to a computer and regression equations were derived to express timber output as a function of foliar nutrient content for each species.
Results and Discussion
The data in Table 1 show significant variations in the mean concentrations of nutrients contained in the leaves of different species of Prosopis.
TABLE 1
Mean Foliar Nutrient Concentrations in Species of the Genus Prosopis at 24 Months of Age
Petrolina, Pernambuco
| Nutrients | N | P | K | Ca | |||||
|---|---|---|---|---|---|---|---|---|---|
Species | % | ||||||||
| P. alba | 3.938 | a | 0.198 | b | 1.352 | cd | 0.837 | cd | |
| P. chilensis | 4.046 | a | 0.236 | a | 1.191 | bc | 0.602 | d | |
| P. glandulosa | 3.380 | a | 0.180 | bc | 1.327 | ab | 0.872 | c | |
| P. juliflora | 3.103 | b | 0.135 | d | 1.056 | c | 1.860 | a | |
| P. pallida | 3.367 | b | 0.151 | cd | 1.225 | ab | 1.628 | b | |
| P. velutina | 3.842 | a | 0.164 | bcd | 1.190 | bc | 0.815 | cd | |
| F | 15.20 | 9.93 | 4.7 | 41.93 | |||||
| C.V. | 8.11 | 20.56 | 12.78 | 22.61 | |||||
| Nutrients | Mg | Na | Cu | Mn | Zn | Fe | |||||||
|---|---|---|---|---|---|---|---|---|---|---|---|---|---|
| Species | ppm | ||||||||||||
| P. alba | 0.435 | bc | 120.6 | bc | 26.7 | b | 127,1 | c | 50,0 | d | 179.9 | ab | |
| P. chilensis | 0.413 | c | 149.4 | b | 41.2 | b | 59.3 | d | 89.2 | c | 105.7 | c | |
| P. glandulosa | 0.519 | b | 67.2 | cd | 87.2 | ab | 147,3 | bc | 153.5 | a | 138.4 | ab | |
| P. juliflora | 0.744 | a | 292.0 | a | 37.4 | b | 251.9 | a | 91.4 | c | 153.7 | bc | |
| P. pallida | 0.480 | bc | 69.7 | cd | 39.5 | b | 180.9 | b | 74.0 | c | 233.5 | a | |
| P. velutina | 0.447 | bc | 43.4 | d | 82.6 | a | 99.4 | cd | 125.2 | b | 224.6 | a | |
| F | 16.28 | 18.33 | 15.91 | 15.16 | 21.61 | 5.98 | |||||||
| C.V. | 18.91 | 54.41 | 38.85 | 37.72 | 25.83 | 33.75 | |||||||
Values followed by the same letter do not differ from each other as per Duncan test at 5% probability level.
With the exception of Ca and Mn, the values found are above those reported by infor (Aguirre and Wrann, 1985) for P. tamarugo of different ages, and by Lima (1982) for 3-year-old P. juliflora.
Among the species studied, stand out the N (4.046%) and P (0.236%) concentrations in P. chilensis. As regards calcium, P. juliflora and P. pallida exhibited concentrations of 1.860% and 1.628%, respectively, higher than that for the other species, but below the mean mentioned by Aguirre and Wrann (1985) for P. tamarugo. This element is considered immobile in plant tissue, and it occurs in considerable amounts in cell wall. Possibly the concentrations of this element are correlated with soil quality.
As regards magnesium, P. juliflora presented a concentration significantly higher than that for the other species, with 0.744%, demonstrating great capacity for extracting this element from the soil.
There are few studies concerning the importance and ideal level of micronutrients in plant development. In our research, the 251.9 ppm of manganese found in P. juliflora are significantly higher than in the other species. Haag et al. (1976) point out that the high Mn level in plants is associated with high soil acidity. As regards copper, minor variations were observed among the species, and only P. glandulosa and P. velutina differed negatively. P. chilensis presented a significantly lower iron concentration (105.7 ppm) compared with the other species and with the value reported for the same species by corfo (1985).
Table 2 shows the height, crown diameter, stem diameter and cylindrical volume data.
In terms of volume, P. juliflora shows good development at two years of age, with 0.03009 m3/ha/tree, standing out as a species with great potential for the region when compared with the productivity of the remaining species. P. glandulosa was the least productive, with 0.00075 m3/ha/tree.
Comparing Tables 1 and 2, it may be observed that P. juliflora presents the lowest contents of N, P, and K, together with the highest productivity in timber volume.
TABLE 2
Dendometric Characteristics of Species of the Genus Prosopis at 24 months of age.
| Species | Height (m) | Crown diameter (m) | DBH (cm) | Forkings/tree | Vol./Treee (m3) |
|---|---|---|---|---|---|
| P. alba | 3.82 b | 4.60 a | 3.6 a | 3 | 0.02182 ab |
| P. chilensis | 2.62 c | 1.84 c | 1.9 a | 4 | 0.00303 cd |
| P. glandulosa | 1.70 d | 2.19 bc | 1.0 c | 4 | 0.00075 d |
| P. juliflora | 4.58 a | 5.36 a | 3.8 a | 4 | 0.03009 a |
| P. pallida | 2.86 c | 5.24 | 3.4 a | 3 | 0.01239 bc |
| P. velutina | 2.48 c | 2.86 b | 1.7 b | 5 | 0.00272 cd |
Figures followed by the same letter do not differ from each other as per Duncan test at 5% probability level.
TABLE 3
Equations Selected for Structure of the Variation in Productivity (Volume, m3) as a Function
of the Foliar Nutrients in Species of the Genus Prosopis
| Species | Equation | R2 | CV(%) | |
|---|---|---|---|---|
| P. alba | Y = | 0.0275560 + 0.0890406 Ca - 0.1282150 Mg - 0.0003234 Cu - 0.0000881 Fe | 90.88 | 35.68 |
| P. chilensis | Y = | 0.0071308 + 0.0012998 N + 0.0171545 Ca - 0.0358864 Mg + 0.0000228 Na - 0.0001620 Cu + 0.0001346 Mn + 0.0000525 Zn | 98.44 | 14.68 |
| P. glandulosa | Y = | 0.0004473 - 0.0166759 Mg - 0.0000320 Cu + 0.000040 Mn + 0.0000235 Zn + 0.0000177 Fe | 99.38 | 18.88 |
| P. juliflora | Y = | 0.20635 - 0.0344065 Ca - 0.0019210 Cu - 0.0003663 Mn. | 60.85 | 41.84 |
| P. pallida | Y = | - 0.0640687 + 0.0075895 N + 0.143762 Mg + 0.0002653 Na - 0.0001127 Mn - 0.0000694 Fe | 83.44 | 44.99 |
| P. velutina | Y = | 0.00040876 - 0.00474878 Ca + 0.000019998 Zn | 44.30 | 49.36 |
Haag et al. (1976), observing less productivity in E. microcorys in timber volume among the various species of Eucalyptus studied, concluded that the cause for this low productivity is low foliar N, P, and K content found in this species. With P. juliflora, however, the situation was the opposite, as the lower foliar N, P, and K concentrations are concurrent with a higher productivity, suggesting that this species is more efficient in nutrient utilization than the other species.
Table 3 shows the regression equations derived through the multiple linear regressive model, which explain the variation in productivity as a function of nutrients contained in the leaves of each species. According to this model, the variables Ca, Mg, Cu and Fe account for 90.88% of the productivity variation in P. alba; N, Ca, Mg, Na, Cu, Mn, and Zn, for 98.44% of P. chilensis; Mg, Cu, Mn, Zn and Fe, for 99.38% of P. glandulosa; Ca, Cu and Mn, for 60.85% of P. juliflora; N, Mg, Na, Mn and Fe, for 83.44% of P. pallida, and Ca and Zn, for 44.30% of P. velutina productivity variation. The stepwise increase of the remaining variables would contribute very little to productivity variation.
Conclusions
References
aguirre, a. and wrann, h.j., 1984: “Especies del género Prosopis y su manejo en la Pampa de Tamarugal,” in: Estado actual del conocimiento sobre Prosopis tamarugo; Mario Habit (Editor), Mesa Redonda Internacional sobre Prosopis tamarugo Phil., Arica, Chile, fao, pp. 3–13.
bellote, a.f.i., 1979: “Concentração e exportação de nutrientes pelo Eucalyptus grandis Hill (exMaiden) em função da idade,” Peracicaba, esalq, p. 129, M. Sc. Thesis.
corporacion de fomento de la producion, 1984: “Valoración nutricional de tamarugo y algarrobo y perfiles metabólicos de ovinos y caprinos en la Pampa de Tamarugal,” in: Estado actual del conocimiento sobre Prosopis tamarugo; Mario Habit (Editor), Mesa Redonda Internacional sobre Prosopis tamarugo Phil, Arica, Chile, Santiago, fao, pp. 75–123.
haag, h.p.; sarruge, j.r.; oliveira, g.s.; poggiani, f. and ferreira, c. a., 1976: “Análise foliar em cinco espécies de eucaliptos,” São Paulo, esalq, p. 20.
hoyle, m. c. and mader, d.l., 1964: “Relationships of foliar nutrient to growth of red pine in western Massachusetts,” Forest Science, Washington, 10(3): 337–47.
kramer, p.j. and kozlowski, t. t., 1972: “Physiology of wood plants,” New York, Academic Press, 811 p.
lima, p.c.f., 1982: “Comportamento de Leucaena leucocephala (Lam) de Wit comparado com Prosopis juliflora (Sw) dc e Eucalyptus alba Reinw. ex Blume em Petrolina, Região Semi-Arida do Brasil,” Curitiba, ufpr, 96 p., M. Sc. Thesis.
mergen, f. and worral, 1964: “Effect of environment and seed source on mineral content of jack pine seedlings,” Forest Science, Washington, 11(4): 293–400.
sarruge, j.r. and haag, h. p., 1974: “Análisis químicas em plantas,” Piracicaba, esalq, 56 p.
silva, h. d., da; pires, i. e.; ribaski, j.; drumond, m. a.; lima, p.c.f.; souza, s. m. de, and ferreira, c. a., 1980: “Comportamento de essenciaś florestais nas regiões áridas e semi-áridas do Nordeste (resultados preliminares),” Brasilia, df. embrapa/did, 25 p., (embrapa/did. Documentos, 1).
sharma, b.m., 1984: “Scrub forest studies - foliar and soil nutrient status of Prosopis juliflora dc,” Indian Forester, 110(4): 367–74.
young & carpenter, p. n.: “Sampling variation of nutrient element content within and between trees of the same species,” Orono, University of Maine at Orono, (undated), 12 p.
Patricio Arce
Botany Laboratory, Faculty of Biological Sciences
Pontificia Universidad Católica de Chile
Orlando Balboa
Departament of Biology, Faculty of Sciences
Universidad de Chile
Introduction
The world's arid and semi-arid regions, as well as those which show great differences in water availability, could be used for growing plants tolerant to water stress (Jordan et al. 1985a). Several species have been selected for cultivation in these regions, one of which is Prosopis (Felker and Bandurski, 1979; nas, 1980; Felker, 1984; Habit, 1985). In Chile, the genus Prosopis is represented by several species: Prosopis tamarugo, P. alba, P. chilensis, and P. alpataco. Some of them (P. tamarugo and P. chilensis) are used as fodder, particularly to feed goats and cattle (Habit, 1981; corfo, 1985). Prosopis wood is useful as biofuel (firewood and charcoal) and as timber for construction (Habit, 1981; Maldonado, 1985). Furthermore, preliminary studies show great potential of the pods for human consumption (Saunders et al., 1985).
During the past years, over 18,000 ha of P. tamarugo have been planted at the Atacama Desert (Pampa del Tamarugal) (corfo/infor, 1981). Due to the high intra-specific variability observed in Prosopis species, any afforestation or land reclamation program must investigate (1) biomass production, (2) litter production, (3) growth habit, (4) seed germination, (5) growth rate, (6) salt tolerance, (7) resistance to insect attack, (8) resistance to cold and heat and (9) nitrogen fixation capacity.
Preliminary data related to the effects of some of these factors on Prosopis growing in Chile are reported in this paper.
Material and Methods
A. Germination and seed salt tolerance
Seeds of Prosopis chilensis and P. alba-flexuosa, P. tamarugo, and P. alpataco were collected in 1984 from different populations, scarified in concentrated H2SO4 for 10 minutes, washed, treated with 0.15 Captan and germinated in Petri dishes layered with Whatmann No. 1 filter paper moistured with distilled water. Ten seeds were set in each dish and watered with NaCl solutions, 0.1 M to 0.6 M. Control with distilled water. Radicle protrusion through the seed coat was used as germination criterium, and germinated seeds were counted daily for one week. Germination chamber temperature was 30° ± 2° C.
B. Seedling growth and salt tolerance
Thirty-day-old Prosopis chilensis seedlings were watered weekly with 1/4 strength Hoagland solution (1950) plus 1, 2, 3, 4% NaCl solution. Also, a group of plants was watered solely with the solution.
The plants were grown in plastic bags in the greenhouse at 34° ± 3° C, 16-hour photoperiod, 200 μE/m2/s photon flow and 40–80% relative humidity. After 90 days of growth, plant growth and survival rates were assessed.
Financial support was provided by the U.S. National Academy of Sciences/National Research Council.
C. Vegetative propagation
Rooting of cuttings of juvenile material. Material from P. chilensis, P. alpataco, and P. alba 12 months old grown in greenhouse conditions from seeds were used to obtain 20-cm-long cuttings, recut under water to 15 cm with an average of 10 nodes each. Leaves from the three lower nodes were removed and cuttings sterilized with 0.15% Captan for 15 minutes. Then, the base of the cuttings was dipped in a solution of 100 mg/l iba for 10 minutes, and five cuttings per flask were induced to root in tap water aerated with an aquarium pump, and set in a growth chamber (Lab-Line Biotronette, Mark IV), under controlled environmental conditions as described above, plus 12- or 16-hour photoperiod.
Rooting of field-grown material. Cuttings from juvenile growth of mature P. chilensis from Peldehue populations were sterilized with Captan (0.15%) for 24 hours before auxin pretreatment. The cuttings' lower ends were immersed for 15 minutes in 100 mg/l iba at 24-hour intervals, repeated tree times. Then the cuttings were induced to root in tap water plus 10 μg/ml boric acid (H3BO3), aerated with an aquarium pump. Environmental conditions were the same as described above.
Vegetative propagation of rooted cuttings from mature trees
Rooted cuttings of juvenile material from mature trees were recut and rooted using the procedure and environmental conditions described above.
In vitro micropropagation. Rooted cuttings from field grown trees (P. chilensis) were used as nodal secretion donors, 20–25 mm long, 2–3 mm in diameter, with a pair of leaves. The nodal sections were sterilized in 10% commercial Chlorox for 5 minutes, rinsed several times with sterile distilled water and cultured in vitro using Murashige-Skoog medium, as modified by Jordan et al. (1985b). After 30 days, the microcuttings gave rise to roots and new leaves, then the seedlings were transferred to sterile vermiculite in plastic pots, covered with plastic bags to avoid plant dehydration; these bags were removed after 30 days when the plants were able to survive in greenhouse conditions.
Acetylene reduction (nitrogen fixation) activity.
Prosopis chilensis seedlings from Peldehue, Chincolco and Rivadavia and San Pedro de Atacama populations and P. alba seedlings from Quillagua and La Tirana populations were inoculated with Rhizobium strains 151 (niftal) and 163, isolated from P. tamarugo by intec-Chile.
Three groups of ten 14-day-old seedlings each underwent the following treatments:
Ten seedlings were inoculated and watered weekly with 150 ml Hoagland solution minus nitrogen, according to Stephen (1982).
Ten seedlings were used as control, watered with a complete Hoagland solution (1/4 strength), and
Ten seedlings were watered with 1/4 strength nitrogen-free Hoagland solution.
The seedlings were grown in greenhouse at 32° ± 3° C, 40–60% relative humidity, 200 μE/m2/s
photon and 16-hour photoperiod. After 5 months, the following plant parameters were measured:
height, dry weight, total nitrogen in percentage (determined by the Kjeldahl method) and
symbiosis effectivity (nmol. C2H4/mg/h or nmol. C2H4/plant/h).
Results and Discussion
Germination and salt tolerance. Table 1 shows the effect of NaCl solutions on Prosopis seed germination. 100% of the seeds from all Prosopis, species studied germinated at 0.1 M NaCl; 100% seed germination was also obtained at 0.3 M, except with P. chilensis, which only reached 70%. Higher salt concentrations, such as 0.5 M, not only reduced significantly the final percentage of germination, but also great variability in seed germination response was observed in P. chilensis from different sites; for instance, 5% of Chincolco seeds germinated at this NaCl concentration, while seeds from San Pedro de Atacama showed 80% success at this NaCl concentration (Table 1). P. alba seeds from la Tirana and Refresco germinated at rates of 30% and 97%, respectively, at 0.5 M; P. tamarugo and P. alpataco (Hacienda Margarita) seeds gave 27% and 48% germination, respectively, in the same solution. Prosopis alba seeds from Quillagua and La Tirana showed even greater salt tolerance, with 85% germination at 0.6 M, eqivalent to sea water salt concentration (3.0 mp). P. chilensis from Peldehue, Rivadavia and San Pedro de Atacama, as well as P. alpataco seeds, germinated between 10% and 30%. Nevertheless, P. tamarugo, P. alba (Refresco) and P. chilensis (Chincolco) seeds did not germinate at all with 0.6 M NaCl solution.
Seedling growth and salt tolerance. Figure 1 shows the effect of NaCl concentrations on P. chilensis seedling growth. It was found that seedlings just emerged from seed are not able to survive when watered with 3% and 4% NaCl solutions. However, if watered 5 days after germination, seedling survival increases, reaching 61% at 4% NaCl concentration. No effects of NaCl solutions were observed when the seedlings were 30 days old. Those seedlings watered with sea water showed 100% survival, the same rate as the control plants.
When P. chilensis seedlings were watered right after germination with NaCl solutions above 3% in concentration, or with sea water, a significant growth reduction occurred (P<0.05) (Table 1). However, 30 days after germination, seedling growth was not affected by these concentrations. Salt concentrations of 1% and 2% did not affect seedling growth significantly, regardless of seedling age. It is important to point out that a 1% salt concentration stimulated seedling growth over control (no salt).
TABLE 1
Sodium Chloride Solution Effect on Prosopis Seed Germination
| Species | Site | Germination (%) ** NaCl Concentration (M) | |||||
|---|---|---|---|---|---|---|---|
| Control | 0.1 | 0.3 | 0.4 | 0.5 | 0.6 | ||
| (0) | (-0.5) | (-1.5) | (-2.0) | (-2.5) | (-3.0)*** | ||
| P. Chilensis | Peldehue | 100 | 100 | 70* | 70* | 56* | 14* |
| Chincolco | 100 | 100 | 100 | 80* | 5* | 0* | |
| Rivadavia | 100 | 100 | 98 | 98 | 90 | 30* | |
| S. P. Atacama | 100 | 100 | 98 | 100 | 80* | 24* | |
| P. alba-flexuosa | Quillagua | 100 | 100 | 100 | 100 | 80* | 85 |
| Refresco | 100 | 100 | 100 | 90 | 30* | 0* | |
| La Tirana | 100 | 100 | 100 | 100 | 97 | 85 | |
| P. tamarugo | La Tirana | 100 | 97 | 94 | 60* | 27* | 0* |
| P. alpataco | H. Margarita | 100 | 100 | 100 | 100 | 48* | 10* |
* Values are significantly different according to G test (P<0.05) (Sokal and Rolf, 1979).
** Values are means of 5 replications, 10 seeds each.
*** Numbers between parenthesis are osmotic potential in megapascals (MPa).
Vegetative propagation. Rooting of cuttings from juvenile material shows good response to auxin treatment, with 80% in P. chilensis, P. alba and P. alpataco at both photoperiods (12 and 16 hours). Bubbling air into the rooting medium improved significantly rooting response and root number (P<0.05) (Table 2) at both photoperiods. Generally speaking, only in aeration did the photoperiod (12 hours) affect rooting, with 94% and 93% for P. chilensis and P. alpataco, respectively.
Nervertheless, juvenile material from mature trees shows a low rooting response (14%). Sixteen-hour photoperiod and aeration gave significant differences (P<0.05) (Table 2). However, vegetative propagation of this 14% rooted material gave 75–80% rooting when recut and induced to root. Felker and Clark (1981), Souza and Nascimento (1984), Arce (1985), Klass et al.. (1985), and Balboa et al. (Interciencia, accepted manuscript) have reported Prosopis vegetative propagation. However, very high auxin concentrations were used to promote rooting. This paper reports, for the first time, the use of very low auxin concentrations (100 mg/l) and tap water as rooting medium.
TABLE 2
In vivo and in Vitro Vegetative Propagation of Cuttings and
Rooted Cuttings from Field-Grown Prosopis chilensis
| Plant Regeneration (%) | |||||
|---|---|---|---|---|---|
| In vivo * | In vitro ** | ||||
| Photoperiod (h) | Aerated | Non aerated | Non aerated | ||
| 12 | 16 | 12 | 16 | 18 | |
| Field Cuttings | 12.4 ± 5.0BC | 14.1 ± 4.1C | 11.2 ± 6.2BC | 9.0 ± 5.1B | 0.0A |
| Cuttings from rooted cuttings | 81.7 ± 3.9FG | 83.6 ± 4.1G | 78.4 ± 3.6EF | 77.6 ± 4.3E | 60.0 ± 5.6D |
* In vivo treatment: IBA (100 mg/l) during 15 minutes.
** In vitro treatment: Murashige Skoog medium plus 5mg/1 NAA (Napthalene acetic acid)
Values with different letters are significantly different according to Tukey's test (P<0.05)
Another way to propagate Prosopis vegetatively is through in vitro culture of juvenile material from mature trees, using Murashige-Skoog medium. One hundred percent rooting was obtained using this technique (Table 2). Nevertheless, new growth of field P. chilensis did not root at all, reaching only the callus stage. Several researchers have reported root induction in cuttings from juvenile material originated from seed germination (Goyal, 1982; Goyal and Arya, 1984) of P. cineraria. (Jordan and Balboa, 1985; Jordan et al., 1985a; Balboa et al., in print). Jordan et al. (1985b), with P. tamarugo, P. alba and P. chilensis. Aguirre and Wrann (1985) reported 80% rooting with P. tamarugo and 27% with P. chilensis, using the grafting method.
Nitrogen Fixation. Nitrogen fixation for Prosopis species under natural conditions has been reported by several researchers (Kohl et al., 1981; Virgina et al., 1981; Rundell et al., 1982; Shearer et al., 1983). Nitrogen fixation values have been estimated to vary between 23–30 kgN/ha/year in the Sonoran Desert habitat (Rundell et al., 1982). These values could be higher if tree density were increased and/or the symbiotic association were improved. However, the deep Prosopis root system (Felker and Bandurski, 1979) makes it difficult to find the root nodules and therefore to isolate the symbiot. Felker and Clark (1982) found that P. glandulosa bears active root nodules deep into the soil, and as soil humidity shifts in the soil profile, both nodule presence and nodule activity change.
Prosopis inoculation with different strains has been reported (Felker and Clark, 1980; Franco, 1982; Dobereiner, 1984; Torres, 1984; Herrera et al., 1985). We report nitrogen fixation of P. chilensis and P. alba juveniles inoculated with Rhizobium strains 151 or 163 (native to Chile), with significant differences (P<0.05) in nitrogen fixation, fluctuating from 9.9 to 74.1 nmol C2H4/mg/h for strain 163 and 151, respectively. However, no significant differences in total nitrogen and seedling dry weight were found, but seedling height showed differences reaching 43.5 cm and 52.1 cm with strains 163 and 151, respectively, versus control (Table 3).
TABLE 3
Evaluation of Two Rhizobium Strains for Prosopis chilensis
Biological Nitrogen Fixation*
| Treatment | Height (cm) | Dry Weight (g) | n moles C2H4 | Total N (%) |
|---|---|---|---|---|
| mg nodule D.wt.h | ||||
| C - 163 | 43.5 ± 5.8A | 0.60 ± 0.16 | 9.9 ± 9.5A | 2.17 ± 0.14 |
| C - 151 | 52.1 ± 6.5B | 0.74 ± 0.18 | 74.1 ± 35.2B | 2.28 ± 0.12 |
| C - N | 44.7 ± 5.1AB | 0.71 ± 0.16 | — | 2.23 ± 0.18 |
| C + N | 50.7 ± 7.6AB | 0.72 ± 0.42 | — | 2.25 ± 0.13 |
* Values with different letters are significantly different according to Tukey's test (P<0.05).
Figure 1. Effect of sodium chloride solutions and sea water on Prosopis chilensis growth and mortality (watered at 0, 6, and 30 days after germination).*

* Columns with different letters are significantly different according to Tukey's test (P <0.05).

Prosopis sp. show great potential for livestock production in arid lands.
Figure 2. Effect of aeration, non-aeration and photoperiod on rooting, number and roots and root length of Prosopis chilensis, Prosopis alba and Prosopis alpataco cuttings pretreated with IBA (100 mg/l) for 10 minutes.*

* Columns with different letters are significantly different according to Tukey's test (P<0.05).
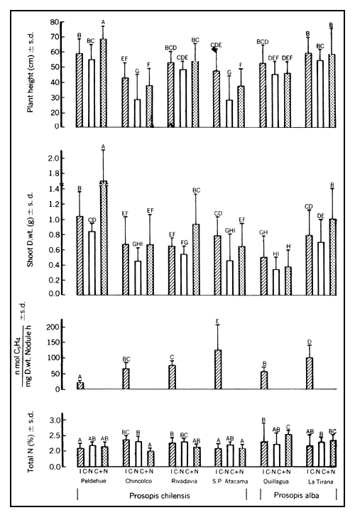
Great variability in effectivity of nitrogen fixation was observed in both Prosopis species juveniles, ranging from 24 to 124 nmol C2H4/mg/h in P. chilensis from Peldehue and San Pedro de Atacama populations, and 55 and 100 nmol C2H4/mg/h in P. alba from Quillagua and La Tirana, respectively (Fig. 3). However, no clearcut correlations were found among nitrogen fixation effectivity, plant total nitrogen content, plant height, dry weight, compared to control plants, except for P. chilensis from Chincolco and P. alba from Quillagua, which showed significant differences (Table 3).
Significant differences in dry weight and plant height were found between inoculated and nitrogen-free watered P. chilensis (from Chincolco and San Pedro de Atacama populations). Nevertheless, the inoculated plants always showed higher dry weight and height compared to nitrogen-free watered plants, and in some instances these parameters were equivalent to or higher than those for plants watered with nitrogen solution.
Figure 3. Rhizobium strain 151 evaluation for nitrogen fixation on Prosopis chilensis and Prosopis alba from different sites.*

References
aguirre, j. and wrann, j., 1985: “Especies del género Prosopis y su manejo en la Pampa del Tamarugal,” in: Estado actual del conocimiento sobre Prosopis tamarugo; Habit, M.A. (Ed.) fao-Rome pp. 3–33.
arce, p., 1985: “Identificación de los factores que controlan la propagación vegetativa de Prosopis chilensis,” Arch. Biol. Med. Exp. Vol. 18. No. 2, pp. 183.
balboa, o.; cortes, i. and arce, p.: “Propagación vegetativa de Prosopis, problemas y perspectivas,” Interciencia, in print.
corfo, Gerencia de Desarrollo, 1985: “Valoración nutricional de tamarugo y algarrobo y perfiles metabólicos de ovinos y caprinos en la Pampa del Tamarugal,” in: Estado Actual del Conocimiento sobre Prosopis tamarugo; Habit, M.A, (Ed.) fao-Rome.
corfo/infor, 1981: “Programa Pampa del Tamarugal-Corfo,” Estudio de las especies del género Prosopis en la Pampa del Tamarugal, Vol. II. Instituto Forestal, Santiago, Chile. 101 p.
dobereiner, J., 1984: “Nodulacão e fixacão de nitrogenio em leguminosas florestais,” in: Pesquisa agropecuária brasileira, embrapa, Brasil, pp. 83–90.
felker, p., 1984: “Legume trees in semiarid and arid areas,” in: Pesquisa agropecuária brasileira, embrapa. Brasil, pp. 47–58.
felker, p. and bandurski, r.s., 1979: “Uses and potential uses of leguminous trees for minimal energy input agriculture,” Econ. Bot. 33: 172–184.
felker, p. and clark, p.r., 1980: “Nitrogen fixation (acetylene reduction) and cross inoculation in 12 Prosopis (mesquite) species,” Plant & Soil, 57: 177–186.
felker, p. and clark, p.r., 1981: “Rooting on Mesquite (Prosopis) cuttings,” Journal of Range Management, 34: 466–468.
felker, p. and clark, p.r., 1982: “Position of mesquite (Prosopis) nodulation and nitrogen fixation (acetylene reduction) in 3-m long phreotophytically simulated soil columns,” Plant & Soil 64: 297–305.
felker, p.; clark, p.r.; laag, a.e. and pratt, p.f., 1981: “Salinity tolerance of the tree legumes: Mesquite (Prosopis glandulosa var. torreyana, P. velutina and P. articulata) Algarrobo (P. chilensis) Kiawe (P. pallida) and Tamarugo (P. tamarugo) grown in sand cultures on nitrogen-free media.”
fernandes, p.c., 1985: “Trabajos de investigación con especies del género Prosopis de la región semiárida del Brazil,” in: Estado Actual del Conocimiento sobre Prosopis tamarugo; Habit, M.A. (Ed.) fao-Rome, pp. 125–133.
franco, a., 1982: "Fixacão de N2 atmosférico Prosopis juliflora (Sw) dc. ler. Simposio Brasileiro sobre Algaroba, 1. Natal, Brazil, pp. 319–329.
goyal, y., 1982: “Thesis: Clonal multiplication on Prosopis and Zizypbus through tissue culture,” Jodhpur University, Jodhpur, India.
goyal, y. and arya, h.c., 1984: “Tissue culture of desert trees: I. Clonal multiplication of Prosopis cineraria by bud culture,” Journal Plant Physiology, 115: 183–189.
habit, m.a., 1981: “Prosopis tamarugo: Arbusto forrajero para zonas áridas,” Producción y Protección Vegetal No. 25, fao-Rome.
habit, m.a., 1985: “Estado Actual del Conocimiento sobre Prosopis tamarugo,” fao-Rome (Ed.) 483 p.
herrera, m.a.; bedmar, e.j. and olivares, j., 1985: “Host specificity of Rhizobium strains isolated from nitrogen-fixing trees and nitrogenase activities of strain grh2 in symbiosis with Prosopis chilensis,” Plant Science 42: 177–182.
hoagland, d.r. and arnon, d.i., 1950: “The water culture method for growing plants without soil,” Circular 347, Calif. Ag. Exp. Station.
jordan, m. and balboa, o., 1985: “In vitro regeneration of Prosopis tamarugo Phil. and Prosopis chilensis (Mol.) Stuntz from nodal sections,” Gartenbauwissenschaft, 50 (3), pp. 138–142.
jordan, m.; montenegro, g.; balboa, o. and cortes, i., 1985a: “Propagación de plantas económicamente importantes en zonas áridas en Chile,” Medio Ambiente. 7(2): 53–62.
jordan, m.; pedraza, j. and goreux, a., 1985b: “In vitro propagation studies of three Prosopis species (P. alba, P. chilensis and P. tamarugo) through shoot tip culture,” Gartenbauwissenschaft, 50(6): 265–267.
klass, s.; bigham, r.; finkner, l. and felker, p., 1985: “Optimization of environment for rooting cuttings of highly productive clones of Prosopis alba (mesquite/algarrobo),” J. Hort. Sci. 60: 275–284.
kohl, d.h.; nryan, b.a.; schearer, g. and skeeters, j.l. 1981: "Natural abundance of 15N of Prosopis as an index of N2-fixation in desert ecosystems, Bull. Ecol. Soc. Am. 62: 133–134.
maldonado, l., 1985: “Manejo de la cubierta vegetal en zonas áridas,” in: Estado actual del conocimiento sobre Prosopis tamarugo; Habit, M.A. (Ed.) fao-Rome, pp. 151–167.
murashige, t.f. and skoog, f., 1962: “A revised medium for rapid growth and bioassay with tobacco cultures,” Physiol. Plant. 15: 473–497.
national academy of sciences, 1980: “Firewood crops. Shrub and tree species for energy production,” Washington, d.c.
rundel, p.w.; nilsen, e.t.; sharifi, m.r.; virginia, r.a.; jarrel, w.m.; kohl, d.h. and shearer, g.b., 1982: “Seasonal dynamics of nitrogen cycling for a Prosopis woodland in the Sonoran desert,” Plant & Soil, 67: 343–353.
saunders, r.m.; becker, r.; meyer, d.; del valle, f.r.; balestin, e.m. and torres, m.e., 1985: “Identification of commercial milling to produce high sugar, high fiber, high galactomannan gum fraction from Prosopis pods,” Simposium on Establishment and Productivity of Tree Plantings in Semiarid Regions, April–May, Texas A&I University Kingsville-Texas.
shearer, g.; kohl, d.h.; virginia, r.a.: bryan, b.a.; skeeters, j.l.; nilsen, e.t.; sharifi, m.r. and rundel, p.w., 1983: “Estimates of N2-fixation from variation in the natural abundance of 15N in Sonoran desert ecosystems,” Oecologia, Berlin, 56: 365–373.
souza, s.m. and nascimento, c.e., 1984: “Propagacão vegetativa de algarroba a través de estaquia,” Petrolina, embrapa-cpatsa, Circular técnica No. 27.
stephen, j., 1982: “Hup+ and Hup- Rhizobia: N fixation in Cajanus cajan and oxidation of envolved H2 by Rhizosphere Bacteria,” Ph. D. Thesis, University of California, Riverside, Soil Science.
torres, m.e., 1984: “Fijación biológica de nitrógeno en Prosopis tamarugo y Prosopis alba,” Research within the “Arid Zone” Project of the Gerencia de Desarrollo of the CorporaCión de Fomento de la Producción (corfo,), Chile.
virginia, r.a.; jarrel, w.m.; kohl, d.h. and shearer, g.b., 1981: “Symbiotic nitrogen fixation in a Prosopis (Leguminosae) dominant desert ecosystem,” in: Current Perspectives in Nitrogen Fixation, gibson, a.h. and newton, w.e. (Eds.) Canberra Aust. Acad. Science 483 p.